Sign in to use this feature.

Years

Between: -

Subjects

remove_circle_outline
remove_circle_outline
remove_circle_outline
remove_circle_outline
remove_circle_outline
remove_circle_outline

Journals

Article Types

Countries / Regions

Search Results (4)

Search Parameters:
Keywords = Saudi native bee

Order results
Result details
Results per page
Select all
Export citation of selected articles as:
19 pages, 1861 KB  
Article
Binary Mixture of Neonicotinoid–Pyrethroid Insecticide: Impact on Survival, Cognitive Learning, and Memory in Apis mellifera jemenitica
by Mohamedazim I. B. Abuagla, Javaid Iqbal, Hael S. A. Raweh, Abdelsalam S. A. Abdelaziz and Abdulaziz S. Alqarni
Biology 2025, 14(2), 147; https://doi.org/10.3390/biology14020147 - 30 Jan 2025
Cited by 3 | Viewed by 2829
Abstract
The impact of agrochemicals on pollinators, especially honey bees, has drawn significant attention due to its critical implications for worldwide food stability and ecosystems. Given the potential threat of insecticides to honey bees, bees may encounter multiple insecticides simultaneously during foraging. This study [...] Read more.
The impact of agrochemicals on pollinators, especially honey bees, has drawn significant attention due to its critical implications for worldwide food stability and ecosystems. Given the potential threat of insecticides to honey bees, bees may encounter multiple insecticides simultaneously during foraging. This study investigated the toxic effect of an insecticide mixture (IM) containing acetamiprid (neonicotinoid) and deltamethrin (pyrethroid) on the survival and cognitive appetitive performance of Apis mellifera jemenitica, a vital native pollinator in arid regions of Saudi Arabia. The lethal concentration (LC50) was determined by assessing bees’ mortality rates following exposure to IM through topical and oral routes. Significant bee mortality occurred at 4–48 h post treatment with IM through both exposure routes, showing a trend of increased mortality with higher IM concentrations compared to the control bees. Throughout all tested times, topical exposure proved relatively more effective, resulting in significantly greater bee mortality compared to oral exposure to IM. Food intake declined progressively with rising IM concentrations during oral exposure. The LC50 values of IM at 24 h after treatment were 12.24 ppm for topical and 10.45 ppm for oral exposure. The corresponding LC10, LC20, and LC30 values were 3.75 ppm, 5.63 ppm, and 7.54 ppm for topical exposure and 2.45 ppm, 4.04 ppm, and 5.78 ppm for oral exposure, respectively. The combination index (CI) revealed a synergistic effect (0.43) for topical exposure and antagonistic effects (1.43) for oral exposure, highlighting differential toxicity dynamics. IM exposure significantly impaired cognitive acquisition and memory reinforcement in honey bees, as demonstrated through behavioral assays, indicating potential neurotoxic effects. Learning and memory formation significantly declined at 2, 12, and 24 h after exposure to sublethal concentrations of IM through both topical and oral routes. Thus, evaluating the interactive impact of multiple pesticides on bees’ health and cognitive function is essential, particularly in regions where diverse agrochemicals are routinely utilized. Full article
Show Figures

Figure 1

19 pages, 4475 KB  
Article
Olfactory Learning Behavior and Mortality of the Honey Bee Apis mellifera jemenitica in Response to Pyrethroid Insecticide (Deltamethrin)
by Mohamedazim I. B. Abuagla, Javaid Iqbal, Hael S. A. Raweh and Abdulaziz S. Alqarni
Toxics 2024, 12(1), 25; https://doi.org/10.3390/toxics12010025 - 28 Dec 2023
Cited by 7 | Viewed by 3365
Abstract
Honey bees are constantly threatened due to the wide use of pesticides. This study presents the effects of deltamethrin on the mortality, olfactory learning, and memory formation of the native Saudi bee Apis mellifera jemenitica. Topical and oral application of realistic field [...] Read more.
Honey bees are constantly threatened due to the wide use of pesticides. This study presents the effects of deltamethrin on the mortality, olfactory learning, and memory formation of the native Saudi bee Apis mellifera jemenitica. Topical and oral application of realistic field and serial dilutions of deltamethrin (250, 125, 62.5, and 25 ppm) caused significant mortality at 4, 12, 24, and 48 h posttreatment. Bee mortality increased with the increasing concentration of insecticide at all tested posttreatment times. Highest mortality was observed at 24 h and 48 h after both exposure routes. Food consumption gradually decreased with increasing concentration of deltamethrin during oral exposure. The LC50 of deltamethrin was determined at 12, 24, and 48 h for topical (86.28 ppm, 36.16 ppm, and 29.19 ppm, respectively) and oral (35.77 ppm, 32.53 ppm, and 30.78 ppm, respectively) exposure. Oral exposure led to significantly higher bee mortality than topical exposure of deltamethrin at 4 h and 12 h, but both exposure routes were equally toxic to bees at 24 h and 48 h. The sublethal concentrations (LC10, LC20, and LC30) of deltamethrin significantly impaired the learning during conditioning trials, as well as the memory formation of bees at 2, 12, and 24 h after topical and oral exposure. Thus, deltamethrin inhibits learning, and bees were unable to memorize the learned task. Full article
(This article belongs to the Special Issue Assessment of Pesticide Exposure and Toxicity: Honeybee as Indicator)
Show Figures

Figure 1

16 pages, 9547 KB  
Article
Proboscis Extension Response of Three Apis mellifera Subspecies toward Water and Sugars in Subtropical Ecosystem
by Abdulaziz S. Alqarni, Hussain Ali, Javaid Iqbal and Hael S. A. Raweh
Stresses 2023, 3(1), 182-197; https://doi.org/10.3390/stresses3010014 - 12 Jan 2023
Cited by 2 | Viewed by 2942
Abstract
The proboscis extension response (PER) assay revealed the responsiveness of three subspecies of the honeybee Apis mellifera [A. m. jemenitica (AMJ), A. m. carnica (AMC), and A. m. ligustica (AML)] to water and different concentrations (0.00001, [...] Read more.
The proboscis extension response (PER) assay revealed the responsiveness of three subspecies of the honeybee Apis mellifera [A. m. jemenitica (AMJ), A. m. carnica (AMC), and A. m. ligustica (AML)] to water and different concentrations (0.00001, 0.0001, 0.001, 0.01, 0.1, 0.5, 1.0, and 1.5 M) of three sugars (fructose, glucose, and sucrose) during the summer and fall seasons. The tested bee subspecies showed significantly different PERs to sugar types across the seasons. The water responsiveness of AMJ, a native bee subspecies, was significantly lower than that of AMC and AML, which showed an equally higher water response in both seasons. During the summer season, AMJ and AMC were equally responsive to each sugar type at all tested concentrations. AML was relatively less responsive to glucose at 0.001, 0.001, 0.01, 0.1, 0.5, and 1.0 M than to fructose and sucrose during the summer season. During the fall season, AMJ was equally responsive to glucose and sucrose at all tested concentrations but showed a significantly different response between fructose and sucrose at 0.001, 0.01, 0.1, 0.5, and 1.0 M concentrations. The PER of AMJ to fructose was lower than that of glucose and sucrose. AMC was equally responsive to all tested sugars at all concentrations, and AML showed a differential response between glucose and sucrose at different concentrations during the fall season. The inter-specific species comparisons revealed that all tested subspecies were equally responsive to fructose at all tested concentrations, and AMJ was more responsive to glucose and sucrose than AMC and AML during both seasons. AMC and AML showed no differences in PER to glucose and sucrose in either season. The AMJ, AMC, and AML nectar and pollen foragers showed no significant differences in PER to glucose and sucrose. The AMC nectar foragers were highly responsive to sucrose than pollen foragers at higher sucrose concentrations (0.1, 0.5, 1.0, and 1.5 M). The AML (nectar forager vs. pollen forgers) showed identical PER to sucrose and glucose but a higher response of nectar foragers to high glucose concentrations (0.5, 1.0, and 1.5 M) than pollen foragers. For water responsiveness, AMJ nectar and pollen foragers showed similar PER to water, whereas AMC and AML pollen foragers were significantly more responsive to water than nectar foragers. Full article
(This article belongs to the Section Animal and Human Stresses)
Show Figures

Figure 1

11 pages, 1233 KB  
Article
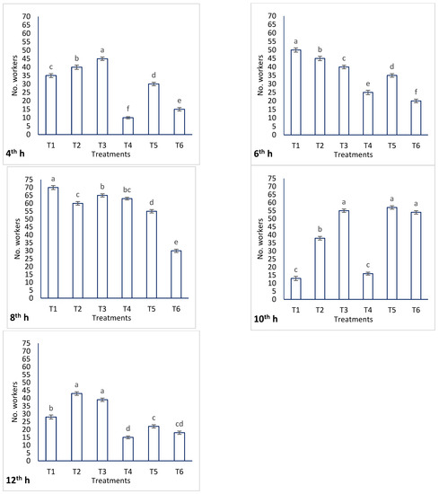
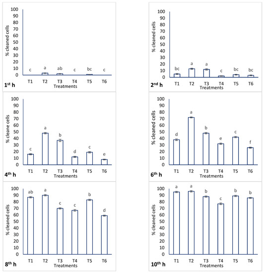
A Comparative Assessment of Hygienic Behavior of Carniolan (Apismelliferacarnica Pollmann) and Yemeni (Apismellifera jemenitica Ruttner) Honeybees Using Infra-Red Photography Video Recording
by Saad N. Al-Kahtani and El-Kazafy A. Taha
Sustainability 2022, 14(19), 12524; https://doi.org/10.3390/su141912524 - 30 Sep 2022
Cited by 3 | Viewed by 1883
Abstract
The use of infra-red photography video recording is very useful for conducting behavioristic studies of honeybees against many brood diseases. The removal of dead or diseased brood from capped cells by honeybee workers is a heritable trait that confers colony-level resistance. This work [...] Read more.
The use of infra-red photography video recording is very useful for conducting behavioristic studies of honeybees against many brood diseases. The removal of dead or diseased brood from capped cells by honeybee workers is a heritable trait that confers colony-level resistance. This work aimed to compare the hygienic behavior of the native (Yemeni bees, A. mellifera jemenitica) and the exotic (Carniolan bees, A. m. carnica) honeybee races in Saudi Arabia using an infra-red photography video recording. In addition, hygienic behavior towards the related and non-related combs was examined. Therefore, it is possible to obtain honeybee colonies with greater disease resistance. The pin-killing method and infra-red photography video recording were used for the evaluation of hygienic behavior in colonies of the two races. Significant differences in hygienic behavior between the two races were detected at the beginning of the experiment. Under the environmental conditions of eastern Saudi Arabia, the Yemeni honeybee colonies showed a higher number of uncapped and cleaned cells containing dead brood in either the brood comb from the same colony, or the brood comb from the same race but a different colony, or brood comb from a different race. It was concluded that the honeybee’s ability to detect and clean the dead brood from comb cells can be correlated with race and it is more efficient for the non-related individuals of the same race than from a related or another race. The outstanding performance of a few individuals in the expression of various traits indicates their usefulness in carrying out breeding programs for Varroa resistance. Full article
Show Figures

Figure 1

Back to TopTop