A Comparative Assessment of Hygienic Behavior of Carniolan (Apismelliferacarnica Pollmann) and Yemeni (Apismellifera jemenitica Ruttner) Honeybees Using Infra-Red Photography Video Recording
Abstract
1. Introduction
2. Materials and Methods
2.1. Site of the Experiment
2.2. Treatments
2.3. Experimental Procedure
2.4. Statistical Analysis
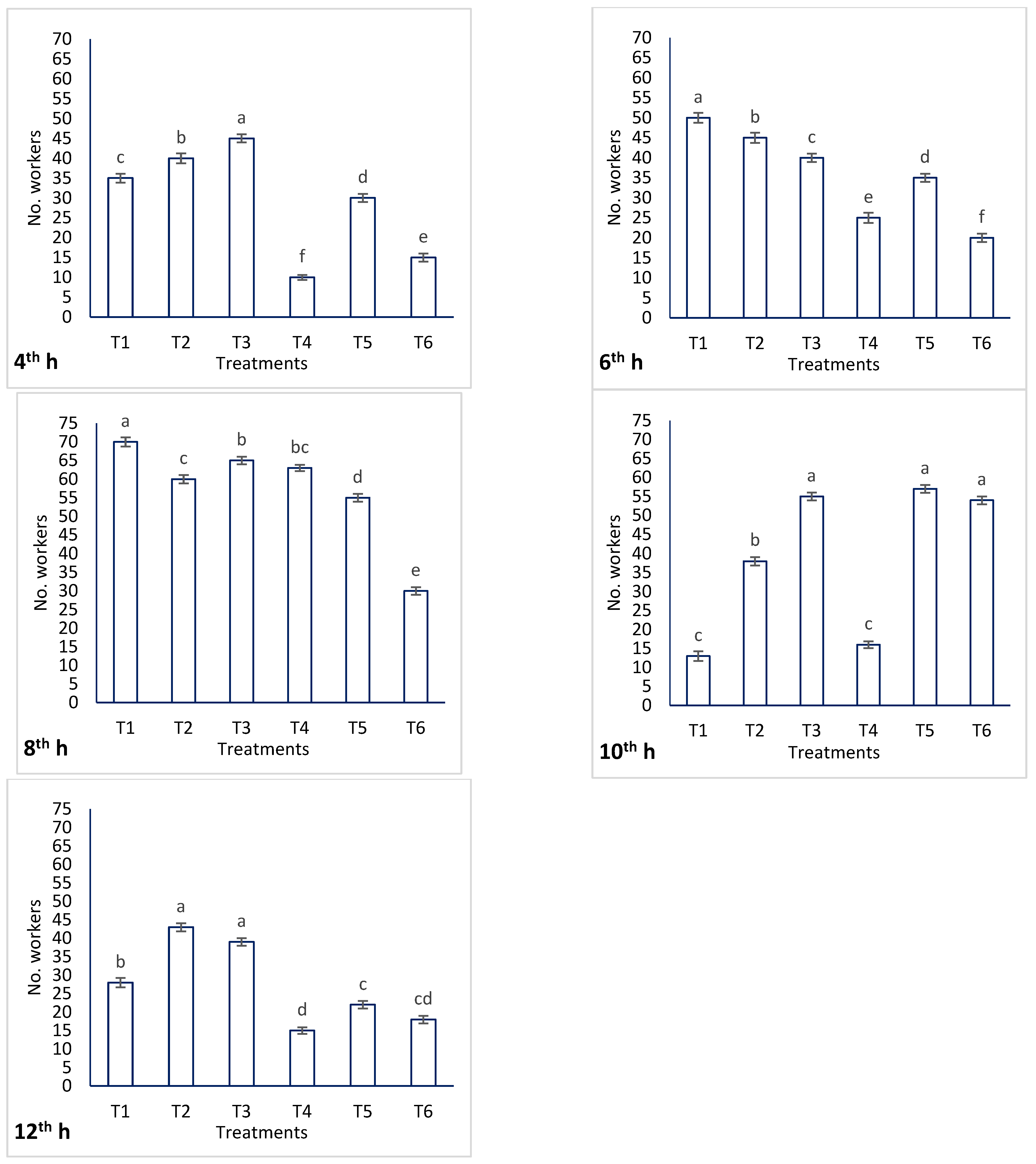
3. Results
4. Discussion
5. Conclusions
Author Contributions
Funding
Institutional Review Board Statement
Informed Consent Statement
Data Availability Statement
Conflicts of Interest
References
- Kamel, S.M.; Strange, J.P.; Sheppard, W.S. A scientific note on hygienic behavior in Apis mellifera lamarckii and A. m. carnica in Egypt. Apidologie 2003, 34, 189–190. [Google Scholar] [CrossRef]
- Balhareth, H.M.; Alqarni, A.S.; Owayss, A.A. Comparison of hygienic and grooming behaviours of indigenous and exotic honeybee, Apis mellifera races in central Saudi Arabia. Int. J. Agric. Biol. 2012, 14, 1005–1008. [Google Scholar]
- Khan, K.H.A.; Ghramh, H.A. An investigation of the efficacy of hygienic behavior of various honeybee (Apis mellifera) races toward Varroa destructor (Acari, Varroidae) mite infestation. J. King Saud Univ. Sci. 2021, 33, 101393. [Google Scholar] [CrossRef]
- Santillán-Galicia, M.T.; Otero-Colina, G.; Romero-Vera, C.; Cibrián-Tovar, J. Varroa destructor (Acari, Varroidae) infestation in queen, worker, and drone brood of Apis mellifera (Hymenoptera, Apidae). Can. Entomol. 2002, 134, 381–390. [Google Scholar] [CrossRef]
- Odemer, R. Reproductive capacity of varroa destructor in four different honeybee subspecies. Saudi J. Biol. Sci. 2020, 27, 247–250. [Google Scholar] [CrossRef]
- Marcangeli, J.A.; Damiani, N. Infestation levels of the mite Varroa destructor (Acari, Varroidae) in new and old honeybee brood combs of Apis mellifera (Hymenoptera, Apidae). Rev. Soc. Entomol. Argent. 2017, 66, 1–2. [Google Scholar]
- Taylor, M.A.; Goodwin, R.M.; McBrydie, H.M.; Cox, H.M. The effect of honeybee worker brood cell size on Varroa destructor infestation and reproduction. J. Apic. Res. 2008, 47, 239–242. [Google Scholar] [CrossRef]
- Berry, J.A.; Owens, W.B.; Delaplane, K.S. Small-cell comb foundation does not impede Varroa mite population growth in honeybee colonies. Apidologie 2010, 41, 40–44. [Google Scholar] [CrossRef]
- Olszewski, K.; Paleolog, J. Study on an easy method of hygienic behaviour evaluation in honeybee. Med. Wet. 2007, 63, 165–166. [Google Scholar]
- Olszewski, K.; Borsuk, G.; Paleolog, J.; Strachecka, A. Validation of the methods of hygienic behaviour evaluation in the honeybee. Med. Wet. 2013, 69, 749–752. [Google Scholar]
- Olszewski, K.; Borsuk, G.; Paleolog, J.; Strachecka, A.; Bajda, M. Hygienic behavior of colonies kept on small-cell combs. Med. Wet. 2014, 70, 774–776. [Google Scholar]
- Rothenbuhler, W.C. Behavior genetics of nest cleaning in honeybees. I. Responses of four inbred lines to disease killed brood. Anim. Behav. 1964, 12, 578–583. [Google Scholar] [CrossRef]
- Spivak, M. Honeybee hygienic behavior and defense against Varroa jacobsoni. Apidologie 1996, 27, 245–260. [Google Scholar] [CrossRef]
- Spivak, M.; Gilliam, M. Hygienic behaviour of honeybees and its application for control of brood diseases and varroa—Part I. Hygienic behaviour and resistance to American foulbrood. Bee World 1998, 79, 124–134. [Google Scholar] [CrossRef]
- Spivak, M.; Gilliam, M. Hygienic behaviour of honeybees and its application for control of brood diseases and varroa—Part II. Studies on hygienic behaviour since the Rothenbuhler era. Bee World 1998, 79, 169–186. [Google Scholar] [CrossRef]
- Spivak, M.; Reuter, G.S. Resistance to American foulbrood disease by honeybee colonies Apis mellifera bred for hygienic behavior. Apidologie 2001, 32, 555–565. [Google Scholar] [CrossRef]
- Swanson, J.A.; Torto, B.; Kells, S.A.; Mesce, K.A.; Tumlinson, J.H.; Spivak, M. Odorants that induce hygienic behavior in honeybees, identification of volatile compounds in chalkbrood-infected honeybee larvae. J. Chem. Ecol. 2009, 35, 1108–1116. [Google Scholar] [CrossRef]
- Spivak, M.; Reuter, G.S. Varroa destructor infestation in untreated honeybee (Hymenoptera Apidae) colonies selected for hygienic behavior. J. Econ. Entomol. 2001, 94, 326–331. [Google Scholar] [CrossRef]
- Leclercq, G.; Blacquière, T.; Gengler, N.; Francis, F. Hygienic removal of freeze-killed brood does not predict Varroa-resistance traits in unselected stocks. J. Apic. Res. 2018, 57, 292–299. [Google Scholar] [CrossRef]
- Leclercq, G.; Francis, F.; Gengler, N.; Blacquière, T. Bioassays to quantify hygienic behavior in honeybee (Apis mellifera L.) colonies, A review. J. Apic. Res. 2018, 57, 663–673. [Google Scholar] [CrossRef]
- Mondet, F.; Beaurepaire, A.; McAfee, A.; Locke, B.; Alaux, C.; Blanchard, S.; Danka, B.; Le Conte, Y. Honeybee survival mechanisms against the parasite Varroa destructor, A systematic review of phenotypic and genomic research efforts. Int. J. Parasitol. 2020, 50, 433–447. [Google Scholar] [CrossRef] [PubMed]
- Spivak, M.; Danka, R.G. Perspectives on hygienic behavior in Apis mellifera and other social insects. Apidologie 2020, 52, 1–16. [Google Scholar] [CrossRef]
- Morais, M.M.; Francoy, T.M.; Borissevitch, Y.; Gonçalves, L.S. A scientific note about spectroscopic analysis of honeybee brood comb cappings. Comparison of hygienic and non-hygienic bees lines in honeybees. Apidologie 2010, 41, 531–533. [Google Scholar] [CrossRef]
- Gramacho, K.; Goncalves, L.S.; Stort, A.C.; Noronha, A.B. Is the number of antennal plate organs (sensilla placodea) greater in hygienic than in non-hygienic Africanized honeybees? Genet. Mol. Res. 2003, 2, 309–316. [Google Scholar] [PubMed]
- Eid, K.S.A. Hygienic behavior levels of local honeybees estimated by a new assay and expressed by disease incidence. J. Agric. Env. Sci. Dam. Univ. Egypt 2013, 12, 20–45. [Google Scholar]
- Zhao, H.X.; Liang, Q.; Lee, J.H.; Zhang, X.F.; Huang, W.Z.; Chen, H.S.; Luo, Y.X. Behavioral responses of Apis mellifera adult workers to odors from healthy brood and diseased brood. Sociobiology 2015, 62, 564–570. [Google Scholar] [CrossRef]
- Buchler, R. Varroa tolerance in honeybees—Occurrence, characters and breeding. Bee World 1994, 49, 6–18. [Google Scholar]
- Currie, R.W.; Tahmasbi, G.H. The ability of high- and low-grooming lines of honeybees to remove the parasitic mite Varroa destructor is affected byenvironmental conditions. J. Can. Zool. 2008, 86, 1059–1067. [Google Scholar] [CrossRef]
- Woyke, J.; Wilde, J.; Phaincharoen, M. First evidence of hygienic behaviour in the dwarf honeybee Apis florea. J. Apic. Res. 2012, 51, 359–361. [Google Scholar] [CrossRef]
- Adjlane, N.; Haddad, N. The first data on hygienic behavior of Apis mellifera intermissa in Algeria. J. Biol. Earth Sci. 2014, 4, B1–B5. [Google Scholar]
- Pereira, R.A.; Morais, M.M.; Francoy, T.M.; Gonçalves, L.S. Hygienic behavior of Africanized honeybees Apis mellifera directed towards brood in old and new combs during diurnal and nocturnal periods. Insects 2013, 4, 521–532. [Google Scholar] [CrossRef] [PubMed]
- Palacio, M.A.; Rodriguez, E.; Goncalves, L.; Bedascarrasbure, E.; Spivak, M. Hygienic behaviours of honeybees in response to brood experimentally pin-killed or infected with Ascosphaera apis. Apidologie 2010, 41, 602–612. [Google Scholar] [CrossRef]
- Bigio, G. Hygienic Behaviour in Honeybees. Ph.D. Thesis, University of Sussex, Brighton, UK, 2014. [Google Scholar]
- Bienefeld, K. Estimation of heritability of honey production in the honeybee. Apidologie 1986, 17, 353–356. [Google Scholar]
- Taha, E.-K.A.; Al-Kahtani, S.N. Comparison of the activity and productivity of Carniolan (Apis mellifera carnica Pollmann) and Yemeni (Apis mellifera jemenitica Ruttner) subspecies under environmental conditions of the Al-Ahsa oasis of eastern Saudi Arabia. Saudi J. Biol. Sci. 2019, 26, 681–687. [Google Scholar] [CrossRef]
- Bienefeld, K.; Pirchner, F. Heritabilities for several colony traits in the honeybee (Apis mellifera carnica). Apidologie 1990, 21, 175–183. [Google Scholar] [CrossRef]
- Al-Kahtani, S.N.; Taha, E.-K.A. Morphometric study of Yemeni (Apis mellifera jemenitica) and Carniolan (A. m. carnica) honeybee workers in Saudi Arabia. PLoS ONE 2021, 16, e0247262. [Google Scholar] [CrossRef]
- Boecking, O.; Bienefeld, K.; Drescher, W. Heritability of the Varroa-specific hygienic behaviour in honeybees (Hymenoptera, Apidae). J. Anim. Breed. Genet. 2000, 117, 417–424. [Google Scholar] [CrossRef]
- Harbo, J.R.; Harris, J.W. Selecting honeybees for resistance to Varroa jacobsoni. Apidologie 1999, 30, 183–196. [Google Scholar] [CrossRef]
- Lapidge, K.L.; Oldroyd, B.P.; Spivak, M. Seven suggestive quantitative trait loci influence hygienic behavior of honeybees. Naturwissenschaften 2002, 89, 565–568. [Google Scholar] [CrossRef]
- Abou-Shaara, H.; Abbas, A.; AL-Kahtani, S.; Taha, E.-K.A.; Khan, K.; Jamal, Z.; Alotaibi, M.; Ahmad, B.; Khan, N.; Qamer, S.; et al. Exploring the non-coding regions in the mtDNA of some honeybee species and subspecies. Saudi J. Biol. Sci. 2021, 28, 204–209. [Google Scholar] [CrossRef]
- Dziechciarz, P.; Borsuk, G.; Olszewski, K. Dead brood of Apis mellifera is removed more effectively from small-cell combs than from standard-cell combs. Animals 2022, 12, 418. [Google Scholar] [CrossRef] [PubMed]
- Gramacho, K.; Goncalves, L.S.; Rosenkranz, P.; De Jong, D. Influence of body fluid from pin-killed honeybee pupae on hygienic behaviour. Apidologie 1999, 30, 367–374. [Google Scholar] [CrossRef]
- AL-Kahtani, S.; Bienefeld, K. The Nasonov gland pheromone is involved in recruiting honeybee workers for individual larvae to be reared as queens. J. Insect Behav. 2012, 25, 392–400. [Google Scholar] [CrossRef]
- Winston, M.L. The Biology of the Honeybee; Harvard University Press: Cambridge, MA, USA; London, UK, 1987; p. 281. [Google Scholar]
- Thakur, R.K.; Bienefeld, K.; Keller, R. Observation on defensive behaviour of Apis mellifera carnica against Varroa jacobsoni with help of Infra-red photography. Apidologie 1996, 27, 284–286. [Google Scholar]
- SAS Institute Inc. SAS Institute SAS/STAT User’s Guide Release 9.1; SAS Institute Inc.: Cary, NC, USA, 2003. [Google Scholar]
- Wilson-Rich, N.; Spivak, M.; Fefferman, N.H.; Starks, P.T. Genetic, individual, and group facilitation of disease resistance in insect societies. Ann. Rev. Entomol. 2009, 54, 405–423. [Google Scholar] [CrossRef]
- Leclercq, G.; Pannebakker, B.; Gengler, N.; Nguyen, B.K.; Francis, F. Drawbacks and benefits of hygienic behavior in honeybees (Apis mellifera L.), a review. J. Apic. Res. 2017, 56, 366–375. [Google Scholar] [CrossRef]
- Shakeel, M.; Ali, H.; Ahmad, S. Comparison of hygienic behavior of exotic honeybee Apis mellifera L. and indigenous honeybee Apis cerana of Pakistan. Sociobiol. 2020, 671, 74–79. [Google Scholar] [CrossRef]
- Ba˛bk, B.; Wilde, J.; Siuda, M. Comparison of hygienic behaviour between five honeybee breeding lines. J. Apic. Sci. 2010, 54, 17–24. [Google Scholar]
- Gramacho, K.; Goncalves, L.S. Comparative study of the hygienic behavior of Carniolan and Africanized honeybees directed towards grouped versus isolated dead brood cells. Genet. Mol. Res. 2009, 8, 744–750. [Google Scholar] [CrossRef]
- Taha, E.-K.A.; Al-Kahtani, S.N. The relationship between comb age and performance of honeybee colonies. Saudi J. Biol. Sci. 2020, 27, 30–34. [Google Scholar] [CrossRef]
- Al-Kahtani, S.N.; Taha, E.-K.A. Effect of comb age on cell measurements and worker body size. PLoS ONE 2021, 16, e0260865. [Google Scholar] [CrossRef] [PubMed]
- Dziechciarz, P.; Borsuk, G.; Olszewski, K. Possibility to change the body size in worker bees by a combination of small-cell and standard-cell combs in the same nest. Apidologie 2021, 52, 1017–1032. [Google Scholar] [CrossRef]
- Taha, E.-K.A.; Rakha, O.M.; Elnabawy, S.M.; Hassan, M.M.; Shawer, D.M.B. Comb age significantly influences the productivity of the honeybee (Apis mellifera) colony. J. King Saud Univ. Sci. 2021, 33, 101436. [Google Scholar] [CrossRef]
- Gerula, D.; Węgrzynowicz, P.; Panasiuk, B.; Bieńkowska, M.; Skowronek, W. Hygienic behaviour of honeybee colonies with different levels of polyandry and genotypic composition. J. Apic. Sci. 2015, 59, 107–113. [Google Scholar] [CrossRef][Green Version]





| Items | r | p-Value |
|---|---|---|
| W × C at 0 h | 0.29 | 0.1608 |
| W × C at 2nd hour | 0.80 ** | <0.0001 |
| W × C at 4th hour | 0.80 ** | <0.0001 |
| W × C at 6th hour | 0.65 ** | <0.0001 |
| W × C at 8th hour | 0.63 ** | <0.0009 |
| W × C at 10th hour | 0.06 | 0.7647 |
Publisher’s Note: MDPI stays neutral with regard to jurisdictional claims in published maps and institutional affiliations. |
© 2022 by the authors. Licensee MDPI, Basel, Switzerland. This article is an open access article distributed under the terms and conditions of the Creative Commons Attribution (CC BY) license (https://creativecommons.org/licenses/by/4.0/).
Share and Cite
Al-Kahtani, S.N.; Taha, E.-K.A. A Comparative Assessment of Hygienic Behavior of Carniolan (Apismelliferacarnica Pollmann) and Yemeni (Apismellifera jemenitica Ruttner) Honeybees Using Infra-Red Photography Video Recording. Sustainability 2022, 14, 12524. https://doi.org/10.3390/su141912524
Al-Kahtani SN, Taha E-KA. A Comparative Assessment of Hygienic Behavior of Carniolan (Apismelliferacarnica Pollmann) and Yemeni (Apismellifera jemenitica Ruttner) Honeybees Using Infra-Red Photography Video Recording. Sustainability. 2022; 14(19):12524. https://doi.org/10.3390/su141912524
Chicago/Turabian StyleAl-Kahtani, Saad N., and El-Kazafy A. Taha. 2022. "A Comparative Assessment of Hygienic Behavior of Carniolan (Apismelliferacarnica Pollmann) and Yemeni (Apismellifera jemenitica Ruttner) Honeybees Using Infra-Red Photography Video Recording" Sustainability 14, no. 19: 12524. https://doi.org/10.3390/su141912524
APA StyleAl-Kahtani, S. N., & Taha, E.-K. A. (2022). A Comparative Assessment of Hygienic Behavior of Carniolan (Apismelliferacarnica Pollmann) and Yemeni (Apismellifera jemenitica Ruttner) Honeybees Using Infra-Red Photography Video Recording. Sustainability, 14(19), 12524. https://doi.org/10.3390/su141912524

