Sign in to use this feature.

Years

Between: -

Subjects

remove_circle_outline
remove_circle_outline
remove_circle_outline
remove_circle_outline

Journals

Article Types

Countries / Regions

Search Results (7)

Search Parameters:
Keywords = Rubi Fructus

Order results
Result details
Results per page
Select all
Export citation of selected articles as:
25 pages, 3308 KB  
Article
Nutritionally Important Pro-Health Active Ingredients and Antioxidant Properties of Fruits and Fruit Juice of Selected Biennial Fruiting Rubus idaeus L. Cultivars
by Mirosława Chwil, Renata Matraszek-Gawron, Mikołaj Kostryco and Monika Różańska-Boczula
Pharmaceuticals 2023, 16(12), 1698; https://doi.org/10.3390/ph16121698 - 7 Dec 2023
Cited by 7 | Viewed by 2471
Abstract
Raspberry fruits are an important source of many biologically active chemical compounds exerting nutritional and pro-health effects. The study presents a comparative analysis of nutritionally important bioactive chemical compounds—polyphenols; flavonoids, including anthocyanins; vitamin C; amino acids; fatty acids; and primary metabolites—contained in the [...] Read more.
Raspberry fruits are an important source of many biologically active chemical compounds exerting nutritional and pro-health effects. The study presents a comparative analysis of nutritionally important bioactive chemical compounds—polyphenols; flavonoids, including anthocyanins; vitamin C; amino acids; fatty acids; and primary metabolites—contained in the fruits of three biennial fruiting cultivars, R. idaeus ‘Glen Ample’, ‘Laszka’, and ‘Radziejowa’, i.e., common cultivars in Poland and Europe. The antioxidant activity of fresh fruits and juice was determined with five methods. The analyses revealed the strong free radical scavenging potential of the fruits and juice, confirmed by the high concentration of nutrients, e.g., polyphenols, anthocyanins, vitamin C, amino acids, and fatty acids. The antioxidant activity of the juice determined with the ferric reducing antioxidant power (FRAP) and OH radical methods was from 2.5 to 4.0 times higher than that of the fruits. The following orders of total polyphenol contents were established in the analyzed cultivars: ‘Glen Ample’ < ‘Laszka’ < ‘Radziejowa’ in the fruits and ‘Glen Ample’ < ‘Radziejowa’ < ‘Laszka’ in the juice. The highest antioxidant activity was exhibited by the ‘Radziejowa’ fruits. Given their high content of dietary fiber, the fruits of the analyzed raspberry cultivars can be consumed by dieting subjects. The concentrations of vitamin C (28–34 mg/100 g) and anthocyanins (20–34 mg/100 g) indicate the biological and pharmacological activity of these fruits. The main unsaturated fatty acids in the fruits were gamma-linoleic acid (C18:2n6c) and alpha-linolenic acid (C18:3n3), which neutralize excess free radicals. The amino acids nutritionally essential to humans were dominated by leucine, arginine, and phenylalanine. This is the first comparative analysis of the antioxidant activity of fruits and juice and the contents of selected active compounds in the fruits of biennial fruiting cultivars of R. idaeus, i.e., a highly commercialized crop in Europe. Full article
(This article belongs to the Section Natural Products)
Show Figures

Figure 1

24 pages, 4382 KB  
Article
Rubi idaei fructus as a Source of Bioactive Chemical Compounds with an Important Role in Human Health and Comparison of the Antioxidant Potential of Fruits and Juice of Three Repeat-Fruiting Rubus idaeus L. Cultivars
by Mirosława Chwil, Renata Matraszek-Gawron and Mikołaj Kostryco
Metabolites 2023, 13(11), 1124; https://doi.org/10.3390/metabo13111124 - 2 Nov 2023
Cited by 3 | Viewed by 2476
Abstract
Rubi idaei fructus is a source of nutritionally important bioactive chemical compounds, mainly antioxidants, which strengthen the immune system and can be used in the prophylaxis and adjuvant therapies of many oxidative stress-induced diseases. There are no literature reports presenting a comprehensive comparative [...] Read more.
Rubi idaei fructus is a source of nutritionally important bioactive chemical compounds, mainly antioxidants, which strengthen the immune system and can be used in the prophylaxis and adjuvant therapies of many oxidative stress-induced diseases. There are no literature reports presenting a comprehensive comparative analysis of the antioxidant activity and nutritionally relevant metabolites contained in the fruits of repeat-fruiting raspberry cultivars, which are commonly grown in Europe. The aim of this study was to carry out a comparative analysis of the antioxidant potential (Folin–Ciocalteu, DPPH, FRAP), the content of selected primary and secondary metabolites, and the qualitative and quantitative composition of amino acids and fatty acids in the fruits of R. idaeus cv. ‘Pokusa’, ‘Polana’, and ‘Polka’. The fruits of the analyzed cultivars have a low caloric value (171–219 kcal/100 g); low content of available carbohydrates (6–6.6%) and total carbohydrates (3.4–4.8%); and high levels of dietary fiber (4.7–5.8%), vitamin C (22.8–27 mg/100 g), anthocyanins (25.1–29.6 mg/100 g), and flavonoids (0.5–2.6 mg/100 g). The fruits were found to contain valuable unsaturated fatty acids (35–60%), especially MUFAs with dominant oleic, elaidic, palmitic, and erucic acids and PUFAs (α-linolenic, eicosapentaenoic, and linoleic acids). MUFAs from the ω-9 group accounted for 12–18%, whereas the content of PUFAs from the ω-3 and ω-6 groups was in the range of 15–23 and 6–21%, respectively. Exogenous amino acids, accounting for 56–62%, were dominated by leucine, phenylalanine, and lysine. The following order of the total polyphenolic content was established in the fresh fruit juice from the analyzed cultivars: ‘Pokusa’ < ‘Polana’ < ‘Polka’. The different antioxidant capacity assays used in the study confirmed the high antioxidant potential of the fruits and fresh juice from the three R. idaeus cultivars. This indicates that raspberry fruits can serve as a source of nutrients and can be used as a valuable supplement in a healthy human diet and a raw material in the pharmaceutical and cosmetic industries. Full article
(This article belongs to the Section Plant Metabolism)
Show Figures

Figure 1

4 pages, 196 KB  
Editorial
Natural Products and Disease Prevention, Relief and Treatment
by Md Soriful Islam
Nutrients 2022, 14(12), 2396; https://doi.org/10.3390/nu14122396 - 9 Jun 2022
Cited by 12 | Viewed by 2793
Abstract
This Special Issue focusses on the role of natural products in disease prevention, relief and treatment [...] Full article
(This article belongs to the Special Issue Natural Products and Disease Prevention, Relief and Treatment)
12 pages, 1553 KB  
Article
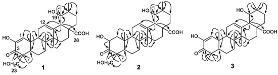
Highly Oxygenated Triterpenoids and Diterpenoids from Fructus Rubi (Rubus chingii Hu) and Their NF-kappa B Inhibitory Effects
by Jiang Wan, Xiao-Juan Wang, Nan Guo, Xi-Ying Wu, Juan Xiong, Yi Zang, Chun-Xiao Jiang, Bing Han, Jia Li and Jin-Feng Hu
Molecules 2021, 26(7), 1911; https://doi.org/10.3390/molecules26071911 - 29 Mar 2021
Cited by 17 | Viewed by 3251
Abstract
During a phytochemical investigation of the unripe fruits of Rubus chingii Hu (i.e., Fructus Rubi, a traditional Chinese medicine named “Fu-Pen-Zi”), a number of highly oxygenated terpenoids were isolated and characterized. These included nine ursane-type (1, 2, and 4 [...] Read more.
During a phytochemical investigation of the unripe fruits of Rubus chingii Hu (i.e., Fructus Rubi, a traditional Chinese medicine named “Fu-Pen-Zi”), a number of highly oxygenated terpenoids were isolated and characterized. These included nine ursane-type (1, 2, and 410), five oleanane-type (3, 1114), and six cucurbitane-type (1520) triterpenoids, together with five ent-kaurane-type diterpenoids (2125). Among them, (4R,5R,8R,9R,10R,14S,17S,18S,19R,20R)-2,19α,23-trihydroxy-3-oxo-urs-1,12-dien-28-oic acid (rubusacid A, 1), (2R*,4S*,5R*,8R*,9R*,10R*,14S*,17S*, 18S*,19R*,20R*)-2α,19α,24-trihydroxy-3-oxo-urs-12-en-28-oic acid (rubusacid B, 2), (5R,8R,9R,10R, 14S,17R,18S,19S)-2,19α-dihydroxy-olean-1,12-dien-28-oic acid (rubusacid C, 3), and (3S,5S,8S,9R, 10S,13R,16R)-3α,16α,17-trihydroxy-ent-kaur-2-one (rubusone, 21) were previously undescribed. Their chemical structures and absolute configurations were elucidated on the basis of spectroscopic data and electronic circular dichroism (ECD) analyses. Compounds 1 and 3 are rare naturally occurring pentacyclic triterpenoids featuring a special α,β-unsaturated keto-enol (diosphenol) unit in ring A. Cucurbitacin B (15), cucurbitacin D (16), and 3α,16α,20(R),25-tetrahydroxy-cucurbita-5,23- dien-2,11,22-trione (17) were found to have remarkable inhibitory effects against NF-κB, with IC50 values of 0.08, 0.61, and 1.60 μM, respectively. Full article
(This article belongs to the Section Natural Products Chemistry)
Show Figures

Graphical abstract

14 pages, 1250 KB  
Article
Rubi Fructus Water Extract Alleviates LPS-Stimulated Macrophage Activation via an ER Stress-Induced Calcium/CHOP Signaling Pathway
by Do-Hoon Kim, Ji-Young Lee, Young-Jin Kim, Hyun-Ju Kim and Wansu Park
Nutrients 2020, 12(11), 3577; https://doi.org/10.3390/nu12113577 - 22 Nov 2020
Cited by 15 | Viewed by 4807
Abstract
Despite the availability of antibiotics and vaccines, many intractable infectious diseases still threaten human health across the globe. Uncontrolled infections can lead to systemic inflammatory response syndrome and the excessive production of inflammatory cytokines, known as a cytokine storm. As cytokines also play [...] Read more.
Despite the availability of antibiotics and vaccines, many intractable infectious diseases still threaten human health across the globe. Uncontrolled infections can lead to systemic inflammatory response syndrome and the excessive production of inflammatory cytokines, known as a cytokine storm. As cytokines also play necessary and positive roles in fighting infections, it is important to identify nontoxic and anti-inflammatory natural products that can modulate cytokine production caused by infections. Rubi Fructus, the unripe fruits of Rubus coreanus Miquel, are known to possess antioxidative properties. In this study, the effect of the water extract of Rubi Fructus (RF) on the lipopolysaccharide (LPS)-induced inflammatory response in RAW 264.7 macrophages was investigated using biochemical and cell biology techniques. Our data indicated that RF inhibits p38 phosphorylation, intracellular calcium release, and the production of nitric oxide (NO), interleukin (IL)-6, monocyte chemotactic activating factor (MCP)-1, tumor necrosis factor (TNF)-α, leukemia inhibitory factor (LIF), lipopolysaccharide-induced CXC chemokine (LIX), granulocyte-colony stimulating factor (G-CSF), granulocyte macrophage colony-stimulating factor (GM-CSF), vascular endothelial growth factor (VEGF), macrophage colony-stimulating factor (M-CSF), macrophage inflammatory protein (MIP)-1α, MIP-1β, MIP-2, and regulated on activation, normal T cell expressed and secreted (RANTES) in LPS-treated macrophages. In addition, we observed decreasing mRNA expression of Chop, Camk2a, Stat1, Stat3, Jak2, Fas, c-Jun, c-Fos, Nos2, and Ptgs2 without cytotoxic effects. We concluded that RF demonstrated immunoregulatory activity on LPS-stimulated macrophages via an endoplasmic reticulum (ER) stress-induced calcium/CCAAT-enhancer-binding protein homologous protein (CHOP) pathway and the Janus kinase (JAK)/signal transducers and activators of transcription (STAT) pathway. Full article
(This article belongs to the Special Issue Natural Products and Disease Prevention, Relief and Treatment)
Show Figures

Figure 1

32 pages, 1728 KB  
Article
Analysis of Chemical Constituents in Wuzi-Yanzong-Wan by UPLC-ESI-LTQ-Orbitrap-MS
by Dixin Zou, Jinfeng Wang, Bo Zhang, Suhua Xie, Qing Wang, Kexin Xu and Ruichao Lin
Molecules 2015, 20(12), 21373-21404; https://doi.org/10.3390/molecules201219765 - 1 Dec 2015
Cited by 47 | Viewed by 9150
Abstract
Wuzi-Yanzong-Wan (WZYZW), a classical traditional Chinese medicine (TCM) prescription containing Fructus Lych, Semen Cuscutae (fried), Fructus Rubi, Fructus Schisandrae chinensis (steamed) and Semen Plantaginis (fried with salt), is widely used to treat impotence, sterility, spermatorrhea, premature ejaculation, lumbago and post-micturation dribble. [...] Read more.
Wuzi-Yanzong-Wan (WZYZW), a classical traditional Chinese medicine (TCM) prescription containing Fructus Lych, Semen Cuscutae (fried), Fructus Rubi, Fructus Schisandrae chinensis (steamed) and Semen Plantaginis (fried with salt), is widely used to treat impotence, sterility, spermatorrhea, premature ejaculation, lumbago and post-micturation dribble. However, the chemical profile of WZYZW has not been established yet. In this work, a rapid and sensitive method for systematically screening and identifying the chemical constituents of WZYZW in both positive and negative ion modes using Ultra-Performance LC coupled with ESI-linear ion trap-Orbitrap tandem mass spectrometry (UPLC-ESI-LTQ-Orbitrap-MS) has been developed. Based on the chromatographic and spectrometric data, and referring to the literature, we could tentatively identify 106 compounds, including organic acids, flavonoids, phenylpropanoids, alkaloids and terpenoids. Fourteen ingredients from Fructus Lych were identified, while 10 ingredients were from Semen Cuscutae (fried), 33 ingredients were from Fructus Rubi, 37 ingredients were from Fructus Schisandrae chinensis (steamed), and 20 ingredients were from Semen Plantaginis (fried with salt). The results may provide essential data for further quality control, pharmacological research and clinical evaluation of WZYZW. Furthermore, this study indicates the developed approach based on UPLC-ESI-LTQ-Orbitrap-MS is suitable for characterizing the chemical profiles of TCM prescriptions. This is the first report to provide a comprehensive analysis of the chemical constituents of WZYZW. Full article
(This article belongs to the Collection Herbal Medicine Research)
Show Figures

Figure 1

10 pages, 508 KB  
Article
Screening of Crude Plant Extracts with Anti-Obesity Activity
by Changhyun Roh and Uhee Jung
Int. J. Mol. Sci. 2012, 13(2), 1710-1719; https://doi.org/10.3390/ijms13021710 - 6 Feb 2012
Cited by 134 | Viewed by 15712
Abstract
Obesity is a global health problem. It is also known to be a risk factor for the development of metabolic disorders, type 2 diabetes, systemic hypertension, cardiovascular disease, dyslipidemia, and atherosclerosis. In this study, we screened crude extracts from 400 plants to test [...] Read more.
Obesity is a global health problem. It is also known to be a risk factor for the development of metabolic disorders, type 2 diabetes, systemic hypertension, cardiovascular disease, dyslipidemia, and atherosclerosis. In this study, we screened crude extracts from 400 plants to test their anti-obesity activity using porcine pancreatic lipase assay (PPL; triacylglycerol lipase, EC 3.1.1.3) in vitro activity. Among the 400 plants species examined, 44 extracts from plants, showed high anti-lipase activity using 2,4-dinitrophenylbutyrate as a substrate in porcine pancreatic lipase assay. Furthermore, 44 plant extracts were investigated for their inhibition of lipid accumulation in 3T3-L1 cells. Among these 44 extracts examined, crude extracts from 4 natural plant species were active. Salicis Radicis Cortex had the highest fat inhibitory activity, whereas Rubi Fructus, Corni Fructus, and Geranium nepalense exhibited fat inhibitory capacity higher than 30% at 100 μg/mL in 3T3-L1 adipocytes, suggesting anti-obesity activity. These results suggest that four potent plant extracts might be of therapeutic interest with respect to the treatment of obesity. Full article
(This article belongs to the Section Biochemistry)
Show Figures

Back to TopTop