Sign in to use this feature.

Years

Between: -

Subjects

remove_circle_outline
remove_circle_outline
remove_circle_outline
remove_circle_outline
remove_circle_outline

Journals

Article Types

Countries / Regions

remove_circle_outline
remove_circle_outline
remove_circle_outline

Search Results (309)

Search Parameters:
Keywords = QTL validation

Order results
Result details
Results per page
Select all
Export citation of selected articles as:
21 pages, 2695 KB  
Article
Marker-Assisted Breeding for Pyramiding Multiple Resistance to Soybean Fungal Diseases
by Carla María Lourdes Rocha, María Gabriela García, Esteban Mariano Pardo, José Ramón Sánchez, Atilio Pedro Castagnaro and María Amalia Chiesa
Agronomy 2026, 16(7), 754; https://doi.org/10.3390/agronomy16070754 - 2 Apr 2026
Viewed by 203
Abstract
Fungal diseases such as soybean stem canker (SSC), frogeye leaf spot (FLS), and sudden death syndrome (SDS) cause substantial yield losses in soybean worldwide. This study aimed to pyramid major resistance genes and QTLs against these diseases through marker-assisted backcrossing (MABC). Diagnostic SSR [...] Read more.
Fungal diseases such as soybean stem canker (SSC), frogeye leaf spot (FLS), and sudden death syndrome (SDS) cause substantial yield losses in soybean worldwide. This study aimed to pyramid major resistance genes and QTLs against these diseases through marker-assisted backcrossing (MABC). Diagnostic SSR markers, linked to Rdm4 (SSC), Rcs3 (FLS), and SDS resistance QTLs, were validated and successfully employed for foreground and background selection in crosses between the elite cultivar A8100RR and the resistant donor ‘Forrest’. Molecular analyses confirmed the effective introgression and fixation of multiple resistance loci in BC2F5 lines. Under artificial inoculation, lines R30-11 and R25-13 displayed high resistance levels to Diaporthe aspalathi, Cercospora sojina, Fusarium virguliforme, and F. tucumaniae. Genotype R30-11 exhibited the most consistent resistance across pathogens, while R25-13 combined multi-disease resistance with glyphosate tolerance and stable agronomic performance under field conditions comparable to commercial cultivars. These results represent, to our knowledge, the first report of successful pyramiding genes and QTLs against three distinct fungal diseases (SSC, FLS, and SDS) in soybean through MABC. The developed lines constitute valuable germplasm for breeding programs designed to achieve broad-spectrum, durable and sustainable disease management. Full article
(This article belongs to the Special Issue Functional Genomics and Molecular Breeding of Soybeans—2nd Edition)
Show Figures

Figure 1

13 pages, 1539 KB  
Article
Genome-Wide Linkage Mapping for Mixograph Properties in Common Wheat
by Qiqi Zhang, Fangfang Liu, Wenxin Cao, Yao Li, Yuxia Lv, Heng Zhou, Xin Du, Yingxiu Wan and Chuanxi Ma
Plants 2026, 15(7), 1016; https://doi.org/10.3390/plants15071016 - 26 Mar 2026
Viewed by 291
Abstract
Mixograph properties represent important quantitative traits that are controlled by multiple genes and influenced by environmental factors. In this study, we conducted quantitative trait locus (QTL) mapping for key Mixograph paraments using a recombinant inbred line (RIL) population derived from a cross between [...] Read more.
Mixograph properties represent important quantitative traits that are controlled by multiple genes and influenced by environmental factors. In this study, we conducted quantitative trait locus (QTL) mapping for key Mixograph paraments using a recombinant inbred line (RIL) population derived from a cross between Yangxiaomai and Zhongyou 9507. Based on a high-density genetic map, six stable QTLs were identified on chromosomes 1A, 1B, and 1D across four environments, with individual phenotypic variation explained, ranging from 2.26 to 28.70%. Among these, QTh.ahau-1A, QMt/QPa.ahau-1B, and QTw.ahau-1D.1 are potentially novel loci. Furthermore, four functional Kompetitive Allele-Specific PCR (KASP) markers were developed based on tightly linked SNPs and validated in 110 advanced breeding lines, confirming their significant association with the target traits and utility for marker-assisted selection (MAS). Additionally, six candidate genes were predicted, which encoded proteins such as a hydroxyproline-rich glycoprotein, a CCCH-type zinc finger protein, protease, kinase, a phosphoglucan water dikinase, and a TRP-like family protein. Collectively, these findings provide valuable genetic loci, functional molecular markers, and candidate gene resources for improving wheat processing quality through MAS-based breeding. Full article
(This article belongs to the Special Issue Cereal Crop Breeding, 2nd Edition)
Show Figures

Figure 1

11 pages, 1145 KB  
Article
Identification of Candidate Causal Polymorphisms in GGT1 and SLC5A1 Associated with Fat Area Ratio on BTA17 in Japanese Black Cattle
by Shinji Sasazaki, Hikari Ito, Ryoto Adachi, Eiji Iwamoto, Emi Yoshida, Fuki Kawaguchi, Kenji Oyama and Hideyuki Mannen
Genes 2026, 17(4), 363; https://doi.org/10.3390/genes17040363 - 24 Mar 2026
Viewed by 224
Abstract
Background/Objectives: Intramuscular fat deposition is a key determinant of beef quality in Japanese Black cattle, and the fat area ratio of the rib eye (FAR) is highly correlated with Beef Marbling Standard scores. Methods: To identify genetic variants underlying variation in [...] Read more.
Background/Objectives: Intramuscular fat deposition is a key determinant of beef quality in Japanese Black cattle, and the fat area ratio of the rib eye (FAR) is highly correlated with Beef Marbling Standard scores. Methods: To identify genetic variants underlying variation in the FAR, we conducted a genome-wide association study (GWAS) followed by whole-genome sequence–based fine mapping in a Hyogo Japanese Black population (n = 432). Animals were genotyped using the Illumina BovineSNP50v3 BeadChip, and association analysis was performed using residuals derived from a linear mixed model accounting for fixed and random effects. Results: A significant association signal was detected on BTA17 (λ = 1.09), with the top single nucleotide polymorphism (SNP) located at 17:72,329,662 (p = 3.60 × 10−6). To refine the candidate region, we analyzed whole-genome resequencing data from 42 Hyogo Japanese Black cattle and identified a distinct linkage disequilibrium (LD) block spanning 71–74 Mbp on BTA17. Among 4292 variants within genes showing LD (r2 ≥ 0.1) with the top SNP, 96 variants with strong LD and predicted functional effects were selected for validation. Genotyping in the Hyogo population revealed that a missense variant in gamma-glutamyltransferase 1 (GGT1) (c.589G>A, p.Asp197Asn) showed the strongest association with FAR (p = 3.89 × 10−6). A 5′UTR variant in GGT1 (c. −256G>T) and a missense variant in solute carrier family 5 member 1 (SLC5A1) (c.32C>T, p.Thr11Met) also exhibited significant associations and strong LD with the top SNP (r2 > 0.7). GGT1 is involved in glutathione metabolism, whereas SLC5A1 encodes a sodium–glucose cotransporter implicated in nutrient sensing and metabolic regulation. Conclusions: Although functional validation is required, these variants represent strong positional and biological candidates underlying the BTA17 quantitative trait loci (QTL). The identified polymorphisms may provide useful molecular markers for optimizing genetic improvement of marbling-related traits within the Hyogo Japanese Black population. Full article
Show Figures

Figure 1

30 pages, 1360 KB  
Systematic Review
Screening Methods for Downy Mildew Resistance in Maize: A Systematic Review
by Mable Chebichii Kipkoech, Arsenio Ndeve, Joao Bila, Pedro Fato, Suwilanji Nanyangwe, Kolawole Peter Oladiran and Constantino Francisco Lhamine
Genes 2026, 17(3), 350; https://doi.org/10.3390/genes17030350 - 22 Mar 2026
Viewed by 334
Abstract
Background/Objectives: Downy mildew, caused by Peronosclerospora and Sclerophthora species, is a major constraint to maize production in tropical and subtropical regions, with yield losses of 30–100%. This systematic review synthesised evidence on methods used to screen maize for downy mildew resistance and assessed [...] Read more.
Background/Objectives: Downy mildew, caused by Peronosclerospora and Sclerophthora species, is a major constraint to maize production in tropical and subtropical regions, with yield losses of 30–100%. This systematic review synthesised evidence on methods used to screen maize for downy mildew resistance and assessed their effectiveness, reliability, and associated markers. Methods: PubMed, Google Scholar, ScienceDirect, and CAB Abstracts were searched (last searched 22 October 2025) for English-language studies (1990–2025) evaluating phenotypic or molecular screening methods. Risk of bias was assessed using the RoB 2 framework. Narrative synthesis was conducted following a protocol registered on the Open Science Framework. Results: Twelve studies met the inclusion criteria, predominantly from India and Cambodia. Spreader row systems (seven studies) and conidial spray inoculation (six studies) were the most common field methods, while the glasshouse sandwich technique generated the highest disease pressure. Cross-method correlations were strong (r = 0.92–0.99), and heritability estimates ranged from 0.50 to 0.97. QTL mapping identified resistance loci on chromosomes 2, 3, and 6, with chromosome 6 stable across multiple pathogen species. Evidence certainty was moderate for method effectiveness and low for molecular markers. Conclusions: Established phenotypic screening methods reliably discriminate resistant germplasm; however, standardised protocols, broader geographic validation, and independent molecular marker confirmation are needed. Full article
Show Figures

Figure 1

20 pages, 2765 KB  
Article
Identification of SNPs and Candidate Genes Associated with Major Drought Tolerance QTL on Wheat Chromosome 4A
by Joanne Caguiat, Md Sultan Mia, Hui Liu, Guijun Yan and Kadambot H. M. Siddique
Plants 2026, 15(6), 921; https://doi.org/10.3390/plants15060921 - 16 Mar 2026
Viewed by 934
Abstract
Wheat (Triticum aestivum L.) is one of the most cultivated crops in the world, but production is often affected by drought. The wheat chromosome 4A contains several quantitative trait loci (QTL) associated with drought tolerance and yield-related traits, making it a valuable [...] Read more.
Wheat (Triticum aestivum L.) is one of the most cultivated crops in the world, but production is often affected by drought. The wheat chromosome 4A contains several quantitative trait loci (QTL) associated with drought tolerance and yield-related traits, making it a valuable target for genetic improvement. In this study, we developed near-isogenic lines (NILs) carrying qDT.4A.1, a major QTL for yield using a fast generation cycling system (FGCS) and characterized these NILs for grain yield and thousand-grain weight (TGW) under drought stress and control conditions. We identified a single nucleotide polymorphism (SNP) marker Kukri_c27037_112, which showed a consistent genotype–phenotype associations across two NIL pairs. This marker is linked to four candidate genes encoding a RING-finger E3 ubiquitin ligase, a receptor kinase, and a protein kinase family protein involved in drought stress response and pathways. In silico expression analyses revealed upregulation of these genes in grain tissue under drought conditions, supporting their potential role in grain development and yield formation during drought stress conditions. The identified SNP marker and its associated candidate genes are potential resources in marker-assisted selection and fine mapping pending further validation and functional studies. Our results provide valuable genomic resources, laying the foundation for the development of drought-tolerant wheat varieties and highlighting chromosome 4A as a key region governing drought tolerance. Full article
Show Figures

Figure 1

16 pages, 4098 KB  
Article
Mediation Role of Gut Microbiota in the Causal Relationship Between m6A Regulatory Genes and Metabolic Dysfunction-Associated Steatotic Liver Disease: A Mendelian Randomization Study
by Dongmei Qiu, Liwei Suo, Tao Wei, Zhenwei Lu, Qixin Weng, Jianxing Xiao, Xinchi Wang, Qinyu Xu and Jingtong Wu
Biomedicines 2026, 14(3), 630; https://doi.org/10.3390/biomedicines14030630 - 11 Mar 2026
Viewed by 399
Abstract
Background: Metabolic dysfunction-associated steatotic liver disease (MASLD) is a globally prevalent condition with a complex pathogenesis. While both m6A RNA methylation regulators and gut microbiota have been independently implicated in MASLD, their potential causal interplay remains unexplored. This study aimed to investigate [...] Read more.
Background: Metabolic dysfunction-associated steatotic liver disease (MASLD) is a globally prevalent condition with a complex pathogenesis. While both m6A RNA methylation regulators and gut microbiota have been independently implicated in MASLD, their potential causal interplay remains unexplored. This study aimed to investigate the causal relationships among m6A regulatory genes, gut microbiota, and MASLD, and to assess the mediating role of gut microbiota. Methods: We performed a two-sample Mendelian randomization (MR) analysis using publicly available genome-wide association study (GWAS) data. Genetic instruments for m6A regulators were derived from blood expression quantitative trait loci (eQTL) data. Gut microbiota and MASLD data were obtained from large-scale metagenomic and disease GWAS, respectively. The inverse-variance weighted method was the primary analysis, supplemented by sensitivity and mediation analyses to evaluate potential mediating pathways. Results: Genetically predicted levels of four m6A regulators showed significant causal associations with MASLD risk: ALKBH3 increased risk (OR = 1.17), whereas ALKBH5 (OR = 0.89), CBLL1 (OR = 0.76), and RBM15B (OR = 0.83) were protective. Nineteen gut microbial taxa were causally linked to MASLD. Among these, seven taxa were influenced by the four identified m6A genes. Although no mediation effects reached strict statistical significance, the pathway from ALKBH5 to MASLD via Parabacteroides abundance showed a suggestive indirect effect accounting for 21.9% of the total effect (p = 0.068). Given the limited statistical power of mediation analyses in MR settings, this observation should be interpreted with caution and requires validation in larger, well-powered studies. Conclusions: This MR study provides genetic evidence supporting causal roles of specific m6A regulators in MASLD and suggests that gut microbiota may partially mediate these relationships. The findings highlight a potential “m6A–gut microbiota–liver” axis in MASLD pathogenesis. Full article
(This article belongs to the Section Microbiology in Human Health and Disease)
Show Figures

Figure 1

19 pages, 2727 KB  
Article
Identification of Candidate Heat-Tolerance Genes in Maize by Integrating Linkage and Transcriptomic Analyses
by Mei Han, Xianfeng Yang, Jingfu Ma, Yuanming Wu, Chang Wang, Xingrong Wang, Yunling Peng and Yanjun Zhang
Plants 2026, 15(5), 691; https://doi.org/10.3390/plants15050691 - 25 Feb 2026
Viewed by 466
Abstract
With global warming, high-temperature stress has become a primary abiotic factor limiting maize yield and quality. Exposure to heat stress induces sunscald on maize leaves, which severely impairs photosynthesis and ultimately leads to yield reduction. In this study, we used the heat-tolerant inbred [...] Read more.
With global warming, high-temperature stress has become a primary abiotic factor limiting maize yield and quality. Exposure to heat stress induces sunscald on maize leaves, which severely impairs photosynthesis and ultimately leads to yield reduction. In this study, we used the heat-tolerant inbred line Zheng58 and the heat-sensitive inbred line HSBN, both of which are cultivated maize (Zea mays L. subsp. mays) inbred lines, as parents to construct F2 and F2:3 populations consisting of 257 lines. Phenotyping for sunscald at the flowering stage was performed across three field environments. The F2 population was genotyped using the Maize 10K SNP array to construct a genetic map containing 1728 single nucleotide polymorphism (SNP) markers. The map spanned 1406.22 cM, with an average marker density of 0.81 cM per marker. Eight quantitative trait loci (QTLs) associated with heat tolerance were identified in the F2/F2:3 populations, distributed on chromosomes 1, 4, 5, and 8, collectively explaining 3.43% to 35.44% of the phenotypic variation. Among them, the stable QTL qHT1-2 on chromosome 1 was consistently detected across all three environments, explaining 11.41% to 35.44% of the phenotypic variation. Additionally, a major QTL, qHT1-3, was identified on the same chromosome, accounting for 33.70% of the phenotypic variation. Transcriptome analysis of flowering-stage leaves from both parents revealed 9262 differentially expressed genes (DEGs). Of these, 21 DEGs were co-localized within the eight QTL intervals. The genes Zm00001eb013260, Zm00001eb012720, Zm00001eb013600, and Zm00001eb013100 exhibited highly significant differential expression between the parental lines, these four genes are identified as candidate genes in response to heat stress in maize, and their specific biological functions require further functional validation. Full article
(This article belongs to the Section Crop Physiology and Crop Production)
Show Figures

Figure 1

23 pages, 3404 KB  
Article
Genomic Regions Associated with Drought Tolerance and Other Traits in Lentils (Lens sp.)
by Andrea Fernandez-Gutierrez, Alvaro F. Rodriguez-Torres, Shaun Curtin, Ana I. González, Carlos Polanco and Juan J. Gutierrez-Gonzalez
Plants 2026, 15(5), 674; https://doi.org/10.3390/plants15050674 - 24 Feb 2026
Viewed by 452
Abstract
Drought is one of the major constraints to lentil production worldwide, making the development of drought-tolerant varieties essential for stable yields. Identifying genes and markers linked to drought tolerance is a crucial first step. We analyzed 90 recombinant inbred lines (RILs) derived from [...] Read more.
Drought is one of the major constraints to lentil production worldwide, making the development of drought-tolerant varieties essential for stable yields. Identifying genes and markers linked to drought tolerance is a crucial first step. We analyzed 90 recombinant inbred lines (RILs) derived from an interspecific cross between the drought-susceptible Lens culinaris cv. Alpo and the tolerant L. odemensis ILWL235 to investigate genomic regions associated with drought tolerance. Using 4163 high-quality SNP markers obtained through Genotyping-by-Sequencing (GBS), we constructed a linkage map showing seven groups corresponding to the lentil chromosomes. The map spans 786.82 cM and covers 3.46 G bp, representing approximately 88% of the lentil genome. To assess drought tolerance, RILs were subjected to water stress under greenhouse conditions by maintaining the soil moisture at a 40% field capacity (FC) in pots for 15 days, with the leaf relative water content (RWC) recorded every two days. Plants were phenotyped for yield, 100-seed weight, and seed number under both control and stress conditions. We identified 26 Quantitative Trait Loci (QTLs) strongly associated with drought tolerance traits and found putative candidate genes for most of them. Additional traits, including stem pigmentation, flower coloration, seed coat patterning, and seed ground color, were also mapped, and their genomic locations validated the accuracy of our linkage map. Full article
(This article belongs to the Special Issue Crop Genome Sequencing and Analysis)
Show Figures

Figure 1

13 pages, 1081 KB  
Article
Association of IL7 rs16906115 Polymorphism with Immune-Related Adverse Events in Patients with Advanced Lung Cancer Undergoing Immunotherapy
by Andrea González-Hernández, Guillermo Paz-López, Beatriz Martínez-Gálvez, Felipe Vaca Paniagua, Isabel Barragán, Elisabeth Pérez-Ruiz, José Carlos Benitez, Antonio Rueda-Dominguez and Javier Oliver
J. Clin. Med. 2026, 15(4), 1486; https://doi.org/10.3390/jcm15041486 - 13 Feb 2026
Viewed by 435
Abstract
Background: Immune checkpoint inhibitors (ICIs) have revolutionized the treatment of advanced non-small cell lung cancer (aNSCLC). However, immune-related adverse events (irAEs) remain a clinical challenge in this context. Genetic variants acting as cis-eQTLs may predict toxicity risk, thereby enabling personalized treatment. Specifically, [...] Read more.
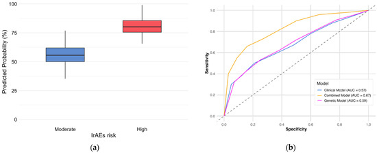
Background: Immune checkpoint inhibitors (ICIs) have revolutionized the treatment of advanced non-small cell lung cancer (aNSCLC). However, immune-related adverse events (irAEs) remain a clinical challenge in this context. Genetic variants acting as cis-eQTLs may predict toxicity risk, thereby enabling personalized treatment. Specifically, the interleukin 7 (IL7) rs16906115 variant has recently been implicated in ICI-related toxicity in other malignancies, like melanoma, although its role in lung cancer remains less defined. We investigated the association between the IL7 rs16906115 polymorphism, immune-related adverse events (irAEs), and survival outcomes in patients with aNSCLC receiving ICIs. Methods: This retrospective cohort study analyzed 153 patients with aNSCLC treated with ICIs (2018–2023) at two centers in Spain. The final analytical cohort included 124 patients with complete clinical follow-up. IL7 rs16906115 genotyping was performed using TaqMan assays. Associations between genotypes/alleles, irAEs, and survival (PFS/OS) were evaluated using logistic regression and Kaplan–Meier analysis. A clinical–genetic predictive model was developed. Results: The A allele frequency was 8.5%. Carriers of the A allele (AG/AA genotypes) had significantly higher irAEs rates compared to GG homozygotes (OR = 3.77, 95% CI: 1.16–12.6, p = 0.0081). The association remained significant after multivariable adjustment (OR = 4.64, 95% CI: 1.50–17.2, p = 0.0203). Crucially, A-allele carriers exhibited significantly shorter Progression-Free Survival compared to non-carriers (median 6.6 vs. 10 months, p = 0.0029). The combined clinical–genetic model achieved moderate predictive performance for toxicity (AUC = 0.67, 95% CI: 0.56–0.78) compared to clinical-only models (AUC = 0.57), stratifying patients into moderate- and high-risk groups, respectively. Conclusions: The IL7 rs16906115 polymorphism is a potential pharmacogenetic biomarker for predicting adverse events in aNSCLC immunotherapy. These findings identify the IL7 rs16906115 polymorphism as a candidate biomarker, suggesting its potential utility as an exploratory tool for risk stratification that warrants further validation. Full article
Show Figures

Graphical abstract

30 pages, 3064 KB  
Article
Genetic Insights into Circulating Complement Proteins in Myalgic Encephalomyelitis/Chronic Fatigue Syndrome: A Potential Inflammatory Subgroup
by Jessica Maya, Elizabeth R. Unger, Jin-Mann S. Lin and Mangalathu S. Rajeevan
Int. J. Mol. Sci. 2026, 27(3), 1574; https://doi.org/10.3390/ijms27031574 - 5 Feb 2026
Viewed by 888
Abstract
Myalgic Encephalomyelitis/Chronic Fatigue Syndrome (ME/CFS) is a debilitating multi-system illness with heterogeneity that complicates identifying the pathophysiology, biomarkers, and therapeutic targets. Evidence indicates the importance of immune dysregulation, including the complement system, in ME/CFS. This study investigates the contribution of genetic drivers to [...] Read more.
Myalgic Encephalomyelitis/Chronic Fatigue Syndrome (ME/CFS) is a debilitating multi-system illness with heterogeneity that complicates identifying the pathophysiology, biomarkers, and therapeutic targets. Evidence indicates the importance of immune dysregulation, including the complement system, in ME/CFS. This study investigates the contribution of genetic drivers to potential dysregulation of the complement pathway in ME/CFS. We used protein quantitative trait loci (pQTL) analyses, adjusted for covariates using linear and logistic regression, to identify genetic variants significantly associated with plasma complement protein levels in a study sample identified from the general population (50 ME/CFS and 121 non-fatigued). ME/CFS patients carrying certain pQTLs exhibited dysregulation of the alternative complement pathway, which defined an inflammatory subgroup with a high C3/low Bb profile and established a genetic link to dysregulation of the alternative complement pathway. Six of the significant pQTLs were also associated with fatigue-related phenotypes in the UK Biobank, four of which were complement-associated, providing some validation in an independent population. Our findings highlight a mechanism by which risk alleles contribute to ME/CFS heterogeneity, providing evidence of a genetic basis for complement dysregulation in a subset of patients. This approach could identify pathway-focused subgroups in ME/CFS and related illnesses to inform personalized approaches to diagnosis and treatment. Full article
Show Figures

Figure 1

20 pages, 2008 KB  
Article
Integrating Meta-QTL Analysis and Genome-Wide Association Mapping in Ethiopian Sesame (Sesamum indicum L.) Reveals Novel Loci for Plant Height and Seed Coat Color
by Adane Gebeyehu and Rodomiro Ortiz
Plants 2026, 15(3), 463; https://doi.org/10.3390/plants15030463 - 2 Feb 2026
Viewed by 1184
Abstract
Sesame (Sesamum indicum L.) is a nutrient-rich oilseed crop whose improvement can be accelerated by unlocking untapped genetic variation in African landraces. We integrated a global meta-quantitative trait loci (QTL) analysis with a genome-wide association study (GWAS) of Ethiopian germplasm to identify [...] Read more.
Sesame (Sesamum indicum L.) is a nutrient-rich oilseed crop whose improvement can be accelerated by unlocking untapped genetic variation in African landraces. We integrated a global meta-quantitative trait loci (QTL) analysis with a genome-wide association study (GWAS) of Ethiopian germplasm to identify molecular markers for plant height and seed coat color. Meta-analysis of eight available data sources revealed six conserved QTL hotspots on chromosomes 3, 4, 6, 8, 9, and 11. Subsequently, GWAS on 200 Ethiopian accessions, represented by 3683 SNPs, detected 36 significant associations, including novel loci on chromosomes 12 and 13 not reported in Asian-focused research. Candidate genes assigned to these loci implicated key hormonal and transcriptional mechanisms: brassinosteroid biosynthesis (CYP90B1) and ethylene signaling (AP2/ERF) probably regulate plant architecture, while transcription factors (WRKY23, DOF3.1, and SBP-like) modulate flavonoid pathways controlling seed coat pigmentation. Analyses of population structure revealed two distinct groups (K = 2), and linkage disequilibrium (LD) decayed rapidly (~190 kb), which allows fine-mapping. The present study presents validated molecular markers and candidate genes for marker-assisted selection in sesame breeding. Full article
(This article belongs to the Section Plant Genetics, Genomics and Biotechnology)
Show Figures

Figure 1

32 pages, 6380 KB  
Article
Identification and Development of Pathogen- and Pest-Specific Defense–Resistance-Associated SSR Marker Candidates Assisted by Machine Learning and Discovery of Putative QTL Hotspots in Camellia sinensis
by Ayşenur Eminoğlu
Plants 2026, 15(3), 454; https://doi.org/10.3390/plants15030454 - 2 Feb 2026
Viewed by 450
Abstract
In this study, a targeted SSR (Simple Sequence Repeat) marker resource was developed based on genes and protein families associated with pathogen- and pest-related defense–resistance mechanisms in Camellia sinensis. Forty-one genes and protein families reported to show upregulation, increased expression, or functional [...] Read more.
In this study, a targeted SSR (Simple Sequence Repeat) marker resource was developed based on genes and protein families associated with pathogen- and pest-related defense–resistance mechanisms in Camellia sinensis. Forty-one genes and protein families reported to show upregulation, increased expression, or functional validation under disease and pest stress were selected, and the corresponding 195 loci were mapped onto the Camellia sinensis cv. Shuchazao genome. SSR screening within gene bodies and gene-flanking regions (±5 kb) identified 5197 SSR loci. Putative QTL hotspot regions were defined using locus-based sliding-window analysis, Z-score calculations, and permutation tests, yielding 633 SSRs filtered at the 99% and 95% significance thresholds. Proteome-wide scans based on conserved amino acid motifs identified multiple loci within the WRKY, NAC, LRR, PRX, and CHI families, and Random Forest analysis was used to prioritize SSRs within these families. Finally, 386 SSR primer sets were designed and evaluated by in silico PCR across six tea genomes. Of these, 245 primers produced amplicons in more than one genome, and 124 exhibited polymorphic information content values greater than 0.500. Overall, the developed SSR panels represent a biologically contextualized and experimentally transferable marker resource targeting defense–resistance-associated genic and gene-proximal regions. Full article
(This article belongs to the Special Issue Genomics and Transcriptomics for Plant Development and Improvement)
Show Figures

Figure 1

30 pages, 1233 KB  
Systematic Review
Identification of Upland Rice Genotypes Resistant to Neck Blast Disease: A Systematic Review of Field and Greenhouse Studies
by Ojuka Jonathan, Joao Bila, Arsenio Ndeve and Lamo Jimmy
Genes 2026, 17(2), 183; https://doi.org/10.3390/genes17020183 - 31 Jan 2026
Viewed by 575
Abstract
This systematic review synthesizes evidence on upland rice (Oryza sativa L.) genotypes resistant to neck blast disease caused by Magnaporthe oryzae, focusing on resistant lines, screening methods, and genetic factors underlying resistance. Empirical studies published in English between 1980 and 2025 [...] Read more.
This systematic review synthesizes evidence on upland rice (Oryza sativa L.) genotypes resistant to neck blast disease caused by Magnaporthe oryzae, focusing on resistant lines, screening methods, and genetic factors underlying resistance. Empirical studies published in English between 1980 and 2025 were identified through searches of PubMed, ScienceDirect, Google Scholar, and grey literature, with final searches completed on 31 October 2025. Eligible studies evaluated upland rice under upland or rainfed conditions. The risk of bias was assessed using a customized framework adapted from the ROBINS-I tool, and findings were synthesized narratively due to substantial methodological heterogeneity. Six studies from Asia and Africa, encompassing 248 genotypes, met the inclusion criteria. Twenty genotypes—including Kahei, Barkhe 1032, Barkhe 1035, Barkhe 2014, several NERICA lines, and BC1F4 backcross derivatives—demonstrated moderate to high resistance based on the IRRI 0–9 Standard Evaluation System. Two studies reported quantitative trait loci (qBFR4-1, qBl1, and qBl2) associated with durable resistance, highlighting the potential of QTL-based breeding. Despite limitations related to small sample sizes, heterogeneous methodologies, and limited molecular characterization, particularly for neck blast-specific resistance, this review underscores the promise of marker-assisted selection. Future research should prioritize neck blast-focused QTL validation, expanded genomic screening, harmonized screening protocols, and multi-location field trials to confirm resistance durability and agronomic performance across diverse upland environments. Full article
(This article belongs to the Special Issue Research on Genetics and Breeding of Rice)
Show Figures

Figure 1

26 pages, 14801 KB  
Article
FLA1, Enhancing GA3 Contents in Flag Leaf Lamina Joint, Increases Flag Leaf Angle to Improve Outcross Rate and Hybrid Rice Seed Production
by Zhiyao Dong, Dalu Li, Xiaoxiao Hu, Xuanchi Liu, Nuoya Fei, Guocan Wu, Erbao Liu, Xiaojing Dang, Siyuan Zeng, Yuzhu Chen and Delin Hong
Plants 2026, 15(3), 446; https://doi.org/10.3390/plants15030446 - 31 Jan 2026
Viewed by 646
Abstract
Flag leaf angle (FLA) in rice (Oryza sativa L.) is one of the important traits affecting F1 seed production by mechanization. Here, we report the map-based cloning and functional characterization of the FLA1 (FLAG-LEAF-ANGLE 1) gene, which resides at [...] Read more.
Flag leaf angle (FLA) in rice (Oryza sativa L.) is one of the important traits affecting F1 seed production by mechanization. Here, we report the map-based cloning and functional characterization of the FLA1 (FLAG-LEAF-ANGLE 1) gene, which resides at a major-effect quantitative trait locus (QTL). Through cell morphological observations and exogenous hormone treatment assays, we demonstrate that gibberellin (GA) modulates rice FLA by altering both the number of cell layers and cell length. Combining genetic and molecular biological analyses with genetic complementation and gene overexpression assays, we elucidated and validated the biological function of FLA1. In addition, we found that FLA1 is constitutively expressed and encodes a protein localized to both the cell membrane and nucleus. Via RT-qPCR assays, we further demonstrated that the FLA1fla-R allele from the rice accession fla-R enhances GA biosynthesis by upregulating the expression of CLA1 and GA20ox2. Furthermore, yeast two-hybrid assays revealed that auxin-repressed protein 1 (ARP1) interacts with FLA1, suggesting a potential role of this interaction in the modulation of rice FLA. Collectively, our results demonstrate that optimizing rice FLA via molecular manipulation of FLA1 can resolve the problem of flag leaf shearing during F1 hybrid rice seed production without compromising F1 hybrid seed yield, thereby facilitating mechanized F1 hybrid rice seed production. Full article
Show Figures

Figure 1

13 pages, 6367 KB  
Article
Gene Expression-Based Colorectal Cancer Prediction Using Machine Learning and SHAP Analysis
by Yulai Yin, Zhen Yang, Xueqing Li, Shuo Gong and Chen Xu
Genes 2026, 17(1), 114; https://doi.org/10.3390/genes17010114 - 20 Jan 2026
Viewed by 841
Abstract
Objective: To develop and validate a genetic diagnostic model for colorectal cancer (CRC). Methods: First, differential expression genes (DEGs) between colorectal cancer and normal groups were screened using the TCGA database. Subsequently, a two-sample Mendelian randomization analysis was performed using the eQTL genomic [...] Read more.
Objective: To develop and validate a genetic diagnostic model for colorectal cancer (CRC). Methods: First, differential expression genes (DEGs) between colorectal cancer and normal groups were screened using the TCGA database. Subsequently, a two-sample Mendelian randomization analysis was performed using the eQTL genomic data from the IEU OpenGWAS database and colorectal cancer outcomes from the R12 Finnish database to identify associated genes. The intersecting genes from both methods were selected for the development and validation of the CRC genetic diagnostic model using nine machine learning algorithms: Lasso Regression, XGBoost, Gradient Boosting Machine (GBM), Generalized Linear Model (GLM), Neural Network (NN), Support Vector Machine (SVM), k-Nearest Neighbors (KNN), Random Forest (RF), and Decision Tree (DT). Results: A total of 3716 DEGs were identified from the TCGA database, while 121 genes were associated with CRC based on the eQTL Mendelian randomization analysis. The intersection of these two methods yielded 27 genes. Among the nine machine learning methods, XGBoost achieved the highest AUC value of 0.990. The top five genes predicted by the XGBoost method—RIF1, GDPD5, DBNDD1, RCCD1, and CLDN5—along with the five most significantly differentially expressed genes (ASCL2, IFITM3, IFITM1, SMPDL3A, and SUCLG2) in the GSE87211 dataset, were selected for the construction of the final colorectal cancer (CRC) genetic diagnostic model. The ROC curve analysis revealed an AUC (95% CI) of 0.9875 (0.9737–0.9875) for the training set, and 0.9601 (0.9145–0.9601) for the validation set, indicating strong predictive performance of the model. SHAP model interpretation further identified IFITM1 and DBNDD1 as the most influential genes in the XGBoost model, with both making positive contributions to the model’s predictions. Conclusions: The gene expression profile in colorectal cancer is characterized by enhanced cell proliferation, elevated metabolic activity, and immune evasion. A genetic diagnostic model constructed based on ten genes (RIF1, GDPD5, DBNDD1, RCCD1, CLDN5, ASCL2, IFITM3, IFITM1, SMPDL3A, and SUCLG2) demonstrates strong predictive performance. This model holds significant potential for the early diagnosis and intervention of colorectal cancer, contributing to the implementation of third-tier prevention strategies. Full article
(This article belongs to the Section Bioinformatics)
Show Figures

Figure 1

Back to TopTop