Sign in to use this feature.

Years

Between: -

Subjects

remove_circle_outline
remove_circle_outline
remove_circle_outline
remove_circle_outline
remove_circle_outline

Journals

Article Types

Countries / Regions

Search Results (19)

Search Parameters:
Keywords = Neyman–Pearson detection

Order results
Result details
Results per page
Select all
Export citation of selected articles as:
23 pages, 2966 KB  
Article
Dynamical System Modeling for Disruption in Supply Chain and Its Detection Using a Data-Driven Deep Learning-Based Architecture
by Víctor Hugo de la Cruz Madrigal, Liliana Avelar Sosa, Jose-Manuel Mejía-Muñoz, Jorge Luis García Alcaraz and Emilio Jiménez Macías
Logistics 2025, 9(2), 51; https://doi.org/10.3390/logistics9020051 - 8 Apr 2025
Viewed by 2700
Abstract
Background: The COVID-19 was a determining factor in the disruption of supply chains in the automotive industry, exacerbating material shortages. This led to increased supplier order cancelations, longer lead times, and reduced safety inventory levels. Methods: This study analyzes and models supply chain [...] Read more.
Background: The COVID-19 was a determining factor in the disruption of supply chains in the automotive industry, exacerbating material shortages. This led to increased supplier order cancelations, longer lead times, and reduced safety inventory levels. Methods: This study analyzes and models supply chain disruptions using system dynamics as a key tool, focusing on the disruptions caused by delays in scheduled orders and their impact on service levels within automotive supply chains in Mexico. This approach allowed us to capture the dynamic relationships and cascading effects associated with inventory shrinkage at Tier 2 suppliers, highlighting how these delays affect the chain’s overall performance. In addition to modeling using system dynamics, a deep-learning-based network was proposed to detect disruptions using the data generated by the dynamic model. The network architecture integrates convolutional layers for feature extraction and dense layers for classification, thereby enhancing its ability to identify disruption-related patterns. Results: The performance of the proposed model was evaluated using the AUC metric and compared with alternative methods. The proposed network achieved an AUC of 0.87, outperforming the multilayer perceptron model (AUC = 0.76) and a Neyman–Pearson-based model (AUC = 0.63). These results confirm the superior discriminatory ability of our approach, demonstrating higher accuracy and reliability in detecting disruptions. Furthermore, the dynamical models reveal that the domino effect increases delays in order reception due to the reduction in raw material inventories at Tier 2 suppliers. Conclusions: This paper effectively evaluates the impact of disruptions by demonstrating how reduced service levels propagate through the supply chain. Full article
(This article belongs to the Section Supplier, Government and Procurement Logistics)
Show Figures

Figure 1

21 pages, 3707 KB  
Article
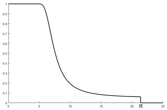
An Optimization Coverage Strategy for Wireless Sensor Network Nodes Based on Path Loss and False Alarm Probability
by Jianing Guo, Yunshan Sun, Ting Liu, Yanqin Li and Teng Fei
Sensors 2025, 25(2), 396; https://doi.org/10.3390/s25020396 - 10 Jan 2025
Cited by 8 | Viewed by 2538
Abstract
In existing coverage challenges within wireless sensor networks, traditional sensor perception models often fail to accurately represent the true transmission characteristics of wireless signals. In more complex application scenarios such as warehousing, residential areas, etc., this may lead to a large gap between [...] Read more.
In existing coverage challenges within wireless sensor networks, traditional sensor perception models often fail to accurately represent the true transmission characteristics of wireless signals. In more complex application scenarios such as warehousing, residential areas, etc., this may lead to a large gap between the expected effect of actual coverage and simulated coverage. Additionally, these models frequently neglect critical factors such as sensor failures and malfunctions, which can significantly affect signal detection. To address these limitations and enhance both network performance and longevity, this study introduces a perception model that incorporates path loss and false alarm probability. Based on this perception model, the optimization objective function of the WSN node optimization coverage problem is established, and then the intelligent optimization algorithm is used to solve the objective function and finally achieve the optimization coverage of sensor nodes. The study begins by deriving a logarithmic-based path loss model for wireless signals. It then employs the Neyman–Pearson criterion to formulate a maximum detection probability model under conditions where the cost function and prior probability are unknown, constraining the false alarm rate. Simulated experiments are conducted to assess the influence of various model parameters on detection probability, providing comparative analysis against traditional perception models. Ultimately, an optimization model for WSN coverage, based on combined detection probability, is developed and solved using an intelligent optimization algorithm. The experimental results indicate that the proposed model more accurately captures the signal transmission and detection characteristics of sensor nodes in WSNs. In the coverage area of the same size, the coverage of the model constructed in this paper is compared with the traditional 0/1 perception model and exponential decay perception model. The model can achieve full coverage of the area with only 50 nodes, while the exponential decay model requires 54 nodes, and the coverage of the 0/1 model is still less than 70% at 60 nodes. According to the simulation experiments, it can be basically proved that the WSN node optimization coverage strategy based on the proposed model provides an effective solution for improving network performance and extending network lifespan. Full article
(This article belongs to the Section Sensor Networks)
Show Figures

Figure 1

20 pages, 578 KB  
Article
Testing the Isotropic Cauchy Hypothesis
by Jihad Fahs, Ibrahim Abou-Faycal and Ibrahim Issa
Entropy 2024, 26(12), 1084; https://doi.org/10.3390/e26121084 - 11 Dec 2024
Cited by 2 | Viewed by 1035
Abstract
The isotropic Cauchy distribution is a member of the central α-stable family that plays a role in the set of heavy-tailed distributions similar to that of the Gaussian density among finite second-moment laws. Given a sequence of n observations, we are interested [...] Read more.
The isotropic Cauchy distribution is a member of the central α-stable family that plays a role in the set of heavy-tailed distributions similar to that of the Gaussian density among finite second-moment laws. Given a sequence of n observations, we are interested in characterizing the performance of Likelihood Ratio Tests, where two hypotheses are plausible for the observed quantities: either isotropic Cauchy or isotropic Gaussian. Under various setups, we show that the probability of error of such detectors is not always exponentially decaying with n, with the leading term in the exponent shown to be logarithmic instead, and we determine the constants in that leading term. Perhaps surprisingly, the optimal Bayesian probabilities of error are found to exhibit different asymptotic behaviors. Full article
(This article belongs to the Section Information Theory, Probability and Statistics)
Show Figures

Figure 1

16 pages, 2581 KB  
Article
A Parameter Estimation-Based Anti-Deception Jamming Method for RIS-Aided Single-Station Radar
by Shanshan Zhao, Jirui An, Biao Xie and Ziwei Liu
Remote Sens. 2024, 16(23), 4453; https://doi.org/10.3390/rs16234453 - 27 Nov 2024
Cited by 1 | Viewed by 1445
Abstract
Multi-station radar can provide better performance against deception jamming, but the harsh detection requirements and risk of network destruction undermine the practicability of the multi-station radar. Therefore, it is necessary to further explore the anti-deception jamming performance of a single-station radar. This paper [...] Read more.
Multi-station radar can provide better performance against deception jamming, but the harsh detection requirements and risk of network destruction undermine the practicability of the multi-station radar. Therefore, it is necessary to further explore the anti-deception jamming performance of a single-station radar. This paper introduces a novel method, based on parameter estimation with a virtual multi-station system, to discriminate range deceptive jamming. The system consists of a single-station radar assisted by the reconfigurable intelligent surfaces (RIS). A unified parameter estimation model for true and false targets is established, and the convex optimization method is applied to estimate the target location and deception range. The Cramer–Rao lower bound (CRLB) of the target localization and the measured deception range is then derived. By using the measured deception range and its CRLB, an optimal discrimination algorithm in accordance with the Neyman–Pearson lemma is designed. Simulation results demonstrate the feasibility of the proposed method and analyze the effects of factors such as signal-to-noise ratio (SNR), deception range, jammer location, and the RISs station arrangement on the discrimination performance. Full article
Show Figures

Figure 1

21 pages, 1727 KB  
Article
Flight Plan Optimisation of Unmanned Aerial Vehicles with Minimised Radar Observability Using Action Shaping Proximal Policy Optimisation
by Ahmed Moazzam Ali, Adolfo Perrusquía, Weisi Guo and Antonios Tsourdos
Drones 2024, 8(10), 546; https://doi.org/10.3390/drones8100546 - 1 Oct 2024
Cited by 3 | Viewed by 2163
Abstract
The increasing use of unmanned aerial vehicles (UAVs) is overwhelming air traffic controllers for the safe management of flights. There is a growing need for sophisticated path-planning techniques that can balance mission objectives with the imperative to minimise radar exposure and reduce the [...] Read more.
The increasing use of unmanned aerial vehicles (UAVs) is overwhelming air traffic controllers for the safe management of flights. There is a growing need for sophisticated path-planning techniques that can balance mission objectives with the imperative to minimise radar exposure and reduce the cognitive burden of air traffic controllers. This paper addresses this challenge by developing an innovative path-planning methodology based on an action-shaping Proximal Policy Optimisation (PPO) algorithm to enhance UAV navigation in radar-dense environments. The key idea is to equip UAVs, including future stealth variants, with the capability to navigate safely and effectively, ensuring their operational viability in congested radar environments. An action-shaping mechanism is proposed to optimise the path of the UAV and accelerate the convergence of the overall algorithm. Simulation studies are conducted in environments with different numbers of radars and detection capabilities. The results showcase the advantages of the proposed approach and key research directions in this field. Full article
(This article belongs to the Collection Drones for Security and Defense Applications)
Show Figures

Figure 1

23 pages, 1093 KB  
Article
Graph-Based Feature Weight Optimisation and Classification of Continuous Seismic Sensor Array Recordings
by Jiangfeng Li, Lina Stankovic, Vladimir Stankovic, Stella Pytharouli, Cheng Yang and Qingjiang Shi
Sensors 2023, 23(1), 243; https://doi.org/10.3390/s23010243 - 26 Dec 2022
Cited by 3 | Viewed by 2125
Abstract
Slope instabilities caused by heavy rainfall, man-made activity or earthquakes can be characterised by seismic events. To minimise mortality and infrastructure damage, a good understanding of seismic signal properties characterising slope failures is therefore crucial to classify seismic events recorded from continuous recordings [...] Read more.
Slope instabilities caused by heavy rainfall, man-made activity or earthquakes can be characterised by seismic events. To minimise mortality and infrastructure damage, a good understanding of seismic signal properties characterising slope failures is therefore crucial to classify seismic events recorded from continuous recordings effectively. However, there are limited contributions towards understanding the importance of feature selection for the classification of seismic signals from continuous noisy recordings from multiple channels/sensors. This paper first proposes a novel multi-channel event-detection scheme based on Neyman–Pearson lemma and Multi-channel Coherency Migration (MCM) on the stacked signal across multi-channels. Furthermore, this paper adapts graph-based feature weight optimisation as feature selection, exploiting the signal’s physical characteristics, to improve signal classification. Specifically, we alternatively optimise the feature weight and classification label with graph smoothness and semidefinite programming (SDP). Experimental results show that with expert interpretation, compared with the conventional short-time average/long-time average (STA/LTA) detection approach, our detection method identified 614 more seismic events in five days. Furthermore, feature selection, especially via graph-based feature weight optimisation, provides more focused feature sets with less than half of the original number of features, at the same time enhancing the classification performance; for example, with feature selection, the Graph Laplacian Regularisation classifier (GLR) raised the rockfall and slide quake sensitivities to 92% and 88% from 89% and 85%, respectively. Full article
(This article belongs to the Special Issue Automatic Detection of Seismic Signals)
Show Figures

Figure 1

20 pages, 9257 KB  
Article
Optimal Configuration of Array Elements for Hybrid Distributed PA-MIMO Radar System Based on Target Detection
by Cheng Qi, Junwei Xie, Haowei Zhang, Zihang Ding and Xiao Yang
Remote Sens. 2022, 14(17), 4129; https://doi.org/10.3390/rs14174129 - 23 Aug 2022
Cited by 5 | Viewed by 2869
Abstract
This paper establishes a hybrid distributed phased array multiple-input multiple-output (PA-MIMO) radar system model to improve the target detection performance by combining coherent processing gain and spatial diversity gain. First, the radar system signal model and array space configuration model for the PA-MIMO [...] Read more.
This paper establishes a hybrid distributed phased array multiple-input multiple-output (PA-MIMO) radar system model to improve the target detection performance by combining coherent processing gain and spatial diversity gain. First, the radar system signal model and array space configuration model for the PA-MIMO radar are established. Then, a novel likelihood ratio test (LRT) detector is derived based on the Neyman–Pearson (NP) criterion in a fixed noise background. It can jointly optimize the coherent processing gain and spatial diversity gain of the system by implementing subarray level and array element level optimal configuration at both receiver and transmitter ends in a uniform blocking manner. On this basis, three typical optimization problems are discussed from three aspects, i.e., the detection probability, the effective radar range, and the radar system equipment volume. The approximate closed-form solutions of them are constructed and solved by the proposed quantum particle swarm optimization-based stochastic rounding (SR-QPSO) algorithm. Through the simulations, it is verified that the proposed optimal configuration of the hybrid distributed PA-MIMO radar system offers substantial improvements compared to the other typical radar systems, detection probability of 0.98, and an effective range of 1166.3 km, which significantly improves the detection performance. Full article
(This article belongs to the Special Issue Small or Moving Target Detection with Advanced Radar System)
Show Figures

Graphical abstract

24 pages, 4276 KB  
Article
Joint Antenna Placement and Power Allocation for Target Detection in a Distributed MIMO Radar Network
by Cheng Qi, Junwei Xie and Haowei Zhang
Remote Sens. 2022, 14(11), 2650; https://doi.org/10.3390/rs14112650 - 1 Jun 2022
Cited by 12 | Viewed by 3020
Abstract
Radar network configuration and power allocation are of great importance in military applications, where the entire surveillance area needs to be searched under resource budget constraints. To pursue the joint antenna placement and power allocation (JAPPA) optimization, this paper develops a JAPPA strategy [...] Read more.
Radar network configuration and power allocation are of great importance in military applications, where the entire surveillance area needs to be searched under resource budget constraints. To pursue the joint antenna placement and power allocation (JAPPA) optimization, this paper develops a JAPPA strategy to improve target detection performance in a widely distributed multiple-input and multiple-output (MIMO) radar network. First, the three variables of the problem are incorporated into the Neyman–Pearson (NP) detector by using the antenna placement optimization and the Lagrange power allocation method. Further, an improved iterative greedy dropping heuristic method based on a two-stage local search is proposed to solve the NP-hard issues of high-dimensional non-linear integer programming. Then, the sum of the weighted logarithmic likelihood ratio test (LRT) function is constructed as optimization criteria for the JAPPA approach. Numerical simulations and the theoretical analysis confirm the superiority of the proposed algorithm in terms of achieving effective overall detection performance. Full article
Show Figures

Figure 1

15 pages, 438 KB  
Article
Optimal Power Allocation for Channel-Based Physical Layer Authentication in Dual-Hop Wireless Networks
by Ningbo Fan, Jiahui Sang, Yulin Heng, Xia Lei and Tao Tao
Sensors 2022, 22(5), 1759; https://doi.org/10.3390/s22051759 - 24 Feb 2022
Viewed by 2054
Abstract
Channel-based physical-layer authentication, which is capable of detecting spoofing attacks in dual-hop wireless networks with low cost and low complexity, attracted a great deal of attention from researchers. In this paper, we explore the likelihood ratio test (LRT) with cascade channel frequency response, [...] Read more.
Channel-based physical-layer authentication, which is capable of detecting spoofing attacks in dual-hop wireless networks with low cost and low complexity, attracted a great deal of attention from researchers. In this paper, we explore the likelihood ratio test (LRT) with cascade channel frequency response, which is optimal according to the Neyman–Pearson theorem. Since it is difficult to derive the theoretical threshold and the probability of detection for LRT, majority voting (MV) algorithm is employed as a trade-off between performance and practicality. We make decisions according to the temporal variations of channel frequency response in independent subcarriers separately, the results of which are used to achieve a hypothesis testing. Then, we analyze the theoretical false alarm rate (FAR) and miss detection rate (MDR) by quantifying the upper bound of their sum. Moreover, we develop the optimal power allocation strategy between the transmitter and the relay by minimizing the derived upper bound with the optimal decision threshold according to the relay-to-receiver channel gain. The proposed power allocation strategy takes advantage of the difference of noise power between the relay and the receiver to jointly adjust the transmit power, so as to improve the authentication performance on condition of fixed total power. Simulation results demonstrate that the proposed power allocation strategy outperforms the equal power allocation in terms of FAR and MDR. Full article
(This article belongs to the Special Issue System Design and Signal Processing for 6G Wireless Communications)
Show Figures

Figure 1

31 pages, 3912 KB  
Article
A Probabilistic Approach to Estimating Allowed SNR Values for Automotive LiDARs in “Smart Cities” under Various External Influences
by Roman Meshcheryakov, Andrey Iskhakov, Mark Mamchenko, Maria Romanova, Saygid Uvaysov, Yedilkhan Amirgaliyev and Konrad Gromaszek
Sensors 2022, 22(2), 609; https://doi.org/10.3390/s22020609 - 13 Jan 2022
Cited by 8 | Viewed by 4219
Abstract
The paper proposes an approach to assessing the allowed signal-to-noise ratio (SNR) for light detection and ranging (LiDAR) of unmanned autonomous vehicles based on the predetermined probability of false alarms under various intentional and unintentional influencing factors. The focus of this study is [...] Read more.
The paper proposes an approach to assessing the allowed signal-to-noise ratio (SNR) for light detection and ranging (LiDAR) of unmanned autonomous vehicles based on the predetermined probability of false alarms under various intentional and unintentional influencing factors. The focus of this study is on the relevant issue of the safe use of LiDAR data and measurement systems within the “smart city” infrastructure. The research team analyzed and systematized various external impacts on the LiDAR systems, as well as the state-of-the-art approaches to improving their security and resilience. It has been established that the current works on the analysis of external influences on the LiDARs and methods for their mitigation focus mainly on physical (hardware) approaches (proposing most often other types of modulation and optical signal frequencies), and less often software approaches, through the use of additional anomaly detection techniques and data integrity verification systems, as well as improving the efficiency of data filtering in the cloud point. In addition, the sources analyzed in this paper do not offer methodological support for the design of the LiDAR in the very early stages of their creation, taking into account a priori assessment of the allowed SNR threshold and probability of detecting a reflected pulse and the requirements to minimize the probability of “missing” an object when scanning with no a priori assessments of the detection probability characteristics of the LiDAR. The authors propose a synthetic approach as a mathematical tool for designing a resilient LiDAR system. The approach is based on the physics of infrared radiation, the Bayesian theory, and the Neyman–Pearson criterion. It features the use of a predetermined threshold for false alarms, the probability of interference in the analytics, and the characteristics of the LiDAR’s receivers. The result is the analytical solution to the problem of calculating the allowed SNR while stabilizing the level of “false alarms” in terms of background noise caused by a given type of interference. The work presents modelling results for the “false alarm” probability values depending on the selected optimality criterion. The efficiency of the proposed approach has been proven by the simulation results of the received optical power of the LiDAR’s signal based on the calculated SNR threshold and noise values. Full article
(This article belongs to the Special Issue Application and Technology Trends in Optoelectronic Sensors)
Show Figures

Figure 1

19 pages, 384 KB  
Article
Device Free Detection in Impulse Radio Ultrawide Bandwidth Systems
by Waqas Bin Abbas, Fuhu Che, Qasim Zeeshan Ahmed, Fahd Ahmed Khan and Temitope Alade
Sensors 2021, 21(9), 3255; https://doi.org/10.3390/s21093255 - 8 May 2021
Cited by 7 | Viewed by 2867
Abstract
In this paper, an analytical framework is presented for device detection in an impulse radio (IR) ultra-wide bandwidth (UWB) system and its performance analysis is carried out. The Neyman–Pearson (NP) criteria is employed for this device-free detection. Different from the frequency-based approaches, the [...] Read more.
In this paper, an analytical framework is presented for device detection in an impulse radio (IR) ultra-wide bandwidth (UWB) system and its performance analysis is carried out. The Neyman–Pearson (NP) criteria is employed for this device-free detection. Different from the frequency-based approaches, the proposed detection method utilizes time domain concepts. The characteristic function (CF) is utilized to measure the moments of the presence and absence of the device. Furthermore, this method is easily extendable to existing device-free and device-based techniques. This method can also be applied to different pulse-based UWB systems which use different modulation schemes compared to IR-UWB. In addition, the proposed method does not require training to measure or calibrate the system operating parameters. From the simulation results, it is observed that an optimal threshold can be chosen to improve the ROC for UWB system. It is shown that the probability of false alarm, PFA, has an inverse relationship with the detection threshold and frame length. Particularly, to maintain PFA<105 for a frame length of 300 ns, it is required that the threshold should be greater than 2.2. It is also shown that for a fix PFA, the probability of detection PD increases with an increase in interference-to-noise ratio (INR). Furthermore, PD approaches 1 for INR >2 dB even for a very low PFA i.e., PFA=1×107. It is also shown that a 2 times increase in the interference energy results in a 3 dB improvement in INR for a fixed PFA=0.1 and PD=0.5. Finally, the derived performance expressions are corroborated through simulation. Full article
(This article belongs to the Special Issue Localising Sensors through Wireless Communication)
Show Figures

Figure 1

16 pages, 27633 KB  
Article
Extended GLRT Detection of Moving Targets for Multichannel SAR Based on Generalized Steering Vector
by Chong Song, Bingnan Wang, Maosheng Xiang and Wei Li
Sensors 2021, 21(4), 1478; https://doi.org/10.3390/s21041478 - 20 Feb 2021
Cited by 4 | Viewed by 3266
Abstract
A generalized likelihood ratio test (GLRT) with the constant false alarm rate (CFAR) property was recently developed for adaptive detection of moving targets in focusing synthetic aperture radar (SAR) images. However, in the multichannel SAR-ground moving-target indication (SAR-GMTI) system, image defocus is inevitable, [...] Read more.
A generalized likelihood ratio test (GLRT) with the constant false alarm rate (CFAR) property was recently developed for adaptive detection of moving targets in focusing synthetic aperture radar (SAR) images. However, in the multichannel SAR-ground moving-target indication (SAR-GMTI) system, image defocus is inevitable, which will remarkably degrade the performance of the GLRT detector, especially for the lower radar cross-section (RCS) and slower radial velocity moving targets. To address this issue, based on the generalized steering vector (GSV), an extended GLRT detector is proposed and its performance is evaluated by the optimum likelihood ratio test (LRT) in the Neyman-Pearson (NP) criterion. The joint data vector formulated by the current cell and its adjacent cells is used to obtain the GSV, and then the extended GLRT is derived, which coherently integrates signal and accomplishes moving-target detection and parameter estimation. Theoretical analysis and simulated SAR data demonstrate the effectiveness and robustness of the proposed detector in the defocusing SAR images. Full article
(This article belongs to the Special Issue Synthetic Aperture Radar (SAR) Simulation and Processing)
Show Figures

Figure 1

18 pages, 608 KB  
Article
Detection of Transmitted Power Violation Based on Geolocation Spectrum Database in Satellite-Terrestrial Integrated Networks
by Ning Yang, Pinghui Li, Daoxing Guo, Linyuan Zhang and Guoru Ding
Sensors 2020, 20(16), 4462; https://doi.org/10.3390/s20164462 - 10 Aug 2020
Cited by 1 | Viewed by 2066
Abstract
This paper investigates the detection of the transmitted power violation (TPV) in the satellite-terrestrial integrated network, where the terrestrial base station may break the spectrum policies so that severe damages are made to the satellite systems. Due to the lack of prior information [...] Read more.
This paper investigates the detection of the transmitted power violation (TPV) in the satellite-terrestrial integrated network, where the terrestrial base station may break the spectrum policies so that severe damages are made to the satellite systems. Due to the lack of prior information on specific abnormal behaviors, this problem is complex and challenging. To tackle it, we first turn to the geolocation spectrum database based detecting framework, where not only the tasks of each segment but also the spectrum policies are specified. Then, the ternary hypothesis test and the generalized Neyman–Pearson (GMNP) test criterion are applied to maximize the detection probability under the false-alarm constraint. What is more, the Abnormal after Normal (AaN) detector is developed to simplify the analysis. Finally, simulations are conducted to demonstrate that the proposed detector can realize the detection of TPV in most cases at the expense of less than 10% detection probability. Full article
(This article belongs to the Section Sensor Networks)
Show Figures

Figure 1

31 pages, 995 KB  
Article
Detection Games under Fully Active Adversaries
by Benedetta Tondi, Neri Merhav and Mauro Barni
Entropy 2019, 21(1), 23; https://doi.org/10.3390/e21010023 - 29 Dec 2018
Cited by 8 | Viewed by 3501
Abstract
We study a binary hypothesis testing problem in which a defender must decide whether a test sequence has been drawn from a given memoryless source P 0 , while an attacker strives to impede the correct detection. With respect to previous works, the [...] Read more.
We study a binary hypothesis testing problem in which a defender must decide whether a test sequence has been drawn from a given memoryless source P 0 , while an attacker strives to impede the correct detection. With respect to previous works, the adversarial setup addressed in this paper considers an attacker who is active under both hypotheses, namely, a fully active attacker, as opposed to a partially active attacker who is active under one hypothesis only. In the fully active setup, the attacker distorts sequences drawn both from P 0 and from an alternative memoryless source P 1 , up to a certain distortion level, which is possibly different under the two hypotheses, to maximize the confusion in distinguishing between the two sources, i.e., to induce both false positive and false negative errors at the detector, also referred to as the defender. We model the defender–attacker interaction as a game and study two versions of this game, the Neyman–Pearson game and the Bayesian game. Our main result is in the characterization of an attack strategy that is asymptotically both dominant (i.e., optimal no matter what the defender’s strategy is) and universal, i.e., independent of P 0 and P 1 . From the analysis of the equilibrium payoff, we also derive the best achievable performance of the defender, by relaxing the requirement on the exponential decay rate of the false positive error probability in the Neyman–Pearson setup and the tradeoff between the error exponents in the Bayesian setup. Such analysis permits characterizing the conditions for the distinguishability of the two sources given the distortion levels. Full article
Show Figures

Figure 1

26 pages, 16108 KB  
Article
An Omnidirectional Morphological Method for Aerial Point Target Detection Based on Infrared Dual-Band Model
by Rang Liu, Dejiang Wang, Ping Jia and He Sun
Remote Sens. 2018, 10(7), 1054; https://doi.org/10.3390/rs10071054 - 4 Jul 2018
Cited by 19 | Viewed by 4446
Abstract
Aerial infrared point target detection under nonstationary background clutter is a crucial yet challenging issue in the field of remote sensing. This paper presents a novel omnidirectional multiscale morphological method for aerial point target detection based on a dual-band model. Considering that the [...] Read more.
Aerial infrared point target detection under nonstationary background clutter is a crucial yet challenging issue in the field of remote sensing. This paper presents a novel omnidirectional multiscale morphological method for aerial point target detection based on a dual-band model. Considering that the clutter noise conforms to the Gaussian distribution, the single-band detection model under the Neyman-Pearson (NP) criterion is established first, and then the optimal fused probability of detection under the dual-band model is deduced according to the And fusion rule. Next, the omnidirectional multiscale morphological Top-hat algorithm is proposed to extract all the possible targets distributing in every direction, and the local difference criterion is employed to eliminate the residual background edges further. The dynamic threshold-to-noise ratio (TNR) is adjusted to obtain the optimal probability of detection under the constant false alarm rate (CFAR) criterion. Finally, the dim point target is extracted after dual-band data correlation. The experimental result demonstrates that the proposed method achieves a high probability of detection and performs well with respect to suppressing complex background when compared with common algorithms. In addition, it also has the advantage of low complexity and easy implementation in real-time systems. Full article
(This article belongs to the Section Remote Sensing Image Processing)
Show Figures

Graphical abstract

Back to TopTop