Sign in to use this feature.

Years

Between: -

Subjects

remove_circle_outline
remove_circle_outline
remove_circle_outline
remove_circle_outline
remove_circle_outline

Journals

Article Types

Countries / Regions

Search Results (5)

Search Parameters:
Keywords = Narcissus pseudonarcissus L.

Order results
Result details
Results per page
Select all
Export citation of selected articles as:
12 pages, 425 KB  
Article
Seed Germination Inhibitory Activity of Alkaloid Fractions from Narcissus pseudonarcissus cv. Carlton and Narcissus poeticus Leaves
by Milena Nikolova, Elina Yankova-Tsvetkova, Boriana Sijimova, Rumen Denev and Strahil Berkov
Horticulturae 2025, 11(10), 1154; https://doi.org/10.3390/horticulturae11101154 - 25 Sep 2025
Viewed by 828
Abstract
Narcissus species have been cultivated for centuries around the world and are mainly used as cut flowers. Although the bulbs of these species have been widely examined as sources of alkaloids and biological activity, the leaves have been understudied. In the present study [...] Read more.
Narcissus species have been cultivated for centuries around the world and are mainly used as cut flowers. Although the bulbs of these species have been widely examined as sources of alkaloids and biological activity, the leaves have been understudied. In the present study alkaloid fractions of leaves from Narcissus pseudonarcissus cv. Carlton and N. poeticus L. were evaluated for inhibitory activity against seed germination of Lolium perenne L. and Trifolium pratense L. Separately, the metabolic profiles from seedlings of the target species were analyzed after treatment with a lycorine solution. The composition of methanolic extracts from seedlings and alkaloid fractions of Narcissus leaves were determined using GC/MS. The N. pseudonarcissus alkaloid fraction was more active than that of N. poeticus. Complete inhibitory activity of the alkaloid fraction was established at a concentration of 1 or 2 mg/mL, depending on the target species. Lycoramine and galanthine were identified as the main alkaloids of N. pseudonarcissus. 8-O-Demethylmaritidine, maritidine and homolycorine were found to be the predominant alkaloids of N. poeticus. Increased accumulation of some amino acids, saccharides and polyols, indicating protein synthesis inhibition, was the most common response of target species seedlings treated with 0.17 µM lycorine. The results showed the promising potential of alkaloid fractions from the leaves of Narcissus species as seed germination inhibitors. The study contributes to full utilization of the resources of these species and presents, to our knowledge, for the first time data on changes in the metabolic profiles of L. perenne and T. pratense seedlings after treatment with lycorine. Full article
Show Figures

Graphical abstract

12 pages, 967 KB  
Article
Alkaloid Profile of Fifteen Different Species of Narcissus L. (Amaryllidoideae) Collected in Spain
by María Lenny Rodríguez-Escobar, Vanessa Martínez-Francés, Segundo Ríos, Gabriela E. Feresin, Warley de Souza Borges, Jaume Bastida, Laura Torras-Claveria and Luciana R. Tallini
Plants 2025, 14(17), 2793; https://doi.org/10.3390/plants14172793 - 6 Sep 2025
Viewed by 1015
Abstract
Molecular diversity is a key component of overall biodiversity, playing a vital role in evolution. It results from the adaptation of organisms to various habitats, which impacts their survival. The Amaryllidoideae subfamily is a significant group of monocotyledonous plants known for producing an [...] Read more.
Molecular diversity is a key component of overall biodiversity, playing a vital role in evolution. It results from the adaptation of organisms to various habitats, which impacts their survival. The Amaryllidoideae subfamily is a significant group of monocotyledonous plants known for producing an exclusive and still-expanding group of molecules with diverse biological activities. Galanthamine (Gal), the most renowned metabolite from Amaryllidoideae subfamily, has been marketed for the palliative treatment of Alzheimer’s disease since 2001 due to its ability to inhibit the acetylcholinesterase enzyme. Due to the high cost and low yield of its synthesis, pharmaceutical companies extract this drug from Amaryllidoideae plants, such as Narcissus pseudonarcissus cv. Carlton in Europe and Lycoris radiata in China. The aim of this study was to describe the alkaloid profile of fifteen different species of Narcissus L. (commonly known as daffodils) collected in Spain using gas chromatography coupled with mass spectrometry. Fifty-one alkaloids were identified and quantified within these species through our private library of Amaryllidaceae alkaloids (AA) built over the last four decades, while thirty structures remained not identified in thirteen of these species. The highest concentration of these nitrogenate metabolites was quantified in N. confusus, 541 μg Gal·100 mg−1 DW, which also exhibited a notably high concentration of Gal, 301 μg Gal·100 mg−1 DW, which represents about 55% of the alkaloids identified in this species. The species N. bujei was also found to contain a significant quantity of this compound, amounting to 103.2 μg Gal·100 mg−1 DW. The plant N. assoanus harbored a total of seven unidentified compounds, indicating that this species could be a potentially important source of novel alkaloids. In conclusion, this study facilitates a direct comparison of alkaloid profiles for fifteen Narcissus plant species. This serves as a valuable tool for identifying possible new sources of galanthamine, as well as other novel medicinal alkaloids. Finally, this work presents the first alkaloid profile of the species N. minor and N. nevadensis. Full article
(This article belongs to the Special Issue Alkaloids: Chemical Structures with Pharmaceutical Potential)
Show Figures

Figure 1

15 pages, 3274 KB  
Article
The Anti-Cholinesterase Potential of Fifteen Different Species of Narcissus L. (Amaryllidaceae) Collected in Spain
by Luciana R. Tallini, Giulia Manfredini, María Lenny Rodríguez-Escobar, Segundo Ríos, Vanessa Martínez-Francés, Gabriela E. Feresin, Warley de Souza Borges, Jaume Bastida, Francesc Viladomat and Laura Torras-Claveria
Life 2024, 14(4), 536; https://doi.org/10.3390/life14040536 - 22 Apr 2024
Cited by 3 | Viewed by 2510
Abstract
Narcissus L. is a renowned plant genus with a notable center of diversity and is primarily located in the Mediterranean region. These plants are widely recognized for their ornamental value, owing to the beauty of their flowers; nonetheless, they also hold pharmacological importance. [...] Read more.
Narcissus L. is a renowned plant genus with a notable center of diversity and is primarily located in the Mediterranean region. These plants are widely recognized for their ornamental value, owing to the beauty of their flowers; nonetheless, they also hold pharmacological importance. In Europe, pharmaceutical companies usually use the bulbs of Narcissus pseudonarcissus cv. Carlton to extract galanthamine, which is one of the few medications approved by the FDA for the palliative treatment of mild-to-moderate symptoms of Alzheimer’s disease. The purpose of this study was to evaluate the potential of these plants in Alzheimer’s disease. The alkaloid extract from the leaves of different species of Narcissus was obtained by an acid-base extraction work-up -procedure. The biological potential of the samples was carried out by evaluating their ability to inhibit the enzymes acetyl- and butyrylcholinesterase (AChE and BuChE, respectively). The species N. jacetanus exhibited the best inhibition values against AChE, with IC50 values of 0.75 ± 0.03 µg·mL−1, while N. jonquilla was the most active against BuChE, with IC50 values of 11.72 ± 1.15 µg·mL−1. Full article
(This article belongs to the Special Issue Alkaloids: Extraction, Analysis and Function Research)
Show Figures

Figure 1

19 pages, 2499 KB  
Article
Optimization of Plant Production by Seed Treatment in Two Wild Subspecies of Narcissus pseudonarcissus Rich in Alkaloids
by Raquel Herranz, Miguel A. Copete, José M. Herranz, Elena Copete and Pablo Ferrandis
Molecules 2020, 25(19), 4439; https://doi.org/10.3390/molecules25194439 - 27 Sep 2020
Cited by 4 | Viewed by 2636
Abstract
The daffodil Narcissus pseudonarcissus L. contains alkaloids of pharmaceutical interest. Wild daffodil populations have diverse genetic backgrounds and various genetic traits of possible importance. Developing protocols for plant production from seeds may ensure the availability of a large reservoir of individuals as well [...] Read more.
The daffodil Narcissus pseudonarcissus L. contains alkaloids of pharmaceutical interest. Wild daffodil populations have diverse genetic backgrounds and various genetic traits of possible importance. Developing protocols for plant production from seeds may ensure the availability of a large reservoir of individuals as well as being important for species with bulbs that are difficult to acquire. The closely related Narcissus pseudonarcissus subsp. munozii-garmendiae and subsp. nevadensis were investigated in this study because the alkaloids isolated from both are of high pharmacological interest. At the dispersal time, the seeds of both were dormant with underdeveloped embryos, i.e., morphophysiological dormancy (MPD). Experiments were conducted outdoors and under controlled laboratory conditions. Embryo growth and the percentages of radicle and seedling emergence were calculated under different temperature–light stratifications. In N. munozii-garmendiae, embryo growth occurred during warm stratification (28/14 °C or 25/10 °C) and the radicle then emerged when the temperature decreased, but the shoot was dormant. In N. nevadensis, the seeds germinated when cold stratified (5 °C) and then incubated at cool temperatures. Thus, N. munozii-garmendiae and N. nevadensis exhibit different levels of MPD, i.e., deep simple epicotyl and intermediate complex, respectively. Plant production protocols from seeds were established for both taxa in this study. Full article
(This article belongs to the Special Issue Amaryllidaceae Alkaloids)
Show Figures

Figure 1

17 pages, 2934 KB  
Article
Molecular Cloning and Characterization of a meta/para-O-Methyltransferase from Lycoris aurea
by Bin Sun, Peng Wang, Ren Wang, Yikui Li and Sheng Xu
Int. J. Mol. Sci. 2018, 19(7), 1911; https://doi.org/10.3390/ijms19071911 - 29 Jun 2018
Cited by 54 | Viewed by 6032
Abstract
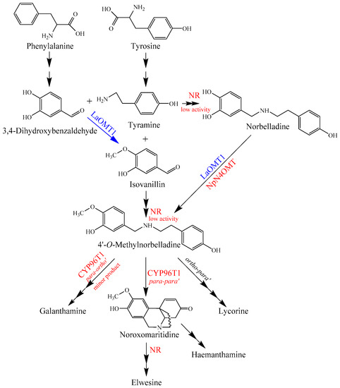
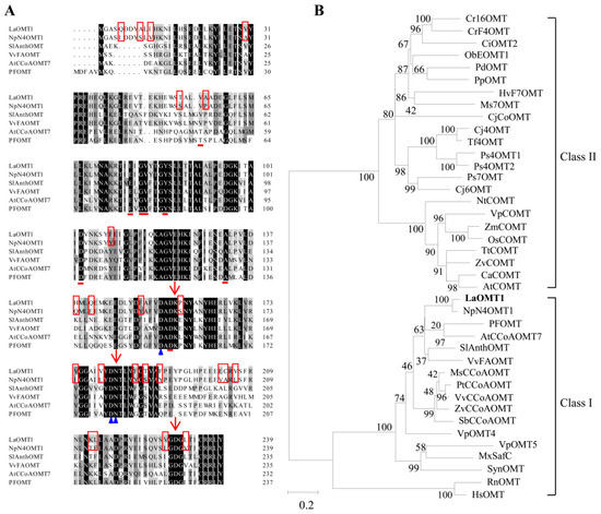
O-methyltransferases (OMTs) have been demonstrated to play key roles in the biosynthesis of plant secondary metabolites, such as alkaloids, isoprenoids, and phenolic compounds. Here, we isolated and characterized an OMT gene from Lycoris aurea (namely LaOMT1), based on our previous transcriptome [...] Read more.
O-methyltransferases (OMTs) have been demonstrated to play key roles in the biosynthesis of plant secondary metabolites, such as alkaloids, isoprenoids, and phenolic compounds. Here, we isolated and characterized an OMT gene from Lycoris aurea (namely LaOMT1), based on our previous transcriptome sequencing data. Sequence alignment and phylogenetic analysis showed that LaOMT1 belongs to the class I OMT, and shares high identity to other known plant OMTs. Also, LaOMT1 is highly identical in its amino acid sequence to NpN4OMT, a norbelladine 4′-OMT from Narcissus sp. aff. pseudonarcissus involved in the biosynthesis of Amaryllidaceae alkaloids. Biochemical analysis indicated that the recombinant LaOMT1 displayed both para and metaO-methylation activities with caffeic acid and 3,4-dihydroxybenzaldehyde, and showed a strong preference for the meta position. Besides, LaOMT1 also catalyzes the O-methylation of norbelladine to form 4′-O-methylnorbelladine, which has been demonstrated to be a universal precursor of all the primary Amaryllidaceae alkaloid skeletons. The results from quantitative real-time PCR assay indicated that LaOMT1 was ubiquitously expressed in different tissues of L. aurea, and its highest expression level was observed in the ovary. Meanwhile, the largest concentration of lycorine and galanthamine were found in the ovary, whereas the highest level of narciclasine was observed in the bulb. In addition, sodium chloride (NaCl), cold, polyethylene glycol (PEG), sodium nitroprusside (SNP), and methyl jasmonate (MeJA) treatments could significantly increase LaOMT1 transcripts, while abscisic acid (ABA) treatment dramatically decreased the expression level of LaOMT1. Subcellular localization showed that LaOMT1 is mainly localized in cytoplasm and endosome. Our results in this study indicate that LaOMT1 may play a multifunctional role, and lay the foundation for Amaryllidaceae alkaloid biosynthesis in L. aurea. Full article
(This article belongs to the Section Molecular Plant Sciences)
Show Figures

Figure 1

Back to TopTop