Sign in to use this feature.

Years

Between: -

Subjects

remove_circle_outline
remove_circle_outline
remove_circle_outline
remove_circle_outline
remove_circle_outline
remove_circle_outline
remove_circle_outline
remove_circle_outline
remove_circle_outline

Journals

Article Types

Countries / Regions

Search Results (12)

Search Parameters:
Keywords = MET inlet effect

Order results
Result details
Results per page
Select all
Export citation of selected articles as:
26 pages, 15325 KB  
Article
Impact of the Pilotis Ratio on the Summer Wind and Thermal Environment in Shaded Areas of Enclosed Courtyards in Hot and Humid Regions
by Zhihua Luo, Wangning Mu, Yingzhi Liang, Zhihui Xiao, Zhiqiang Zhou and Yuankui Li
Sustainability 2025, 17(10), 4689; https://doi.org/10.3390/su17104689 - 20 May 2025
Cited by 1 | Viewed by 871
Abstract
Enclosed courtyards with partially ground floor pilotis represent a prevalent architectural spatial configuration in hot-humid regions, where the shaded outdoor areas serve as frequently utilized spaces for heat avoidance and rest. This study employed a combined approach of ENVI-met simulations and field measurements [...] Read more.
Enclosed courtyards with partially ground floor pilotis represent a prevalent architectural spatial configuration in hot-humid regions, where the shaded outdoor areas serve as frequently utilized spaces for heat avoidance and rest. This study employed a combined approach of ENVI-met simulations and field measurements to investigate the wind and thermal environment in the shaded areas of courtyards under 40 different pilotis width configurations. The Comfortable Wind Zone Ratio (CWZR) and Physiological Equivalent Temperature (PET) were used as primary evaluation metrics to systematically investigate the influence of varying inlet/outlet width ratios in building pilotis on the wind-thermal environment within courtyard-shaded zones. The results demonstrate that: (1) Under a fixed outlet size, enlarging the inlet significantly enhances the CWZR in the shaded area, with a 28.66% difference observed between inlet sizes of L/4 and L. In contrast, under a fixed inlet size, expanding the outlet has a negligible effect on CWZR improvement. (2) Under a fixed outlet size, increasing the inlet width substantially reduces PET in the shaded zone, showing a 2.46 °C difference between inlet sizes of L/4 and L. Conversely, under a fixed inlet size, widening the outlet has a minimal impact on PET reduction. (3) A negative correlation exists between CWZR and PET in the shaded area, indicating that an increase in CWZR leads to a decrease in PET values. The findings provide bioclimatically quantified guidelines for the spatial design of courtyard pilotis in hot-humid regions, offering practical insights for optimizing thermal comfort in shaded outdoor environments. Full article
(This article belongs to the Section Environmental Sustainability and Applications)
Show Figures

Figure 1

18 pages, 2097 KB  
Article
Design and Experiment of Air-Suction Maize Seed-Metering Device with Auxiliary Guide
by Li Ding, Yechao Yuan, Yufei Dou, Chenxu Li, Zhan He, Guangmeng Guo, Yi Zhang, Bingjie Chen and He Li
Agriculture 2024, 14(2), 169; https://doi.org/10.3390/agriculture14020169 - 23 Jan 2024
Cited by 17 | Viewed by 3132
Abstract
Due to the irrational design of the seed discharge plate and the vacuum chamber, the high-speed seed filling effect of the air-suction maize precision seed-metering device is poor. Therefore, an air-suction maize seed-metering device with an auxiliary guide is designed to realize high-speed [...] Read more.
Due to the irrational design of the seed discharge plate and the vacuum chamber, the high-speed seed filling effect of the air-suction maize precision seed-metering device is poor. Therefore, an air-suction maize seed-metering device with an auxiliary guide is designed to realize high-speed precision seed discharging. An auxiliary guide filling theory is put forward, and the design of the seed plate type hole charging structure is formulated. Fluent 2022 software is used to analyze nine kinds of vacuum chamber structures; the optimal vacuum chamber structure parameters were determined by polar analysis. In order to investigate the changes of negative pressure and flow speed under the dynamic flow field, a slip grid was used to analyze the dynamic flow field with three different operating speeds and negative pressures. It found that the size of negative pressure did not affect the flow field distribution, and the pressure and flow speed gradually decreased as the distance from the inlet was farther away; meanwhile, the negative pressure distribution and air speed distribution were almost unchanged when the holes at different rotational speeds were at the same position. Finally, bench tests were carried out, and three indexes, namely, the qualified index, the multiple index and the missing index, were selected, with operating speed and negative pressure as factors, two-factor five-level orthogonal test was carried out, and the optimal parameter combinations at 6.0, 7.5, 9.0, 10.5, and 12 km/h forward velocity were derived and verified by regression equations. The results showed that the designed seed-metering device was repeated five times when the pressure of the vacuum chamber was −3.5 kPa and the rotational speed of the seed-metering device was 23 r/min, the average grain spacing qualified index was 95.8%, the missing index was 1.6%, the multiple index was 2.6%, and the indexes met the requirements of precision sowing. It is of great significance for our country’s seeder to develop in the direction of high-speed and precision. Full article
(This article belongs to the Special Issue Smart Mechanization and Automation in Agriculture)
Show Figures

Figure 1

22 pages, 10927 KB  
Article
Simulation Study on Natural Ventilation Performance in a Low-Carbon Large-Space Public Building in Hot-Summer and Cold-Winter Region of China
by Zhaohui Liu, Xi Pan, Wenshan He and Yilin Li
Buildings 2023, 13(9), 2263; https://doi.org/10.3390/buildings13092263 - 6 Sep 2023
Cited by 4 | Viewed by 3426
Abstract
Recently, climate governance has entered a new phase of accelerating decarbonization. In order to achieve low-carbon buildings, natural ventilation has been widely used as it requires no fan power. However, there are great challenges for achieving effective natural ventilation in large-space public buildings [...] Read more.
Recently, climate governance has entered a new phase of accelerating decarbonization. In order to achieve low-carbon buildings, natural ventilation has been widely used as it requires no fan power. However, there are great challenges for achieving effective natural ventilation in large-space public buildings especially in areas characterized by hot-summer and cold-winter climatic regions, due to empirically unsuitable ambient temperatures and theoretically complex joint effect of wind pressure and thermal buoyancy. Therefore, this numerical study was conducted on the performance of a natural ventilation strategy in a large-space public building in a hot-summer and cold-winter region by using computational fluid dynamics (CFD) methods. Simulations were performed by applying FLUENT software for obtaining airflow distributions within and around a typical low-carbon public building. The temperature distribution in the atrium of the building was simulated particularly for analyzing the natural ventilation performance in a large-space area. Results demonstrated that thermal pressure was dominant for the large-space building in the case study. The average indoor airflow velocities on different floors ranged from 0.43 m/s to 0.47 m/s on the windward side which met indoor ventilation requirements. Most areas of wind velocities could meet ventilation requirements. The natural ventilation performance could be improved by increasing the relative height difference between the air inlets and air outlets. These findings could help provide references and solutions for realizing natural ventilation in low-carbon large-space public buildings in hot-summer and cold-winter regions. Full article
Show Figures

Figure 1

20 pages, 5210 KB  
Article
Performance Optimization of Underwater Crushing Unit Based on AHP
by Lijun Wang, Shitong Jiang, Dongzhi Ping, Weilong Feng, Liyang Shang, Baoqiang Tian and Donglai Xu
J. Mar. Sci. Eng. 2023, 11(8), 1536; https://doi.org/10.3390/jmse11081536 - 1 Aug 2023
Cited by 5 | Viewed by 2073
Abstract
An underwater crushing unit loaded on the underwater cleaning robot was intended to handle marine biofouling that adhered to the surface of the ship and the dam, and a prototype was initially built. A Computational Fluid Dynamics–Discrete Element Model (CFD-DEM) was created to [...] Read more.
An underwater crushing unit loaded on the underwater cleaning robot was intended to handle marine biofouling that adhered to the surface of the ship and the dam, and a prototype was initially built. A Computational Fluid Dynamics–Discrete Element Model (CFD-DEM) was created to boost the prototype’s crushing performance, and its rationale was validated by contrasting the simulation results with the results of experimental tests. Accordingly, the primary influences on crushing performance and the laws governing their influence were investigated. The Analytical Hierarchy Process (AHP) method was then used to establish a prediction model for the comprehensive evaluation indicator of crushing performance. The AHP was used, in this case, because of its ability to generate the weight of indicators. The prediction model was a quadratic polynomial function with the rotational speed, the normal velocity component at the outlet of the propeller, the mass flow rate of the particles at the inlet of the unit, and the thickness of the bushing as independent variables. The prediction model fitting effect met the requirements after the test. The primary elements influencing the underwater crushing unit’s performance were optimized using the prediction model. The average accumulation speed of particles in the crushing unit was reduced by 59.05%, and the mass flow rate of particles at the outlet was reduced by 11.93%. The maximum wear height of the bushing was reduced by 33.36%. The specific power was up 20.88%, and the overall crushing performance was up 9.87% when compared to before optimization. Full article
(This article belongs to the Section Ocean Engineering)
Show Figures

Figure 1

21 pages, 14109 KB  
Article
Evaluating the Effects of Different Improvement Strategies for the Outdoor Thermal Environment at a University Campus in the Summer: A Case Study in Northern China
by Lina Yang, Jiying Liu and Shengwei Zhu
Buildings 2022, 12(12), 2254; https://doi.org/10.3390/buildings12122254 - 17 Dec 2022
Cited by 12 | Viewed by 3207
Abstract
A lack of consideration of outdoor spaces of universities has resulted in lower outdoor thermal comfort in summer. This study investigates the thermal comfort of outdoor spaces of a university in summer and proposes the model’s accuracy and optimization strategies to improve the [...] Read more.
A lack of consideration of outdoor spaces of universities has resulted in lower outdoor thermal comfort in summer. This study investigates the thermal comfort of outdoor spaces of a university in summer and proposes the model’s accuracy and optimization strategies to improve the outdoor thermal environment, including vegetation greening, building morphology, and surface albedo. The ENVI-met program was used for the simulation. The measured data were utilized to verify the accuracy of the simulation model. The typical meteorological year data were applied as the inlet boundary condition of the optimized case. The simulation results show that vegetation greening has the most significant effect on improving the outdoor thermal environment. At a greening rate of 45%, the air temperature (Ta), mean radiant temperature (Tmrt), and physiological equivalent temperature (PET) in the study area were 3.2 °C, 14.4 °C, and 6.9 °C lower, respectively, than that in the base case. In areas shaded by building, the Ta, Tmrt, and PET were 2 °C, 8.7 °C, and 5.5 °C lower, respectively, than that in the base case. Increasing the height of buildings did not significantly improve thermal comfort when the height-to-width ratio (H/W) exceeded 1.0. Increasing the ground albedo from 0.2 (base case) to 0.6 can reduce the Ta by 1.44 °C but increase the Tmrt by 3.7 °C and the PET by 4.3 °C. These findings can be used by urban planners to develop sustainable cities and improve thermal comfort on university campuses. Full article
(This article belongs to the Special Issue Thermal Comfort in Built Environment)
Show Figures

Graphical abstract

14 pages, 15027 KB  
Article
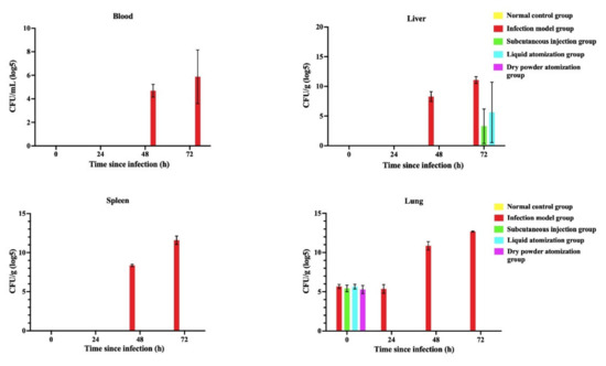
Spray-Dried Inhalable Powder Formulations of Gentamicin Designed for Pneumonic Plague Therapy in a Mouse Model
by Menghuan Zhu, Dongna Zhang, Lili Zhang, Liangliang Zhao, Likun Xu, Baogang Wang, Xinyu Zhang, Jinwei Chen, Zhuchun Bei, Hong Wang, Dongsheng Zhou, Wenhui Yang and Yabin Song
Pharmaceutics 2022, 14(12), 2646; https://doi.org/10.3390/pharmaceutics14122646 - 29 Nov 2022
Cited by 7 | Viewed by 2202
Abstract
Infection with Yersinia pestis (Y. pestis) may cause pneumonic plague, which is inevitably fatal without treatment. Gentamicin (GM), an aminoglycoside antibiotic, is a drug commonly used in the treatment of plague. However, it requires repeated intramuscular or intravenous administration. Pulmonary drug [...] Read more.
Infection with Yersinia pestis (Y. pestis) may cause pneumonic plague, which is inevitably fatal without treatment. Gentamicin (GM), an aminoglycoside antibiotic, is a drug commonly used in the treatment of plague. However, it requires repeated intramuscular or intravenous administration. Pulmonary drug delivery is noninvasive, with the advantages of local targeting and reduced risk of systemic toxicity. In this study, GM powders were prepared using spray-drying technology. The powders displayed good physical and chemical properties and met the requirements for human pulmonary inhalation. The formulation of the powders was optimized using a 32 full factorial design. A formulation of 15% (w/w) of L-leucine was prepared, and the spray-drying process parameters using an inlet temperature of 120°C and a 15% pump rate were determined to produce the best powder. In addition, the optimized GM spray-dried powders were characterized in terms of morphology, crystallinity, powder fluidity, and aerodynamic particle size distribution analysis. In a mouse model of pneumonic plague, we compared the therapeutic effects among three administration routes, including subcutaneous injection, liquid atomization, and dry powder atomization. In conclusion, our data suggest that inhalation therapy with GM spray-dried powders is an effective treatment for pneumonic plague. Full article
(This article belongs to the Section Drug Delivery and Controlled Release)
Show Figures

Figure 1

12 pages, 1900 KB  
Article
Application of Modified Biochar in the Treatment of Pesticide Wastewater by Constructed Wetland
by Yong Hu, Rong Xiao, Bo Kuang, Yanping Hu, Yaping Wang, Junhong Bai, Chen Wang, Ling Zhang, Zhuoqun Wei, Kegang Zhang, Milko A. Jorquera, Jacqueliine J. Acuña and Wenbin Pan
Water 2022, 14(23), 3889; https://doi.org/10.3390/w14233889 - 29 Nov 2022
Cited by 25 | Viewed by 4610
Abstract
To explore the synergistic effects of modified biochar in the purification of herbicide-containing wastewater, the effect of biochar addition on the removal effect of the herbicide atrazine in wastewater was verified by the addition of biochar bags in a small reed bed-constructed wetland [...] Read more.
To explore the synergistic effects of modified biochar in the purification of herbicide-containing wastewater, the effect of biochar addition on the removal effect of the herbicide atrazine in wastewater was verified by the addition of biochar bags in a small reed bed-constructed wetland in the laboratory. The results showed that the addition of sulfuric acid-modified biochar could increase the removal rate of atrazine in wastewater from 50% to 70%, and the COD elimination rate in wastewater was from 66.7% to 86.7%. The addition of biochar to the constructed reed bed wetland improved the removal efficiency of total nitrogen and total phosphorus in the wastewater, and the outlet water from the constructed wetland reached the Class III level of China’s surface water quality standard (the inlet water was inferior to Class V). The experimental design met the requirements of low-cost, generalized atrazine-containing wastewater treatment and thus could have the potential for wide application. The results reflected the application potential of modified biochar as a synergist in the treatment of herbicide wastewater in constructed wetlands. Full article
Show Figures

Figure 1

16 pages, 2327 KB  
Article
Simulation Analysis and Test of Pneumatic Distribution Fertilizer Discharge System
by Biao Cheng, Ruiyin He, Yong Xu and Xuzheng Zhang
Agronomy 2022, 12(10), 2282; https://doi.org/10.3390/agronomy12102282 - 23 Sep 2022
Cited by 12 | Viewed by 2804
Abstract
Precision fertilizer application technology is necessary to improve the utilization efficiency of fertilizers in agricultural production. Traditional mechanical fertilization systems risk blockages and uneven application when working in multiple crop rows. Pneumatic fertilization systems have improved efficiency and fertilization quality, however, fewer studies [...] Read more.
Precision fertilizer application technology is necessary to improve the utilization efficiency of fertilizers in agricultural production. Traditional mechanical fertilization systems risk blockages and uneven application when working in multiple crop rows. Pneumatic fertilization systems have improved efficiency and fertilization quality, however, fewer studies have characterized their designs in regards to the motion of the fertilizer particles. Here, we design and evaluate the parameters of the key components of a pneumatic fertilizer discharge system. Numerical simulations were conducted using a coupled EDEM-FLUENT and gas-phase models together with bench tests to examine the effects of inlet wind speed on the efficiency and consistency of the pneumatic fertilization system. The EDEM-FLUENT simulations showed that the number of fertilizer particles in the grid box set by EDEM was 60 particles in the range from t = 0.275 s to t = 0.5 s, and there was no blockage or cut-off in the pipe. The gas-phase simulation showed that there were tiny vortices in the fertilizer conveying pipe, and the maximum flow rate of its backflow was lower than 3.59 m/s, which had little effect on the fertilizer conveyance. The bench test showed that the inlet wind speed was 35–40 m/s, and the fertilization efficiency was 0.29–0.41 kg/s when the maximum variation coefficient of the row discharge consistency of the pneumatic distribution fertilizer discharge system was 5.55%. The coefficient of variation of the average row discharge consistency was 3.93%, and the average fertilizer discharge met the design requirements. Therefore, the pneumatic distribution system achieves stable operation and meets the requirements of fertilization operations. Full article
Show Figures

Figure 1

9 pages, 2021 KB  
Article
Low-Cost Solar Collectors to Pre-Heat Ventilation Air in Broiler Houses
by Yi Liang, Michael Janorschke and Chad E. Hayes
Energies 2022, 15(4), 1468; https://doi.org/10.3390/en15041468 - 17 Feb 2022
Cited by 4 | Viewed by 2163
Abstract
The objective of the study was to evaluate the effect of a low-cost solar collector to pre-heat ventilation air in commercial broiler buildings on supplemental heating demand and air quality during the cold season. Six black fabric-based solar collectors of 36 m2 [...] Read more.
The objective of the study was to evaluate the effect of a low-cost solar collector to pre-heat ventilation air in commercial broiler buildings on supplemental heating demand and air quality during the cold season. Six black fabric-based solar collectors of 36 m2 each were installed on the south-facing rooftop of a broiler house. The solar collectors provided fresh warm air into the house during the ON cycle of minimum ventilation and during the OFF cycle of minimum ventilation when the temperature under the collectors met certain criteria. The daily cumulative duration of solar collectors in operation averaged 125 and 133 min during the first two or four weeks of brooding in the fall and winter flocks, respectively. When in operation, the solar collectors were able to raise up to 20 K above the ambient temperature, reducing fuel usage by 7% in the fall and winter flocks. The greatest challenge of solar collector utilization was the collectors providing less than half of ventilation air during daytime due to not enclosing the fresh air inlets. The limited airflow capacity and limited activation of the solar collectors due to the existing minimum ventilation scheme is another reason for low heating fuel savings. Full article
Show Figures

Figure 1

12 pages, 1823 KB  
Article
Experimental Investigation on the DPF High-Temperature Filtration Performance under Different Particle Loadings and Particle Deposition Distributions
by Yong Tong, Jie Tan, Zhongwei Meng, Zhao Chen and Liuwen Tan
Processes 2021, 9(8), 1465; https://doi.org/10.3390/pr9081465 - 22 Aug 2021
Cited by 11 | Viewed by 4108
Abstract
Based on DPF filtration and regeneration bench, the solid particle emission and high-temperature filtration characteristics of different carbon black particle loadings and particle deposition distributions are studied. The aerosol generator (PAlAS RGB 1000) is used to introduce carbon black particles into the inlet [...] Read more.
Based on DPF filtration and regeneration bench, the solid particle emission and high-temperature filtration characteristics of different carbon black particle loadings and particle deposition distributions are studied. The aerosol generator (PAlAS RGB 1000) is used to introduce carbon black particles into the inlet of a DPF, and the NanoMet3 particle meter is used to measure the solid particle concentration at the inlet and outlet of a DPF to obtain the filtration characteristics. Previous studies found that without inlet carbon black particles, there was an obvious solid particle emission peak at the outlet of the deposited DPF during the heating, and the concentration increased by 1–2 orders of magnitude. In this paper, the high-temperature filtration characteristics under steady-state temperature conditions are studied. It is found that a DPF can reduce the range of inlet fluctuating particles, and with the increase of temperature, the proportion of large solid particles in the outlet particles increases, and the size distribution range decreases. Particle loading has positive and negative effects on the DPF filtration, and the DPF has the optimal particle loading, which makes the comprehensive filtration efficiency improve the highest. The deposition transition section can make the deposition particles in the DPF uniform, but the filtration efficiency is reduced. Full article
(This article belongs to the Special Issue Clean Combustion and Emission in Vehicle Power System)
Show Figures

Figure 1

12 pages, 4122 KB  
Article
Inlet Effect Caused by Multichannel Structure for Molecular Electronic Transducer Based on a Turbulent-Laminar Flow Model
by Qiuzhan Zhou, Qi He, Yuzhu Chen and Xue Bao
Sensors 2020, 20(7), 2154; https://doi.org/10.3390/s20072154 - 10 Apr 2020
Cited by 1 | Viewed by 3264
Abstract
The actual fluid form of an electrolyte in a molecular electronic converter is an important factor that causes a decrease in the accuracy of a molecular electronic transducer (MET) liquid motion sensor. To study the actual fluid morphology of an inertial electrolyte in [...] Read more.
The actual fluid form of an electrolyte in a molecular electronic converter is an important factor that causes a decrease in the accuracy of a molecular electronic transducer (MET) liquid motion sensor. To study the actual fluid morphology of an inertial electrolyte in molecular electron transducers, an inlet effect is defined according to the fluid morphology of turbulent-laminar flow, and a numerical simulation model of turbulent-laminar flow is proposed. Based on the turbulent-laminar flow model, this paper studies the variation of the inlet effect intensity when the thickness of the outermost insulating layer is 50 µm and 100 µm, respectively. Meanwhile, the changes of the inlet effect intensity and the error rate of central axial velocity field are also analyzed when the input signal intensity is different. Through the numerical experiment, it verifies that the thickness of the outermost insulating layer and the amplitude of the input signal are two important factors which can affect the inlet effect intensity and also the accuracy of the MET. Therefore, this study can provide a theoretical basis for the quantitative study on the performance optimization of a MET liquid sensor. Full article
(This article belongs to the Special Issue MET Angular and Linear Motion Seismic Sensors)
Show Figures

Figure 1

19 pages, 1335 KB  
Article
The Effect of Oxygen Supply on the Dual Growth Kinetics of Acidithiobacillus thiooxidans under Acidic Conditions for Biogas Desulfurization
by Hyeong-Kyu Namgung and JiHyeon Song
Int. J. Environ. Res. Public Health 2015, 12(2), 1368-1386; https://doi.org/10.3390/ijerph120201368 - 27 Jan 2015
Cited by 20 | Viewed by 7104
Abstract
In this study, to simulate a biogas desulfurization process, a modified Monod-Gompertz kinetic model incorporating a dissolved oxygen (DO) effect was proposed for a sulfur-oxidizing bacterial (SOB) strain, Acidithiobacillus thiooxidans, under extremely acidic conditions of pH 2. The kinetic model was calibrated [...] Read more.
In this study, to simulate a biogas desulfurization process, a modified Monod-Gompertz kinetic model incorporating a dissolved oxygen (DO) effect was proposed for a sulfur-oxidizing bacterial (SOB) strain, Acidithiobacillus thiooxidans, under extremely acidic conditions of pH 2. The kinetic model was calibrated and validated using experimental data obtained from a bubble-column bioreactor. The SOB strain was effective for H2S degradation, but the H2S removal efficiency dropped rapidly at DO concentrations less than 2.0 mg/L. A low H2S loading was effectively treated with oxygen supplied in a range of 2%–6%, but a H2S guideline of 10 ppm could not be met, even with an oxygen supply greater than 6%, when the H2S loading was high at a short gas retention time of 1 min and a H2S inlet concentration of 5000 ppm. The oxygen supply should be increased in the aerobic desulfurization to meet the H2S guideline; however, the excess oxygen above the optimum was not effective because of the decline in oxygen efficiency. The model estimation indicated that the maximum H2S removal rate was approximately 400 ppm/%-O2 at the influent oxygen concentration of 4.9% under the given condition. The kinetic model with a low DO threshold for the interacting substrates was a useful tool to simulate the effect of the oxygen supply on the H2S removal and to determine the optimal oxygen concentration. Full article
(This article belongs to the Special Issue Bioprocesses for Air Pollution Control)
Show Figures

Figure 1

Back to TopTop