Sign in to use this feature.

Years

Between: -

Subjects

remove_circle_outline
remove_circle_outline
remove_circle_outline
remove_circle_outline
remove_circle_outline

Journals

remove_circle_outline

Article Types

Countries / Regions

Search Results (2)

Search Parameters:
Keywords = Löwdin orthogonalization

Order results
Result details
Results per page
Select all
Export citation of selected articles as:
11 pages, 4856 KB  
Article
Compensation for In-Phase/Quadrature Phase Mismatch in Coherent Free-Space Optical QPSK Communication Systems
by Xueliang Li, Tianwen Geng, Yucong Gu, Ruotong Tian and Shijie Gao
Appl. Sci. 2021, 11(6), 2543; https://doi.org/10.3390/app11062543 - 12 Mar 2021
Cited by 8 | Viewed by 4392
Abstract
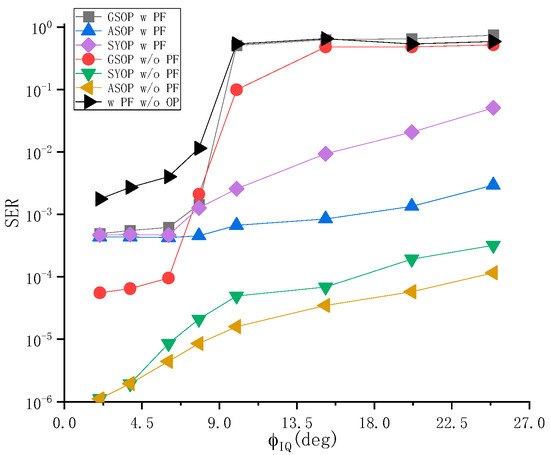
The Gram–Schmidt orthogonalization procedure (GSOP) and Löwdin symmetric orthogonalization procedure (SYOP) are the two mainstream algorithms for the compensation of phase mismatch in an imperfect optical 90° hybrid. In this paper, we put forward an algorithm switching orthogonalization procedure (ASOP) according to the [...] Read more.
The Gram–Schmidt orthogonalization procedure (GSOP) and Löwdin symmetric orthogonalization procedure (SYOP) are the two mainstream algorithms for the compensation of phase mismatch in an imperfect optical 90° hybrid. In this paper, we put forward an algorithm switching orthogonalization procedure (ASOP) according to the quality of in-phase and quadrature signals based on the Q value of the eye diagram with less computation. If the quality of the in-phase and quadrature signals has a significant difference, we use the GSOP and select the signal branch with better quality as the initial reference vector for orthogonalization. If they are of about the same quality, then we use the SYOP. We present computer simulations for a coherent free-space optical (FSO) quadrature phase-shift keying (QPSK) communication system and demonstrate the system improvement that can be achieved using the ASOP. Finally, we also show that the proposed ASOP scheme can contribute to the frequency offset and phase estimation of the FSO system in the environment of atmospheric turbulence. Full article
(This article belongs to the Section Electrical, Electronics and Communications Engineering)
Show Figures

Figure 1

22 pages, 1209 KB  
Article
Extensive Benchmarking of DFT+U Calculations for Predicting Band Gaps
by Nicole E. Kirchner-Hall, Wayne Zhao, Yihuang Xiong, Iurii Timrov and Ismaila Dabo
Appl. Sci. 2021, 11(5), 2395; https://doi.org/10.3390/app11052395 - 8 Mar 2021
Cited by 141 | Viewed by 14903
Abstract
Accurate computational predictions of band gaps are of practical importance to the modeling and development of semiconductor technologies, such as (opto)electronic devices and photoelectrochemical cells. Among available electronic-structure methods, density-functional theory (DFT) with the Hubbard U correction (DFT+U) applied to band [...] Read more.
Accurate computational predictions of band gaps are of practical importance to the modeling and development of semiconductor technologies, such as (opto)electronic devices and photoelectrochemical cells. Among available electronic-structure methods, density-functional theory (DFT) with the Hubbard U correction (DFT+U) applied to band edge states is a computationally tractable approach to improve the accuracy of band gap predictions beyond that of DFT calculations based on (semi)local functionals. At variance with DFT approximations, which are not intended to describe optical band gaps and other excited-state properties, DFT+U can be interpreted as an approximate spectral-potential method when U is determined by imposing the piecewise linearity of the total energy with respect to electronic occupations in the Hubbard manifold (thus removing self-interaction errors in this subspace), thereby providing a (heuristic) justification for using DFT+U to predict band gaps. However, it is still frequent in the literature to determine the Hubbard U parameters semiempirically by tuning their values to reproduce experimental band gaps, which ultimately alters the description of other total-energy characteristics. Here, we present an extensive assessment of DFT+U band gaps computed using self-consistent ab initio U parameters obtained from density-functional perturbation theory to impose the aforementioned piecewise linearity of the total energy. The study is carried out on 20 compounds containing transition-metal or p-block (group III-IV) elements, including oxides, nitrides, sulfides, oxynitrides, and oxysulfides. By comparing DFT+U results obtained using nonorthogonalized and orthogonalized atomic orbitals as Hubbard projectors, we find that the predicted band gaps are extremely sensitive to the type of projector functions and that the orthogonalized projectors give the most accurate band gaps, in satisfactory agreement with experimental data. This work demonstrates that DFT+U may serve as a useful method for high-throughput workflows that require reliable band gap predictions at moderate computational cost. Full article
Show Figures

Figure 1

Back to TopTop