Sign in to use this feature.

Years

Between: -

Subjects

remove_circle_outline
remove_circle_outline
remove_circle_outline

Journals

Article Types

Countries / Regions

Search Results (4)

Search Parameters:
Keywords = Kwai Mai

Order results
Result details
Results per page
Select all
Export citation of selected articles as:
10 pages, 1313 KB  
Communication
Outcrossing Levels and Fruit Quality in Single-Cultivar Blocks of a Multi-Cultivar Lychee (Litchi chinensis Sonn.) Orchard
by Stephen J. Trueman and Joel Nichols
Horticulturae 2025, 11(3), 244; https://doi.org/10.3390/horticulturae11030244 - 25 Feb 2025
Cited by 1 | Viewed by 1340
Abstract
Intraspecific diversity is often introduced in orchards to promote cross-pollination, which is essential for self-incompatible crops and beneficial for many self-compatible crops. In lychee, orchards are often planted with multiple cultivars to increase the availability of male flowers, enhancing pollen transfer to female [...] Read more.
Intraspecific diversity is often introduced in orchards to promote cross-pollination, which is essential for self-incompatible crops and beneficial for many self-compatible crops. In lychee, orchards are often planted with multiple cultivars to increase the availability of male flowers, enhancing pollen transfer to female flowers. Typically, this diversity is arranged in single-cultivar blocks, requiring pollinators to transport cross-pollen across rows to reach trees in the middle of each block. We aimed to determine the levels of outcrossing at the edge and in the middle of blocks of Fay Zee Siu, Kaimana, Kwai Mai Pink, Sah Keng, Souey Tung and Wai Chee in a multi-cultivar lychee orchard. We also aimed to determine whether outcrossed fruit have different mass, skin colour and flavour attributes from selfed fruit. All cultivars produced a mixture of outcrossed and selfed fruit. Fay Zee Siu and Kaimana fruit were predominantly outcrossed, Kwai Mai Pink produced slightly more selfed than outcrossed fruit, and Souey Tung displayed high selfing. Outcrossing levels did not differ significantly between the edge and middle rows of these four cultivars. In contrast, Sah Keng and Wai Chee produced more outcrossed fruit in their edge row but more selfed fruit in their middle row. These two cultivars were at the orchard periphery, with another cultivar planted on only one side. Pollinators transported cross-pollen 56–60 m into the middle of blocks when different cultivars were planted on both sides, but this distance decreased to 42–56 m into the blocks when another cultivar was planted on only one side. Cross-pollination had few effects on fruit mass or quality, although pollination by Souey Tung sometimes increased fruit mass or Brix. These findings suggest that interplanting different cultivars of lychee can make effective use of its mixed-mating system, providing additional pollen sources in the orchard, supporting fruitlet retention, and sustaining tree productivity, without contributing greatly to quality variation in each cultivar. Full article
(This article belongs to the Special Issue Orchard Management: Strategies for Yield and Quality)
Show Figures

Graphical abstract

20 pages, 1617 KB  
Article
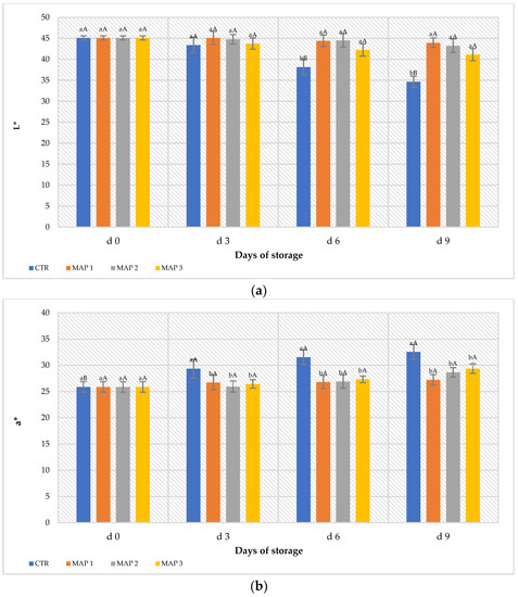
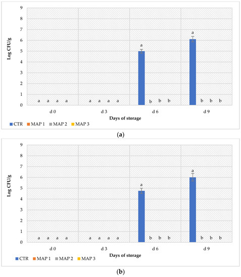
Reduction of Pericarp Browning and Microbial Spoilage on Litchi Fruits in Modified Atmosphere Packaging
by Roberta Passafiume, Pasquale Roppolo, Ilenia Tinebra, Antonino Pirrone, Raimondo Gaglio, Eristanna Palazzolo and Vittorio Farina
Horticulturae 2023, 9(6), 651; https://doi.org/10.3390/horticulturae9060651 - 1 Jun 2023
Cited by 16 | Viewed by 4529
Abstract
The pericarp browning and postharvest microbiological decay of litchi fruit (Litchi chinensis Sonn cv Kwai Mai) significantly reduce its commercial potential in the fresh market. In this study, different combinations of modified atmosphere packaging (MAP) were applied at 5 ± 1 °C [...] Read more.
The pericarp browning and postharvest microbiological decay of litchi fruit (Litchi chinensis Sonn cv Kwai Mai) significantly reduce its commercial potential in the fresh market. In this study, different combinations of modified atmosphere packaging (MAP) were applied at 5 ± 1 °C based on the use of natural gases that are innocuous to human health and an alternative to commercially adopted sulfur dioxide (SO2) treatment. The results showed that control fruits, after 6 days of storage, begin to show the first symptoms of decay, revealed by the appearance of lesions and microbial infections determined by total mesophilic microorganisms and molds. This is not the case in the MAP-treated fruits and the MAP 3-treated (5% O2 + 20% CO2 + 75% N2) fruits that show the best results. The control fruits, moreover, turned completely brown by the end of the storage period. The MAP 3 treatment was the most effective in preventing browning and the loss of the red pericarp color and vitamin content and in maintaining acceptable SSC/TA levels and flavor. In addition, a microbiological analysis revealed that all the MAP-treated litchi fruits did not harbor undesirable microorganisms during the entire cold storage period. In conclusion, the MAP 3 conditions delayed pericarp browning and maintained the better organoleptic quality of litchi fruits. Full article
(This article belongs to the Section Postharvest Biology, Quality, Safety, and Technology)
Show Figures

Figure 1

15 pages, 3430 KB  
Article
Accumulation of Sulforaphane and Alliin in Human Prostate Tissue
by Tracey L. Livingstone, Shikha Saha, Federico Bernuzzi, George M. Savva, Perla Troncoso-Rey, Maria H. Traka, Robert D. Mills, Richard Y. Ball and Richard F. Mithen
Nutrients 2022, 14(16), 3263; https://doi.org/10.3390/nu14163263 - 10 Aug 2022
Cited by 21 | Viewed by 6411
Abstract
Diets rich in cruciferous vegetables have been associated with a lower risk of incidence and progression of prostate cancer. Sulforaphane, an isothiocyanate derived from 4-methylsulphinylbutyl glucosinolate (glucoraphanin) that accumulates in certain of these vegetables, notably broccoli, has been implicated in their protective effects. [...] Read more.
Diets rich in cruciferous vegetables have been associated with a lower risk of incidence and progression of prostate cancer. Sulforaphane, an isothiocyanate derived from 4-methylsulphinylbutyl glucosinolate (glucoraphanin) that accumulates in certain of these vegetables, notably broccoli, has been implicated in their protective effects. Likewise, the consumption of garlic and its sulphur-containing compounds such as alliin have been associated with a reduction in risk of prostate cancer. In this study, we tested whether consuming glucoraphanin derived from broccoli seeds and alliin derived from garlic resulted in the occurrence of these potential bioactive compounds in the prostate, which may contribute to our understanding of the putative protective effects of these dietary components. We recruited 42 men scheduled for a trans-perineal prostate biopsy into a randomised, double-blinded, 2 × 2-factorial dietary supplement four-week intervention study, and 39 completed the study. The two active interventions were supplements providing glucoraphanin from broccoli (BroccoMax®) and alliin from garlic (Kwai Heartcare®). Following the intervention, prostate biopsy tissue was analysed for the presence of sulforaphane and its thiol conjugates and for alliin and associated metabolites. Sulforaphane occurred in significantly higher levels in the prostate tissue (both within the transition and peripheral zone) of men consuming the glucoraphanin containing supplements (p < 0.0001) compared to men not consuming these supplements. However, while alliin and alliin-derived metabolites were detected within the prostate, there was no significant difference in the concentrations of these compounds in the prostate of men consuming supplements derived from garlic compared to men not consuming these supplements. Full article
(This article belongs to the Special Issue Food and Botanical Derived Phytoextracts for Health Benefits)
Show Figures

Figure 1

16 pages, 30508 KB  
Article
Woody Canker and Shoot Blight Caused by Botryosphaeriaceae and Diaporthaceae on Mango and Litchi in Italy
by Dalia Aiello, Vladimiro Guarnaccia, Mariangela Benedetta Costanzo, Giuseppa Rosaria Leonardi, Filomena Epifani, Giancarlo Perrone and Giancarlo Polizzi
Horticulturae 2022, 8(4), 330; https://doi.org/10.3390/horticulturae8040330 - 14 Apr 2022
Cited by 24 | Viewed by 4931
Abstract
In recent years, the cultivation of tropical fruit crops has increased in the Mediterranean basin, especially in southern Italy. In surveys conducted from 2014 to 2019 woody canker and shoot blight were observed on mango plants (cvs. Kent, Keitt, Sensation, Osteen, and Kensington [...] Read more.
In recent years, the cultivation of tropical fruit crops has increased in the Mediterranean basin, especially in southern Italy. In surveys conducted from 2014 to 2019 woody canker and shoot blight were observed on mango plants (cvs. Kent, Keitt, Sensation, Osteen, and Kensington Pride) and litchi plants (cvs. Way Chee and Kwai Mai Pink) cultivated in Sicily. Botryosphaeriaceae and Diaporthaceae were consistently isolated from symptomatic samples. Morphological characterization and multi-locus phylogenies using three genomic loci (a portion of translation elongation factor 1-α gene, a portion of the β-tubulin gene, and an internal transcribed spacer) identified these fungi as Neofusicoccum parvum, Lasiodiplodia theobromae, Botryosphaeria dothidea, Diaporthe foeniculina, and Diaporthe baccae on mango and Diaporthe foeniculina and Diaporthe rudis on litchi. Pathogenicity tests on healthy mango (cv. Kensington Pride) and litchi (cv. Way Chee) plants demonstrated the pathogenicity of the isolates used in the study, and Koch’s postulates were fulfilled for all pathogens. To our knowledge, this is the first report of L. theobromae, B. dothidea, and Diaporthe species on mango in Italy and the first report worldwide of woody canker and shoot blight caused by D. foeniculina and D. rudis on litchi plants. Full article
(This article belongs to the Special Issue Pathogens and Disease Control of Fruit Trees)
Show Figures

Figure 1

Back to TopTop