Sign in to use this feature.

Years

Between: -

Subjects

remove_circle_outline
remove_circle_outline
remove_circle_outline
remove_circle_outline

Journals

Article Types

Countries / Regions

Search Results (5)

Search Parameters:
Keywords = IMOTHEP

Order results
Result details
Results per page
Select all
Export citation of selected articles as:
15 pages, 1256 KB  
Article
Virtual Reality and Relaxation for the Treatment of Generalized Anxiety Disorder: A Randomized Comparative Study with Standard Intervention
by Eric Malbos, Nadège Chichery, Baptiste Borwell, Gabriel Weindel, Jordan Molitor, Mélodie Einig-Iscain, Julien Seimandi and Christophe Lançon
J. Clin. Med. 2025, 14(4), 1351; https://doi.org/10.3390/jcm14041351 - 18 Feb 2025
Cited by 3 | Viewed by 5570
Abstract
Background/Objectives: Modern therapeutic strategies incorporating virtual reality (VR) have emerged as potential treatments for generalized anxiety disorder (GAD), a prevalent and debilitating condition that is challenging to cure. This study aimed to evaluate the efficacy of VR combined with relaxation techniques in patients [...] Read more.
Background/Objectives: Modern therapeutic strategies incorporating virtual reality (VR) have emerged as potential treatments for generalized anxiety disorder (GAD), a prevalent and debilitating condition that is challenging to cure. This study aimed to evaluate the efficacy of VR combined with relaxation techniques in patients with GAD by comparing VR-based relaxation with standard mental imagery (MI) relaxation. Methods: Fifty-eight patients with GAD participated in a randomized comparative trial. Specific virtual environments were created using an inexpensive game engine/level editor (GLE). Psychometric scales and physiological instruments were employed to assess the effects of relaxation therapy on anxiety, depression, quality of life, presence within virtual environments and cybersickness. Results: Both the VR and MI groups demonstrated statistically significant improvements in anxiety, worry and mental quality of life scores. However, no significant differences were observed between the two groups in pre–post comparisons of psychometric scores. The VR group exhibited a noticeably higher protocol completion rate and a significant increase in heart rate variability during the therapy. The level of presence in the VR group was satisfactory and significantly correlated with physiological improvements and anxiety reduction, while cybersickness remained low. Participants’ preferences for specific virtual environments for relaxation are also discussed. Conclusions: These findings suggest that teaching and practicing relaxation in VR holds therapeutic potential for the treatment of GAD. Further research leveraging advanced VR sensory equipment and artificial intelligence agents is warranted to enhance therapeutic outcomes and explore additional applications. Full article
(This article belongs to the Section Mental Health)
Show Figures

Graphical abstract

25 pages, 4683 KB  
Article
Concept Evaluation of Radical Short–Medium-Range Aircraft with Turbo-Electric Propulsion
by W. J. Vankan, W. F. Lammen, E. Scheers, P. J. Dewitte and Sebastien Defoort
Aerospace 2024, 11(6), 477; https://doi.org/10.3390/aerospace11060477 - 17 Jun 2024
Cited by 7 | Viewed by 2567
Abstract
Ambitious targets for the coming decades have been set for further reductions in aviation greenhouse gas emissions. Hybrid electric propulsion (HEP) concepts offer potential for the mitigation of these aviation emissions. To investigate this potential in an adequate level of detail, the European [...] Read more.
Ambitious targets for the coming decades have been set for further reductions in aviation greenhouse gas emissions. Hybrid electric propulsion (HEP) concepts offer potential for the mitigation of these aviation emissions. To investigate this potential in an adequate level of detail, the European research project IMOTHEP (Investigation and Maturation of Technologies for Hybrid Electric Propulsion) explores key technologies for HEP in close relation with developments of aircraft missions and configuration. This paper presents conceptual-level design investigations on radical HEP aircraft configurations for short–medium-range (SMR) missions. In particular, a blended-wing-body (BWB) configuration with a turbo-electric powertrain and distributed electric propulsion is investigated using NLR’s aircraft evaluation tool MASS. For the aircraft and powertrain design, representative top-level aircraft requirements have been defined in IMOTHEP, and the reference aircraft for the assessment of potential benefits is based on the Airbus A320neo aircraft. The models and data developed in IMOTHEP and presented in this paper show that the turbo-electric BWB configuration has potential for reduced fuel consumption in comparison to the reference aircraft. But in comparison to advanced turbofan-powered BWB configurations, which have the same benefits of the BWB airframe and advanced technology assumptions, this potential is limited. Full article
Show Figures

Figure 1

14 pages, 328 KB  
Article
Evolution of Cognitive Impairments in Treatment-Resistant Depression: Results from the Longitudinal French Centers of Expertise for Treatment-Resistant Depression (FACE-DR) Cohort
by Alexis Vancappel, Yecodji Dansou, Ophelia Godin, Emmanuel Haffen, Antoine Yrondi, Florian Stephan, Raphaelle Marie Richieri, Fanny Molière, Jérôme Holtzmann, Mathilde Horn, Etienne Allauze, Jean Baptiste Genty, Alex Bouvard, Jean-Michel Dorey, Vincent Hennion, Vincent Camus, Guillaume Fond, Barbara Peran, Michel Walter, Loic Anguill, Charlotte Scotto D’apolina, Estelle Vilà, Benjamin Fredembach, Jean Petrucci, Romain Rey, Anne Sophie Nguon, Bruno Etain, Mathilde Carminati, Philippe Courtet, Guillaume Vaiva, Pierre Michel Llorca, Marion Leboyer, Bruno Aouizerate, Djamila Bennabi and Wissam El Hageadd Show full author list remove Hide full author list
Brain Sci. 2023, 13(7), 1120; https://doi.org/10.3390/brainsci13071120 - 24 Jul 2023
Cited by 6 | Viewed by 2538
Abstract
Previous studies set out profound cognitive impairments in subjects with treatment-resistant depression (TRD). However, little is known about the course of such alterations depending on levels of improvement in those patients followed longitudinally. The main objective of this study was to describe the [...] Read more.
Previous studies set out profound cognitive impairments in subjects with treatment-resistant depression (TRD). However, little is known about the course of such alterations depending on levels of improvement in those patients followed longitudinally. The main objective of this study was to describe the course of cognitive impairments in responder versus non-responder TRD patients at one-year follow-up. The second aim was to evaluate the predictive aspect of cognitive impairments to treatment resistance in patients suffering from TRD. We included 131 patients from a longitudinal cohort (FACE-DR) of the French Network of Expert TRD Centers. They undertook comprehensive sociodemographic, clinical, global functioning, and neuropsychological testing (TMT, Baddeley task, verbal fluencies, WAIS-4 subtests, D2 and RLRI-16) at baseline (V0) and one-year follow-up (V1). Most patients (n = 83; 63.36%) did not respond (47 women, 49.47 ± 12.64 years old), while one-third of patients responded (n = 48, 30 women, 54.06 ± 12.03 years old). We compared the cognitive performances of participants to average theoretical performances in the general population. In addition, we compared the cognitive performances of patients between V1 and V0 and responder versus non-responder patients at V1. We observed cognitive impairments during the episode and after a therapeutic response. Overall, each of them tended to show an increase in their cognitive scores. Improvement was more prominent in responders at V1 compared to their non-responder counterparts. They experienced a more marked improvement in code, digit span, arithmetic, similarities, and D2 tasks. Patients suffering from TRD have significant cognitive impairments that persist but alleviate after therapeutic response. Cognitive remediation should be proposed after therapeutic response to improve efficiency and increase the daily functioning. Full article
(This article belongs to the Section Neuropsychiatry)
30 pages, 5733 KB  
Article
Study of a Regional Turboprop Aircraft with Electrically Assisted Turboshaft
by Anaïs Luisa Habermann, Moritz Georg Kolb, Philipp Maas, Hagen Kellermann, Carsten Rischmüller, Fabian Peter and Arne Seitz
Aerospace 2023, 10(6), 529; https://doi.org/10.3390/aerospace10060529 - 2 Jun 2023
Cited by 18 | Viewed by 5688
Abstract
Hybrid-Electric Propulsion (HEP) could be part of the solution to decrease emissions associated with regional commercial aviation. This study presents results for the aircraft level fuel reduction potential of a regional turboprop concept with an HEP architecture and Entry-Into-Service (EIS) in 2035+. The [...] Read more.
Hybrid-Electric Propulsion (HEP) could be part of the solution to decrease emissions associated with regional commercial aviation. This study presents results for the aircraft level fuel reduction potential of a regional turboprop concept with an HEP architecture and Entry-Into-Service (EIS) in 2035+. The configuration specifically tackles the elaborated challenges of introducing an additional electrical energy source to the configuration by employing a twofold electrical assistance to a turboshaft engine in combination with an innovative thermal management concept. Relevant components and disciplines were modeled and incorporated into an integrated aircraft design environment. The behavior and interaction of the HEP architecture with the aircraft was thoroughly investigated. A best-performing configuration was derived and compared with a conventional reference configuration following a State-of-the-Art (SoA) reference aircraft approach. For a typical mission with 200 nmi range, a block fuel reduction of 9.6% was found. However, the assumed battery performance characteristics limited the reduction potential and led to a fuel burn increase for the 600 nmi design mission. Furthermore, sourcing the non-propulsive subsystems directly from the on-board battery was detrimental. The innovative Thermal Management System (TMS) located in the propeller slipstream showed a synergistic effect with the investigated configuration. Full article
(This article belongs to the Section Aeronautics)
Show Figures

Figure 1

25 pages, 14261 KB  
Article
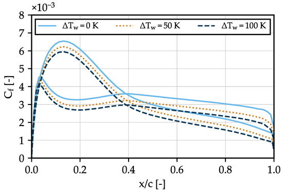
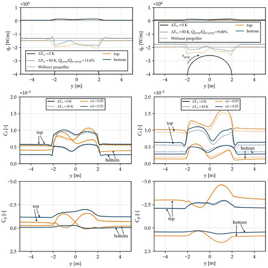
Aerodynamic Effects of a Wing Surface Heat Exchanger
by Anaïs Luisa Habermann, Ankit Khot, David Emanuel Lampl and Christof Perren
Aerospace 2023, 10(5), 407; https://doi.org/10.3390/aerospace10050407 - 27 Apr 2023
Cited by 10 | Viewed by 7780
Abstract
One challenge for the design and analysis of hybrid electric aircraft configurations is an increased demand in the rejection of excess waste heat. A wing surface heat exchanger concept, which is explored as part of the IMOTHEP project, foresees transferring heat from the [...] Read more.
One challenge for the design and analysis of hybrid electric aircraft configurations is an increased demand in the rejection of excess waste heat. A wing surface heat exchanger concept, which is explored as part of the IMOTHEP project, foresees transferring heat from the propulsive electrical components to the wing surface of the aircraft. Here, heat is mainly dissipated and transported by forced convection. The present study focuses on the analysis of the impact of heat rejection via the wing surface on the wing’s heat transfer and aerodynamic efficiency characteristics. For this purpose, RANS CFD studies of 2D airfoils and a 3D wing propeller geometry of a regional turboprop configuration in representative flight conditions (take off, cruise, and taxi in) are carried out. For each condition, the influence of defining parameters, such as altitude, freestream velocity, angle of attack, surface temperature, and propeller thrust is explored. It is shown that, when increasing the wing surface temperature compared against the freestream temperature, the aerodynamic efficiency of the wing deteriorates for all flight conditions. In reference cruise conditions for example, the lift-to-drag ratio decreases by 4%, while the average heat transfer coefficient is reduced by almost 20% when increasing the surface temperature by 300 K. Furthermore, the propeller slipstream enhances the wing’s heat transfer capacity significantly. Full article
(This article belongs to the Section Aeronautics)
Show Figures

Figure 1

Back to TopTop