Sign in to use this feature.

Years

Between: -

Subjects

remove_circle_outline
remove_circle_outline
remove_circle_outline
remove_circle_outline
remove_circle_outline

Journals

Article Types

Countries / Regions

remove_circle_outline
remove_circle_outline
remove_circle_outline
remove_circle_outline

Search Results (172)

Search Parameters:
Keywords = HBV genotypes

Order results
Result details
Results per page
Select all
Export citation of selected articles as:
15 pages, 1002 KB  
Article
Hepatitis C (HCV) and Hepatitis Delta (HDV) Viruses in a Teaching Hospital in Southern Italy: What Is the Epidemiological Situation in the Era of New Drugs?
by Nadia Marascio, Grazia Pavia, Chiara Mazzei, Michele Manno, Giorgio Settimo Barreca, Cinzia Peronace, Carmela Ciurleo, Francesca Trimboli, Marta Pantanella, Angelo Giuseppe Lamberti, Giovanni Matera and Angela Quirino
Pathogens 2025, 14(9), 941; https://doi.org/10.3390/pathogens14090941 - 17 Sep 2025
Viewed by 355
Abstract
If the number of viral hepatitis infections is to be decreased worldwide, and the World Health Organization (WHO) elimination targets are to be achieved by 2030, this requires determining the burden of infection according to the WHO’s test-and-treat approach. In 2014, the introduction [...] Read more.
If the number of viral hepatitis infections is to be decreased worldwide, and the World Health Organization (WHO) elimination targets are to be achieved by 2030, this requires determining the burden of infection according to the WHO’s test-and-treat approach. In 2014, the introduction of Direct-Acting Antivirals (DAAs) revolutionized the management of Hepatitis C Virus (HCV); another improvement came in 2020, when the use of bulevirtide (BLV) was authorized as a treatment for chronic Hepatitis D Virus (HDV) infection, showing good efficacy. The present observational study was carried out between 2019 and 2024. The diagnosis of viral hepatitis was carried out by routine assays. HDV typing was performed by Sanger sequencing and phylogenetic analysis. Overall, the HCV antibody prevalence was 3.4% in the studied time span, and it was higher in males than in females (59% vs. 41%). In viremic patients, HCV1b (33%) and HCV2a/2c (25%) were the most common subtypes. The overall HCV viremic rate declined in 2022 (2.8%). Unlike HCV, 71.4% of HDV viremic patients were females, and they had a median age of 58 years. The viral load of HDV RNA ranged from 20 IU/mL to 8 million IU/mL. Viral genotypes were classified as HDV1c and HDV1e. In this study, we highlight the prevalence of HCV/HDV infections and their genotype evolution in Southern Italy, underscoring the urgent need to enhance screening and linkage to care. Finally, we quantify the burden of active infections in order to provide data from real-life settings, and we describe the virological status of people living with HCV or HBV/HDV, who may experience significant benefits in terms of liver-related mortality after DAA or BLV treatment. Full article
(This article belongs to the Special Issue Pathogenesis of Viral Hepatitis)
Show Figures

Figure 1

17 pages, 1575 KB  
Review
The Role of IL28B Polymorphism in Regulating Innate and Adaptive Immunity Against Viral Infection Among Allogenic Stem Cells Transplant Recipients
by Mohamed A. Eltokhy, Bhaumik Patel, Marina Curcic, Faizah Alabi, Shadan Modaresahmadi, Omar Eltoukhy, Esraa G. Abdelmageed and Sahar Radwan
Immuno 2025, 5(3), 38; https://doi.org/10.3390/immuno5030038 - 3 Sep 2025
Viewed by 534
Abstract
Viral infection is a significant cause of morbidity and mortality following allogeneic hematopoietic stem cell transplantation (Allo-HSCT), largely due to its impact on and interaction with immune reconstitution. Both innate and adaptive immunity are essential for effective viral control, yet their recovery post-transplant [...] Read more.
Viral infection is a significant cause of morbidity and mortality following allogeneic hematopoietic stem cell transplantation (Allo-HSCT), largely due to its impact on and interaction with immune reconstitution. Both innate and adaptive immunity are essential for effective viral control, yet their recovery post-transplant is often delayed or functionally impaired. Emerging evidence suggests genetic variation, particularly polymorphisms in the IL28B gene (encoding IFN-λ3), as a critical factor influencing the quality and timing of immune responses during the early post-transplant period. This review explores the role of IL28B polymorphisms in shaping antiviral immunity, in general, as well as after Allo-HSCT. IL28B variants have been implicated in modulating interferon-stimulated gene (ISG) expression, natural killer (NK) cell activity, and type I/III interferon signaling, all central components of innate immune defense against viral infections. Furthermore, IL28B polymorphisms, particularly rs12979860, have been shown in both general populations and limited HSCT cohorts to alter T cell response and interferon production, affecting reactivation and clearance of multiple viruses such as cytomegalovirus (CMV), hepatitis B virus (HBV), hepatitis C virus (HCV), Epstein–Barr virus (EBV), COVID-19, and BK polyomavirus (BKPyV) as well as Graft vs. Host disease, thereby affecting adaptive immune reconstitution and long-term viral control. Understanding how IL28B genotype alters immune dynamics in transplant recipients could enhance risk stratification for CMV and other diseases and inform personalized prophylactic or therapeutic strategies. Therefore, this review highlights IL28B as a promising biomarker and potential immunoregulatory target in the management of viral infection post-Allo-HSCT. Full article
Show Figures

Figure 1

21 pages, 3105 KB  
Article
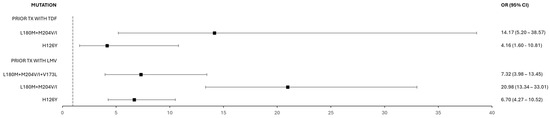
The Molecular Epidemiology of Hepatitis B Virus and Its Resistance-Associated Mutations in the Polymerase Gene in the Americas
by Itzel A. Ruvalcaba, Carlos Daniel Diaz-Palomera, Adrián Alejandro Silva-Ríos, José Francisco Muñoz-Valle and Oliver Viera-Segura
Microorganisms 2025, 13(8), 1913; https://doi.org/10.3390/microorganisms13081913 - 16 Aug 2025
Viewed by 590
Abstract
The hepatitis B virus (HBV) is a DNA virus of major public health concern whose error-prone polymerase has driven the emergence of ten distinct genotypes and a multitude of resistance-associated mutations (RAMs). Herein, we conducted a retrospective observational study analyzing 8152 hepatitis B [...] Read more.
The hepatitis B virus (HBV) is a DNA virus of major public health concern whose error-prone polymerase has driven the emergence of ten distinct genotypes and a multitude of resistance-associated mutations (RAMs). Herein, we conducted a retrospective observational study analyzing 8152 hepatitis B virus (HBV) sequences from 27 regions across the Americas, retrieved from GenBank, to construct a database and examine associations among HBV genotypes/subtypes, geographic distribution, resistance-associated mutations (RAMs), and resistance to nucleos(t)ide analogs (NAs) used in the treatment of chronic infection. Following phylogenetic analysis, mutations at clinically relevant sites in the reverse transcriptase domain were identified and classified by resistance to NAs. Genotypes A (21.1% A2 and 14.7% A1) and D predominated across the retrieved database, whereas genotypes E, G, H, and I each accounted for fewer than 3% of the sequences. Among the sequences in the database, 10.6% harbored RAMs, with genotypes G, A, and H predominating in this category. The most frequently observed RAM was L180M + M204V/I, which is associated with resistance to LMV, ETV, and TBV, whereas resistance to ADV and TDF remained rare. Genotypes G and A2 were significantly associated with a higher likelihood of harboring multiple RAMs (as evaluated by logistic regression), along with an increased risk of resistance to LMV, ETV, and TBV; the opposite was true for subtype A1. Notably, genotypes H and B5 were associated with an elevated risk of TDF resistance. A comprehensive understanding of RAMs and circulating genotypes in the Americas is essential for identifying high-risk populations and establishing geographically targeted therapeutic strategies. Full article
(This article belongs to the Section Virology)
Show Figures

Figure 1

18 pages, 2170 KB  
Article
VVX001 Induces preS-Specific Antibodies Reacting to Common HBV Genotypes in Hepatitis B Virus (HBV) Carrier Mice
by Inna Tulaeva, Maryline Bourgine, Carolin Cornelius-Nikl, Alexander Karaulov, Rainer Henning, Marie-Louise Michel and Rudolf Valenta
Vaccines 2025, 13(8), 854; https://doi.org/10.3390/vaccines13080854 - 12 Aug 2025
Viewed by 715
Abstract
Background: Chronic hepatitis B (CHB) remains being a major public health threat, and currently existing CHB therapies have limited efficacy and side effects. We have recently developed a vaccine termed VVX001 based on a recombinant fusion protein consisting of the preS domain [...] Read more.
Background: Chronic hepatitis B (CHB) remains being a major public health threat, and currently existing CHB therapies have limited efficacy and side effects. We have recently developed a vaccine termed VVX001 based on a recombinant fusion protein consisting of the preS domain of the large surface protein of hepatitis B virus (HBV) fused to grass pollen allergen peptides. VVX001 has been shown to induce preS-specific antibodies in grass pollen allergic patients, and sera of immunized subjects inhibited HBV infection in vitro. Methods: In this study we investigated if immunization with VVX001 can induce preS-specific antibodies in CHB using the adeno-associated virus (AAV)-HBV murine model of CHB. Six groups of C57BL/6 female mice (n = 6) were transduced with AAV-HBV or AAV-Empty, and after six weeks, they were immunized five times with 20 µg of aluminum hydroxide-adsorbed VVX001 or preS or vehicle (Alum alone). Serum samples were taken continuously. Two weeks after the last immunization, spleen and liver mononuclear cells were collected. Serum reactivity to preS and preS-derived peptides was assessed by ELISA. B-cell responses were measured by ELISPOT assay, and intrahepatic lymphocyte (ILH) counts were determined by FACS. HBV DNA, HBsAg, HBeAg, ALT, and AST were assessed using commercial kits. Results: Our results show that VVX001 induces preS-specific IgG antibodies that cross-react with different HBV genotypes A-H and are directed against the sodium taurocholate co-transporting polypeptide (NTCP) receptor binding site of preS both in mice with and without HBV. Actively immunized AAV-HBV-treated mice had a higher number of intrahepatic lymphocytes than vehicle-vaccinated and mock-transduced animals. Conclusions: These findings encourage performing further trials to study the potential of VVX001 for therapeutic vaccination against CHB. Full article
(This article belongs to the Special Issue Role of Next Generation Vaccines in Immunotherapeutics)
Show Figures

Figure 1

11 pages, 416 KB  
Article
Hepatitis B Virus PreS-Mutated Strains in People Living with HIV: Long-Term Hepatic Outcomes Following ART Initiation
by Xianglong Lan, Yurou Wang, Min Liao, Linghua Li and Fengyu Hu
Viruses 2025, 17(8), 1102; https://doi.org/10.3390/v17081102 - 11 Aug 2025
Viewed by 624
Abstract
In the modern era of HIV treatment, people co-infected with HIV and HBV still face poor liver outcomes, including liver fibrosis, liver cirrhosis, and hepatocellular carcinoma. We investigated baseline characteristics and long-term liver function outcomes in 435 people living with HIV and HBV [...] Read more.
In the modern era of HIV treatment, people co-infected with HIV and HBV still face poor liver outcomes, including liver fibrosis, liver cirrhosis, and hepatocellular carcinoma. We investigated baseline characteristics and long-term liver function outcomes in 435 people living with HIV and HBV co-infection, focusing on HCC-associated point mutations (PMs) and PreS region deletion mutations. PMs were present in 72.9% of participants and were associated with male predominance, lower HBV genotype C prevalence, reduced HBV DNA and HBeAg levels, and higher HBsAg and HBeAb positivity. However, PMs did not significantly impact liver function or fibrosis progression over six years of ART follow-up. In contrast, PreS deletions were found in 21.8% of cases and stratified into PreS1, PreS2, and PreS1+2 deletions. PreS2 and PreS1+2 deletions were linked to older age, higher HBsAg and AFP levels, elevated liver enzymes, and lower platelet counts. These groups also exhibited significantly worse liver fibrosis markers (APRI and FIB-4), with PreS2 deletions consistently showing the highest values throughout the follow-up. Despite the initial improvement with ART, patients with PreS2 and PreS1+2 deletions maintained higher fibrosis and cirrhosis risks over six years. In summary, while PMs were not predictive of liver disease progression, PreS deletion mutations (especially in the PreS2 region) were associated with poorer liver outcomes, indicating their potential as biomarkers for fibrosis risk in co-infected individuals with long-term ART. Full article
Show Figures

Figure 1

18 pages, 2780 KB  
Article
Evolutionary Insights of Hepatitis B Virus Genotypes and Profiles of Mutations in Surface and Basal Core Promoter/Pre-Core Genes Among HBsAg-Positive Patients in North-Central and Southwestern Nigeria
by Priscilla Abechi, Uwem E. George, Olawale A. Adejumobi, Umar Ahmad, Olamide Y. Aborisade, Arthur O. Oragwa, Oluremi I. Ajayi, Oluwasemilogo O. Akinlo, Christian Happi and Onikepe A. Folarin
Viruses 2025, 17(8), 1101; https://doi.org/10.3390/v17081101 - 10 Aug 2025
Viewed by 873
Abstract
In Nigeria, hepatitis B virus (HBV) infection remains a significant public health issue. The emergence of immune escape mutants (IEMs), basal core promoters, and precore (BCP/PC) mutants among asymptomatic individuals has enabled the continuous evolution of the virus in the country. In this [...] Read more.
In Nigeria, hepatitis B virus (HBV) infection remains a significant public health issue. The emergence of immune escape mutants (IEMs), basal core promoters, and precore (BCP/PC) mutants among asymptomatic individuals has enabled the continuous evolution of the virus in the country. In this study, we used Sanger sequencing of the S gene and the BCP/PC region to investigate the genetic diversity, phylogenetic relationships, and mutational profiles of HBV strains detected in two regions in Nigeria. A total of 178 HBsAg-positive samples confirmed by ELISA underwent viral DNA extraction and PCR amplification of the surface and BCP/PC genes, and 76 and 60 sequences were found to be exploitable for S and BCP/PC genes, respectively, which were used for HBV genotyping and mutational analysis. We detected various mutations in the major hydrophilic loop (target of neutralizing antibodies), including vaccine escape mutants (VEMs) (L127P/R, S140T/L, and G145A), HBV immunoglobulin resistance mutants (T131N, S143T, and W156R), and mutations previously reported in patients with reactivated infections (T115N, G159A/R, and F161Y). We also identified a high proportion of C1741T in 34/42 (81%) along with A1762T or G1764A mutation in 14/42 (33%) and 18/42 (43%) as the dominant variants in the BCP region. The predominant classical PC G1896A and G1899A variants were identified in 26/42 (62%) and 17/42 (40%) participants in this study. Two HBV genotypes were identified (A and E). However, HBV genotype E was the most frequently identified genotype, and is still the dominant strain circulating in Nigeria. We report the circulation of HBV IEMs and the preponderance of BCP and classical PC variants among asymptomatic carriers. Our findings suggest that the spread of these HBV mutant variants among asymptomatic carriers may have an impact on the effectiveness of diagnostic immunoassays and the success of HBsAg-based vaccinations. This highlights the need for robust surveillance. Full article
Show Figures

Figure 1

10 pages, 6660 KB  
Article
Hepatitis B Virus Genotypes and Subgenotypes Circulating in Belarus
by Vladimir Eremin, Fedor Karpenko, Igor Karpov, Valery Semenov and Ina Oiestad
Curr. Issues Mol. Biol. 2025, 47(6), 415; https://doi.org/10.3390/cimb47060415 - 4 Jun 2025
Viewed by 665
Abstract
Approximately 800–900 new cases of chronic forms of hepatitis B are reported in Belarus annually. Compulsory vaccination, introduced to the country in the mid-90s, produces a certain positive effect on reducing the number of HBV cases. However, around 75,000 patients with chronic hepatitis [...] Read more.
Approximately 800–900 new cases of chronic forms of hepatitis B are reported in Belarus annually. Compulsory vaccination, introduced to the country in the mid-90s, produces a certain positive effect on reducing the number of HBV cases. However, around 75,000 patients with chronic hepatitis B are estimated to live in the country at the moment. The main goal of this research was to determine the genotypes/subgenotypes of the hepatitis B virus and establish their role in maintaining the epidemic process in the country. Serological (CMIA, ELISA), molecular biological (PCR, sequencing), and bioinformatic (phylogenetic analysis) methods have been used to obtain results. As studies have shown, in 722 (81.7%) samples, genotype D has been determined; in 156 (17.7%), genotype A; in 3 (0.3%), genotype C; and only in 1 sample (0.1%), genotype B. In two cases (0.2%), a recombinant form of the hepatitis B virus has been detected. The epidemic process of hepatitis B in the country is supported mainly by the circulation of “local” variants of the virus. At the same time, there are occasional introductions of new genetic variants from outside of the country. Full article
(This article belongs to the Special Issue Advances in Molecular Biology Methods in Hepatology Research)
Show Figures

Figure 1

14 pages, 2599 KB  
Article
Immune Escape and Drug Resistance Mutations in Patients with Hepatitis B Virus Infection: Clinical and Epidemiological Implications
by Maria Antonia De Francesco, Franco Gargiulo, Francesca Dello Iaco, Laert Zeneli, Serena Zaltron, Giorgio Tiecco, Simone Pellizzeri, Emanuele Focà, Arnaldo Caruso and Eugenia Quiros-Roldan
Life 2025, 15(4), 672; https://doi.org/10.3390/life15040672 - 20 Apr 2025
Viewed by 1119
Abstract
Hepatitis B virus (HBV) genetic variability, shaped by high mutation rates and selective pressures, complicates its management and increases the emergence of drug-resistant and immune-escape variants. This study aims to analyze immune escape mutations (IEMs) and drug resistance mutations (DRMs) in patients with [...] Read more.
Hepatitis B virus (HBV) genetic variability, shaped by high mutation rates and selective pressures, complicates its management and increases the emergence of drug-resistant and immune-escape variants. This study aims to analyze immune escape mutations (IEMs) and drug resistance mutations (DRMs) in patients with HBV infection exposed to antiviral therapies and exhibiting detectable plasma HBV viremia. This monocentric retrospective real-life study was carried out at the ASST Spedali Civili di Brescia, Italy, from 2015 to 2023. A total of 102 consecutive patients with detectable serum HBV-DNA exposed to at least one NA and for whom a drug resistance assay was available were included in our study. HBV sequences were amplified, sequenced, and analyzed for mutations using Geno2pheno and Stanford University tools. Phylogenetic analysis and statistical regression were performed to confirm genotypes and identify mutation patterns and associated risk factors. Our study shows a 38.2% prevalence of DRMs, with M204I/V (95%) and L180M (64%) being the most common, and a 43% prevalence of IEMs, primarily in the major hydrophilic region. Genotype D3 exhibited a higher mutation burden than other genotypes. Significant associations were found between HBsAb presence and increased IEM burden, while HBeAg was protective against DRMs. Atypical serological profiles were observed in 18.6% of patients, including cases of HBV reactivation under immunosuppressive therapy. This study highlights the high prevalence of IEMs and DRMs in a real-world setting, particularly among HBV genotype D3 carriers. These findings underscore the importance of mutation surveillance to guide therapeutic strategies, vaccine design, and public health policies to address the challenges posed by HBV genetic variability. Full article
(This article belongs to the Section Epidemiology)
Show Figures

Figure 1

14 pages, 3284 KB  
Article
Virologic Response at 12 Months Predicts Lower Hepatocellular Carcinoma Risk in Genotype D Chronic Hepatitis B Patients Treated with Nucleos(t)ide Analogues
by Oguzhan Ozturk, Fatih Guzelbulut, Kamil Ozdil, Huseyin Aykut and Gupse Adalı
J. Clin. Med. 2025, 14(8), 2618; https://doi.org/10.3390/jcm14082618 - 11 Apr 2025
Viewed by 591
Abstract
Background/Objectives: Hepatitis B virus (HBV) is a virus that can cause chronic hepatitis B (CHB) in humans, leading to cirrhosis and hepatocellular carcinoma (HCC). In this study, we aimed to investigate the relationships between early ALT normalization (at 12 months), the virologic response [...] Read more.
Background/Objectives: Hepatitis B virus (HBV) is a virus that can cause chronic hepatitis B (CHB) in humans, leading to cirrhosis and hepatocellular carcinoma (HCC). In this study, we aimed to investigate the relationships between early ALT normalization (at 12 months), the virologic response in CHB patients, and the risk of HCC development. Methods: Data from a retrospective cohort study involving 616 chronic hepatitis B patients were used. The effects of ALT normalization and virologic response on the risk of developing HCC at 12 months of treatment were analyzed. Results: During a median treatment duration of 70.9 months, 36 (5.8%) HCC cases were detected in the total patient population. ALT normalization was detected in 68.83% of patients at 12 months of treatment. The rate of HCC in the group with early ALT normalization was lower than that in the group without ALT normalization, but this difference was not statistically significant (5% vs. 7.8%, p = 0.161). At the end of 12 months of treatment, virologic response was detected in 80.68% of the patients. The rate of patients developing HCC was significantly lower in the virologic response group (4.8% vs. 10.1%, p = 0.028). However, the risk of developing HCC was also significantly higher in the virologically unresponsive group, according to the virologic response at 12 months (p = 0.034). Conclusions: According to the results of this study, achieving virologic response at the end of 12 months in genotype D CHB patients treated with nucleos(t)ide analogs (NAs) reduces the risk of developing HCC. Full article
(This article belongs to the Section Gastroenterology & Hepatopancreatobiliary Medicine)
Show Figures

Figure 1

10 pages, 228 KB  
Communication
Chronic Hepatitis B Virus Infection and HLA Variations in a Greek Population
by Evangelia Myserli, Ioannis Goulis, Asimina Fylaktou, Maria Exindari, Fani Minti, Georgia Chatzika, Eleni Iliopoulou, Polyxeni Agorastou, Ioanna Papagiouvanni, Theodora Oikonomou and Georgia Gioula
Viruses 2025, 17(4), 462; https://doi.org/10.3390/v17040462 - 24 Mar 2025
Viewed by 792
Abstract
Chronic hepatitis B is linked with considerable liver-related morbidity and mortality globally. Human leukocyte antigen (HLA) polymorphisms affect the susceptibility and outcome of many immune-mediated diseases and infections. Our aim was to study the impact of HLA alleles on HVB-infected individuals in a [...] Read more.
Chronic hepatitis B is linked with considerable liver-related morbidity and mortality globally. Human leukocyte antigen (HLA) polymorphisms affect the susceptibility and outcome of many immune-mediated diseases and infections. Our aim was to study the impact of HLA alleles on HVB-infected individuals in a Greek population. In total, 107 patients with chronic HBV infection (cHBV group) and 101 with spontaneous clearance (SC-group) of hepatitis B surface antigen (HBsAg) were genotyped for HLA-A, HLA-B, HLA-C, HLA-DRB1, and HLA-DQB1 loci by single-specific primer polymerase chain reaction (PCR-SSP). The HLA alleles’ frequencies were compared between the two patient groups and healthy individuals from the North Greece Bone Marrow Donor Registry (14506 samples). We found a significantly increased frequency of HLA-C*01 and HLA-DRB1*16 alleles in the cHBV group versus the SC-group. The frequency of HLA-A*01, HLA-B*08, HLA-C*01, HLA-C*08, HLA-DRB1*03, and HLA-DQB1*05 alleles was significantly higher in cHBV patients versus healthy individuals, while the frequency of the HLA-B*38 allele was significantly lower. Our study showed an association of specific HLA alleles with either susceptibility or protection against chronic HBV infection. Full article
(This article belongs to the Special Issue Hepatitis Viral Infections, Pathogenesis and Therapeutics)
21 pages, 2438 KB  
Article
Development of Low-Cost In-House Assays for Quantitative Detection of HBsAg, HBeAg, and HBV DNA to Enhance Hepatitis B Virus Diagnostics and Antiviral Screening in Resource-Limited Settings
by Simmone D’souza, Layla Al-Yasiri, Annie Chen, Dan T. Boghici, Guido van Marle, Jennifer A. Corcoran, Trushar R. Patel and Carla S. Coffin
Pathogens 2025, 14(3), 258; https://doi.org/10.3390/pathogens14030258 - 5 Mar 2025
Viewed by 2012
Abstract
Globally, an estimated 254 million people are living with chronic hepatitis B virus (HBV) infection, yet only 10.5% have been diagnosed, underscoring the urgent need to expand testing to meet the World Health Organization’s HBV elimination targets by 2030. Many HBV diagnostic tests [...] Read more.
Globally, an estimated 254 million people are living with chronic hepatitis B virus (HBV) infection, yet only 10.5% have been diagnosed, underscoring the urgent need to expand testing to meet the World Health Organization’s HBV elimination targets by 2030. Many HBV diagnostic tests remain expensive and inaccessible in resource-limited settings. In this study, we demonstrate how individually sourced, commercially available reagents can be used to develop cost-effective in-house assays for total DNA isolation, HBV viral load quantification by (q)PCR, and qHBsAg and qHBeAg measurement using sandwich ELISA. These assays were validated using known HBV-positive and HBV-negative plasma samples (genotypes A–F) and HepAD38 cells treated with tenofovir disoproxil fumarate (TDF). DNA isolation using a commercial column-based kit was compared to a high-throughput, column-free method, allowing for HBV quantification from 50 µL of plasma with lower limits of detection (LLOD) of 1.8 × 103 and 1.8 × 104 HBV DNA copies IU/mL, respectively. Both commercial and in-house DNA isolation methods yielded comparable half-maximal effective concentration (EC50) values in TDF-treated HepAD38 cells. Additionally, in-house sandwich ELISA assays were developed for quantitative HBsAg and HBeAg detection, with LLOD values of 0.78 IU/mL and 0.38 PEI U/mL (Paul Ehrlich Institute), respectively. The in-house reagents for DNA isolation, molecular testing, and serological detection of HBV were estimated to be at least 10 times more cost-effective than commercially available kits, highlighting their potential for broader application in resource-limited regions. Full article
Show Figures

Graphical abstract

22 pages, 4980 KB  
Article
Exploring Predictive Factors for Bulevirtide Treatment Response in Hepatitis Delta-Positive Patients
by Verdiana Zulian, Leonidas Salichos, Chiara Taibi, Silvia Pauciullo, Levi Dong, Gianpiero D’Offizi, Elisa Biliotti, Alessia Rianda, Luigi Federici, Angela Bibbò, Martina De Sanctis, Fiona McPhee and Anna Rosa Garbuglia
Biomedicines 2025, 13(2), 280; https://doi.org/10.3390/biomedicines13020280 - 23 Jan 2025
Cited by 1 | Viewed by 1601
Abstract
Background: Hepatitis delta virus (HDV) infection represents the most severe form of viral hepatitis and is a significant global health challenge. Bulevirtide (BLV) is a novel therapeutic treatment that has resulted in variable response rates in HBV/HDV-coinfected patients. We evaluated clinical, virological, and [...] Read more.
Background: Hepatitis delta virus (HDV) infection represents the most severe form of viral hepatitis and is a significant global health challenge. Bulevirtide (BLV) is a novel therapeutic treatment that has resulted in variable response rates in HBV/HDV-coinfected patients. We evaluated clinical, virological, and polymorphic factors for the purpose of predicting BLV treatment success. Methods: Thirty HBV/HDV-coinfected patients received BLV monotherapy (2 mg/day) for 24 to 48 weeks. Baseline (BL) serum samples were collected to assess clinical parameters and virological markers (HDV RNA, HBV DNA, HBsAg, HBcrAg, anti-HBc IgG) at treatment weeks 24 (TW24) and 48 (TW48). Additionally, full-genome HDV sequencing and a phylogenetic analysis were performed. Finally, analyses of the HDAg protein sequence and HDV RNA secondary structure were conducted to evaluate potential associations with treatment response. Results: A significant reduction in HDV RNA levels was observed at TW48, with a virological response (HDV RNA undetectable or ≥2 Log decline from BL) achieved by 58% of patients. Median BL levels of anti-HBc IgG were significantly different between virological responders (39.3 COI; interquartile range [IQR] 31.6–47.1) and virological non-responders (244.7 COI; IQR 127.0–299.4) (p = 0.0001). HDV genotype 1e was predominant across the cohort, and no specific HDAg polymorphisms predicted the response. However, secondary structure analysis of HDV RNA revealed that a specific pattern of internal loops in the region 63–100 nucleotides downstream of the editing site may influence treatment response by impacting editing efficacy. Conclusions: This study revealed key factors influencing BLV efficacy in HBV/HDV coinfection. Lower baseline anti-HBc IgG levels strongly correlated with a positive virological response, suggesting that the liver’s inflammatory state affects treatment success. Additionally, the analysis of HDV RNA secondary structure in patients receiving BLV treatment revealed a higher editing efficiency in virological responders, highlighting areas for further research. Full article
Show Figures

Figure 1

16 pages, 2893 KB  
Article
Molecular Epidemiology, Drug-Resistant Variants, and Therapeutic Implications of Hepatitis B Virus and Hepatitis D Virus Prevalence in Nigeria: A National Study
by Oludare ‘Sunbo Adewuyi, Muhammad Shakir Balogun, Hirono Otomaru, Alash’le Abimiku, Anthony Agbakizu Ahumibe, Elsie Ilori, Que Anh Luong, Nwando Mba, James Christopher Avong, John Olaide, Oyeladun Okunromade, Adama Ahmad, Afolabi Akinpelu, Chinwe Lucia Ochu, Babatunde Olajumoke, Haruka Abe, Chikwe Ihekweazu, Adetifa Ifedayo, Michiko Toizumi, Hiroyuki Moriuchi, Katsunori Yanagihara, Jide Idris and Lay-Myint Yoshidaadd Show full author list remove Hide full author list
Pathogens 2025, 14(1), 101; https://doi.org/10.3390/pathogens14010101 - 20 Jan 2025
Cited by 1 | Viewed by 3730
Abstract
Information on circulating HBV (sub-)genotype, variants, and hepatitis D virus (HDV) coinfection, which vary by geographical area, is crucial for the efficient control and management of HBV. We investigated the genomic characteristics of HBV (with a prevalence of 8.1%) and the prevalence of [...] Read more.
Information on circulating HBV (sub-)genotype, variants, and hepatitis D virus (HDV) coinfection, which vary by geographical area, is crucial for the efficient control and management of HBV. We investigated the genomic characteristics of HBV (with a prevalence of 8.1%) and the prevalence of HDV in Nigeria. We utilised 777 HBV-positive samples and epidemiological data from the two-stage sampled population-based, nationally representative Nigeria HIV/AIDS Indicator and Impact Survey conducted in 2018. We assessed 732 HBV DNA-extracted samples with detectable viral loads (VLs) for (sub-)genotypes and variants by whole-genome pre-amplification, nested PCR of the s-and pol-gene, and BigDye Terminator sequencing. We conducted HDV serology. In total, 19 out of the 36 + 1 states in Nigeria had a high prevalence of HBV (≥8%), with the highest prevalence (10.4%) in the north-central geopolitical zone. Up to 33.2% (95% CI 30.0–36.6) of the participants had detectable VLs of ≥300 copies/mL. The predominant circulating HBV genotype was E with 98.4% (95% CI 97.1–99.1), followed by A with 1.6% (95% CI 0.9–2.9). Drug-resistant associated variants and immune escape variants were detected in 9.3% and 0.4%, respectively. The seroprevalence of HDV was 7.34% (95% CI 5.5–9.2). Nigeria has subtype E as the major genotype with many variants. Full article
(This article belongs to the Section Epidemiology of Infectious Diseases)
Show Figures

Figure 1

14 pages, 843 KB  
Article
Genome-Wide Association Study to Identify Genetic Factors Linked to HBV Reactivation Following Liver Transplantation in HBV-Infected Patients
by Joonhong Park, Dong Yun Kim, Heon Yung Gee, Hee Chul Yu, Jae Do Yang, Shin Hwang, YoungRok Choi, Jae Geun Lee, Jinsoo Rhu, Donglak Choi, Young Kyoung You, Je Ho Ryu, Yang Won Nah, Bong-Wan Kim, Dong-Sik Kim, Jai Young Cho and The Korean Organ Transplantation Registry (KOTRY) Study Group
Int. J. Mol. Sci. 2025, 26(1), 259; https://doi.org/10.3390/ijms26010259 - 30 Dec 2024
Cited by 3 | Viewed by 1954
Abstract
This study utilized a genome-wide association study (GWAS) to investigate the genetic variations linked to the risk of hepatitis B virus (HBV) reactivation in patients who have undergone liver transplantation (LT), aiming to enhance understanding and improve clinical outcomes. Genotyping performed on a [...] Read more.
This study utilized a genome-wide association study (GWAS) to investigate the genetic variations linked to the risk of hepatitis B virus (HBV) reactivation in patients who have undergone liver transplantation (LT), aiming to enhance understanding and improve clinical outcomes. Genotyping performed on a selected patients from the Korean Organ Transplantation Registry (KOTRY) data using high-throughput platforms with the Axiom Korea Biobank array 1.1. The discovery cohort included 21 patients who experienced HBV reactivation (cases) and 888 patients without HBV reactivation (controls) following LT. The replication cohort consisted of 5 patients with HBV reactivation (cases) and 312 patients without HBV reactivation (controls) after LT. Additive logistic regression analysis was conducted using PLINK software ver 1.9, with adjustments for age and gender. The GWAS findings from the discovery cohort were validated using the replication cohort. The GWAS identified several single-nucleotide polymorphisms (SNPs) in the RGL1, CDCA7L, and AQP9 genes that were significantly linked to HBV reactivation after LT, with genome-wide significance thresholds set at p < 10−7. Down-regulation of RGL1 cDNAs was observed in primary duck hepatocytes infected with duck HBV. Overexpression of CDCA7L was found to promote hepatocellular carcinoma cell proliferation and colony formation, whereas knocking down CDCA7L inhibited these processes. Additionally, the absence of AQP9 triggered immune and inflammatory responses, leading to mild and scattered liver cell pyroptosis, accompanied by compensatory liver cell proliferation. This study provides critical insights into the genetic factors influencing HBV reactivation after LT, identifying significant associations with SNPs in RGL1, CDCA7L, and AQP9. These findings hold promise for developing predictive biomarkers and personalized management strategies to improve outcomes for HBV-infected LT recipients. Full article
(This article belongs to the Special Issue Molecular Research in Viral Hepatitis and Liver Cancer)
Show Figures

Figure 1

18 pages, 1010 KB  
Review
Asian Perspective on Hepatitis B Virus and Hepatitis C Virus Elimination
by Apichat Kaewdech, Phunchai Charatcharoenwitthaya and Teerha Piratvisuth
Viruses 2025, 17(1), 34; https://doi.org/10.3390/v17010034 - 29 Dec 2024
Cited by 3 | Viewed by 2644
Abstract
Hepatitis B virus (HBV) and hepatitis C virus (HCV) infections remain significant public health challenges in Asia, affecting millions and contributing to substantial morbidity and mortality. The prevalence of these infections varies across the region, with factors such as vaccination coverage, healthcare infrastructure, [...] Read more.
Hepatitis B virus (HBV) and hepatitis C virus (HCV) infections remain significant public health challenges in Asia, affecting millions and contributing to substantial morbidity and mortality. The prevalence of these infections varies across the region, with factors such as vaccination coverage, healthcare infrastructure, and sociocultural barriers influencing the epidemiology of both viruses. The persistent burden of chronic HBV, particularly in older populations, and the evolving HCV genotype landscape highlight the need for targeted, region-specific strategies. Universal screening programs have emerged as essential tools for detecting undiagnosed cases and optimizing healthcare resource allocation. Given the overlapping epidemiology of HBV and HCV, comprehensive public health interventions tailored to the unique contexts of different Asian countries are crucial for achieving global elimination goals. This review examines the epidemiological trends, challenges, and opportunities for addressing HBV and HCV in Asia, emphasizing the importance of overcoming sociocultural barriers to improve prevention, diagnosis, and treatment efforts across diverse populations. Full article
Show Figures

Figure 1

Back to TopTop