Evolutionary Insights of Hepatitis B Virus Genotypes and Profiles of Mutations in Surface and Basal Core Promoter/Pre-Core Genes Among HBsAg-Positive Patients in North-Central and Southwestern Nigeria
Abstract
1. Introduction
2. Materials and Methods
2.1. Study Location and Sample Collection
2.2. Serological Assay
2.3. HBV Genomic DNA Extraction and PCR Amplification of the Partial S and BCP/PC Gene
2.4. Sequencing of the S and BCP/PC Genes
2.5. Bioinformatic Analysis
2.6. Statistical Analysis
3. Results
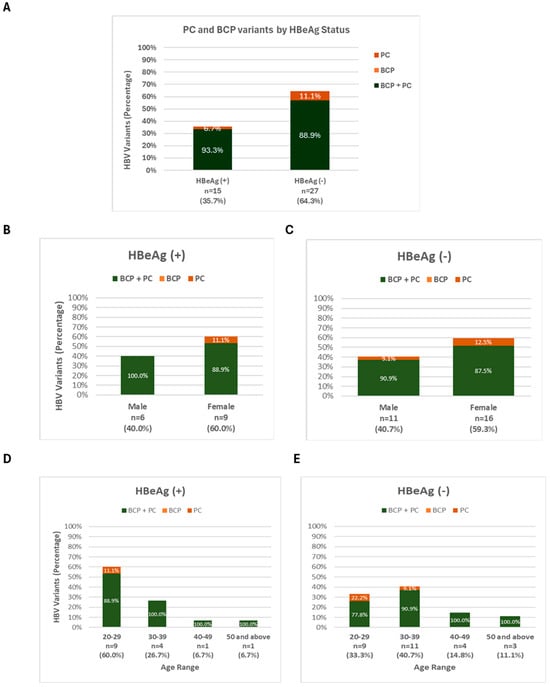
3.1. Socio-Demographic Characteristics and Serological Profile of Respondents
3.2. PCR Analysis, Sequencing, and HBV Genotype Distribution
3.3. Mutations Identified in MHR and the “a” Determinant Domain of S Gene Sequences
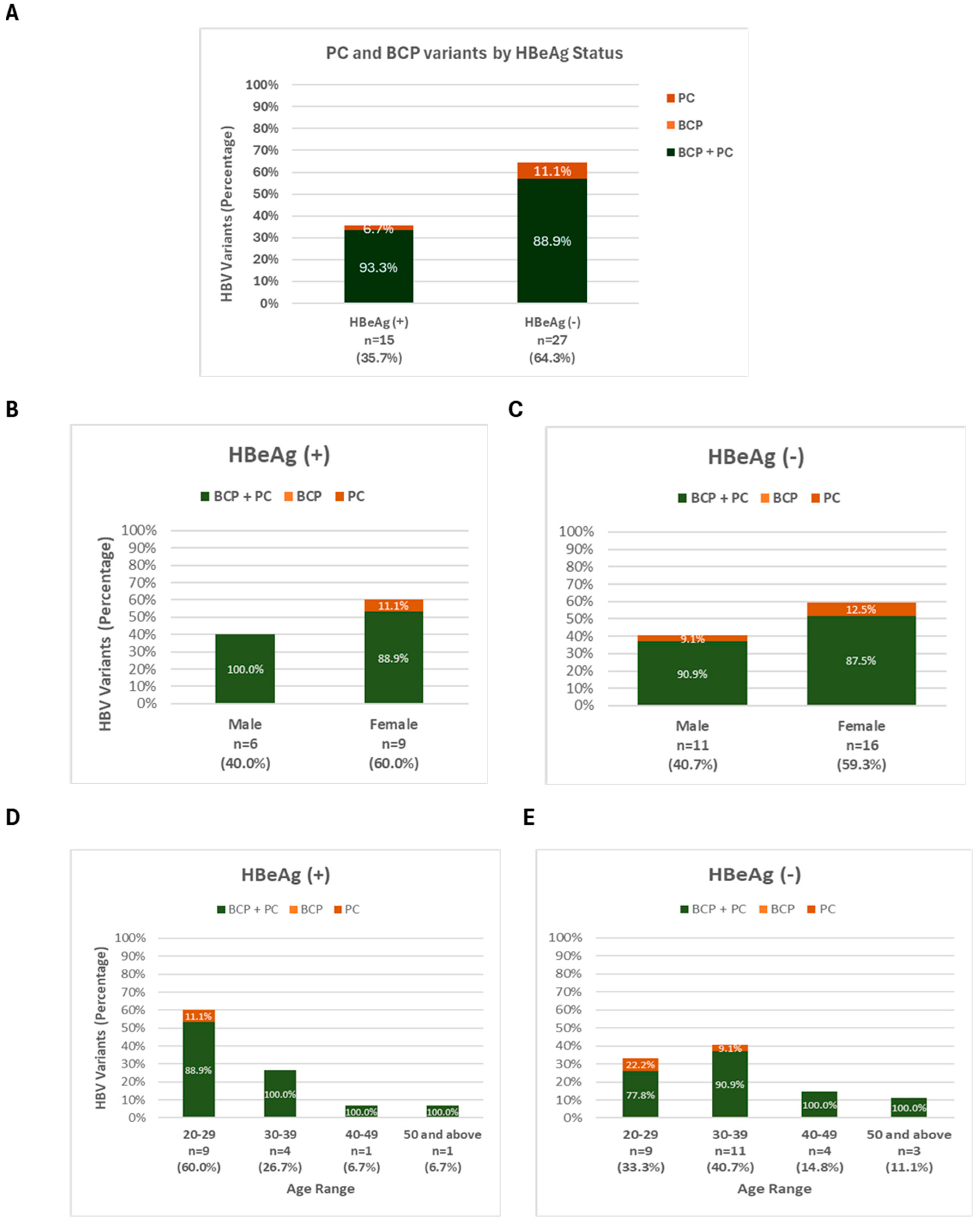
3.4. Mutations Identified in the Basal Core/Precore (BCP/PC) Region
4. Discussion
5. Conclusions
Author Contributions
Funding
Institutional Review Board Statement
Informed Consent Statement
Data Availability Statement
Acknowledgments
Conflicts of Interest
References
- World Health Organization. Global Hepatitis Report 2024: Action for Access in Low-And Middle-Income Countries. Available online: https://www.who.int/publications/i/item/9789240091672 (accessed on 6 February 2025).
- Rizzo, G.E.M.; Cabibbo, G.; Craxì, A. Hepatitis B Virus-Associated Hepatocellular Carcinoma. Viruses 2022, 14, 986. [Google Scholar] [CrossRef] [PubMed]
- Surial, B.; Wyser, D.; Béguelin, C.; Ramírez-Mena, A.; Rauch, A.; Wandeler, G. Prevalence of liver cirrhosis in individuals with hepatitis B virus infection in sub-Saharan Africa: Systematic review and meta-analysis. Liver Int. Off. J. Int. Assoc. Study Liver 2021, 41, 710–719. [Google Scholar] [CrossRef]
- Trépo, C.; Chan, H.L.; Lok, A. Hepatitis B virus infection. Lancet 2014, 384, 2053–2063. [Google Scholar] [CrossRef]
- Kramvis, A. Challenges for hepatitis B virus cure in resource-limited settings in sub-Saharan Africa. Curr. Opin. HIV AIDS 2020, 15, 185–192. [Google Scholar] [CrossRef]
- Ajuwon, B.I.; Yujuico, I.; Roper, K.; Richardson, A.; Sheel, M.; Lidbury, B.A. Hepatitis B virus infection in Nigeria: A systematic review and meta-analysis of data published between 2010 and 2019. BMC Infect. Dis. 2021, 21, 1120. [Google Scholar] [CrossRef]
- Taherkhani, R.; Farshadpour, F. Prevalence, genotype distribution and mutations of hepatitis B virus and the associated risk factors among pregnant women residing in the northern shores of Persian Gulf, Iran. PLoS ONE 2022, 17, e0265063. [Google Scholar] [CrossRef]
- Olakunde, B.O.; Adeyinka, D.A.; Olakunde, O.A.; Uthman, O.A.; Bada, F.O.; Nartey, Y.A.; Obiri-Yeboah, D.; Paintsil, E.; Ezeanolue, E.E. A systematic review and meta-analysis of the prevalence of hepatitis B virus infection among pregnant women in Nigeria. PLoS ONE 2021, 16, e0259218. [Google Scholar] [CrossRef]
- Mohammed, H.; Eshetie, A.; Melese, D. Prevalence of hepatitis B virus and associated risk factors among adults patients at Dessie referral and Kemise general hospitals in northeastern Ethiopia. Health Sci. Rep. 2022, 5, e659. [Google Scholar] [CrossRef]
- Tsukuda, S.; Watashi, K. Hepatitis B virus biology and life cycle. Antivir. Res. 2020, 182, 104925. [Google Scholar] [CrossRef] [PubMed]
- Chen, J.; Li, L.; Yin, Q.; Shen, T. A review of epidemiology and clinical relevance of Hepatitis B virus genotypes and subgenotypes. Clin. Res. Hepatol. Gastroenterol. 2023, 47, 102180. [Google Scholar] [CrossRef] [PubMed]
- Olusola, B.A.; Faneye, A.O.; Oluwasemowo, O.O.; Motayo, B.O.; Adebayo, S.; Oludiran-Ayoade, A.E.; Aleru, B.; George, U.E.; Oragwa, A.O. Profiles of mutations in hepatitis B virus surface and polymerase genes isolated from treatment-naïve Nigerians infected with genotype E. J. Med. Microbiol. 2021, 70. [Google Scholar] [CrossRef]
- Faleye, T.O.; Adewumi, O.M.; Ifeorah, I.M.; Akere, A.; Bakarey, A.S.; Omoruyi, E.C.; Adeniji, J.A. Detection and circulation of hepatitis B virus immune escape mutants among asymptomatic community dwellers in Ibadan, Southwestern Nigeria. Int. J. Infect. Dis. 2015, 39, 102–109. [Google Scholar] [CrossRef]
- Fouad, R.; Musa, S.; Sabry, D.; Salama, A.; Abdel Alem, S.; Atef, M.; Zayed, N. Analysis of clinical and virologic features in Hepatitis B e Antigen (HBeAg)-negative and HBeAg-positive Egyptian chronic hepatitis B patients. Afr. Health Sci. 2020, 20, 649–655. [Google Scholar] [CrossRef]
- Kumar, R. Review on hepatitis B virus precore/core promoter mutations and their correlation with genotypes and liver disease severity. World J. Hepatol. 2022, 14, 708–718. [Google Scholar] [CrossRef]
- Candotti, D.; Danso, K.; Allain, J.P. Maternofetal transmission of hepatitis B virus genotype E in Ghana, west Africa. J. Gen. Virol. 2007, 88, 2686–2695. [Google Scholar] [CrossRef]
- Candotti, D.; Diarra, B.; Bisseye, C.; Tao, I.; Pham Quang, K.; Sanou, M.; Laperche, S.; Sanogo, R.; Allain, J.P.; Simpore, J. Molecular characterization of hepatitis B virus in blood donors from Burkina Faso: Prevalence of quasi-subgenotype A3, genotype E, and mixed infections. J. Med. Virol. 2016, 88, 2145–2156. [Google Scholar] [CrossRef]
- Garmiri, P.; Loua, A.; Haba, N.; Candotti, D.; Allain, J.P. Deletions and recombinations in the core region of hepatitis B virus genotype E strains from asymptomatic blood donors in Guinea, west Africa. J. Gen. Virol. 2009, 90, 2442–2451. [Google Scholar] [CrossRef]
- Kafeero, H.M.; Ndagire, D.; Ocama, P.; Kato, C.D.; Wampande, E.; Walusansa, A.; Kajumbula, H.; Kateete, D.; Ssenku, J.E.; Sendagire, H. Mapping hepatitis B virus genotypes on the African continent from 1997 to 2021: A systematic review with meta-analysis. Sci. Rep. 2023, 13, 5723. [Google Scholar] [CrossRef] [PubMed]
- Lazarevic, I.; Banko, A.; Miljanovic, D.; Cupic, M. Immune-Escape Hepatitis B Virus Mutations Associated with Viral Reactivation upon Immunosuppression. Viruses 2019, 11, 778. [Google Scholar] [CrossRef] [PubMed]
- Shi, Y.; Wei, F.; Hu, D.; Li, Q.; Smith, D.; Li, N.; Chen, D. Mutations in the major hydrophilic region (MHR) of Hepatitis B virus genotype C in North China. J. Med. Virol. 2012, 84, 1901–1906. [Google Scholar] [CrossRef] [PubMed]
- Lada, O.; Benhamou, Y.; Poynard, T.; Thibault, V. Coexistence of hepatitis B surface antigen (HBs Ag) and anti-HBs antibodies in chronic hepatitis B virus carriers: Influence of “a” determinant variants. J. Virol. 2006, 80, 2968–2975. [Google Scholar] [CrossRef] [PubMed]
- Hossain, M.G.; Ueda, K. Investigation of a Novel Hepatitis B Virus Surface Antigen (HBsAg) Escape Mutant Affecting Immunogenicity. PLoS ONE 2017, 12, e0167871. [Google Scholar] [CrossRef]
- Kramvis, A.; Kostaki, E.-G.; Hatzakis, A.; Paraskevis, D. Immunomodulatory function of HBeAg related to short-sighted evolution, transmissibility, and clinical manifestation of hepatitis B virus. Front. Microbiol. 2018, 9, 2521. [Google Scholar] [CrossRef] [PubMed]
- Padarath, K.; Deroubaix, A.; Kramvis, A. The Complex Role of HBeAg and Its Precursors in the Pathway to Hepatocellular Carcinoma. Viruses 2023, 15, 857. [Google Scholar] [CrossRef]
- Liao, Y.; Hu, X.; Chen, J.; Cai, B.; Tang, J.; Ying, B.; Wang, L. Precore mutation of hepatitis B virus may contribute to hepatocellular carcinoma risk: Evidence from an updated meta-analysis. PLoS ONE 2012, 7, e38394. [Google Scholar] [CrossRef]
- Suppiah, J.; Mohd Zain, R.; Bahari, N.; Haji Nawi, S.; Saat, Z. G1896A precore mutation and association with HBeAg status, genotype and clinical status in patients with chronic hepatitis B. Hepatol. Mon. 2015, 15, e31490. [Google Scholar] [CrossRef]
- Zhao, B.; Qiao, H.; Zhao, Y.; Gao, Z.; Wang, W.; Cui, Y.; Li, J.; Guo, Z.; Chuai, X.; Chiu, S. HBV precore G1896A mutation promotes growth of hepatocellular carcinoma cells by activating ERK/MAPK pathway. Virol. Sin. 2023, 38, 680–689. [Google Scholar] [CrossRef]
- Forbi, J.C.; Vaughan, G.; Purdy, M.A.; Campo, D.S.; Xia, G.L.; Ganova-Raeva, L.M.; Ramachandran, S.; Thai, H.; Khudyakov, Y.E. Epidemic history and evolutionary dynamics of hepatitis B virus infection in two remote communities in rural Nigeria. PLoS ONE 2010, 5, e11615. [Google Scholar] [CrossRef]
- Umego, C.F.; Mboto, C.I.; Asitok, A.D.; Osaji, L.C.; George, U.E.; Edet, U.O.; Mbim, E.N.; Faleye, T.O.; Adewumi, O.M.; Adeniji, J.A. Circulation of hepatitis B virus genotype-E among outpatients in tertiary hospitals in the Niger-Delta region of Nigeria. Afr. Health Sci. 2022, 22, 511–520. [Google Scholar] [CrossRef] [PubMed]
- Belyhun, Y.; Liebert, U.G.; Maier, M. Analysis of HBV basal core promoter/precore gene variability in patients with HBV drug resistance and HIV co-infection in Northwest Ethiopia. PLoS ONE 2018, 13, e0191970. [Google Scholar] [CrossRef]
- Nguyen, L.-T.; Schmidt, H.A.; von Haeseler, A.; Minh, B.Q. IQ-TREE: A Fast and Effective Stochastic Algorithm for Estimating Maximum-Likelihood Phylogenies. Mol. Biol. Evol. 2015, 32, 268–274. [Google Scholar] [CrossRef]
- Kalyaanamoorthy, S.; Minh, B.Q.; Wong, T.K.F.; von Haeseler, A.; Jermiin, L.S. ModelFinder: Fast Model Selection for Accurate Phylogenetic Estimates. Nat. Methods 2017, 14, 587–589. [Google Scholar] [CrossRef]
- Letunic, I.; Bork, P. Interactive Tree of Life (iTOL) v6: Recent updates to the phylogenetic tree display and annotation tool. Nucleic Acids Res. 2024, 52, W78–W82. [Google Scholar] [CrossRef]
- Kreutz, C. Molecular, immunological and clinical properties of mutated hepatitis B viruses. J. Cell Mol. Med. 2002, 6, 113–143. [Google Scholar] [CrossRef]
- Sobajo, O.A.; Oguzie, J.U.; Adegboyega, B.; Eromon, P.; Happi, C.; Komolafe, I.; Folarin, O. Detection of Immune Escape and Basal Core Promoter/Precore Gene Mutations in Hepatitis B Virus Isolated from Asymptomatic Hospital Attendees in Two Southwestern States in Nigeria. Viruses 2023, 15, 2188. [Google Scholar] [CrossRef]
- Adesina, O.A.; Akanbi, O.A.; Opaleye, O.O.; Japhet, M.O.; Wang, B.; Oluyege, A.O.; Klink, P.; Bock, C.T. Detection of Q129H Immune Escape Mutation in Apparently Healthy Hepatitis B Virus Carriers in Southwestern Nigeria. Viruses 2021, 13, 1273. [Google Scholar] [CrossRef]
- Germer, J.J.; Charlton, M.R.; Ishitani, M.B.; Forehand, C.D.; Patel, R. Characterization of hepatitis B virus surface antigen and polymerase mutations in liver transplant recipients pre- and post-transplant. Am. J. Transpl. 2003, 3, 743–753. [Google Scholar] [CrossRef] [PubMed]
- Roche, B.; Roque-Afonso, A.M.; Sebagh, M.; Delvart, V.; Duclos-Vallee, J.C.; Castaing, D.; Samuel, D. Escape hepatitis B virus mutations in recipients of antibody to hepatitis B core antigen-positive liver grafts receiving hepatitis B immunoglobulins. Liver Transpl. 2010, 16, 885–894. [Google Scholar] [CrossRef] [PubMed]
- Cooreman, M.P.; Leroux-Roels, G.; Paulij, W.P. Vaccine- and hepatitis B immune globulin-induced escape mutations of hepatitis B virus surface antigen. J. Biomed. Sci. 2001, 8, 237–247. [Google Scholar] [CrossRef]
- Osasona, O.G.; Oguntoye, O.O.; Arowosaye, A.O.; Abdulkareem, L.O.; Adewumi, M.O.; Happi, C.; Folarin, O. Patterns of hepatitis b virus immune escape and pol/rt mutations across clinical cohorts of patients with genotypes a, e and occult hepatitis b infection in Nigeria: A multi-centre study. Virulence 2023, 14, 2218076. [Google Scholar] [CrossRef] [PubMed]
- Lazarevic, I.; Cupic, M.; Delic, D.; Svirtlih, N.S.; Simonovic, J.; Jovanovic, T. Prevalence of hepatitis B virus MHR mutations and their correlation with genotypes and antiviral therapy in chronically infected patients in Serbia. J. Med. Virol. 2010, 82, 1160–1167. [Google Scholar] [CrossRef]
- Ma, Q.; Wang, Y. Comprehensive analysis of the prevalence of hepatitis B virus escape mutations in the major hydrophilic region of surface antigen. J. Med. Virol. 2012, 84, 198–206. [Google Scholar] [CrossRef]
- Araujo, N.M.; Teles, S.A.; Spitz, N. Comprehensive Analysis of Clinically Significant Hepatitis B Virus Mutations in Relation to Genotype, Subgenotype and Geographic Region. Front. Microbiol. 2020, 11, 616023. [Google Scholar] [CrossRef]
- Wu, C.; Shi, H.; Wang, Y.; Lu, M.; Xu, Y.; Chen, X. A case of hepatitis B reactivation due to the hepatitis B virus escape mutant in a patient undergoing chemotherapy. Virol. Sin. 2012, 27, 369–372. [Google Scholar] [CrossRef]
- Salpini, R.; Colagrossi, L.; Bellocchi, M.C.; Surdo, M.; Becker, C.; Alteri, C.; Aragri, M.; Ricciardi, A.; Armenia, D.; Pollicita, M.; et al. Hepatitis B surface antigen genetic elements critical for immune escape correlate with hepatitis B virus reactivation upon immunosuppression. Hepatology 2015, 61, 823–833. [Google Scholar] [CrossRef] [PubMed]
- Terrault, N.A.; Lok, A.S.F.; McMahon, B.J.; Chang, K.M.; Hwang, J.P.; Jonas, M.M.; Brown, R.S., Jr.; Bzowej, N.H.; Wong, J.B. Update on prevention, diagnosis, and treatment of chronic hepatitis B: AASLD 2018 hepatitis B guidance. Hepatology 2018, 67, 1560–1599. [Google Scholar] [CrossRef]
- Karami, C.; Adli, A.H.; Zhand, S.; Tabarraei, A.; Talei, R.; Saeidi, M.; Moradi, A. Study of genotype, subtype and mutation in the S gene in hepatitis B patients co-infected with HIV in Iran. Jundishapur J. Microbiol. 2016, 9, e34009. [Google Scholar] [CrossRef]
- Denyer, R.V.; Tate, J.P.; Benator, D.A.; Lim, J.K.; Weintrob, A. 1026. Hepatitis B Reactivation in Persons with HIV with Positive Hepatitis B Core Antibody after Switching to Antiretroviral Therapy without Hepatitis B Activity. Open Forum Infect. Dis. 2023, 10, ofad500.057. [Google Scholar] [CrossRef]
- Karthigesu, V.D.; Allison, L.M.; Ferguson, M.; Howard, C.R. A hepatitis B virus variant found in the sera of immunised children induces a conformational change in the HBsAg “a” determinant. J. Med. Virol. 1999, 58, 346–352. [Google Scholar] [CrossRef]
- Okamoto, H.; Tsuda, F.; Akahane, Y.; Sugai, Y.; Yoshiba, M.; Moriyama, K.; Tanaka, T.; Miyakawa, Y.; Mayumi, M. Hepatitis B virus with mutations in the core promoter for an e antigen-negative phenotype in carriers with antibody to e antigen. J. Virol. 1994, 68, 8102–8110. [Google Scholar] [CrossRef]
- Sato, S.; Suzuki, K.; Akahane, Y.; Akamatsu, K.; Akiyama, K.; Yunomura, K.; Tsuda, F.; Tanaka, T.; Okamoto, H.; Miyakawa, Y.; et al. Hepatitis B virus strains with mutations in the core promoter in patients with fulminant hepatitis. Ann. Intern. Med. 1995, 122, 241–248. [Google Scholar] [CrossRef]
- Caligiuri, P.; Cerruti, R.; Icardi, G.; Bruzzone, B. Overview of hepatitis B virus mutations and their implications in the management of infection. World J. Gastroenterol. 2016, 22, 145–154. [Google Scholar] [CrossRef]
- Kao, J.H.; Chen, P.J.; Lai, M.Y.; Chen, D.S. Basal core promoter mutations of hepatitis B virus increase the risk of hepatocellular carcinoma in hepatitis B carriers. Gastroenterology 2003, 124, 327–334. [Google Scholar] [CrossRef]
- Liu, C.J.; Chen, B.F.; Chen, P.J.; Lai, M.Y.; Huang, W.L.; Kao, J.H.; Chen, D.S. Role of hepatitis B viral load and basal core promoter mutation in hepatocellular carcinoma in hepatitis B carriers. J. Infect. Dis. 2006, 193, 1258–1265. [Google Scholar] [CrossRef]
- Baptista, M.; Kramvis, A.; Kew, M.C. High prevalence of 1762(T) 1764(A) mutations in the basic core promoter of hepatitis B virus isolated from black Africans with hepatocellular carcinoma compared with asymptomatic carriers. Hepatology 1999, 29, 946–953. [Google Scholar] [CrossRef]
- Lau, D.T.Y.; Ganova-Raeva, L.; Wang, J.; Mogul, D.; Chung, R.T.; Lisker-Melman, M.; Chang, K.M.; Shaikh, O.S.; Janssen, H.L.A.; Wahed, A.S.; et al. Hepatitis B Research Network Precore and Basal Core Promoter Hepatitis B Virus (HBV) Variants Are Present From a Young Age and Differ Across HBV Genotypes. Hepatology 2021, 73, 1637–1651. [Google Scholar] [CrossRef]
- Fang, Z.L.; Sabin, C.A.; Dong, B.Q.; Ge, L.Y.; Wei, S.C.; Chen, Q.Y.; Fang, K.X.; Yang, J.Y.; Wang, X.Y.; Harrison, T.J. HBV A1762T, G1764A mutations are a valuable biomarker for identifying a subset of male HBsAg carriers at extremely high risk of hepatocellular carcinoma: A prospective study. Am. J. Gastroenterol. 2008, 103, 2254–2262. [Google Scholar] [CrossRef] [PubMed]
- Wang, N.; Zheng, Y.; Yu, X.; Lin, W.; Chen, Y.; Jiang, Q. Sex-modified effect of hepatitis B virus infection on mortality from primary liver cancer. Am. J. Epidemiol. 2009, 169, 990–995. [Google Scholar] [CrossRef] [PubMed]
- Montella, M.; D’Arena, G.; Crispo, A.; Capunzo, M.; Nocerino, F.; Grimaldi, M.; Barbieri, A.; D’Ursi, A.M.; Tecce, M.F.; Amore, A.; et al. Role of Sex Hormones in the Development and Progression of Hepatitis B Virus-Associated Hepatocellular Carcinoma. Int. J. Endocrinol. 2015, 2015, 854530. [Google Scholar] [CrossRef] [PubMed]
- Forbi, J.C.; Ben-Ayed, Y.; Xia, G.L.; Vaughan, G.; Drobeniuc, J.; Switzer, W.M.; Khudyakov, Y.E. Disparate distribution of hepatitis B virus genotypes in four sub-Saharan African countries. J. Clin. Virol. 2013, 58, 59–66. [Google Scholar] [CrossRef] [PubMed]
- Opaleye, O.O.; Akanbi, O.A.; Osundare, F.A.; Wang, B.; Adesina, O.; Oluremi, A.S.; Sunday, S.T.; Akindele, A.A.; Klink, P.; Bock, C.T. Prevalence and characteristics of hepatitis B and D virus infections among HIV-positive individuals in Southwestern Nigeria. Virol. J. 2021, 18, 20. [Google Scholar] [CrossRef] [PubMed]







| Characteristics | Frequency | (%) | |
|---|---|---|---|
| Sex | Female | 130 | 58.3 |
| Male | 93 | 41.7 | |
| Location | Jos | 100 | 44.8 |
| Osun | 123 | 55.2 | |
| Age | 0–16 | 5 | 2.2 |
| 17–30 | 80 | 35.9 | |
| 31–45 | 100 | 44.8 | |
| >45 | 38 | 17.0 | |
| Marital Status | Divorced | 3 | 1.3 |
| Married | 125 | 56.1 | |
| Single | 88 | 39.5 | |
| Widowed | 7 | 3.1 | |
| HBsAg | Negative | 45 | 20.2 |
| Positive | 178 | 79.8 | |
| HBeAg | Negative | 111 | 62.4 |
| Positive | 67 | 37.6 | |
| HBcrAg | Negative | 2 | 1.1 |
| Positive | 176 | 98.9 | |
Disclaimer/Publisher’s Note: The statements, opinions and data contained in all publications are solely those of the individual author(s) and contributor(s) and not of MDPI and/or the editor(s). MDPI and/or the editor(s) disclaim responsibility for any injury to people or property resulting from any ideas, methods, instructions or products referred to in the content. |
© 2025 by the authors. Licensee MDPI, Basel, Switzerland. This article is an open access article distributed under the terms and conditions of the Creative Commons Attribution (CC BY) license (https://creativecommons.org/licenses/by/4.0/).
Share and Cite
Abechi, P.; George, U.E.; Adejumobi, O.A.; Ahmad, U.; Aborisade, O.Y.; Oragwa, A.O.; Ajayi, O.I.; Akinlo, O.O.; Happi, C.; Folarin, O.A. Evolutionary Insights of Hepatitis B Virus Genotypes and Profiles of Mutations in Surface and Basal Core Promoter/Pre-Core Genes Among HBsAg-Positive Patients in North-Central and Southwestern Nigeria. Viruses 2025, 17, 1101. https://doi.org/10.3390/v17081101
Abechi P, George UE, Adejumobi OA, Ahmad U, Aborisade OY, Oragwa AO, Ajayi OI, Akinlo OO, Happi C, Folarin OA. Evolutionary Insights of Hepatitis B Virus Genotypes and Profiles of Mutations in Surface and Basal Core Promoter/Pre-Core Genes Among HBsAg-Positive Patients in North-Central and Southwestern Nigeria. Viruses. 2025; 17(8):1101. https://doi.org/10.3390/v17081101
Chicago/Turabian StyleAbechi, Priscilla, Uwem E. George, Olawale A. Adejumobi, Umar Ahmad, Olamide Y. Aborisade, Arthur O. Oragwa, Oluremi I. Ajayi, Oluwasemilogo O. Akinlo, Christian Happi, and Onikepe A. Folarin. 2025. "Evolutionary Insights of Hepatitis B Virus Genotypes and Profiles of Mutations in Surface and Basal Core Promoter/Pre-Core Genes Among HBsAg-Positive Patients in North-Central and Southwestern Nigeria" Viruses 17, no. 8: 1101. https://doi.org/10.3390/v17081101
APA StyleAbechi, P., George, U. E., Adejumobi, O. A., Ahmad, U., Aborisade, O. Y., Oragwa, A. O., Ajayi, O. I., Akinlo, O. O., Happi, C., & Folarin, O. A. (2025). Evolutionary Insights of Hepatitis B Virus Genotypes and Profiles of Mutations in Surface and Basal Core Promoter/Pre-Core Genes Among HBsAg-Positive Patients in North-Central and Southwestern Nigeria. Viruses, 17(8), 1101. https://doi.org/10.3390/v17081101

