Sign in to use this feature.

Years

Between: -

Subjects

remove_circle_outline
remove_circle_outline
remove_circle_outline
remove_circle_outline
remove_circle_outline
remove_circle_outline
remove_circle_outline

Journals

Article Types

Countries / Regions

Search Results (5)

Search Parameters:
Keywords = EOLO

Order results
Result details
Results per page
Select all
Export citation of selected articles as:
10 pages, 829 KB  
Article
Preventing Cardiotoxicity in Personalized Breast Irradiation
by Edy Ippolito, Carlo Greco, Maristella Marrocco, Carla Germana Rinaldi, Michele Fiore, Luca Eolo Trodella, Rolando Maria D’Angelillo and Sara Ramella
Cancers 2023, 15(21), 5153; https://doi.org/10.3390/cancers15215153 - 26 Oct 2023
Cited by 1 | Viewed by 1960
Abstract
Background: This study aims to assess the benefit of a deep inspiration breath hold (DIBH) over the standard irradiation technique, and eventually to identify anatomical and/or treatment preplanning characteristics correlated with the LAD dose. Methods: Patients with left-sided breast cancer undergoing whole breast [...] Read more.
Background: This study aims to assess the benefit of a deep inspiration breath hold (DIBH) over the standard irradiation technique, and eventually to identify anatomical and/or treatment preplanning characteristics correlated with the LAD dose. Methods: Patients with left-sided breast cancer undergoing whole breast radiotherapy with DIBH were analyzed. All patients included in the analysis had plans in DIBH and free-breathing (FB). Receiving operating characteristics (ROC analysis) were used to identify the cut-off point of parameters to predict the LAD maximum dose > 10 Gy and LAD mean dose > 4 Gy, and the areas under the curve (AUCs) were computed. Post-test probability has been performed to evaluate the effect of parameters’ combination. Results: One hundred ninety-seven patients were analyzed. The LAD dose was significantly reduced in DIBH plans with the maximum and mean dose reduced by 31.7% (mean value 3.5 Gy vs. 4.8 Gy, p ≤ 0.001) and 28.1% (mean value 8.2 Gy vs. 12.8 Gy, p ≤ 0.001) in DIBH plans compared to FB plans. The strongest predictor of the LAD dose (maximum > 10 Gy and mean > 4 Gy) was the minimum distance of LAD from tangent open fields. Other parameters were lung volume and heart volume (LAD Dmax > 10 Gy) and lung volume, heart volume, and breast separation (LAD Dmean > 4 Gy). Conclusion: The dosimetric advantage of DIBH is clear in all patients and DIBH should always be preferred. Full article
(This article belongs to the Special Issue Cancer and Chronic Illness)
Show Figures

Figure 1

32 pages, 30065 KB  
Article
Bringing Project-Based Learning into Renewable and Sustainable Energy Education: A Case Study on the Development of the Electric Vehicle EOLO
by Jonathan Álvarez Ariza and Tope Gloria Olatunde-Aiyedun
Sustainability 2023, 15(13), 10275; https://doi.org/10.3390/su151310275 - 29 Jun 2023
Cited by 11 | Viewed by 5195
Abstract
In recent years, there has been a growing interest in education for sustainable development (ESD). Although several national and international agencies, e.g., the UN or UNESCO, have promoted its deployment in higher education institutions, educators are still facing problems with how to articulate [...] Read more.
In recent years, there has been a growing interest in education for sustainable development (ESD). Although several national and international agencies, e.g., the UN or UNESCO, have promoted its deployment in higher education institutions, educators are still facing problems with how to articulate this type of education within the curriculum, allowing students to develop their technical and labor competencies, and soft skills as well. In this way, this study describes a methodology with Project-Based Learning in renewable and sustainable energies through the development of an electrical vehicle (EV) known as EOLO. This initiative arose from an industry-academia collaboration to develop the first Colombian EV with the support of solar and wind energy sources. Twelve engineering students participated in the development of the vehicle through a set of capstone projects over a year and a half with the support of two tutors (professors) and two engineers (technical staff) of the project. Additionally, two versions of EOLO with vertical and horizontal axis wind turbines were made with the cooperation of the students. The results evidence that the methodology helped to engage students, promoted meaningfully and situated learning through real-world problems in renewable energies, and fostered motivation and peer collaboration. Nonetheless, aspects such as the improvement of the communications channels, the revision of the complexity of the projects, the sense of community to achieve a common goal, or the tutoring and monitoring processes should be strengthened for further initiatives and/or active learning methodologies. In this sense, some challenges and recommendations that can help to develop methodologies that combine ESD and engineering are provided based on the experience in this study. Full article
(This article belongs to the Special Issue Inputs of Engineering Education towards Sustainability)
Show Figures

Figure 1

14 pages, 4795 KB  
Article
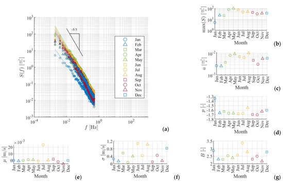
Variability in the Wind Spectrum between 10−2 Hz and 1 Hz
by Neil Garcia, Biswaranjan Mohanty and Kim A. Stelson
Energies 2023, 16(9), 3701; https://doi.org/10.3390/en16093701 - 26 Apr 2023
Cited by 2 | Viewed by 3734
Abstract
Wind is an abundant, yet intermittent, source of renewable energy, with speeds changing both spatially and temporally over a wide range of time scales. While wind variability is well documented on large meteorological time scales and the behavior of turbulent flow at high [...] Read more.
Wind is an abundant, yet intermittent, source of renewable energy, with speeds changing both spatially and temporally over a wide range of time scales. While wind variability is well documented on large meteorological time scales and the behavior of turbulent flow at high frequencies is well understood, there remain questions in the literature regarding the intermediate region of these domains. Understanding wind variability at the microscale, here considering a frequency range of 10−2 Hz < f < 1 Hz, is key for wind turbine control and modeling. In this paper, we quantify the variability of wind conditions for the meteorological tower at the Eolos wind research station in Minnesota using power spectral density analysis. Spectral analysis of wind samples with similar mean wind speeds was conducted to test the hypothesis that the wind spectrum’s shape is independent of the mean wind speed. Historical wind speed data were compared and evaluated to identify diurnal, seasonal, and interannual trends in the spectrum of wind at frequencies above 10−3 Hz. We conclude that the shape of the wind spectrum is independent of the mean wind speed following the Kolmogorov −5/3 law for turbulent flows for incoming wind, with some variations in slope and spectrum magnitude. While no conclusive diurnal, seasonal, or interannual trends were observed, it is shown that some variations in both slope and spectrum magnitude can occur on these time scales. Full article
(This article belongs to the Section A3: Wind, Wave and Tidal Energy)
Show Figures

Figure 1

16 pages, 621 KB  
Article
Analysis of the Suitability of the EOLO Wind-Predictor Model for the Spanish Electricity Markets
by Saray Martínez-Lastras, Laura Frías-Paredes, Diego Prieto-Herráez, Martín Gastón-Romeo and Diego González-Aguilera
Energies 2023, 16(3), 1101; https://doi.org/10.3390/en16031101 - 19 Jan 2023
Cited by 2 | Viewed by 2160
Abstract
Wind energy forecasting is a critical aspect for wind energy producers, given that the chaotic nature and the intermittence of meteorological wind cause difficulties for both the integration and the commercialization of wind-produced electricity. For most European producers, the quality of the forecast [...] Read more.
Wind energy forecasting is a critical aspect for wind energy producers, given that the chaotic nature and the intermittence of meteorological wind cause difficulties for both the integration and the commercialization of wind-produced electricity. For most European producers, the quality of the forecast also affects their financial outcomes since it is necessary to include the impact of imbalance penalties due to the regularization in balancing markets. To help wind farm owners in the elaboration of offers for electricity markets, the EOLO predictor model can be used. This tool combines different sources of data, such as meteorological forecasts, electric market information, and historic production of the wind farm, to generate an estimation of the energy to be produced, which maximizes its financial performance by minimizing the imbalance penalties. This research study aimed to evaluate the performance of the EOLO predictor model when it is applied to the different Spanish electricity markets, focusing on the statistical analysis of its results. Results show how the wind energy forecast generated by EOLO anticipates real electricity generation with high accuracy and stability, providing a reduced forecast error when it is used to participate in successive sessions of the Spanish electricity market. The obtained error, in terms of RMAE, ranges from 8%, when it is applied to the Day-ahead market, to 6%, when it is applied to the last intraday market. In financial terms, the prediction achieves a financial performance near 99% once imbalance penalties have been discounted. Full article
Show Figures

Figure 1

11 pages, 1157 KB  
Article
In Vitro Pharmacological Screening of Essential Oils from Baccharis parvidentata and Lippia origanoides Growing in Brazil
by Wilmer H. Perera, Alexander M. Scherbakov, Galina I. Buravchenko, Ekaterina I. Mikhaevich, Suzana Guimarães Leitão, Paul Cos, Andrey E. Shchekotikhin, Lianet Monzote and William N. Setzer
Molecules 2022, 27(6), 1926; https://doi.org/10.3390/molecules27061926 - 16 Mar 2022
Cited by 10 | Viewed by 3379
Abstract
In this study, the in vitro antimicrobial, antiparasitic, antiproliferative and cytotoxic activities of essential oil from Baccharis parvidentata Malag. (EO-Bp) and Lippia origanoides Kunth (EO-Lo) were explored. The relevant effects were observed against the parasitic protozoans Plasmodium falciparum, Trypanosoma cruzi [...] Read more.
In this study, the in vitro antimicrobial, antiparasitic, antiproliferative and cytotoxic activities of essential oil from Baccharis parvidentata Malag. (EO-Bp) and Lippia origanoides Kunth (EO-Lo) were explored. The relevant effects were observed against the parasitic protozoans Plasmodium falciparum, Trypanosoma cruzi, Trypanosoma brucei and Leishmania amazonensis (ranging 0.6 to 39.7 µg/mL) and malignant MCF-7, MCF-7/HT, 22Rv1, and A431 cell lines (ranging 6.1 to 31.5 µg/mL). In parallel, EO-Bp showed better selective indexes in comparison with EO-Lo against peritoneal macrophages from BALB/c mice and MRC-5 cell line. In conclusion, EO-Lo is known to show a wide range of health benefits that could be added as another potential use of this oil with the current study. In the case of EO-Bp, the wide spectrum of its activities against protozoal parasites and malignant cells, as well as its selectivity in comparison with non-malignant cells, could suggest an interesting candidate for further tests as a new therapeutic alternative. Full article
Show Figures

Figure 1

Back to TopTop