Sign in to use this feature.

Years

Between: -

Subjects

remove_circle_outline
remove_circle_outline
remove_circle_outline
remove_circle_outline

Journals

Article Types

Countries / Regions

Search Results (8)

Search Parameters:
Keywords = CHA topology

Order results
Result details
Results per page
Select all
Export citation of selected articles as:
14 pages, 12209 KB  
Article
Evolution of the Structure and Morphology of Dual-Linker ZIF-301-eIm
by Ping Wei, Boyao Xie, Jiang Wang, Yanjun Wu, Qi Shi and Jinxiang Dong
Molecules 2024, 29(14), 3395; https://doi.org/10.3390/molecules29143395 - 19 Jul 2024
Cited by 2 | Viewed by 1254
Abstract
Few studies have reported on the continuous evolution of dual-linker zeolitic imidazolate frameworks’ (ZIFs) structure and morphology during the crystal growth process. Herein, we report the synthesis of a novel ZIF material with CHA topology (ZIF-301-eIm) via the combination of a small-sized 2-ethylimidazole [...] Read more.
Few studies have reported on the continuous evolution of dual-linker zeolitic imidazolate frameworks’ (ZIFs) structure and morphology during the crystal growth process. Herein, we report the synthesis of a novel ZIF material with CHA topology (ZIF-301-eIm) via the combination of a small-sized 2-ethylimidazole (eIm) with the large-sized 5-chlorobenzimidazole ligand. A series of derivative materials with distinct structures and morphologies were obtained via two pathways: (1) insufficient amount of eIm with prolonged crystallization time (pathway A) and (2) sufficient amount of eIm with prolonged crystallization time (pathway B). Various characterization techniques revealed the continuous evolution of structure and morphology during the crystal growth process. Insufficient amount of eIm and crystallization time (crystallization pathway A) led to ZIF-301-eIm derivatives with defective and open structures alongside an aggregated morphology of nanoparticles. Prolonging the crystallization time allowed small-sized eIm ligands to gradually fill into the framework, resulting in the formation of ZIF-301-eIm-A5 characterized by complete but dense structures with a perfect polyhedral morphology. Remarkably, a sufficient amount of eIm during synthesis (crystallization pathway B) formed ZIF-301-eIm-B1 with a similar structure and morphology to ZIF-301-eIm-A5 in just 1 day. ZIF-301-eIm-B3, with intact, dense structures, exhibits superior acetone/butanol separation performance compared to ZIF-301-eIm-A3 due to small pore windows and large cages facilitating selective adsorption of acetone through exclusion separation. Full article
(This article belongs to the Section Inorganic Chemistry)
Show Figures

Figure 1

18 pages, 1448 KB  
Article
Effects of In Vitro Digestion of Polyphenols from Coffee on Binding Parameters to Human Topoisomerase II α
by Joanna Grzelczyk, Horacio Pérez-Sánchez, Miguel Carmena-Bargueño, Joanna Oracz and Grażyna Budryn
Molecules 2023, 28(16), 5996; https://doi.org/10.3390/molecules28165996 - 10 Aug 2023
Cited by 2 | Viewed by 1973
Abstract
Type II topoisomerase (TOPII) is an enzyme that influences the topology of DNA. DNA breaks generated by TOPII may result in mutagenic or cytotoxic changes in cancer cells. In this study, we characterized interactions of TOPIIα with coffee extracts and individual chlorogenic acids [...] Read more.
Type II topoisomerase (TOPII) is an enzyme that influences the topology of DNA. DNA breaks generated by TOPII may result in mutagenic or cytotoxic changes in cancer cells. In this study, we characterized interactions of TOPIIα with coffee extracts and individual chlorogenic acids (CHAs) from the extracts by performing isothermal titration calorimetry (ITC) and molecular docking (MD) simulations. The study showed that the highest affinity to TOPIIα was found in green coffee (ΔG = −38.23 kJ/mol) and monochlorogenic acids fraction of coffee extracts (ΔG = −35.80 kJ/mol), resulting from the high content of polyphenols, such as CHAs, which can bind to the enzyme in the active site. Coffee extracts and their fractions maintained a high affinity for TOPIIα after simulated digestion in the presence of probiotic bacteria. It can be concluded that coffee may be a potential TOPIIα inhibitor considered as a functional food for cancer prevention. Full article
(This article belongs to the Special Issue New Insights into Bioactive Compounds from Natural Sources)
Show Figures

Figure 1

43 pages, 1619 KB  
Article
Adaptive Multi-Channel Clustering in IEEE 802.11s Wireless Mesh Networks
by Michael Rethfeldt, Tim Brockmann, Benjamin Beichler, Christian Haubelt and Dirk Timmermann
Sensors 2021, 21(21), 7215; https://doi.org/10.3390/s21217215 - 29 Oct 2021
Cited by 6 | Viewed by 4705
Abstract
WLAN mesh networks are one of the key technologies for upcoming smart city applications and are characterized by a flexible and low-cost deployment. The standard amendment IEEE 802.11s introduces low-level mesh interoperability at the WLAN MAC layer. However, scalability limitations imposed by management [...] Read more.
WLAN mesh networks are one of the key technologies for upcoming smart city applications and are characterized by a flexible and low-cost deployment. The standard amendment IEEE 802.11s introduces low-level mesh interoperability at the WLAN MAC layer. However, scalability limitations imposed by management traffic overhead, routing delays, medium contention, and interference are common issues in wireless mesh networks and also apply to IEEE 802.11s networks. Possible solutions proposed in the literature recommend a divide-and-conquer scheme that partitions the network into clusters and forms smaller collision and broadcast domains by assigning orthogonal channels. We present CHaChA (Clustering Heuristic and Channel Assignment), a distributed cross-layer approach for cluster formation and channel assignment that directly integrates the default IEEE 802.11s mesh protocol information and operating modes, retaining unrestricted compliance to the WLAN standard. Our concept proposes further mechanisms for dynamic cluster adaptation, including subsequent cluster joining, isolation and fault detection, and node roaming for cluster balancing. The practical performance of CHaChA is demonstrated in a real-world 802.11s testbed. We first investigate clustering reproducibility, duration, and communication overhead in static network scenarios of different sizes. We then validate our concepts for dynamic cluster adaptation, considering topology changes that are likely to occur during long-term network operation and maintenance. Full article
(This article belongs to the Special Issue IEEE 802.11 and Wireless Sensors Network)
Show Figures

Figure 1

21 pages, 11694 KB  
Article
Synthesis of Highly Selective and Stable Co-Cr/SAPO-34 Catalyst for the Catalytic Dehydration of Ethanol to Ethylene
by Peirong Niu, Xiao Ren, Deyuan Xiong, Shilei Ding, Yuanlin Li, Zhaozhou Wei and Xusong Chen
Catalysts 2020, 10(7), 785; https://doi.org/10.3390/catal10070785 - 14 Jul 2020
Cited by 19 | Viewed by 5397
Abstract
In this study, silicoaluminophosphate (SAPO)-34 and Me (Me = Cr, Co)-modified SAPO-34 were synthesized and used as catalysts to investigate the catalytic performance by means of a probe reaction from ethanol to ethylene. The metal oxides were loaded on the SAPO-34 support via [...] Read more.
In this study, silicoaluminophosphate (SAPO)-34 and Me (Me = Cr, Co)-modified SAPO-34 were synthesized and used as catalysts to investigate the catalytic performance by means of a probe reaction from ethanol to ethylene. The metal oxides were loaded on the SAPO-34 support via an impregnation method. The synthesized catalysts were characterized using XRD, SEM, EDX, FT-IR, NH3-TPD, BET, and TGA techniques. Compared to SAPO-34, SAPO-34 doped with metal oxides showed the same chabazite (CHA) topology. The structure and properties of the catalyst were further optimized by varying the amount of Me. The experimental results showed that Co-Cr/SAPO-34 exhibited the best catalytic performance when the reaction temperature reached 400 °C at a weight hourly space velocity (WHSV) of 3.5 h−1, for which the single-pass conversion of ethanol was determined as 99.15%, and the selectivity of ethylene was 99.4% at an optimum catalytic performance in the reaction of up to 600 min. In addition, Co-Cr/SAPO-34 exhibited better catalytic activity and anti-coking ability than pure SAPO-34, which was attributed to its enhanced pore structure and moderate acidity. It can also be concluded from the results of this experiment that the performance of the Co-Cr bimetal-supported catalyst is better than that of the Cr mono-metal catalyst. Full article
Show Figures

Figure 1

18 pages, 15881 KB  
Article
Theoretical Study of Zirconium Isomorphous Substitution into Zeolite Frameworks
by Duichun Li, Bin Xing, Baojun Wang and Ruifeng Li
Molecules 2019, 24(24), 4466; https://doi.org/10.3390/molecules24244466 - 5 Dec 2019
Cited by 5 | Viewed by 3659
Abstract
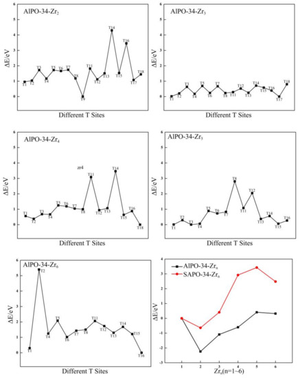
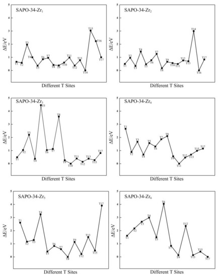
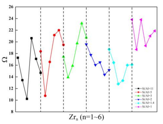
Systematic periodic density functional theory computations including dispersion correction (DFT-D) were carried out to determine the preferred location site of Zr atoms in sodalite (SOD) and CHA-type topology frameworks, including alumino-phosphate-34 (AlPO-34) and silico-alumino-phosphate-34 (SAPO-34), and to determine the relative stability and Brönsted [...] Read more.
Systematic periodic density functional theory computations including dispersion correction (DFT-D) were carried out to determine the preferred location site of Zr atoms in sodalite (SOD) and CHA-type topology frameworks, including alumino-phosphate-34 (AlPO-34) and silico-alumino-phosphate-34 (SAPO-34), and to determine the relative stability and Brönsted acidity of Zr-substituted forms of SOD, AlPO-34, and SAPO-34. Mono and multiple Zr atom substitutions were considered. The Zr substitution causes obvious structural distortion because of the larger atomic radius of Zr than that of Si, however, Zr-substituted forms of zeolites are found to be more stable than pristine zeolites. Our results demonstrate that in the most stable configurations, the preferred favorable substitutions of Zr in substituted SOD have Zr located at the neighboring sites of the Al-substituted site. However, in the AlPO-34 and SAPO-34 frameworks, the Zr atoms are more easily distributed in a dispersed form, rather than being centralized. Brönsted acidity of substituted zeolites strongly depends on Zr content. For SOD, substitution of Zr atoms reduces Brönsted acidity. However, for Zr-substituted forms of AlPO-34 and SAPO-34, Brönsted acidity of the Zr-O(H)-Al acid sites are, at first, reduced and, then, the presence of Zr atoms substantially increased Brönsted acidity of the Zr-O(H)-Al acid site. The results in the SAPO-34-Zr indicate that more Zr atoms substantially increase Brönsted acidity of the Si-O(H)-Al acid site. It is suggested that substituted heteroatoms play an important role in regulating and controlling structural stability and Brönsted acidity of zeolites. Full article
(This article belongs to the Section Computational and Theoretical Chemistry)
Show Figures

Graphical abstract

14 pages, 8127 KB  
Article
Performance Enhanced SAPO-34 Catalyst for Methanol to Olefins: Template Synthesis Using a CO2-Based Polyurea
by Yuehong Yu, Jiaxiang Qin, Min Xiao, Shuanjin Wang, Dongmei Han and Yuezhong Meng
Catalysts 2019, 9(1), 16; https://doi.org/10.3390/catal9010016 - 28 Dec 2018
Cited by 14 | Viewed by 7299
Abstract
Introducing mesopores into the channels and cages of conventional micropores CHA (Chabazite) topological structure SAPO-34 molecular sieves can effectively improve mass transport, retard coke deposition rate and enhance the catalytic performance for methanol to olefins (MTO) reaction, especially lifetime and olefins selectivity. In [...] Read more.
Introducing mesopores into the channels and cages of conventional micropores CHA (Chabazite) topological structure SAPO-34 molecular sieves can effectively improve mass transport, retard coke deposition rate and enhance the catalytic performance for methanol to olefins (MTO) reaction, especially lifetime and olefins selectivity. In order to overcome the intrinsic diffusion limitation, a novel CO2-based polyurea copolymer with affluent amine group, ether segment and carbonyl group has been firstly applied to the synthesis of SAPO-34 zeolite under hydrothermal conditions. The as-synthesized micro-mesoporosity SAPO-34 molecular sieve catalysts show heterogeneous size distribution mesopores and exhibit slightly decrease of BET surface area due to the formation of defects and voids. Meanwhile, the catalysts exhibit superior catalytic performance in the MTO reaction with more than twice prolonged catalytic lifespan and improvement of selectivity for light olefins compared with conventional microporous SAPO-34. The methodology provides a new way to synthesize and control the structure of SAPO-34 catalysts. Full article
(This article belongs to the Special Issue Heterogeneous Acid Catalyst)
Show Figures

Graphical abstract

15 pages, 4209 KB  
Article
Estimating CO2/N2 Permselectivity through Si/Al = 5 Small-Pore Zeolites/PTMSP Mixed Matrix Membranes: Influence of Temperature and Topology
by Clara Casado-Coterillo, Ana Fernández-Barquín, Susana Valencia and Ángel Irabien
Membranes 2018, 8(2), 32; https://doi.org/10.3390/membranes8020032 - 16 Jun 2018
Cited by 16 | Viewed by 4516
Abstract
In the present work, the effect of zeolite type and topology on CO2 and N2 permeability using zeolites of different topology (CHA, RHO, and LTA) in the same Si/Al = 5, embedded in poly(trimethylsilyl-1-propyne) (PTMSP) is evaluated with temperature. Several models [...] Read more.
In the present work, the effect of zeolite type and topology on CO2 and N2 permeability using zeolites of different topology (CHA, RHO, and LTA) in the same Si/Al = 5, embedded in poly(trimethylsilyl-1-propyne) (PTMSP) is evaluated with temperature. Several models are compared on the prediction of CO2/N2 separation performance and then the modified Maxwell models are selected. The CO2 and N2 permeabilities through these membranes are predicted with an average absolute relative error (AARE) lower than 0.6% taking into account the temperature and zeolite loading and topology on non-idealities such as membrane rigidification, zeolite–polymer compatibility and sieve pore blockage. The evolution of this structure–performance relationship with temperature has also been predicted. Full article
(This article belongs to the Special Issue Mixed Matrix Membranes)
Show Figures

Figure 1

12 pages, 2525 KB  
Article
Mixed Matrix Membranes for O2/N2 Separation: The Influence of Temperature
by Ana Fernández-Barquín, Clara Casado-Coterillo, Susana Valencia and Angel Irabien
Membranes 2016, 6(2), 28; https://doi.org/10.3390/membranes6020028 - 16 May 2016
Cited by 30 | Viewed by 7081
Abstract
In this work, mixed matrix membranes (MMMs) composed of small-pore zeolites with various topologies (CHA (Si/Al = 5), LTA (Si/Al = 1 and 5), and Rho (Si/Al = 5)) as dispersed phase, and the hugely permeable poly(1-trimethylsilyl-1-propyne) (PTMSP) as continuous phase, have been [...] Read more.
In this work, mixed matrix membranes (MMMs) composed of small-pore zeolites with various topologies (CHA (Si/Al = 5), LTA (Si/Al = 1 and 5), and Rho (Si/Al = 5)) as dispersed phase, and the hugely permeable poly(1-trimethylsilyl-1-propyne) (PTMSP) as continuous phase, have been synthesized via solution casting, in order to obtain membranes that could be attractive for oxygen-enriched air production. The O2/N2 gas separation performance of the MMMs has been analyzed in terms of permeability, diffusivity, and solubility in the temperature range of 298–333 K. The higher the temperature of the oxygen-enriched stream, the lower the energy required for the combustion process. The effect of temperature on the gas permeability, diffusivity, and solubility of these MMMs is described in terms of the Arrhenius and Van’t Hoff relationships with acceptable accuracy. Moreover, the O2/N2 permselectivity of the MMMs increases with temperature, the O2/N2 selectivities being considerably higher than those of the pure PTMSP. In consequence, most of the MMMs prepared in this work exceeded the Robeson’s upper bound for the O2/N2 gas pair in the temperature range under study, with not much decrease in the O2 permeabilities, reaching O2/N2 selectivities of up to 8.43 and O2 permeabilities up to 4,800 Barrer at 333 K. Full article
Show Figures

Figure 1

Back to TopTop