Sign in to use this feature.

Years

Between: -

Subjects

remove_circle_outline
remove_circle_outline
remove_circle_outline

Journals

Article Types

Countries / Regions

Search Results (5)

Search Parameters:
Keywords = Biscogniauxia nummularia

Order results
Result details
Results per page
Select all
Export citation of selected articles as:
21 pages, 6849 KB  
Article
Evaluation of the Impact of Climate Change on Fagus sylvatica Dieback—A Combined Approach with ERA5-Land Data and Landsat Imagery
by Giuseppe Longo-Minnolo, Simona Consoli and Matilde Tessitori
Remote Sens. 2025, 17(5), 873; https://doi.org/10.3390/rs17050873 - 28 Feb 2025
Cited by 2 | Viewed by 1732
Abstract
Widespread dieback of Fagus sylvatica has been observed in several areas of Sicily (Italy) in recent decades, often associated with Biscogniauxia nummularia infections. However, the primary drivers of this decline remain debated, with climate change increasingly recognized as a key factor not only [...] Read more.
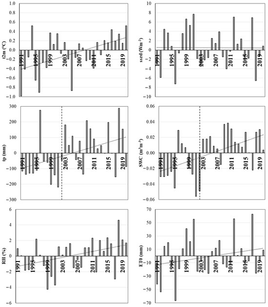
Widespread dieback of Fagus sylvatica has been observed in several areas of Sicily (Italy) in recent decades, often associated with Biscogniauxia nummularia infections. However, the primary drivers of this decline remain debated, with climate change increasingly recognized as a key factor not only in exacerbating tree physiological stress but also in enhancing susceptibility to pathogens. This study addresses this gap by quantifying the impact of climate change on beech decline in the Nebrodi Regional Park using an integrated approach that combines climate reanalysis data (ERA5-Land) and remote sensing (Landsat imagery). Analysis of climatic trends between two climate normals (1961–1990 and 1991–2020) revealed significant increases in temperature, evapotranspiration, and solar radiation, coupled with a decline in relative humidity. NDVI trends indicate a progressive loss of beech vigor since 2009, strongly correlated with decreasing soil moisture and precipitation. Although forest cover has expanded, this does not necessarily indicate improved forest health, as persistent climate stress may compromise tree vitality and increase vulnerability to secondary pathogens such as B. nummularia. These findings highlight the need for adaptive forest management strategies, including selective thinning and species diversification, to enhance resilience against climate change. Future research should prioritize high-resolution satellite imagery (e.g., Sentinel-2) and in situ physiological measurements (e.g., leaf water potential and sap flow) to refine early detection of climate-induced stress and improve conservation strategies for Mediterranean beech forests. Full article
Show Figures

Figure 1

24 pages, 1700 KB  
Article
Antifungal Efficacy of Essential Oils and Their Predominant Components Against Olive Fungal Pathogens
by Elena Petrović, Karolina Vrandečić, Jasenka Ćosić, Tamara Siber and Sara Godena
Agriculture 2025, 15(3), 340; https://doi.org/10.3390/agriculture15030340 - 4 Feb 2025
Cited by 4 | Viewed by 4202
Abstract
The antifungal effectiveness of essential oils (EOs) and their predominant components were tested on 14 phytopathogenic fungi isolated from olive trees. Commercial EOs from holy basil (Ocimum tenuiflorum L.), Chinese cinnamon (Cinnamomum aromaticum Ness), lemon (Citrus × limon), peppermint [...] Read more.
The antifungal effectiveness of essential oils (EOs) and their predominant components were tested on 14 phytopathogenic fungi isolated from olive trees. Commercial EOs from holy basil (Ocimum tenuiflorum L.), Chinese cinnamon (Cinnamomum aromaticum Ness), lemon (Citrus × limon), peppermint (Mentha × piperita L.), oregano (Origanum compactum Benth), and thyme (Thymus vulgaris L.) and components eugenol, e-cinnamaldehyde, limonene, menthol, carvacrol, and thymol were used. Antifungal efficacy was tested on six species from the Botryosphaeriaceae family: Botryosphaeria dothidea (Moug. ex Fr.) Ces. & De Not.; Diplodia mutila (Fr.) Fr.; D. seriata De Not.; Dothiorella iberica A.J.L. Phillips, J. Luque & A. Alves; Do. sarmentorum (Fr.) A.J.L. Phillips, Alves & Luque; and Neofusicoccum parvum (Pennycook & Samuels) Crous, Slippers & A.J.L. Phillips. Other tested species included Biscogniauxia mediterranea (De Not.) Kuntze, B. nummularia (Bull.) Kuntze; Cytospora pruinosa Défago; Nigrospora gorlenkoana Novobr.; N. osmanthi Mei Wang & L. Cai; N. philosophiae-doctoris M. Raza, Qian Chen & L. Cai; Phaeoacremonium iranianum L. Mostert, Grafenhan, W. Gams & Crous; and Sordaria fimicola (Roberge ex Desm.) Ces. & De Not. The results show that Chinese cinnamon and oregano EOs, along with their components, completely inhibited the growth of all tested fungi, indicating their potential as biological control agents in sustainable agriculture. In contrast, the least effective treatments were the EOs derived from lemon and peppermint, as well as the components limonene, menthol, and thymol. Notably, the fungi Do. iberica and N. gorlenkoana were among the most sensitive to all the treatments applied. Full article
(This article belongs to the Section Crop Protection, Diseases, Pests and Weeds)
Show Figures

Figure 1

26 pages, 5738 KB  
Article
Identification and Pathogenicity of Biscogniauxia and Sordaria Species Isolated from Olive Trees
by Elena Petrović, Sara Godena, Jasenka Ćosić and Karolina Vrandečić
Horticulturae 2024, 10(3), 243; https://doi.org/10.3390/horticulturae10030243 - 2 Mar 2024
Cited by 11 | Viewed by 4321
Abstract
A field investigation of olive trees in Istria, Croatia, revealed branch dieback and cracked bark. Samples of diseased branches were collected from eight different locations and analysed. Additionally, meteorological data from two locations were analysed to determine if there was a connection between [...] Read more.
A field investigation of olive trees in Istria, Croatia, revealed branch dieback and cracked bark. Samples of diseased branches were collected from eight different locations and analysed. Additionally, meteorological data from two locations were analysed to determine if there was a connection between climatic changes and the appearance of pathogens in the region. Pathogenicity tests were conducted on olive seedlings. This study provides a description of Biscogniauxia and Sordaria species’ morphology and elucidates their phylogeny based on the internal transcribed spacer (ITS), beta-tubulin (TUB2) and translation elongation factor 1-alpha (TEF1- α) regions. This research represents the first documented occurrence of Biscogniauxia mediterranea causing charcoal disease in olive trees in Croatia. Additionally, it is the first report of Biscogniauxia nummularia (Bull.) Kuntze and Sordaria fimicola causing diseases in olive trees anywhere in the world. Furthermore, this study marks one of the initial forays into molecular investigations of these species isolated from olive trees. Considering the potential threat posed by the inherent aggressiveness of Biscogniauxia species, further research is deemed necessary to curb the development of charcoal disease. Full article
(This article belongs to the Special Issue Sustainable Production of Fruit Trees and Disease Resistance)
Show Figures

Figure 1

15 pages, 2250 KB  
Article
Biscogniauxia Charcoal Canker—A New Potential Threat for Mid-European Forests as an Effect of Climate Change
by Katarzyna Patejuk, Anna Baturo-Cieśniewska, Wojciech Pusz and Agata Kaczmarek-Pieńczewska
Forests 2022, 13(1), 89; https://doi.org/10.3390/f13010089 - 8 Jan 2022
Cited by 15 | Viewed by 4401
Abstract
Biscogniauxia nummularia (Bull.) Kuntze is a fungus which induces strip-cankers on beech, commonly referred to as charcoal canker. The symptoms of infection are visible on the host tree’s bark as elongated, blackish bark lesions on the trunk and branches. Recent years have shown [...] Read more.
Biscogniauxia nummularia (Bull.) Kuntze is a fungus which induces strip-cankers on beech, commonly referred to as charcoal canker. The symptoms of infection are visible on the host tree’s bark as elongated, blackish bark lesions on the trunk and branches. Recent years have shown that, due to climate change causing local epidemics, the species is increasing its economic impact in Mediterranean regions. Until recently, B. nummularia was considered rare and uncommon in central Europe. However, in the last few years it has been noticed more often, mostly in coniferous trees, which are out of B. nummularia’s host range. A similar situation has been observed with the closely related species Biscogniauxia mediterranea (De Not.) Kuntze, which prior to 2017 had not been observed in central Europe at all. This study shows the genetic diversity of mid-European strains of Biscogniauxia spp. (based on the ITS, TEF1, TUB2 and ACT regions) and, as the first in Europe, presents a molecular investigation of this species isolated from coniferous trees. It is also the first attempt at estimating the potential impact of this pathogenic fungus on European forestry management in the close future. Full article
(This article belongs to the Special Issue Climate Change Effect on Mixed-Species Forest Management)
Show Figures

Figure 1

19 pages, 4269 KB  
Article
Natural Fungicolous Regulators of Biscogniauxia destructiva sp. nov. That Causes Beech Bark Tarcrust in Southern European (Fagus sylvatica) Forests
by Vladimir Vujanovic, Seon Hwa Kim, Jelena Latinovic and Nedeljko Latinovic
Microorganisms 2020, 8(12), 1999; https://doi.org/10.3390/microorganisms8121999 - 15 Dec 2020
Cited by 8 | Viewed by 4745
Abstract
Mycoparasites are a collection of fungicolous eukaryotic organisms that occur on and are antagonistic to a wide range of plant pathogenic fungi. To date, this fungal group has largely been neglected by biodiversity studies. However, this fungal group is of interest, as it [...] Read more.
Mycoparasites are a collection of fungicolous eukaryotic organisms that occur on and are antagonistic to a wide range of plant pathogenic fungi. To date, this fungal group has largely been neglected by biodiversity studies. However, this fungal group is of interest, as it may contain potential biocontrol agents of pathogenic fungi that cause beech Tarcrust disease (BTC), which has contributed to the devastation of European beech (Fagus sylvatica) forests. Biscogniauxia nummularia has been demonstrated to cause BTC. However, a trophic association between mycoparasites and pathogenic Biscogniauxia spp., has not been established. This study aimed to taxonomically identify and characterize Biscogniauxia, a fungus causing destructive BTC disease in European beech at Lovćen national park, Montenegro and to uncover the diversity of mycopathogens that are natural regulators of xylariaceous Biscogniauxia stroma formation, associated with beech decline. This finding is supported by distinctive phylogenetic and evolutionary characteristics, as well as unique morphological-microscopic fungal features indicating that Biscogniauxia from Montenegro, which is a major cause of BTC occurring in ancient beech forests at the edge of southern Fagus sylvatica distribution, may be described as a novel fungus specific to Fagus. Its evolutionary nuSSU–complete ITS–partial nuLSU rDNA phylogeny indicates its likely emergence by asexual fusion or introgressive hybridization between diverged B. nummularia and B. anceps species. The name Biscogniauxia destructiva is proposed for the novel fungus, as it is aggressive and highly destructive BTC disease. Full article
(This article belongs to the Section Plant Microbe Interactions)
Show Figures

Figure 1

Back to TopTop