Sign in to use this feature.

Years

Between: -

Subjects

remove_circle_outline
remove_circle_outline
remove_circle_outline
remove_circle_outline
remove_circle_outline
remove_circle_outline

Journals

Article Types

Countries / Regions

Search Results (12)

Search Parameters:
Authors = Daniel Filgueira

Order results
Result details
Results per page
Select all
Export citation of selected articles as:
9 pages, 597 KB  
Brief Report
Field Evidence of Fasciola hepatica-Mediated Modulation of Antibody Responses to Foot-and-Mouth Disease Vaccination in Buffaloes
by Juan Manuel Sala, Maximiliano Wilda, María Cruz Miraglia, Mariángeles Castillo, Daniel Mariano Pérez-Filgueira, Teresa Freire and Alejandra Victoria Capozzo
Vaccines 2026, 14(1), 36; https://doi.org/10.3390/vaccines14010036 - 28 Dec 2025
Viewed by 711
Abstract
Background: Fasciola hepatica (F. hepatica) infection reduces antibody avidity to foot-and-mouth disease virus (FMDV) vaccination in cattle despite preserved total antibody levels. However, its effect on vaccine-induced immunity in water buffaloes (Bubalus bubalis), which contribute to FMDV maintenance in endemic settings, [...] Read more.
Background: Fasciola hepatica (F. hepatica) infection reduces antibody avidity to foot-and-mouth disease virus (FMDV) vaccination in cattle despite preserved total antibody levels. However, its effect on vaccine-induced immunity in water buffaloes (Bubalus bubalis), which contribute to FMDV maintenance in endemic settings, has not been investigated. Objectives: To evaluate the effect of natural F. hepatica infection on the magnitude and functional quality of the FMDV–specific antibody response in buffaloes under field conditions. Methods: Two buffalo herds (n = 50 each) were classified by infection status using coproparasitological analysis and serology. All animals were vaccinated within the national foot-and-mouth disease control programme, with the last dose administered 264 days before sampling. Serum neutralising titres, total antibodies by liquid-phase blocking ELISA, IgG levels, and IgG avidity to the A24/Cruzeiro vaccine strain were determined. Results: F. hepatica-infected buffaloes exhibited consistent decreases across all vaccine-induced antibody parameters. Neutralising titres were reduced approximately two-fold, IgG avidity by about 38 percent, IgG levels by about 36 percent, and liquid-phase blocking ELISA titres by about 1.6-fold compared with non-infected animals. Conclusions: This study provides the first field evidence that fasciolosis is associated with changes in the magnitude and quality of vaccine-induced humoral responses following FMDV vaccination in water buffaloes, indicating that F. hepatica infection may influence the interpretation of post-vaccination serological monitoring in this species under endemic field conditions. Full article
(This article belongs to the Special Issue Animal Virus Infection, Immunity and Vaccines: 2nd Edition)
Show Figures

Figure 1

15 pages, 1616 KB  
Article
Impact of Different Foot and Mouth Disease Vaccine Schemes in Cross-Neutralization Against Heterologous Serotype O Strains in Cattle
by María Cruz Miraglia, Melanie Barrios-Benito, Sabrina Galdo-Novo, Danilo Bucafusco, Ana Taffarel, Alejandra Victoria Capozzo, Manuel Victor Borca and Daniel Mariano Pérez-Filgueira
Viruses 2024, 16(11), 1732; https://doi.org/10.3390/v16111732 - 4 Nov 2024
Cited by 3 | Viewed by 2123
Abstract
The high antigenic variability of the foot-and-mouth disease virus (FMDV) represents a challenge for developing prophylactic strategies, stressing the need for research into vaccines offering broad protection against a range of virus strains. Here, the heterotypic cross-reaction using different vaccine schemes against serotype [...] Read more.
The high antigenic variability of the foot-and-mouth disease virus (FMDV) represents a challenge for developing prophylactic strategies, stressing the need for research into vaccines offering broad protection against a range of virus strains. Here, the heterotypic cross-reaction using different vaccine schemes against serotype O strains was studied, evaluating the impact of revaccination, antigen dose, and incorporation of additional FMDV serotypes. Naïve cattle were immunized with seven distinct FMDV vaccines, receiving three doses of the same formulation at 0, 28, and 56 days post-primary vaccination (dpv). Serum samples were collected up to 70 dpv and tested by a virus-neutralizing test against serotype O strains from a South American lineage and two strains representative of two Asian lineages. Our results showed that vaccines containing the ME-SA topotype O1/Campos strain developed cross-neutralizing responses against the two Asian viruses after the first vaccination. In contrast, significant heterotypic neutralizing antibody titers against the homologous topotype strain were only found after the second vaccination, indicating that the phylogenic relationship may differ from the antigenic profiles for these two viruses. The amount of the O1/Campos strain and the revaccination were essential factors for neutralization against the homologous- and heterologous-type O FMDV viruses. The strain composition of the vaccine was only relevant for cross-neutralization against one of the Asian strains, suggesting potential intra-serotypic divergences for this pattern. Full article
(This article belongs to the Section Viral Immunology, Vaccines, and Antivirals)
Show Figures

Figure 1

15 pages, 381 KB  
Article
Spirituality, Religiosity, and Mental Health in Patients with Idiopathic Inflammatory Myopathies: A Brazilian Multicentric Case–Control Study
by Jucier Gonçalves Júnior, Alexandre Moura dos Santos, Romão Augusto Alves Filgueira Sampaio, Thalita do Nascimento Silva, Giovanna Martines, Daniel Brito de Araújo, Estelita Lima Cândido and Samuel Katsuyuki Shinjo
Int. J. Environ. Res. Public Health 2024, 21(6), 653; https://doi.org/10.3390/ijerph21060653 - 21 May 2024
Cited by 3 | Viewed by 2295
Abstract
No published studies have investigated the correlation between religiosity, spirituality, mental health, and idiopathic inflammatory myopathy (IIM) or systemic autoimmune myopathy. Therefore, we aimed to evaluate the association between religiosity/spirituality, sociodemographic factors, and the mental health of IIM patients. This is a multicenter [...] Read more.
No published studies have investigated the correlation between religiosity, spirituality, mental health, and idiopathic inflammatory myopathy (IIM) or systemic autoimmune myopathy. Therefore, we aimed to evaluate the association between religiosity/spirituality, sociodemographic factors, and the mental health of IIM patients. This is a multicenter case–control study that included 151 patients with IIMs and 95 individuals without autoimmune diseases (controls), held between August 2022 and April 2023. This study used a semi-structured questionnaire that included sociodemographic information and the juxtaposition of the following questionnaires: the Attitudes Related to Spirituality Scale (ARES); the Duke University Religion Index (DUKE), which is composed of the organizational religious affiliation (ORA), non-organizational religious affiliation (NORA), and intrinsic religiosity (IR) domains; and the General Health Questionnaire-12 (GHQ-12). Data were analyzed using Epi Info software 7.2.5 (Centers for Disease Control and Prevention, Atlanta, GA, USA). A comparison between the mean values of the ARES, DUKE, and GHQ-12 scales was made using the Wilcoxon–Mann–Whitney and Kruskal–Wallis tests. A logistic regression test was used with the variables whose difference was statistically significant in the univariate analysis. Correlation analysis was performed using the Spearman rho coefficient. A higher prevalence of evangelicals and a lower prevalence of Catholics (p < 0.050) were seen in the IIM group compared to controls. Positive association was demonstrated between IIMs and the pardo ethnicity (OR = 2.26, 95% CI = 1.20–4.25, p = 0.011), highest ORA (OR = 2.81, 95% CI = 1.53–5.15, p < 0.001), NORA (OR = 3.99, 95% CI = 1.94–8·18, p < 0.001), IR (OR = 5.27, 95% CI = 2.32–11.97, p < 0.001), and ARES values (OR = 1.08, 95% CI = 1.04–1.13, p < 0.001). Mental health levels were compared between the groups (p > 0.999). Therefore, higher levels of religiosity and spirituality were observed in the IIM group than in the control group, but there was a similar distribution of mental health levels. The following can be cited as advantages of the present study: (i) the large sample for a rare disease with the presence of a control group; (ii) the multicenter characteristic with participation from three regions of Brazil; (iii) being the first study to map aspects of religiosity, spirituality, and mental health in IIMs. Full article
21 pages, 5775 KB  
Article
Lessons from a Multilaboratorial Task Force for Diagnosis of a Fatal Toxoplasmosis Outbreak in Captive Primates in Brazil
by Francine Bittencourt Schiffler, Asheley Henrique Barbosa Pereira, Silvia Bahadian Moreira, Igor Falco Arruda, Filipe Romero Rebello Moreira, Mirela D’arc, Ingra Morales Claro, Thalita de Abreu Pissinatti, Liliane Tavares de Faria Cavalcante, Thamiris dos Santos Miranda, Matheus Augusto Calvano Cosentino, Renata Carvalho de Oliveira, Jorlan Fernandes, Matheus Ribeiro da Silva Assis, Jonathan Gonçalves de Oliveira, Thayssa Alves Coelho da Silva, Rafael Mello Galliez, Debora Souza Faffe, Jaqueline Goes de Jesus, Marise Sobreira Bezerra da Silva, Matheus Filgueira Bezerra, Orlando da Costa Ferreira Junior, Amilcar Tanuri, Terezinha Marta Castiñeiras, Renato Santana Aguiar, Nuno Rodrigues Faria, Alzira Paiva de Almeida, Alcides Pissinatti, Ester Cerdeira Sabino, Maria Regina Reis Amendoeira, Elba Regina Sampaio de Lemos, Daniel Guimarães Ubiali and André F. A. Santosadd Show full author list remove Hide full author list
Microorganisms 2023, 11(12), 2888; https://doi.org/10.3390/microorganisms11122888 - 29 Nov 2023
Cited by 7 | Viewed by 2641
Abstract
Toxoplasmosis is an important zoonotic disease caused by the parasite Toxoplasma gondii and is especially fatal for neotropical primates. In Brazil, the Ministry of Health is responsible for national epizootic surveillance, but some diseases are still neglected. Here, we present an integrated investigation [...] Read more.
Toxoplasmosis is an important zoonotic disease caused by the parasite Toxoplasma gondii and is especially fatal for neotropical primates. In Brazil, the Ministry of Health is responsible for national epizootic surveillance, but some diseases are still neglected. Here, we present an integrated investigation of an outbreak that occurred during the first year of the COVID-19 pandemic among eleven neotropical primates housed at a primatology center in Brazil. After presenting non-specific clinical signs, all animals died within four days. A wide range of pathogens were evaluated, and we successfully identified T. gondii as the causative agent within four days after necropsies. The liver was the most affected organ, presenting hemorrhage and hepatocellular necrosis. Tachyzoites and bradyzoite cysts were observed in histological examinations and immunohistochemistry in different organs; in addition, parasitic DNA was detected through PCR in blood samples from all specimens evaluated. A high prevalence of Escherichia coli was also observed, indicating sepsis. This case highlights some of the obstacles faced by the current Brazilian surveillance system. A diagnosis was obtained through the integrated action of researchers since investigation for toxoplasmosis is currently absent in national guidelines. An interdisciplinary investigation could be a possible model for future epizootic investigations in animals. Full article
(This article belongs to the Section Veterinary Microbiology)
Show Figures

Figure 1

15 pages, 6505 KB  
Article
Experimental Study to Assess Fracture Toughness in SPS Sintered WC–10% Co Hardmetal by Modifying the Palmqvist Test
by Daniel Willemam Trindade, Renan da Silva Guimarães, Rafael Delorence Lugon, Elias Rocha Gonçalves Junior, Alessandra Agna Araújo dos Santos and Marcello Filgueira
Coatings 2022, 12(12), 1809; https://doi.org/10.3390/coatings12121809 - 24 Nov 2022
Cited by 4 | Viewed by 2481
Abstract
Hardmetals are widely used as cutting, machining, and drilling tools for rocks due to their excellent properties of hardness, fracture toughness, and wear resistance over a wide temperature range. This study proposed to evaluate the fracture toughness of WC–10% Co carbide, sintered via [...] Read more.
Hardmetals are widely used as cutting, machining, and drilling tools for rocks due to their excellent properties of hardness, fracture toughness, and wear resistance over a wide temperature range. This study proposed to evaluate the fracture toughness of WC–10% Co carbide, sintered via spark plasma sintering—SPS, through the Vickers indentation measures, using a modification of the Palmqvist test, which is widely used to assess the toughness of cemented carbides, and to compare this result with the results of six different conventional models: Shetty, Niihara, Laugier, ISO 28079, Hanyaloglu, and Lankford. The model to assess the toughness proposed in this study showed similarity with the Palmqvist test. However, there were considerable differences in the KIC values for the different models, such as 13.36 MPa·m1/2 and 4.44 MPa·m1/2 for the same application load. Comparing the values of the conventional fracture toughness and proposed fracture toughness, the greatest difference between the fracture toughness values was found in the Lankford equation, which varied by 14.74%. The Hanyaloglu equation showed a smaller difference between the fracture toughness values, with a greater variation of 3.61% and lower variation of 1.54%. Adequate results of hardness were obtained, with a maximum of 20.93 ± 0.25 GPa, minimum of 15.76 ± 0.63 GPa, and densification of 99.14 ± 0.47 g/cm3. Full article
(This article belongs to the Special Issue Trends in Spark Plasma Sintering of Advanced Materials)
Show Figures

Graphical abstract

18 pages, 3030 KB  
Article
Assessment on Different Vaccine Formulation Parameters in the Protection against Heterologous Challenge with FMDV in Cattle
by Sebastián Di Giacomo, Danilo Bucafusco, Juan Manuel Schammas, Juan Pega, María Cruz Miraglia, Florencia Barrionuevo, Alejandra Victoria Capozzo and Daniel Mariano Perez-Filgueira
Viruses 2022, 14(8), 1781; https://doi.org/10.3390/v14081781 - 15 Aug 2022
Cited by 12 | Viewed by 3327
Abstract
Foot-and-mouth disease (FMD) remains one of the major threats to animal health worldwide. Its causative agent, the FMD virus (FMDV), affects cloven-hoofed animals, including farm animals and wildlife species, inflicting severe damage to the international trade and livestock industry. FMDV antigenic variability remains [...] Read more.
Foot-and-mouth disease (FMD) remains one of the major threats to animal health worldwide. Its causative agent, the FMD virus (FMDV), affects cloven-hoofed animals, including farm animals and wildlife species, inflicting severe damage to the international trade and livestock industry. FMDV antigenic variability remains one of the biggest challenges for vaccine-based control strategies. The current study analyzed the host’s adaptive immune responses in cattle immunized with different vaccine protocols and investigated its associations with the clinical outcome after infection with a heterologous strain of FMDV. The results showed that antigenic payload, multivalency, and revaccination may impact on the clinical outcome after heterologous challenge with FMDV. Protection from the experimental infection was related to qualitative traits of the elicited antibodies, such as avidity, IgG isotype composition, and specificity diversity, modulating and reflecting the vaccine-induced maturation of the humoral response. The correlation analyses of the serum avidity obtained per vaccinated individual might suggest that conventional vaccination can induce high-affinity immunoglobulins against conserved epitopes even within different FMDV serotypes. Cross-reaction among strains by these high-affinity antibodies may support further protection against a heterologous infection with FMDV. Full article
(This article belongs to the Special Issue Global Foot-and-Mouth Disease Control)
Show Figures

Figure 1

14 pages, 2252 KB  
Article
Enzymatic Functionalization of Wood as an Antifouling Strategy against the Marine Bacterium Cobetia marina
by Daniel Filgueira, Cristian Bolaño, Susana Gouveia and Diego Moldes
Polymers 2021, 13(21), 3795; https://doi.org/10.3390/polym13213795 - 2 Nov 2021
Cited by 6 | Viewed by 2548
Abstract
The protection of wood in marine environments is a major challenge due to the high sensitivity of wood to both water and marine microorganisms. Besides, the environmental regulations are pushing the industry to develop novel effective and environmentally friendly treatments to protect wood [...] Read more.
The protection of wood in marine environments is a major challenge due to the high sensitivity of wood to both water and marine microorganisms. Besides, the environmental regulations are pushing the industry to develop novel effective and environmentally friendly treatments to protect wood in marine environments. The present study focused on the development of a new green methodology based on the laccase-assisted grafting of lauryl gallate (LG) onto wood to improve its marine antifouling properties. Initially, the enzymatic treatment conditions (laccase dose, time of reaction, LG concentration) and the effect of the wood specie (beech, pine, and eucalyptus) were assessed by water contact angle (WCA) measurements. The surface properties of the enzymatically modified wood veneers were assessed by X-ray photoelectron spectroscopy (XPS), Fourier transform-infrared spectroscopy (FTIR). Antifouling properties of the functionalized wood veneers against marine bacterium Cobetia marina were studied by scanning electron microscopy (SEM) and protein measurements. XPS and FTIR analysis suggested the stable grafting of LG onto the surface of wood veneers after laccase-assisted treatment. WCA measurements showed that the hydrophobicity of the wood veneers significantly increased after the enzymatic treatment. Protein measurements and SEM pictures showed that enzymatically-hydrophobized wood veneers modified the pattern of bacterial attachment and remarkably reduced the bacterium colonization. Thus, the results observed in the present study confirmed the potential efficiency of laccase-assisted treatments to improve the marine antifouling properties of wood. Full article
(This article belongs to the Special Issue New Challenges in Wood and Wood-Based Materials II)
Show Figures

Graphical abstract

17 pages, 5309 KB  
Article
ANN-Based Stop Criteria for a Genetic Algorithm Applied to Air Impingement Design
by Ander Sánchez-Chica, Ekaitz Zulueta, Daniel Teso-Fz-Betoño, Pablo Martínez-Filgueira and Unai Fernandez-Gamiz
Energies 2020, 13(1), 16; https://doi.org/10.3390/en13010016 - 19 Dec 2019
Cited by 5 | Viewed by 3266
Abstract
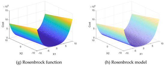
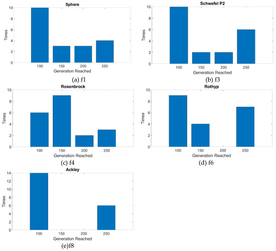
Artificial Neural Networks (ANNs) have proven to be a powerful tool in many fields of knowledge. At the same time, evolutionary algorithms show a very efficient technique in optimization tasks. Historically, ANNs are used in the training process of supervising networks by decreasing [...] Read more.
Artificial Neural Networks (ANNs) have proven to be a powerful tool in many fields of knowledge. At the same time, evolutionary algorithms show a very efficient technique in optimization tasks. Historically, ANNs are used in the training process of supervising networks by decreasing the error between the output and the target. However, we propose another approach in order to improve these two techniques together. The ANN is trained with the points obtained during an optimization process by a genetic algorithm and a flower pollination algorithm. The performance of this ANN is used as a stop criterion for the optimization process. This new configuration aims to reduce the number of iterations executed by the genetic optimizer when learning the cost function by an ANN. As a first step, this approach is tested with eight benchmark functions. As a second step, the authors apply it to an air jet impingement design process, optimizing the surface temperature and the fan efficiency. Finally, a comparison between the results of a regular optimization and the results obtained in the present study is presented. Full article
Show Figures

Figure 1

10 pages, 2528 KB  
Communication
Nanocellulose-Based Inks—Effect of Alginate Content on the Water Absorption of 3D Printed Constructs
by Eduardo Espinosa, Daniel Filgueira, Alejandro Rodríguez and Gary Chinga-Carrasco
Bioengineering 2019, 6(3), 65; https://doi.org/10.3390/bioengineering6030065 - 30 Jul 2019
Cited by 48 | Viewed by 9492
Abstract
2,2,6,6-tetramethylpyperidine-1-oxyl (TEMPO) oxidized cellulose nanofibrils (CNF) were used as ink for three-dimensional (3D) printing of porous structures with potential as wound dressings. Alginate (10, 20, 30 and 40 wt%) was incorporated into the formulation to facilitate the ionic cross-linking with calcium chloride (CaCl [...] Read more.
2,2,6,6-tetramethylpyperidine-1-oxyl (TEMPO) oxidized cellulose nanofibrils (CNF) were used as ink for three-dimensional (3D) printing of porous structures with potential as wound dressings. Alginate (10, 20, 30 and 40 wt%) was incorporated into the formulation to facilitate the ionic cross-linking with calcium chloride (CaCl2). The effect of two different concentrations of CaCl2 (50 and 100 mM) was studied. The 3D printed hydrogels were freeze-dried to produce aerogels which were tested for water absorption. Scanning Electronic Microscopy (SEM) pictures demonstrated that the higher the concentration of the cross-linker the higher the definition of the printed tracks. CNF-based aerogels showed a remarkable water absorption capability. Although the incorporation of alginate and the cross-linking with CaCl2 led to shrinkage of the 3D printed constructs, the approach yielded suitable porous structures for water and moisture absorption. It is concluded that the 3D printed biocomposite structures developed in this study have characteristics that are promising for wound dressings devices. Full article
(This article belongs to the Section Nanobiotechnology and Biofabrication)
Show Figures

Graphical abstract

12 pages, 3131 KB  
Article
3D Printing High-Consistency Enzymatic Nanocellulose Obtained from a Soda-Ethanol-O2 Pine Sawdust Pulp
by Heli Kangas, Fernando E. Felissia, Daniel Filgueira, Nanci V. Ehman, María E. Vallejos, Camila M. Imlauer, Panu Lahtinen, María C. Area and Gary Chinga-Carrasco
Bioengineering 2019, 6(3), 60; https://doi.org/10.3390/bioengineering6030060 - 16 Jul 2019
Cited by 15 | Viewed by 8873
Abstract
Soda-ethanol pulps, prepared from a forestry residue pine sawdust, were treated according to high-consistency enzymatic fibrillation technology to manufacture nanocellulose. The obtained nanocellulose was characterized and used as ink for three-dimensional (3D) printing of various structures. It was also tested for its moisture [...] Read more.
Soda-ethanol pulps, prepared from a forestry residue pine sawdust, were treated according to high-consistency enzymatic fibrillation technology to manufacture nanocellulose. The obtained nanocellulose was characterized and used as ink for three-dimensional (3D) printing of various structures. It was also tested for its moisture sorption capacity and cytotoxicity, as preliminary tests for evaluating its suitability for wound dressing and similar applications. During the high-consistency enzymatic treatment it was found that only the treatment of the O2-delignified pine pulp resulted in fibrillation into nano-scale. For 3D printing trials, the material needed to be fluidized further. By 3D printing, it was possible to fabricate various structures from the high-consistency enzymatic nanocellulose. However, the water sorption capacity of the structures was lower than previously seen with porous nanocellulose structures, indicating that further optimization of the material is needed. The material was found not to be cytotoxic, thus showing potential as material, e.g., for wound dressings and for printing tissue models. Full article
(This article belongs to the Section Nanobiotechnology and Biofabrication)
Show Figures

Figure 1

16 pages, 10706 KB  
Article
Green Binder Based on Enzymatically Polymerized Eucalypt Kraft Lignin for Fiberboard Manufacturing: A Preliminary Study
by Susana Gouveia, Luis Alberto Otero, Carmen Fernández-Costas, Daniel Filgueira, Ángeles Sanromán and Diego Moldes
Polymers 2018, 10(6), 642; https://doi.org/10.3390/polym10060642 - 9 Jun 2018
Cited by 39 | Viewed by 6459
Abstract
The capability of laccase from Myceliophthora thermophila to drive oxidative polymerization of Eucalyptus globulus Kraft lignin (KL) was studied as a previous step before applying this biotechnological approach for the manufacturing of medium-density fiberboards (MDF) at a pilot scale. This method, which improves [...] Read more.
The capability of laccase from Myceliophthora thermophila to drive oxidative polymerization of Eucalyptus globulus Kraft lignin (KL) was studied as a previous step before applying this biotechnological approach for the manufacturing of medium-density fiberboards (MDF) at a pilot scale. This method, which improves the self-bonding capacity of wood fibers by lignin enzymatic cross-linking, mimics the natural process of lignification in living plants and trees. An interesting pathway to promote these interactions could be the addition of lignin to the system. The characterization of E. globulus KL after enzymatic treatment showed a decrease of phenolic groups as well as the aromatic protons without loss of aromaticity. There was also an extensive oxidative polymerization of the biomolecule. In the manufacture of self-bonded MDF, the synergy generated by the added lignin and laccase provided promising results. Thus, whenever laccase was present in the treatment, MDF showed an increase in mechanical and dimensional stability for increasing amounts of lignin. In a pilot scale, this method produced MDF that meets the requirements of the European standards for both thickness swell (TS) and internal bonding (IB) for indoor applications. Full article
(This article belongs to the Special Issue Polymers from Renewable Resources)
Show Figures

Graphical abstract

15 pages, 22599 KB  
Article
3D Printable Filaments Made of Biobased Polyethylene Biocomposites
by Daniel Filgueira, Solveig Holmen, Johnny K. Melbø, Diego Moldes, Andreas T. Echtermeyer and Gary Chinga-Carrasco
Polymers 2018, 10(3), 314; https://doi.org/10.3390/polym10030314 - 13 Mar 2018
Cited by 76 | Viewed by 9177
Abstract
Two different series of biobased polyethylene (BioPE) were used for the manufacturing of biocomposites, complemented with thermomechanical pulp (TMP) fibers. The intrinsic hydrophilic character of the TMP fibers was previously modified by grafting hydrophobic compounds (octyl gallate and lauryl gallate) by means of [...] Read more.
Two different series of biobased polyethylene (BioPE) were used for the manufacturing of biocomposites, complemented with thermomechanical pulp (TMP) fibers. The intrinsic hydrophilic character of the TMP fibers was previously modified by grafting hydrophobic compounds (octyl gallate and lauryl gallate) by means of an enzymatic-assisted treatment. BioPE with low melt flow index (MFI) yielded filaments with low void fraction and relatively low thickness variation. The water absorption of the biocomposites was remarkably improved when the enzymatically-hydrophobized TMP fibers were used. Importantly, the 3D printing of BioPE was improved by adding 10% and 20% TMP fibers to the composition. Thus, 3D printable biocomposites with low water uptake can be manufactured by using fully biobased materials and environmentally-friendly processes. Full article
(This article belongs to the Special Issue Polymers from Renewable Resources)
Show Figures

Graphical abstract

Back to TopTop