Visual Cues for Turning in Parkinson’s Disease
Abstract
:1. Introduction
2. Methodology
2.1. Participants
2.2. Inclusion/Exclusion Criteria
2.3. Data Collection
2.4. Data Analysis
2.5. Statistical Analysis
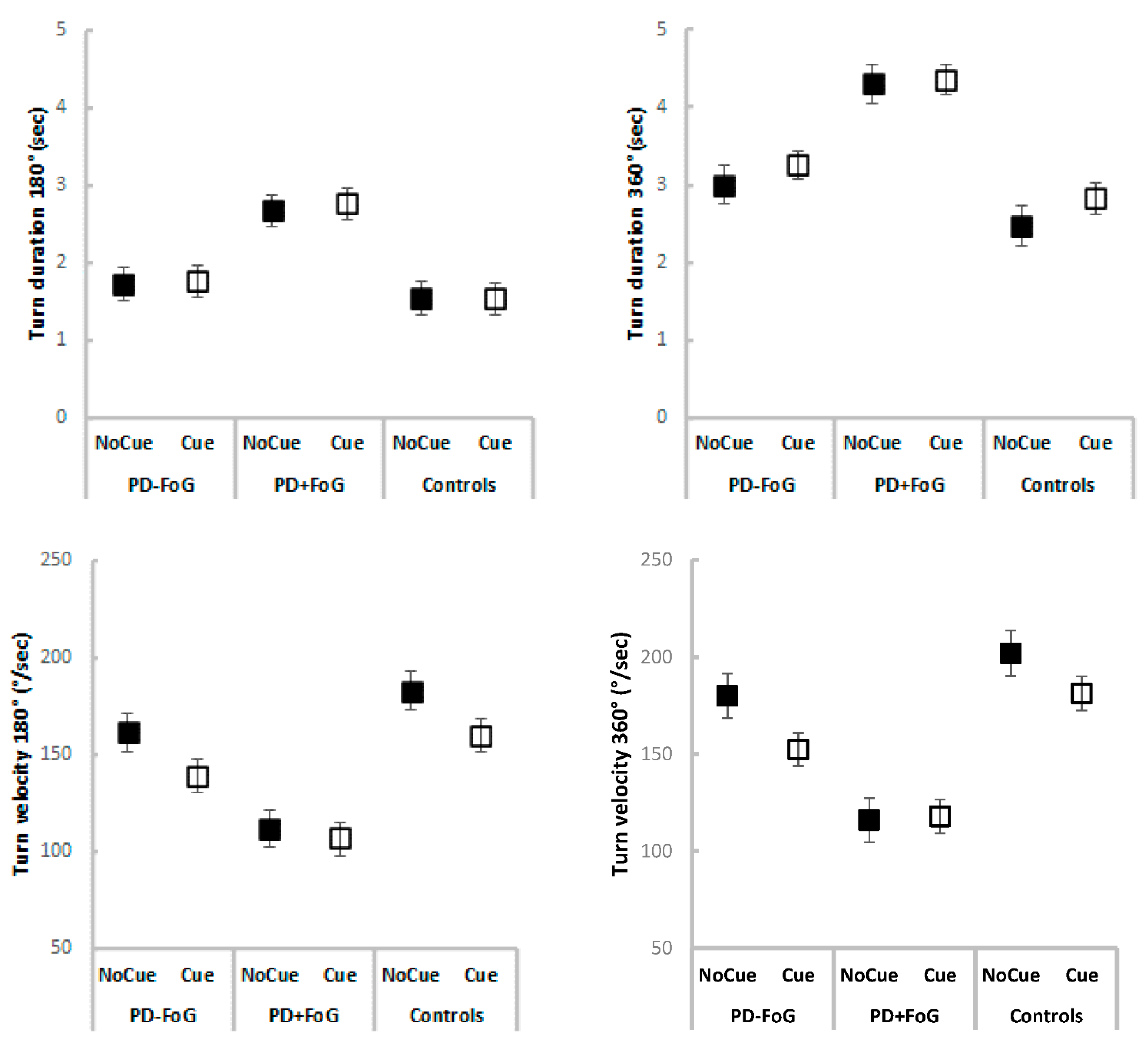
3. Results
3.1. Participant Characteristics
3.2. Turning Performance without and with Visual Cues
4. Discussion
4.1. Turning Performance in Parkinson’s Disease
4.2. Turn Response to Visual Cues
4.3. Clinical Implications
4.4. Limitations
5. Conclusions
Author Contributions
Funding
Institutional Review Board Statement
Informed Consent Statement
Data Availability Statement
Conflicts of Interest
Appendix A
| Response to Visual Cues during Turn | ||||
|---|---|---|---|---|
| FoG Severity | 180° Turn Duration | 180° Turn Velocity | 360° Turn Duration | 360° Turn Velocity |
| FOGQ | rho = −0.332 p = 0.165 | rho = 0.057 p = 0.826 | rho = −0.298 p = 0.245 | rho = 0.106 p = 0.686 |
References
- Emamzadeh, F.N.; Surguchov, A. Parkinson’s Disease: Biomarkers, Treatment, and Risk Factors. Front. Neurosci. 2018, 12, 612. [Google Scholar] [CrossRef]
- DeMaagd, G.; Philip, A. Parkinson’s Disease and Its Management: Part 1: Disease Entity, Risk Factors, Pathophysiology, Clinical Presentation, and Diagnosis. Pharm. Ther. 2015, 40, 504–532. [Google Scholar]
- Knobl, P.; Kielstra, L.; Almeida, Q. The relationship between motor planning and freezing of gait in Parkinson’s disease. J. Neurol. Neurosurg. Psychiatry 2012, 83, 98–101. [Google Scholar] [CrossRef]
- Contreras, A.; Grandas, F. Risk factors for freezing of gait in Parkinson’s disease. J. Neurol. Sci. 2012, 320, 66–71. [Google Scholar] [CrossRef] [PubMed]
- Virmani, T.; Pillai, L.; Glover, A.; Doerhoff, S.M.; Williams, D.K.; Garcia-Rill, E.; Larson-Prior, L. Impaired step-length setting prior to turning in Parkinson’s disease patients with freezing of gait. Mov. Disord. Off. J. Mov. Disord. Soc. 2018, 33, 1823. [Google Scholar] [CrossRef] [PubMed]
- Mellone, S.; Mancini, M.; King, L.A.; Horak, F.B.; Chiari, L. The quality of turning in Parkinson’s disease: A compensatory strategy to prevent postural instability? J. Neuroeng. Rehabil. 2016, 13, 39. [Google Scholar] [CrossRef] [PubMed]
- Paul, S.S.; Sherrington, C.; Canning, C.G.; Fung, V.S.; Close, J.C.; Lord, S.R. The relative contribution of physical and cognitive fall risk factors in people with Parkinson’s disease: A large prospective cohort study. Neurorehabilit. Neural Repair 2014, 28, 282–290. [Google Scholar] [CrossRef]
- Fasano, A.; Canning, C.G.; Hausdorff, J.M.; Lord, S.; Rochester, L. Falls in Parkinson’s disease: A complex and evolving picture. Mov. Disord. 2017, 32, 1524–1536. [Google Scholar] [CrossRef]
- Koschel, J.; Ray Chaudhuri, K.; Tönges, L.; Thiel, M.; Raeder, V.; Jost, W. Implications of dopaminergic medication withdrawal in Parkinson’s disease. J. Neural Transm. 2021, 1–10. [Google Scholar] [CrossRef]
- Curtze, C.; Nutt, J.G.; Carlson-Kuhta, P.; Mancini, M.; Horak, F.B. Levodopa is a Double-Edged Sword for Balance and Gait in People with Parkinson’s Disease. Mov. Disord. 2015, 30, 1361–1370. [Google Scholar] [CrossRef]
- Nieuwboer, A.; Kwakkel, G.; Rochester, L.; Jones, D.; van Wegen, E.; Willems, A.M.; Chavret, F.; Hetherington, V.; Baker, K.; Lim, I. Cueing training in the home improves gait-related mobility in Parkinson’s disease: The RESCUE trial. J. Neurol. Neurosurg. Psychiatry 2007, 78, 134–140. [Google Scholar] [CrossRef] [Green Version]
- Ginis, P.; Nackaerts, E.; Nieuwboer, A.; Heremans, E. Cueing for people with Parkinson’s disease with freezing of gait: A narrative review of the state-of-the-art and novel perspectives. Ann. Phys. Rehabil. Med. 2018, 61, 407–413. [Google Scholar] [CrossRef]
- Vitorio, R.; Stuart, S.; Gobbi, L.T.B.; Rochester, L.; Alcock, L.; Pantall, A. Reduced Gait Variability and Enhanced Brain Activity in Older Adults with Auditory Cues: A Functional Near-Infrared Spectroscopy Study. Neurorehabilit. Neural Repair 2018, 32, 976–987. [Google Scholar] [CrossRef]
- Vitório, R.; Lirani-Silva, E.; Pieruccini-Faria, F.; Moraes, R.; Gobbi, L.T.; Almeida, Q.J. Visual cues and gait improvement in Parkinson’s disease: Which piece of information is really important? Neuroscience 2014, 277, 273–280. [Google Scholar] [CrossRef]
- Giladi, N.; Shabtai, H.; Simon, E.S.; Biran, S.; Tal, J.; Korczyn, A.D. Construction of freezing of gait questionnaire for patients with Parkinsonism. Parkinsonism Relat. Disord. 2000, 6, 165–170. [Google Scholar] [CrossRef]
- Hoehn, M.M.; Yahr, M.D. Parkinsonism: Onset, progress/on and morta. Neurology 1967, 17, 427–442. [Google Scholar] [CrossRef]
- Goetz, C.G.; Tilley, B.C.; Shaftman, S.R.; Stebbins, G.T.; Fahn, S.; Martinez-Martin, P.; Poewe, W.; Sampaio, C.; Stern, M.B.; Dodel, R.; et al. Movement Disorder Society-sponsored revision of the Unified Parkinson’s Disease Rating Scale (MDS-UPDRS): Scale presentation and clinimetric testing results. Mov. Disord. Off. J. Mov. Disord. Soc. 2008, 23, 2129–2170. [Google Scholar] [CrossRef]
- Dalrymple-Alford, J.; MacAskill, M.; Nakas, C.; Livingston, L.; Graham, C.; Crucian, G.; Melzer, T.; Kirwan, J.; Keenan, R.; Wells, S. The MoCA: Well-suited screen for cognitive impairment in Parkinson disease. Neurology 2010, 75, 1717–1725. [Google Scholar] [CrossRef]
- Royall, D.R.; Cordes, J.A.; Polk, M. CLOX: An executive clock drawing task. J. Neurol. Neurosurg. Psychiatry 1998, 64, 588–594. [Google Scholar] [CrossRef] [PubMed]
- Fals-Stewart, W. An interrater reliability study of the Trail Making Test (Parts A and B). Percept. Mot. Ski. 1992, 74, 39–42. [Google Scholar] [CrossRef]
- Calamia, M.; Markon, K.; Denburg, N.L.; Tranel, D. Developing a short form of Benton’s Judgment of Line Orientation Test: An item response theory approach. Clin. Neuropsychol. 2011, 25, 670–684. [Google Scholar] [CrossRef] [Green Version]
- Morris, R.; Stuart, S.; McBarron, G.; Fino, P.C.; Mancini, M.; Curtze, C. Validity of Mobility Lab (version 2) for gait assessment in young adults, older adults and Parkinson’s disease. Physiol. Meas. 2019, 40, 095003. [Google Scholar] [CrossRef]
- Mancini, M.; Schlueter, H.; El-Gohary, M.; Mattek, N.; Duncan, C.; Kaye, J.; Horak, F.B. Continuous monitoring of turning mobility and its association to falls and cognitive function: A pilot study. J. Gerontol. Ser. A Biomed. Sci. Med. Sci. 2016, 71, 1102–1108. [Google Scholar] [CrossRef] [PubMed]
- El-Gohary, M.; Pearson, S.; McNames, J.; Mancini, M.; Horak, F.; Mellone, S.; Chiari, L. Continuous monitoring of turning in patients with movement disability. Sensors 2013, 14, 356–369. [Google Scholar] [CrossRef] [PubMed]
- Hulbert, S.; Ashburn, A.; Robert, L.; Verheyden, G. A narrative review of turning deficits in people with Parkinson’s disease. Disabil. Rehabil. 2015, 37, 1382–1389. [Google Scholar] [CrossRef]
- Crenna, P.; Carpinella, I.; Rabuffetti, M.; Calabrese, E.; Mazzoleni, P.; Nemni, R.; Ferrarin, M. The association between impaired turning and normal straight walking in Parkinson’s disease. Gait Posture 2007, 26, 172–178. [Google Scholar] [CrossRef] [PubMed]
- Stuart, S.; Mancini, M. Prefrontal cortical activation with open and closed-loop tactile cueing when walking and turning in Parkinson disease: A pilot study. J. Neurol. Phys. Ther. 2020, 44, 121–131. [Google Scholar] [CrossRef]
- Gómez-González, J.; Martín-Casas, P.; Cano-de-la-Cuerda, R. Effects of auditory cues on gait initiation and turning in patients with Parkinson’s disease. Neurología 2019, 34, 396–407. [Google Scholar] [CrossRef]
- Mancini, M.; Smulders, K.; Harker, G.; Stuart, S.; Nutt, J.G. Assessment of the ability of open-and closed-loop cueing to improve turning and freezing in people with Parkinson’s disease. Sci. Rep. 2018, 8, 12773. [Google Scholar] [CrossRef]
- Spildooren, J.; Vercruysse, S.; Meyns, P.; Vandenbossche, J.; Heremans, E.; Desloovere, K.; Vandenberghe, W.; Nieuwboer, A. Turning and unilateral cueing in Parkinson’s disease patients with and without freezing of gait. Neuroscience 2012, 207, 298–306. [Google Scholar] [CrossRef] [PubMed]
- Nieuwboer, A.; Baker, K.; Willems, A.-M.; Jones, D.; Spildooren, J.; Lim, I.; Kwakkel, G.; Van Wegen, E.; Rochester, L. The short-term effects of different cueing modalities on turn speed in people with Parkinson’s disease. Neurorehabilit. Neural Repair 2009, 23, 831–836. [Google Scholar] [CrossRef] [PubMed]
- Willems, A.M.; Nieuwboer, A.; Chavret, F.; Desloovere, K.; Dom, R.; Rochester, L.; Kwakkel, G.; Van Wegen, E.; Jones, D. Turning in Parkinson’s disease patients and controls: The effect of auditory cues. Mov. Disord. 2007, 22, 1871–1878. [Google Scholar] [CrossRef] [PubMed]
- Janssen, S.; de Ruyter van Steveninck, J.; Salim, H.S.; Cockx, H.M.; Bloem, B.R.; Heida, T.; Van Wezel, R.J. The effects of augmented reality visual cues on turning in place in Parkinson’s disease patients with freezing of gait. Front. Neurol. 2020, 11, 185. [Google Scholar] [CrossRef]
- Baker, T.; Pitman, J.; MacLellan, M.J.; Reed-Jones, R.J. Visual Cues Promote Head First Strategies During Walking Turns in Individuals With Parkinson’s Disease. Front. Sports Act. Living 2020, 2, 22. [Google Scholar] [CrossRef]
- Stuart, S.; Wagner, J.; Makeig, S.; Mancini, M. Brain Activity Response to Visual Cues for Gait Impairment in Parkinson’s Disease: An EEG Study. Neurorehabilit. Neural Repair 2021, 35, 996–1009. [Google Scholar] [CrossRef]
- Stuart, S.; Lord, S.; Galna, B.; Rochester, L. Saccade frequency response to visual cues during gait in Parkinson’s disease: The selective role of attention. Eur. J. Neurosci. 2018, 47, 769–778. [Google Scholar] [CrossRef] [PubMed]
- Janssen, S.; de Ruyter van Steveninck, J.; Salim, H.S.; Bloem, B.R.; Heida, T.; Van Wezel, R.J. The beneficial effects of conventional visual cues are retained when augmented reality glasses are worn. Parkinson’s Dis. 2020, 2020, 4104712. [Google Scholar] [CrossRef]


| Variables | PD-FoG (n = 21) Mean (SD) | PD+FoG (n = 22) Mean (SD) | Controls (n = 20) Mean (SD) | Overall p | PD-FoG vs. PD+FoG p | PD-FoG vs. Controls p | PD+FoG vs. Controls p |
|---|---|---|---|---|---|---|---|
| Age (years) | 69.3 (5.0) | 68.5 (7.9) | 69.9 (8.2) | 0.816 | 0.682 | 0.792 | 0.576 |
| Sex | 11M/10F | 15M/7F | 10M/10F | 0.426 | 0.170 | 0.123 | 0.639 |
| Height (cm) | 169.6 (11.4) | 174.8 (9.3) | 168.8 (10.0) | 0.124 | 0.108 | 0.815 | 0.050 |
| Weight (kg) | 76.9 (19.5) | 86.1 (17.0) | 72.6 (14.3) | 0.039 * | 0.105 | 0.435 | 0.009 * |
| Education (years) | 17.1 (2.8) | 16.7 (2.5) | 17.5 (2.5) | 0.560 | 0.573 | 0.623 | 0.747 |
| Depression scale (GDS-15) | 4.9 (5.1) | 7.3 (4.2) | 3.3 (4.2) | 0.020 * | 0.105 | 0.263 | 0.004 * |
| Retrospective falls (last 12 months) | 0.33 (0.58) | 5.91 (11.55) | 0.50 (1.10) | 0.014 * | 0.034 * | 0.544 | 0.040 * |
| Visual acuity (binoc) | 0.06 (0.18) | 0.08 (0.11) | 0.05 (0.12) | 0.727 | 0.628 | 0.805 | 0.344 |
| Contrast sensi-tivity (binoc) | 1.57 (0.20) | 1.56 (0.14) | 1.65 (0.13) | 0.150 | 0.828 | 0.145 | 0.034 * |
| Judgement of line orientation | 24.8 (4.7) | 22.8 (8.1) | 26.4 (3.6) | 0.157 | 0.323 | 0.251 | 0.071 |
| Montreal cognitive assessment | 27.6 (2.2) | 26.9 (2.7) | 27.0 (2.1) | 0.559 | 0.323 | 0.407 | 0.806 |
| Digit span | 6.3 (1.2) | 5.8 (0.9) | 6.0 (1.0) | 0.273 | 0.121 | 0.302 | 0.429 |
| CLOX 1 | 12.9 (1.7) | 12.5 (1.6) | 13.3 (1.4) | 0.366 | 0.544 | 0.421 | 0.150 |
| CLOX 2 | 13.9 (1.2) | 13.9 (0.8) | 13.5 (1.5) | 0.391 | 0.894 | 0.278 | 0.269 |
| Trail Making Test A (s) | 30.8 (16.7) | 37.7 (17.5) | 22.6 (6.4) | 0.007 * | 0.193 | 0.052 | 0.001 * |
| Trail Making Test B (s) | 67.0 (36.4) | 97.2 (68.0) | 53.4 (17.0) | 0.012 * | 0.079 | 0.136 | 0.008 * |
| Trail Making Test B-A (s) | 36.1 (27.1) | 54.9 (61.0) | 30.8 (14.1) | 0.136 | 0.204 | 0.430 | 0.084 |
| Simple reaction time (ms) | 351.1 (66.2) | 397.8 (84.6) | 333.8 (35.8) | 0.007 * | 0.051 | 0.302 | 0.003 * |
| Choice reaction time (ms) | 519.6 (97.5) | 619.1 (173.5) | 500.0 (65.3) | 0.005 * | 0.023 * | 0.458 | 0.006 * |
| Disease duration (years) | 5.5 (2.9) | 9.6 (7.0) | ¯ | ¯ | 0.017 * | ¯ | ¯ |
| H&Y scale (stage) | II(21)/III(0) | II(18)/III(4) | ¯ | ¯ | 0.042 * | ¯ | ¯ |
| LEDD (mg/day) | 628.6 (373.8) | 971.5 (396.6) | ¯ | ¯ | 0.006 * | ¯ | ¯ |
| MDS-UPDRS III | 25.4 (12.3) | 38.5 (13.3) | ¯ | ¯ | 0.002 * | ¯ | ¯ |
| FOGQ | 0 (0) | 15.4 (7.7) | ¯ | ¯ | <0.001 * | ¯ | ¯ |
| Outcomes | Group F (p) (Post Hoc) | Condition F (p) (Post Hoc) | Group × Condition F (p) (Post Hoc) |
|---|---|---|---|
| Turn duration | |||
| 180° | 10.777 (<0.001 *) PD+FoG > HC, PD-FoG | 0.167 (0.684) | 0.090 (0.914) |
| 360° | 18.145 (<0.001 *) PD+FoG > HC, PD-FoG | 3.287 (0.077) | 0.558 (0.576) |
| Turn velocity | |||
| 180° | 14.772 (<0.001 *) PD+FoG < HC, PD-FoG | 2.508 (0.001 *) Cue < NoCue | 1.484 (0.236) |
| 360° | 16.359 (<0.001 *) PD+FoG < HC, PD-FoG | 11.063 (0.002 *) Cue < NoCue | 3.607 (0.034 *) HC, PD-FoG: Cue < NoCue PD+FoG: Cue = NoCue |
| Outcomes | PD-FoG | PD+FoG | Group | Condition | Group × Condition |
|---|---|---|---|---|---|
| Mean | Mean | F (p) | F (p) | F (p) | |
| (SE) | (SE) | (Post Hoc) | |||
| Turn duration (s) | |||||
| 180° NoCue | 1.81 | 2.57 | |||
| (0.09) | (0.31) | 7.738 (0.009 *) | 0.124 (0.728) | 0.009 (0.927) | |
| 180° Cue | 1.85 | 2.64 | PD+FoG > PD-FoG | ||
| (0.08) | (0.29) | ||||
| 360° NoCue | 3.16 | 4.08 | |||
| (0.22) | (0.40) | 6.064; 0.02 * | 1.398 (0.249) | 0.228 (0.637) | |
| 360° Cue | 3.41 | 4.19 | PD+FoG > PD-FoG | ||
| (0.16) | (0.28) | ||||
| Turn velocity (°/s) | |||||
| 180° NoCue | 154.2 | 119.8 | |||
| (7.1) | (9.7) | 7.129 (0.011 *) | 6.442 (0.015 *) | 2.461 (0.125) | |
| 180° Cue | 131.8 | 114.5 | PD+FoG < PD-FoG | Cue < NoCue | |
| (7.6) | (5.4) | ||||
| 360° NoCue | 171.8 | 126.8 | 6.382 (0.016 *) | ||
| (8.9) | (9.9) | 7.692 (0.008 *) | 4.906 (0.033 *) | PD-FoG: Cue < NoCue | |
| 360° Cue | 144.1 | 128.7 | PD+FoG < PD-FoG | Cue < NoCue | PD+FoG: Cue = NoCue |
| (7.8) | (6.9) |
Publisher’s Note: MDPI stays neutral with regard to jurisdictional claims in published maps and institutional affiliations. |
© 2022 by the authors. Licensee MDPI, Basel, Switzerland. This article is an open access article distributed under the terms and conditions of the Creative Commons Attribution (CC BY) license (https://creativecommons.org/licenses/by/4.0/).
Share and Cite
Das, J.; Vitorio, R.; Butterfield, A.; Morris, R.; Graham, L.; Barry, G.; McDonald, C.; Walker, R.; Mancini, M.; Stuart, S. Visual Cues for Turning in Parkinson’s Disease. Sensors 2022, 22, 6746. https://doi.org/10.3390/s22186746
Das J, Vitorio R, Butterfield A, Morris R, Graham L, Barry G, McDonald C, Walker R, Mancini M, Stuart S. Visual Cues for Turning in Parkinson’s Disease. Sensors. 2022; 22(18):6746. https://doi.org/10.3390/s22186746
Chicago/Turabian StyleDas, Julia, Rodrigo Vitorio, Allissa Butterfield, Rosie Morris, Lisa Graham, Gill Barry, Claire McDonald, Richard Walker, Martina Mancini, and Samuel Stuart. 2022. "Visual Cues for Turning in Parkinson’s Disease" Sensors 22, no. 18: 6746. https://doi.org/10.3390/s22186746
APA StyleDas, J., Vitorio, R., Butterfield, A., Morris, R., Graham, L., Barry, G., McDonald, C., Walker, R., Mancini, M., & Stuart, S. (2022). Visual Cues for Turning in Parkinson’s Disease. Sensors, 22(18), 6746. https://doi.org/10.3390/s22186746

