Humidity Sensitivity of Chemically Synthesized ZnAl2O4/Al
Abstract
:1. Introduction
2. Materials and Methods
2.1. Preparation of ZnAl2O4/Al Device
2.2. Characterization and Evaluations
3. Results and Discussions
3.1. Characterization of ZnAl2O4/Al Device
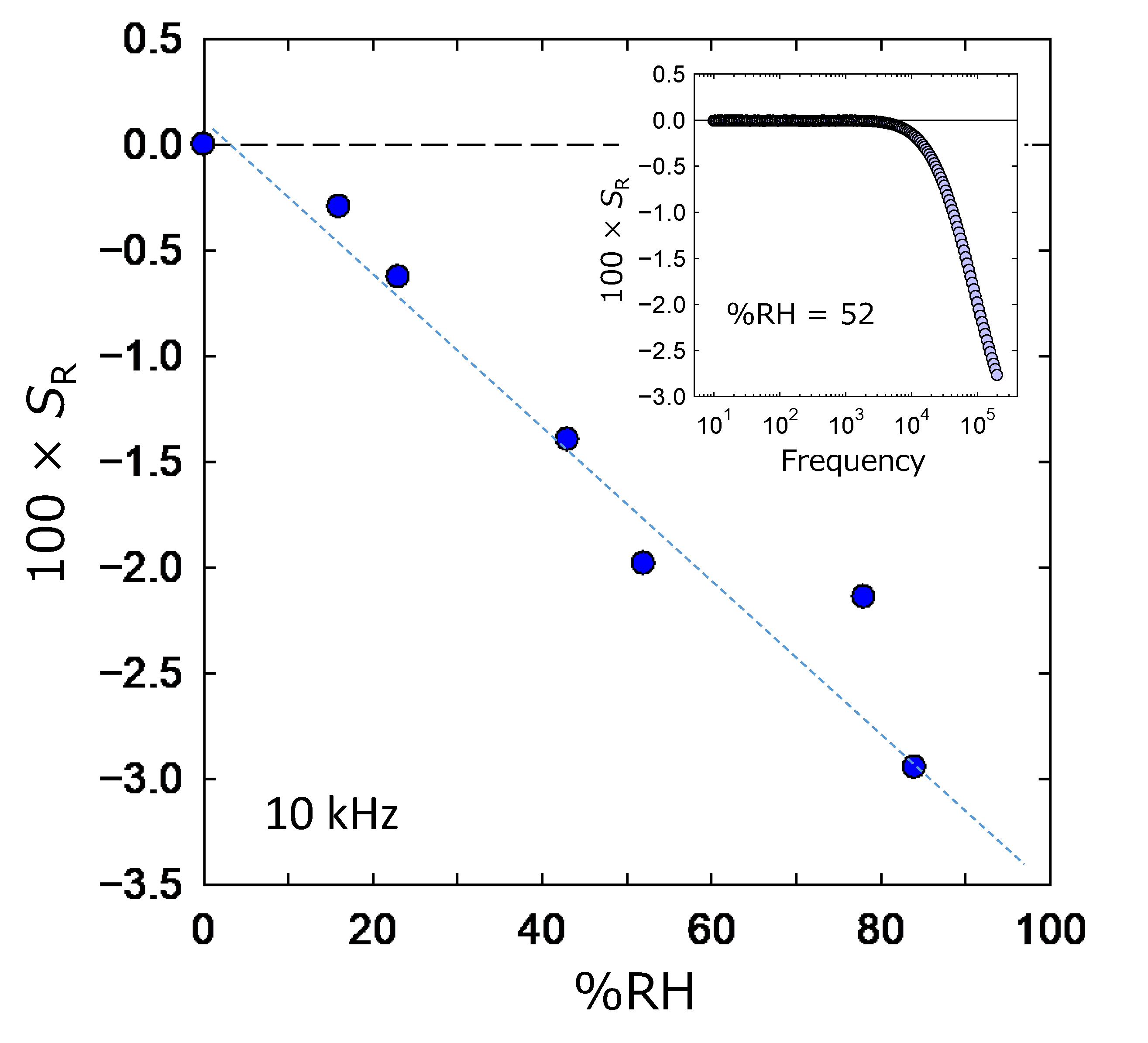
3.2. Humidity Sensitivity of ZnAl2O4/Al Devices
4. Discussion
4.1. Chemical Synthesis of ZnAl2O4/Al Device
4.2. Humidity Sensitivity of ZnAl2O4/Al Device
5. Conclusions
Author Contributions
Funding
Acknowledgments
Conflicts of Interest
References
- Fei, T.; Jiang, K.; Liu, S.; Zhang, T. Humidity sensors based on Li-loaded nanoporous polymers. Sens. Actuators B Chem. 2014, 190, 523–528. [Google Scholar] [CrossRef]
- Buvailo, A.; Xing, Y.; Hines, J.; Borguet, E. Thin polymer film based rapid surface acoustic wave humidity sensors. Sens. Actuators B Chem. 2011, 156, 444–449. [Google Scholar] [CrossRef]
- Muckley, E.S.; Jacobs, C.B.; Mahalik, K.V.J.P.; Kumar, R.; Sumpter, B.G.; Ivanov, I.N. New Insights on Electro-Optical Response of Poly(3,4-ethylenedioxythiophene): Poly(styrenesulfonate) Film to Humidity. ACS Appl. Mater. Interfaces. 2017, 9, 15880–15886. [Google Scholar] [CrossRef] [PubMed]
- Kumar, S.; Raina, K.K.; Islam, T.; Thin, E. Anodic aluminium oxide-based humidity sensor for online moisture monitoring of power transformer. Sens. Actuator. B Chem. 2021, 329, 12908. [Google Scholar] [CrossRef]
- Saha, D.; Ghara, D.K.; Pal, M. Nanoporous γ-alumina based novel sensor to detect trace moisture in high temperature and high-pressure environment. Sens. Actuators B Chem. 2016, 222, 1043–1049. [Google Scholar] [CrossRef]
- Sharma, K.; Alam, N.; Islam, S.S. Inter-dependency between surface morphology and sensitive low RH detection: Exploration of an intricate mechanism to extend the lower detection limit. Nanoscale Adv. 2020, 2, 2564–2576. [Google Scholar] [CrossRef]
- Racheva, T.M.; Critchlow, G.W. SnO2 thin films prepared by the sol-gel process. Thin Solid Films 1997, 292, 299–302. [Google Scholar] [CrossRef]
- Kleperis, J.; Kundzinš, M.; Vitiņš, G.; Eglītis, V.; Vaivars, G.; Lüsis, A. Gas-sensitive gap formation by laser ablation in In2O3 layer: Application as humidity sensor. Sens. Actuators B Chem. 1995, 28, 135–138. [Google Scholar] [CrossRef]
- Cantalini, C.; Pelino, M. Microstructure and humidity-sensitive characteristics of α-Fe2O3 ceramic sensor. J. Am. Ceram. Soc. 1992, 75, 546–551. [Google Scholar] [CrossRef]
- Jain, M.K.; Bhatnagar, M.C.; Sharma, G.L. Effect of Li+ doping on ZrO2-TiO2 humidity sensor. Sens. Actuators B Chem. 1999, 55, 180–185. [Google Scholar] [CrossRef]
- D’Apuzzo, M.; Aronne, A.; Esposito, S.; Pernice, P. Sol-gel synthesis of humidity sensitive P2O5-SiO2 amorphous films. J. Sol. Gel Sci. Technol. 2000, 17, 247–254. [Google Scholar] [CrossRef]
- Mahapatra, P.L.; Mondal, P.P.; Das, S.; Saha, D. Novel capacitive humidity sensing properties of cobalt chromite nanoparticles based thick film. Microchem. J. 2020, 152, 104452. [Google Scholar] [CrossRef]
- Mahapatra, P.L.; Das, S.; Mondal, P.P.; Das, T.; Saha, D.; Pal, M. Microporous copper chromite thick film based novel and ultrasensitive capacitive humidity sensor. J. Alloys Compd. 2021, 859, 157778. [Google Scholar] [CrossRef]
- Arshaka, K.; Twomey, K.; Egan, D. A ceramic thick film humidity sensor based on MnZn ferrite. Sensors 2002, 2, 50–61. [Google Scholar] [CrossRef]
- Shimizu, Y.; Arai, H.; Seiyama, T. Ceramic humidity sensors 1. Microstructure and humidity sensitive characteristics of spinel type oxides. Denki Kagaku 1982, 50, 831–834. [Google Scholar] [CrossRef]
- Gusmano, G.; Montesperelli, G.; Traversa, E.; Mattogno, G. Microstructure and electrical properties of MgAl2O4 thin films for humidity sensing. J. Am. Ceram. Soc. 1993, 76, 743–750. [Google Scholar] [CrossRef]
- Das, S.; Rahman, M.L.; Mondal, P.P.; Mahapatra, P.L.; Saha, D. Screen-printed MgAl2O4 semi-thick film based highly sensitive and stable capacitive humidity sensor. Ceram. Int. 2021, 47, 33515–33524. [Google Scholar] [CrossRef]
- Gusmano, G.; Montesperelli, G.; Traversa, E.; Bearzotti, A.; Petrocco, G.; D’Amico, A.; Natale, C. Di Magnesium aluminium spinel thin film as a humidity sensor. Sens. Actuators B Chem. 1992, 7, 460–463. [Google Scholar] [CrossRef]
- Crochemore, G.B.; Ito, A.R.P.; Goulart, C.A.; de Souza, D.P.F. Identification of humidity sensing mechanism in MgAl2O4 by impedance spectroscopy as function of relative humidity. Mater. Res. 2018, 21, e20170729. [Google Scholar] [CrossRef]
- Li, B.R.; Zhang, D.L.; Zhang, N.G.; Li, J.T. Characterization and humidity properties of MgAl2O4 powders synthesized in a mixed salt composed of KOH and KCl. CrystEngComm 2015, 18, 3426–3432. [Google Scholar] [CrossRef]
- Laobuthee, A.; Wongkasemjit, S.; Traversa, E.; Laine, R.M. MgAl2O4 spinel powders from oxide one pot synthesis (OOPS) process for ceramic humidity sensors. J. Eur. Ceram. Soc. 2000, 20, 91–97. [Google Scholar] [CrossRef]
- Tripathy, S.; Khilari, S.; Saini, D.S.; Bhattacharya, D. A green fabrication strategy for MgAl2O4 foams with tunable morphology. RSC Adv. 2016, 40, 33259–33266. [Google Scholar] [CrossRef]
- Shi, Z.M.; Pan, M.Q.; Liu, J.Z.; Sheng, J. Design and detection method of three-electrode humidity sensor based on micro-arc MgO. Design and detection method of three-electrode humidity sensor based on micro-arc MgO. Appl. Phys. A 2021, 127, 515. [Google Scholar] [CrossRef]
- Gusmano, G.; Montesperelli, G.; Morten, B.; Prudenziati, M.; Pemo, A.; Traversa, E. Thick films of MgFe2O4 for humidity sensors. J. Mater. Proc. Technol. 1996, 56, 589–599. [Google Scholar] [CrossRef]
- Cheng, B.C.; Ouyang, Z.Y.; Tian, B.X.; Xiao, Y.H.; Lei, S.J. Porous ZnAl2O4 spinel nanorods: High sensitivity humidity sensors. Ceram. Int. 2013, 39, 7379–7386. [Google Scholar] [CrossRef]
- Dubey, R.S.; Srilali, S.; Ravikiran, Y.T.; Babu, G.S.; Katta, K.V. Synthesis and characterization of Znx-1Al2O4(TiO2)x nanocomposite ceramics and their humidity sensing properties. J. Mater. Sci. 2022, 57, 2636–2649. [Google Scholar] [CrossRef]
- Zawadzki, M.; Staszak, W.; López-Suárez, F.E.; Illán-Gómez, M.J.; Bueno-López, A. Preparation, characterisation and catalytic performance for soot oxidation of copper-containing ZnAl2O4 spinels. Appl. Catal. A 2009, 371, 92–98. [Google Scholar] [CrossRef]
- Ishii, S.; Nakane, T.; Uchida, S.; Yoshida, M.; Naka, T. Influence of pH tuning at the precursor-preparation process on the structural characteristics and catalytic performance of hydrothermally synthesized ZnAl2O4 nanoparticles. J. Asian Ceram. Soc. 2018, 6, 7–12. [Google Scholar] [CrossRef]
- Diggle, J.W.; Downie, T.C.; Goulding, C.W. Anodic oxide films on aluminum. Chem. Rev. 1969, 69, 365–405. [Google Scholar] [CrossRef]
- Stojadinovic, S.; Vasilic, R.; Nedic, Z.; Kasalica, B.; Belca, I.; Zekovic, L. Photoluminescent properties of barrier anodic oxide films on aluminum. Thin Sol. Film 2011, 519, 3516–3521. [Google Scholar] [CrossRef]
- Nakane, T.; Naka, T.; Sato, K.; Taguchi, M.; Nakayama, M.; Mitsui, T.; Matsushita, A.; Chikyow, T. Spectroscopic and crystallographic anomalies of (Co1-xZnx)Al2O4 spinel oxide. Dalton Ttrans. 2015, 44, 997–1008. [Google Scholar] [CrossRef] [PubMed]









| Salt | %RH |
|---|---|
| MgCl2 | 16 |
| CH3COOK | 23 |
| ZnNO3·6H2O | 43 |
| ZnNO3·6H2O | 52 |
| NaHCO3 | 78 |
| Na2SO4 | 84 |
Publisher’s Note: MDPI stays neutral with regard to jurisdictional claims in published maps and institutional affiliations. |
© 2022 by the authors. Licensee MDPI, Basel, Switzerland. This article is an open access article distributed under the terms and conditions of the Creative Commons Attribution (CC BY) license (https://creativecommons.org/licenses/by/4.0/).
Share and Cite
Nakane, T.; Naka, T.; Nakayama, M.; Uchikoshi, T. Humidity Sensitivity of Chemically Synthesized ZnAl2O4/Al. Sensors 2022, 22, 6194. https://doi.org/10.3390/s22166194
Nakane T, Naka T, Nakayama M, Uchikoshi T. Humidity Sensitivity of Chemically Synthesized ZnAl2O4/Al. Sensors. 2022; 22(16):6194. https://doi.org/10.3390/s22166194
Chicago/Turabian StyleNakane, Takayuki, Takashi Naka, Minako Nakayama, and Tetsuo Uchikoshi. 2022. "Humidity Sensitivity of Chemically Synthesized ZnAl2O4/Al" Sensors 22, no. 16: 6194. https://doi.org/10.3390/s22166194
APA StyleNakane, T., Naka, T., Nakayama, M., & Uchikoshi, T. (2022). Humidity Sensitivity of Chemically Synthesized ZnAl2O4/Al. Sensors, 22(16), 6194. https://doi.org/10.3390/s22166194

