Continuous Production of Water-Borne Polyurethanes: A Review
Abstract
1. Introduction
2. Synthesis and Main Properties of Waterborne Polyurethanes
2.1. Classfication
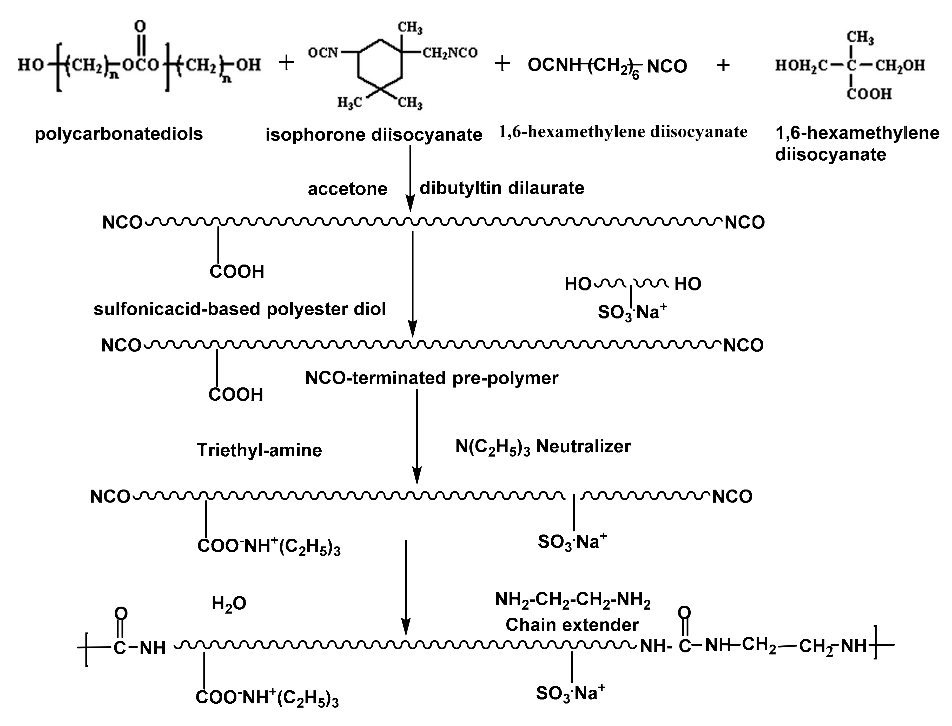
2.2. Structure and Synthesis Mechanism
2.3. Characteristics of Water-Borne Polyurethanes
2.3.1. Controllable Viscosity
2.3.2. Biodegradability
2.3.3. Curing via Intramolecular Interaction of Polar Groups
2.3.4. Controllable Thermal Stability
3. Research Progress in Continuous Production of Waterborne Polyurethane
4. Continuous Production Processes
4.1. High Internal Phase Emulsification Continuous Production Process
4.2. Continuous Production by Prepolymer Process
4.3. Twin-Screw Extruder Reactor Continuous Production
4.4. Continuous Production Process Using a Low-Shear Mixer
4.5. Continuous Production Processes Using Spiral Dispersion
4.6. High-Gravity Rotating Packed Bed Reactor for the Continuous Production of Water-Borne Polyurethane
5. Applications of Water-Borne Polyurethane
5.1. Adhesives
5.2. Coatings
5.3. Sewage Disposal
6. Conclusions
Author Contributions
Funding
Acknowledgments
Conflicts of Interest
References
- Lee, S.Y.; Lee, J.S.; Kim, B.K. Preparation and Properties of Water-borne Polyurethanes. Polym. Int. 2015, 42, 67–76. [Google Scholar] [CrossRef]
- Wang, L.; Zhu, Y.; Qu, J. Preparation and assistant-film-forming performance of aqueous polyurethane dispersions. Prog. Org. Coat. 2017, 105, 9–17. [Google Scholar] [CrossRef]
- Chinwanitcharoen, C.; Kanoh, S.; Yamada, T.; Tada, K.; Hayashi, S.; Sugano, S. Preparation and shelf-life stability of aqueous polyurethane dispersion. Macromol. Symp. 2010, 216, 229–240. [Google Scholar] [CrossRef]
- Hu, Z.G.; Yuan, Q.L.; Wang, D.N. Morphology of waterborne polyurethane/phenolic resin dispersion and the properties of its hybrid film with SiO2. Acta Polym. Sin. 2003, 135, 195–200. [Google Scholar]
- Yen, M.S.; Kuo, S.C. Effects of mixing procedure on the structure and physical properties of ester-ether-type soft segment waterborne polyurethane. J. Appl. Polym. Sci. 2015, 61, 1639–1647. [Google Scholar] [CrossRef]
- Yin, S.; Ren, X.; Lian, P.; Zhu, Y.; Mei, Y. Synergistic effects of black phosphorus/boron nitride nanosheets on enhancing the flame-retardant properties of waterborne polyurethane and its flame-retardant mechanism. Polymers 2020, 12, 1487. [Google Scholar] [CrossRef]
- Wang, R.; Li, C.; Jiang, Z.; Wang, Z. Self-assembly of amphiphilic lineardendritic carbosilane block surfactant for waterborne polyurethane coating. Polymers 2020, 12, 1318. [Google Scholar] [CrossRef]
- Honarkar, H. Waterborne polyurethanes: A review. J. Dispers. Sci. Technol. 2018, 39, 507–516. [Google Scholar] [CrossRef]
- García-Pacios, V.; Costa, V.; Colera, M.; Martín-Martínez, J.M. Affect of polydispersity on the properties of waterborne polyurethane dispersions based on polycarbonate polyol. Int. J. Adhes. Adhes. 2010, 30, 456–465. [Google Scholar] [CrossRef]
- Liu, N.; Zhao, Y.; Kang, M.; Wang, J.; Wang, X.; Feng, Y.; Yin, N.; Li, Q.F. The effects of the molecular weight and structure of polycarbonatediols on the properties of waterborne polyurethanes. Prog. Org. Coat. 2015, 82, 46–56. [Google Scholar] [CrossRef]
- Kultys, A.; Rogulska, M.; Głuchowska, H. The effect of soft-segment structure on the properties of novel thermoplastic polyurethane elastomers based on an unconventional chain extender. Polym. Int. 2011, 60, 652–659. [Google Scholar] [CrossRef]
- Cakić, S.M.; Ristić, I.S.; Krakovský, I.; Stojiljković, D.T.; Bělský, P.; Kollová, L. Crystallization and thermal properties in waterborne polyurethane elastomers: Influence of mixed soft segment block. Mater. Chem. Phys. 2014, 144, 31–40. [Google Scholar] [CrossRef]
- Philipp, C.; Eschig, S. Waterborne polyurethane wood coatings based on rapeseed fatty acid methyl esters. Prog. Org. Coat. 2012, 74, 705–711. [Google Scholar] [CrossRef]
- Olson, K.C.; Mccollum, G.J.; Anderson, L.K. Non-gelled Curable Compositions Containing Imide Functional Compounds. U.S. Patent No. 7,294,683, 13 November 2007. [Google Scholar]
- Ehr, R.J.; Kalantar, T.H.; Liu, L.; Schmidt, D.C.; Zhang, Q.; Zhao, M. Pesticide Compositions of Meso-sized Particles with Enhanced Activity. U.S. Patent No. 9,084,418, 21 July 2015. [Google Scholar]
- Xiao, Y.; Fu, X.; Zhang, Y.; Liu, Z.; Jiang, L.; Lei, J. Preparation of waterborne polyurethanes based on the organic solvent-free process. Green Chem. 2016, 18, 412–416. [Google Scholar] [CrossRef]
- Lee, J.K.; Kim, H.J. One-part polyurethane resin composition, method of preparing the same, and method of preparing a paint composition having the same. U.S. Patent Application 11/110,257, 25 August 2005. [Google Scholar]
- Li, H.; Liu, Y.; Sun, N.; Xu, Z.; Li, Y.; Jiang, S. Unique viscosity mutation of multi-generation hyperbranched waterborne polyurethane. J. Polym. Eng. 2014, 34, 605–609. [Google Scholar] [CrossRef]
- Kim, B.; Yang, J.; Yoo, S.; Lee, J. Waterborne polyurethanes containing ionic groups in soft segments. Colloid Polym. Sci. 2003, 281, 461–468. [Google Scholar] [CrossRef]
- Lu, Y.; Larock, R.C. Soybean-oil-based waterborne polyurethane dispersions: Effects of polyol functionality and hard segment content on properties. Biomacromolecules 2008, 9, 3332–3340. [Google Scholar] [CrossRef]
- Bao, L.; Fan, H.; Chen, Y.; Yan, J.; Yang, T.; Guo, Y. Effect of surface free energy and wettability on the adhesion property of waterborne polyurethane adhesive. RSC Adv. 2016, 6, 99346–99352. [Google Scholar] [CrossRef]
- Yang, Z.; Wu, G. Effects of soft segment characteristics on the properties of biodegradable amphiphilic waterborne polyurethane prepared by a green process. J. Mater. Sci. 2020, 55, 3139–3156. [Google Scholar] [CrossRef]
- Stanford, J.L.; Stepto, R.F.T. A study of intramolecular reaction and gelation during non-linear polyurethane formation. Polym. Int. 2010, 9, 124–132. [Google Scholar] [CrossRef]
- Bao, L.H.; Lan, Y.J.; Zhang, S.F. Synthesis and Properties of Waterborne Polyurethane Dispersions with Ions in the Soft Segments. J. Polym. Res. 2006, 13, 507–514. [Google Scholar] [CrossRef]
- Vincent, B.J.; Natarajan, B. Waterborne Polyurethane from Polycaprolactone and Tetramethylxylene Diisocyanate: Synthesis by Varying NCO/OH Ratio and Its Characterization as Wood Coatings. Open J. Org. Polym. Mater. 2013, 4, 37–42. [Google Scholar] [CrossRef][Green Version]
- Chattopadhyay, D.K.; Webster, D.C. Thermal stability and flame retardancy of polyurethanes. Prog. Polym. Sci. 2009, 34, 1068–1133. [Google Scholar] [CrossRef]
- Perez-Liminana, M.A.; Arán-Aís, F.; Torró-Palau, A.M.; Orgilés-Barceló, A.C.; Martín-Martínez, J.M. Characterization of waterborne polyurethane adhesives containing different amounts of ionic groups. Int. J. Adhes. Adhes. 2005, 25, 507–517. [Google Scholar] [CrossRef]
- Wolfram, N.; Hans, H.; Wilhelm, K.; Artur, R. Stabilization of Polyesters with Substituted Carbodiimides. U.S. Patent No. 3,193,523, 6 July 1965. [Google Scholar]
- Dvorchak, M.J. Using “High performance two-component waterborne polyurethane” wood coatings. J. Coat. Technol. 1997, 69, 47–52. [Google Scholar] [CrossRef]
- Wamprecht, C.; Kahl, L.; Klinksiek, B. Aqueous Coating Composition for Stoving Finishes and Process for the Production Thereof. U.S. Patent No. 6,251,985, 26 June 2001. [Google Scholar]
- Skaggs, K.W.; Tabor, R.L.; Louks, P.T. Continuous process for preparing a polyurethane latex. U.S. Patent No. 6,087,440, 11 July 2000. [Google Scholar]
- Hubbard, W.M. Internal Phase Emulsion Foam Associated with Polyurethane Foam. U.S. Patent Application 14/751,969, 31 December 2015. [Google Scholar]
- Keyvani, M. Improved polyurethane dispersion stability via continuous process. Adv Polymer Technol. 2010, 22, 218–224. [Google Scholar] [CrossRef]
- Ayuso, P.J.; Salvatella, R.D.; Sese, S.J.; Julia, B.J. Ionomer Polyurethane Thermoplastic. U.S. Patent Application 10/484,878, 25 November 2004. [Google Scholar]
- Markusch, P.H.; Mason, A.W.; Wenzel, W.D. Continuous Process for the Production of Aqueous Polyurethane Urea Dispersions. U.S. Patent No. 4,879,322, 7 November 1989. [Google Scholar]
- Zhang, W.; Wang, D.; Wang, J.X.; Pu, Y.; Chen, J.F. High-gravity-assisted emulsification for continuous preparation of waterborne polyurethane nanodispersion with high solids content. Front. Chem. Sci. Eng. 2020, 14, 1087–1099. [Google Scholar] [CrossRef]
- Navarro-Bañón, M.V.; Pastor-Blas, M.M.; Martín-Martínez, J.M. Water-based chlorination treatment of SBS rubber soles to improve their adhesion to waterborne polyurethane adhesives in the footwear industry. J. Adhes. Sci. Technol. 2005, 19, 947–974. [Google Scholar] [CrossRef]
- Daniloska, V.; Keddie, J.L.; José, M.A.; Tomovska, R. MoS2 Nanoplatelet Fillers for Enhancement of the Properties of Waterborne Pressure-Sensitive Adhesives. ACS Appl. Mater. Interfaces 2014, 6, 22640. [Google Scholar] [CrossRef]
- HanÃ, M.; Kov, J.B.; Hank, M. The position of environmental protection in the value ranking of vocational education actors. Tech. Soc. Sci. J. 2020, 11, 13–22. [Google Scholar]
- Scrinzi, E.; Rossi, S.; Deflorian, F.; Zanella, C. Evaluation of aesthetic durability of waterborne polyurethane coatings applied on wood for interior applications. Prog. Org. Coat. 2011, 72, 81–87. [Google Scholar] [CrossRef]
- Wang, C.; Fang, J.; Liu, T.; Ji, C.; Li, S. Synthesis of waterborne polyurethane dispersions with glycolyzed product from pet waste: Effect of hard segment content on its properties. Polym. Sci. Ser. B 2015, 57, 434–443. [Google Scholar] [CrossRef]
- Zhao, J.; Zhou, T.; Zhang, J.; Chen, H.; Zhang, A. Synthesis of a waterborne polyurethane-fluorinated emulsion and its hydrophobic properties of coating films. Ind. Eng. Chem. Res. 2014, 53, 19257–19264. [Google Scholar] [CrossRef]
- Xiao, Y.; Huang, H.; Peng, X. Synthesis of self-healing waterborne polyurethanes containing sulphonate groups. RSC Adv. 2017, 7, 20093–20100. [Google Scholar] [CrossRef]
- Liu, K.; Su, Z.; Miao, S.; Ma, G.; Zhang, S. UV-curable enzymatic antibacterial waterborne polyurethane coating. Biochem. Eng. J. 2016, 113, 107–113. [Google Scholar] [CrossRef]
- Ismoilov, K.; Akram, W.; Chauhan, S.; Ergasheva, K.; Artikboeva, R. Synthesis and Evaluation of Properties of a Novel Cationic Waterborne Polyurethane Finishing Agent. J. Chem. Eng. Process. Technol. 2019, 10, 398. [Google Scholar] [CrossRef]
- Yang, X.; Ren, B.; Ren, Z.; Jiang, L.; Liu, W. Synthesis and properties of novel non-ionic polyurethane dispersion based on hydroxylated tung oil and alicyclic isocyanates. J. Mater. Sci. Chem. Eng. 2015, 3, 88–94. [Google Scholar] [CrossRef]
- Chen, G.; Li, J.; Tabassum, S.; Zhang, Z. Anaerobic ammonium oxidation (ANAMMOX) sludge immobilized by waterborne polyurethane and its nitrogen removal performance-a lab scale study. RSC Adv. 2015, 5, 25372–25381. [Google Scholar] [CrossRef]
- Dong, Y.; Zhang, Z.; Deng, Y. Immobilization of Nitrifying Bacteria in Waterborne Polyurethane Hydrogel for Removal of Ammonium Nitrogen from Wastewater. In Proceedings of the International Conference on Bioinformatics and Biomedical Engineering, Beijing, China, 11–13 June 2009; pp. 1–4. [Google Scholar]
- Dong, Y.; Zhang, Z.; Jin, Y.; Lu, J.; Cheng, X.; Li, J.; Chen, D. Nitrification characteristics of nitrobacteria immobilized in waterborne Polyurethane in wastewater of corn-based ethanol fuel production. J. Environ. Sci. China 2012, 24, 999–1005. [Google Scholar] [CrossRef]












Publisher’s Note: MDPI stays neutral with regard to jurisdictional claims in published maps and institutional affiliations. |
© 2020 by the authors. Licensee MDPI, Basel, Switzerland. This article is an open access article distributed under the terms and conditions of the Creative Commons Attribution (CC BY) license (http://creativecommons.org/licenses/by/4.0/).
Share and Cite
Liu, X.; Hong, W.; Chen, X. Continuous Production of Water-Borne Polyurethanes: A Review. Polymers 2020, 12, 2875. https://doi.org/10.3390/polym12122875
Liu X, Hong W, Chen X. Continuous Production of Water-Borne Polyurethanes: A Review. Polymers. 2020; 12(12):2875. https://doi.org/10.3390/polym12122875
Chicago/Turabian StyleLiu, Xuehua, Wei Hong, and Xudong Chen. 2020. "Continuous Production of Water-Borne Polyurethanes: A Review" Polymers 12, no. 12: 2875. https://doi.org/10.3390/polym12122875
APA StyleLiu, X., Hong, W., & Chen, X. (2020). Continuous Production of Water-Borne Polyurethanes: A Review. Polymers, 12(12), 2875. https://doi.org/10.3390/polym12122875

