Diversity of Secondary Metabolites in Roots from Conium maculatum L.
Abstract
1. Introduction
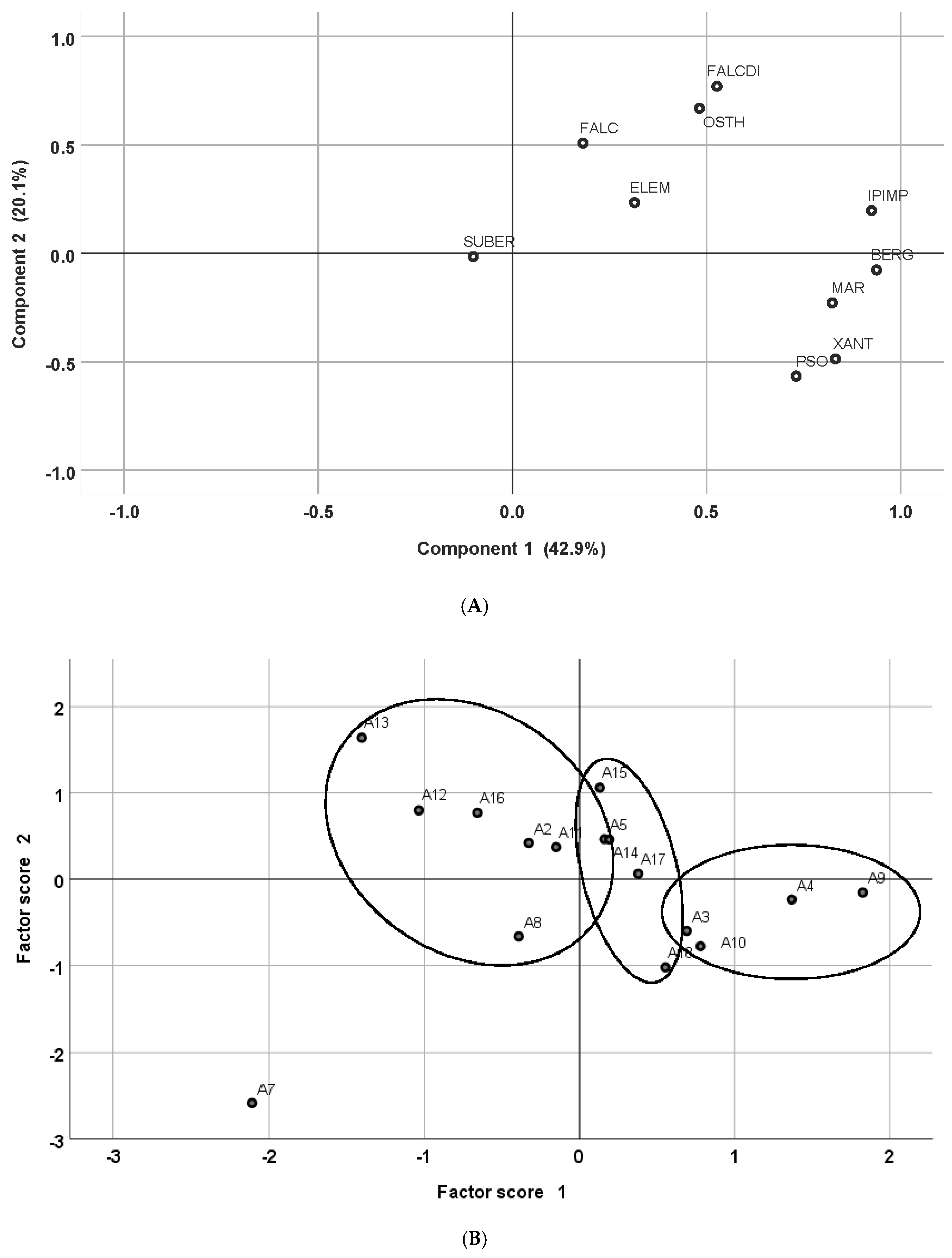
2. Results
3. Discussion
4. Materials and Methods
4.1. Plant Material
4.2. Extraction of the Active Compounds
4.3. Gas Chromatography/Mass Spectrometry (GC/MS)
4.4. Statistical Analysis
5. Conclusions
Supplementary Materials
Author Contributions
Funding
Acknowledgments
Conflicts of Interest
References
- Al-Snafi, A.E. Pharmacology and toxicology of Conium maculatum—A review. Pharm. Chem. J. 2016, 3, 136–142. [Google Scholar]
- Vetter, J. Poison hemlock (Conium maculatum L.). Food Chem. Toxicol. 2004, 42, 1373–1382. [Google Scholar] [CrossRef] [PubMed]
- Lopez, T.A.; Cid, M.S.; Bianchini, M.L. Biochemistry of hemlock (Conium maculatum L.) alkaloids and their acute and chronic toxicity in livestock. A review. Toxicon 1999, 37, 841–865. [Google Scholar] [CrossRef]
- Radulović, N.; Dordević, N.; Denić, M.; Pinheiro, M.M.G.; Fernandes, P.D.; Boylan, F. A novel toxic alkaloid from poison hemlock (Conium maculatum L., Apiaceae). Identification, synthesis and antinociceptive activity. Food Chem. Toxicol. 2012, 50, 274–279. [Google Scholar] [CrossRef]
- Castells, E.; Berhow, M.A.; Vaughn, S.F.; Berenbaum, M.R. Geographic variation in alkaloid production in Conium maculatum populations experiencing differential herbivory by Agonopterix alstroemeriana. J. Chem. Ecol. 2005, 31, 1693–1709. [Google Scholar] [CrossRef] [PubMed]
- Radulovic, N.; Zlatkovic, D.; Zlatkovic, B.; Dokovic, D.; Stojanovic, G.; Palic, R. Chemical composition of leaf and flower essential oils of Conium maculatum from Serbia. Chem. Nat. Compd. 2008, 44, 390–392. [Google Scholar] [CrossRef]
- Masoudi, S.; Esamaeili, A.; Khalilzadeh, M.A.; Rustaiyan, A.; Moazami, N.; Akhgar, M.R.; Varavipoor, M. Volatile constituents of Dorema aucheri Boiss., Seseli libanotis (L.) W. D. Koch var. armeniacum Bordz. and Conium maculatum L. three Umbelliferae herbs growing wild in Iran. Flavour Frag. J. 2006, 21, 801–804. [Google Scholar]
- Al-Barwani, F.M.; Eltayeb, E.A. Antifungal compounds from induced Conium maculatum L. plants. Biochem. Syst. Ecol. 2004, 32, 1097–1108. [Google Scholar] [CrossRef]
- Meier, P.; Hotti, H.; Rischer, H. Elicitation of furanocoumarins in poison hemlock (Conium maculatum L.) cell culture. Plant Cell Tissue Organ Cult. 2015, 123, 443–453. [Google Scholar] [CrossRef]
- Radulovic, N.S.; Dordevic, N.D. Steroids from poison hemlock (Conium maculatum L.). A GC-MS-analysis. J. Serb. Chem. Soc. 2011, 76, 1471–1483. [Google Scholar] [CrossRef]
- Kramer, M.; Mühleis, A.; Conrad, J.; Leitenberger, M.; Beifuss, U.; Carle, R. Quantification of polyacetylenes in Apiaceous plants by high-performance liquid chromatography coupled with diode array detection. Z. Naturf. C 2011, 66, 319–327. [Google Scholar] [CrossRef]
- Czepa, A.; Hofmann, T. Structural and sensory characterization of compounds contributing to the bitter off-taste of carrots (Daucus carota L.) and carrot puree. J. Agric. Food Chem. 2003, 51, 3865–3873. [Google Scholar] [CrossRef] [PubMed]
- Czepa, A.; Hofmann, T. Quantitative studies and sensory analyses on the influence of cultivar, spatial tissue distribution, and industrial processing on the bitter off-taste of carrots (Daucus carota L.) and carrot products. J. Agric. Food Chem. 2004, 52, 4508–4514. [Google Scholar] [CrossRef] [PubMed]
- Jassen, J.; Laatz, W. Statistische Datenanalyse mit SPSS, 9th ed.; Springer Gabler: Berlin, Germany, 2017. [Google Scholar]
- Limpert, E.; Stahel, W.A.; Abbt, M. Log-normal Distributions across the Sciences: Keys and Clues. BioScience 2001, 51, 341–352. [Google Scholar] [CrossRef]
- Corsi, G.; Biasci, D. Secretory structures and localization of alkaloids in Conium maculatum L. (Apiaceae). Ann. Bot. 1998, 81, 157–162. [Google Scholar] [CrossRef]
- Perouta, R.; Schulzova, V.; Botek, P.; Hajslova, J. Analysis of furanocoumarins in vegetables (Apiaceae) and citrus fruits (Rutaceae). J. Sci. Food Agric. 2007, 87, 2152–2163. [Google Scholar] [CrossRef]
- Chizzola, R. Variability of the volatile oil composition in a population of Silaum silaus from Eastern Austria. Nat. Prod. Commun. 2008, 3, 1141–1144. [Google Scholar] [CrossRef]
- Christensen, L.P. Aliphatic C17-polyacetylenes of the falcarinol type as potential health promoting compounds in food plants of the Apiaceae family. In Recent Patents on Food, Nutrition & Agriculture; Bentham Science Publisher: Saif Zone, Sharjah, UAE, 2011; Volume 3, pp. 64–77. [Google Scholar]
- Zidorn, C.; Jöhrer, K.; Ganzera, M.; Schubert, B.; Sigmung, E.M.; Mader, J.; Greil, R.; Ellmerer, E.P.; Stuppner, H. Polyacetylenes from the Apiaceae vegetables carrot, celery, fennel, parsley and parsnip and their cytotoxic activities. J. Agric. Food Chem. 2005, 53, 2518–2523. [Google Scholar] [CrossRef]
- Wyrembek, P.; Negri, R.; Kaczor, P.; Czyżewska, M.; Appendino, G.; Mozrzymas, J.W. Falcarindiol allosterically modulates GABAergic currents in cultured rat hippocampal neurons. J. Nat. Prod. 2012, 75, 610–616. [Google Scholar] [CrossRef]
- Kobaek-Larsen, M.; El-Houri, R.B.; Christensen, L.P.; Al-Najami, I.; Fretté, X.; Baatrup, G. Dietary polyacetylenes, falcarinol and falcarindiol, isolated from carrots prevents the formation of neoplastic lesions in the colon of azoxymethane-induced rats. Food Funct. 2017, 8, 964–974. [Google Scholar] [CrossRef]
- Bruni, R.; Barreca, D.; Protti, M.; Brighenti, V.; Righetti, L.; Anceschi, L.; Mercolini, L.; Benvenuti, S.; Gattuso, G.; Pellati, F. Botanical Sources, chemistry, analysis, and biological activity of furanocoumarins of pharmaceutical interest. Molecules 2019, 24, 2163. [Google Scholar] [CrossRef] [PubMed]
- Melough, M.M.; Cho, E.; Chun, O.K. Furocoumarins: A review of biochemical activities, dietary sources and intake, and potential health risks. Food Chem. Toxicol. 2018, 113, 99–107. [Google Scholar] [CrossRef] [PubMed]
- Sigurdsson, S.; Gudbjarnason, S. Inhibition of acetylcholinesterase by extracts and constituents from Angelica archangelica and Geranium sylvaticum. Z. Naturf. C 2007, 62, 689–693. [Google Scholar] [CrossRef] [PubMed]
- Skalicka-Woźniak, K.; Zagaja, M.; Głowniak, K.; Łuszczki, J. Purification and anticonvulsant activity of xanthotoxin (8-methoxypsoralen). Open Life Sci. 2014, 9, 431–436. [Google Scholar] [CrossRef]
- Autore, G.; Marzocco, S.; Formisano, C.; Bruno, M.; Rosselli, S.; Jemia, M.B.; Senatore, F. Cytotoxic activity and composition of petroleum ether extract from Magydaris tomentosa (Desf.) W. D. J. Koch (Apiaceae). Molecules 2015, 20, 1571–1578. [Google Scholar] [CrossRef]
- Dong, L.; Xu, W.; Li, H.; Bi, K. In vitro and in vivo anticancer effects of marmesin in U937 human leukemia cells are mediated via mitochondrial-mediated apoptosis, cell cycle arrest, and inhibition of cancer cell migration. Oncol. Rep. 2018, 39, 597–602. [Google Scholar] [CrossRef]
- Melough, M.M.; Lee, S.G.; Cho, E.; Kim, K.; Provatas, A.A.; Perkins, C.; Min, K.P.; Abrar, Q.; Ock, K.C. Identification and quantitation of furocoumarins in popularly consumed foods in the U.S. Using QuEChERS extraction coupled with UPLC-MS/MS analysis. J. Agric. Food Chem. 2017, 65, 5049–5055. [Google Scholar] [CrossRef]
- Baumann, U.; Dick, R.; Zimmerli, B. A preliminary study on the occurence of furocoumarins in vegetable foods and cosmetics. Mitt. Geb. Lebensm. Hyg. 1988, 79, 112–129. [Google Scholar]
- Manderfeld, M.M.; Schafer, H.W.; Davidson, P.M.; Zottola, E.A. Isolation and identification of antimicrobial furocoumarins from parsley. J. Food Prot. 1997, 60, 72–77. [Google Scholar] [CrossRef]
- Diawara, M.M.; Trumble, J.T.; Quiros, C.F.; Hansen, R. Implications of distribution of linear furocoumarins within celery. J. Agric. Food Chem. 1995, 43, 723–727. [Google Scholar] [CrossRef]
- Ostertag, E.; Becker, T.; Ammon, J.; Bauer-Aymanns, H.; Schrenk, D. Effects of storage conditions on furocoumarin level in intact, chopped, or homogenized parsnip. J. Agric. Food Chem. 2002, 50, 2565–2570. [Google Scholar] [CrossRef] [PubMed]
- Golfakhrabadi, F.; Abdollahi, M.; Ardakani, M.R.S.; Saeidnia, S.; Akbarzadeh, T.; Ahmadabadi, A.N.; Ebrahimi, A.; Yousefbeyk, F.; Hassanzadeh, A.; Khanavi, M. Anticoagulant activity of isolated coumarins (suberosin and suberenol) and toxicity evaluation of Ferulago carduchorum in rats. Pharm. Biol. 2014, 52, 1335–1340. [Google Scholar] [CrossRef] [PubMed]
- Du, M.; Sun, Z.; Lu, Y.; Li, Y.-Z.; Xu, H.-R.; Zeng, C.-Q. Osthole inhibits proliferation and induces apoptosis in BV-2 microglia cells in kainic acid-induced epilepsy via modulating PI3K/AKt/mTOR signalling way. Pharm. Biol. 2019, 57, 238–244. [Google Scholar] [CrossRef] [PubMed]
- Van den Berg, S.; Punt, A.; Soffers, A.E.M.F.; Vervoort, J.; Ngeleja, S.; Spenkelink, B.; Rietjens, I.M.C.M. Physiologically based kinetic models for the alkenylbenzene elemicin in rat and human and possible implications for risk assessment. Chem. Res. Toxicol. 2012, 25, 2321–2367. [Google Scholar] [CrossRef] [PubMed]
- Martins, C.; Rueff, J.; Rodrigues, A.S. Genotoxic alkenylbenzene flavourings, a contribution to risk assessment. Food Chem. Toxicol. 2018, 118, 861–879. [Google Scholar] [CrossRef]
- Genebank Information System of the IPK Gatersleben. Available online: https://gbis.ipk-gatersleben.de/gbis2i/faces/index.jsf (accessed on 27 May 2020).
- Adams, R.P. Identification of Essential Oil Components by Gas Chromatography/Quadrupole Mass Spectroscopy, 4th ed.; Allured: Carol Stream, IL, USA, 2007. [Google Scholar]
- Yang, L.; Wen, K.-S.; Ruan, X.; Zhao, Y.-X.; Wei, F.; Wang, Q. Response of Plant Secondary Metabolites to Environmental Factors. Molecules 2018, 23, 762. [Google Scholar] [CrossRef]





| Accession | XANT | IPIM | BER | PSO | MAR | OST | SUBE | FALC | FALD | ELE |
|---|---|---|---|---|---|---|---|---|---|---|
| Mean | 254.4 | 168.9 | 79.1 | 68.1 | 12.5 | 52.7 | 11.0 | 9.0 | 328.8 | 9.6 |
| Median | 76.9 | 89.3 | 48.3 | 9.5 | 0.0 | 36.6 | 0.0 | 1.4 | 253.1 | 0.0 |
| SD | 391.6 | 197.3 | 84.1 | 141.1 | 25.6 | 58.1 | 23.0 | 26.2 | 315.4 | 28.1 |
| Min. | 0.0 | 0.0 | 0.0 | 0.0 | 0.0 | 0.0 | 0.0 | 0.0 | 0.0 | 0.0 |
| Max. | 2297.4 | 940.7 | 450.1 | 979.8 | 145.5 | 407.6 | 111.4 | 248.8 | 1570.2 | 227.0 |
| Skewness | 2.8 | 1.8 | 2.0 | 3.7 | 3.2 | 2.6 | 2.7 | 7.0 | 1.5 | 5.1 |
| Kurtosis | 10.3 | 3.0 | 4.3 | 17.3 | 11.4 | 9.7 | 7.0 | 56.9 | 2.5 | 31.7 |
| Accession | XANT | IPIM | BER | PSO | MAR | OST | SUBE | FALC | FALD | ELE | |
|---|---|---|---|---|---|---|---|---|---|---|---|
| A2 | Median | 12.9 | 65.2 | 45.2 | 0.0 | 0.0 | 23.8 | 0.0 | 1.9 | 483.8 | 1.7 |
| N = 9 | Mean * | 16.1 | 72.6 | 43.5 | 0.9 | 0.8 | 14.7 | 0.0 | 0.7 | 155.0 | 1.2 |
| SD * | 4.1 | 2.4 | 2.1 | 10.0 | 9.6 | 6.3 | 7.6 | 7.7 | 8.9 | ||
| A3 | Median | 418.5 | 177.0 | 101.4 | 114.3 | 9.2 | 8.8 | 0.0 | 18.9 | 215.5 | 0.0 |
| N = 10 | Mean * | 218.6 | 115.2 | 72.9 | 83.8 | 4.5 | 7.3 | 0.0 | 17.5 | 246.5 | 0.2 |
| SD * | 3.5 | 2.3 | 2.4 | 4.4 | 8.8 | 2.0 | 3.5 | 1.9 | 2.4 | ||
| A4 | Median | 474.4 | 363.3 | 100.4 | 72.0 | 30.7 | 43.3 | 0.0 | 3.3 | 308.4 | 0.0 |
| N = 10 | Mean * | 484.3 | 317.4 | 82.0 | 77.9 | 8.6 | 40.2 | 0.0 | 0.9 | 299.8 | 1.3 |
| SD * | 2.2 | 2.0 | 3.2 | 2.6 | 13.5 | 1.9 | 10.6 | 2.7 | 18.3 | ||
| A5 | Median | 201.7 | 91.1 | 50.1 | 54.7 | 0.0 | 59.4 | 0.0 | 1.0 | 465.6 | 0.0 |
| N = 10 | Mean * | 89.4 | 64.3 | 36.7 | 11.5 | 0.6 | 55.8 | 0.3 | 0.7 | 443.7 | 0.6 |
| SD * | 8.4 | 4.0 | 3.0 | 19.5 | 8.8 | 2.0 | 3.2 | 4.8 | 1.9 | 6.8 | |
| A7 | Median | 39.8 | 3.3 | 11.6 | 6.8 | 0.0 | 5.6 | 4.5 | 0.0 | 0.0 | 0.0 |
| N = 7 | Mean * | 34.4 | 2.7 | 7.6 | 9.7 | 0.0 | 2.3 | 2.9 | 0.0 | 0.2 | 0.3 |
| SD * | 2.5 | 3.8 | 5.4 | 3.8 | 5.6 | 7.46 | 4.6 | 3.1 | |||
| A8 | Median | 37.6 | 67.0 | 37.9 | 9.7 | 0.0 | 48.4 | 0.0 | 0.0 | 32.0 | 0.0 |
| N = 6 | Mean * | 34.0 | 79.1 | 42.0 | 8.2 | 0,4 | 27.7 | 0.0 | 0.2 | 5.5 | 0.4 |
| SD * | 2.9 | 7.3 | 2.5 | 3.1 | 4.0 | 7.1 | 9.8 | 87.7 | 8.9 | ||
| A9 | Median | 767.8 | 252.8 | 171.5 | 215.5 | 23.2 | 81.2 | 0.0 | 1.4 | 509.6 | 0.0 |
| N = 10 | Mean * | 643.7 | 244.0 | 144.0 | 229.2 | 20.1 | 81.9 | 0.0 | 0.9 | 552.1 | 1.3 |
| SD * | 2.2 | 2.1 | 2.1 | 2.4 | 6.2 | 1.9 | 7.6 | 1.6 | 16.8 | ||
| A10 | Median | 386.3 | 160.3 | 144.0 | 75.1 | 0.0 | 36.9 | 0.0 | 0.0 | 243.3 | 0.0 |
| N = 10 | Mean * | 420.9 | 162.7 | 147.2 | 46.5 | 1.0 | 37.1 | 0.7 | 0.3 | 52.9 | 0.3 |
| SD * | 2.1 | 3.0 | 1.9 | 8.2 | 7.5 | 4.1 | 7.0 | 9.6 | 27.4 | 5.6 | |
| A11 | Median | 56.0 | 27.3 | 37.2 | 6.1 | 0.0 | 27.5 | 0.0 | 7.2 | 50.3 | 6.8 |
| N = 10 | Mean * | 47.6 | 33.9 | 41.0 | 3.3 | 0.7 | 19.9 | 0.2 | 2.6 | 69.0 | 5.7 |
| SD * | 6.5 | 4.0 | 2.3 | 13.4 | 9.6 | 6.0 | 1.5 | 10.3 | 7.4 | 9.5 | |
| A12 | Median | 0.6 | 49.8 | 22.4 | 0.0 | 0.0 | 67.4 | 0.0 | 0.0 | 342.6 | 0.0 |
| N = 10 | Mean * | 2.8 | 24.6 | 23.2 | 0.7 | 0.3 | 49.2 | 0.0 | 0.1 | 299.7 | 0.0 |
| SD * | 20.6 | 11.5 | 3.9 | 10.7 | 3.9 | 2.3 | 2.9 | 2.0 | |||
| A13 | Median | 1.6 | 20.3 | 6.1 | 0.0 | 0.0 | 31.8 | 1.3 | 7.2 | 347.4 | 0.0 |
| N = 10 | Mean * | 2.0 | 18.8 | 8.5 | 0.3 | 0.0 | 28.2 | 1.0 | 10.5 | 335.4 | 0.5 |
| SD * | 10.5 | 5.4 | 5.6 | 1.7 | 1.9 | 5.5 | 3.8 | 1.4 | 6.4 | ||
| A14 | Median | 98.0 | 110.6 | 52.2 | 16.5 | 0.0 | 31.7 | 54.3 | 8.2 | 185.1 | 0.0 |
| N = 10 | Mean * | 96.2 | 121.0 | 60.5 | 11.8 | 0.4 | 33.3 | 21.4 | 9.7 | 206.1 | 0.3 |
| SD * | 4.5 | 2.5 | 3.0 | 9.9 | 5.2 | 1.9 | 8.9 | 2.7 | 1.6 | 5.9 | |
| A15 | Median | 42.1 | 110.0 | 33.4 | 0.5 | 0.0 | 44.9 | 26.1 | 13.8 | 158.6 | 1.9 |
| N = 10 | Mean * | 45.8 | 117.5 | 45.6 | 1.7 | 0.7 | 47.9 | 11.5 | 5.5 | 166.5 | 2.3 |
| SD * | 3.3 | 2.1 | 2.0 | 11.5 | 4.9 | 1.6 | 4.5 | 9.1 | 2.1 | 18.1 | |
| A16 | Median | 18.9 | 49.3 | 33.8 | 0.0 | 0.0 | 52.2 | 3.6 | 1.2 | 211.7 | 0.0 |
| N = 10 | Mean * | 15.7 | 50.9 | 21.2 | 0.4 | 0.7 | 33.5 | 1.5 | 0.7 | 205.7 | 0.4 |
| SD * | 3.0 | 2.0 | 1.6 | 4.1 | 6.9 | 4.8 | 8.1 | 9.1 | 1.6 | 6.8 | |
| A17 | Median | 54.5 | 139.8 | 60.9 | 8.6 | 11.4 | 61.3 | 20.6 | 0.0 | 195.0 | 4.2 |
| N = 10 | Mean * | 55.2 | 143.0 | 62.8 | 5.2 | 3.0 | 35.0 | 31.3 | 0.2 | 140.2 | 1.6 |
| SD * | 2.3 | 2.5 | 2.3 | 5.8 | 10.1 | 8.5 | 2.1 | 5.5 | 4.9 | 7.8 | |
| A18 | Median | 313.7 | 190.7 | 47.9 | 11.2 | 28.8 | 16.5 | 22.2 | 0.0 | 67.1 | 0.0 |
| N = 10 | Mean * | 241.5 | 137.5 | 57.9 | 9.6 | 16.8 | 11.8 | 7.5 | 0.3 | 57.2 | 0.6 |
| SD * | 4.0 | 2.3 | 2.2 | 8.9 | 6.6 | 5.1 | 13.1 | 8.9 | 8.1 | 10.6 |
| Nr | Accession | Species | Date | Country of Origin | Acquisition from |
|---|---|---|---|---|---|
| A2 | CONI 2 | Conium maculatum | 1952 | unknown | BG Bucharest |
| A3 | CONI 3 | Conium maculatum | 1953 | unknown | BG Krakow |
| A4 | CONI 4 | Conium maculatum | 1975 | France | BG Frankfurt |
| A5 | CONI 5 | Conium maculatum | 1990 | Georgia | Georg. SSR |
| A7 | CONI 7 | Conium maculatum | 2002 | Germany | BAZ |
| A8 | CONI 8 | Conium maculatum | 2002 | Germany | BAZ |
| A9 | CONI 9 | Conium maculatum | 2002 | Germany | BAZ |
| A10 | CONI 10 | Conium maculatum | 2000 | Russia | BG Halle/Saale |
| A11 | CONI 11 | Conium maculatum | 2002 | Germany | BAZ |
| A12 | CONI 12 | Conium maculatum | 2002 | Germany | BAZ |
| A13 | CONI 13 | Conium maculatum | 2002 | Germany | BAZ |
| A14 | CONI 14 | Conium maculatum | 2002 | Germany | BAZ |
| A15 | CONI 15 | Conium maculatum | 2002 | Germany | BAZ |
| A16 | CONI 16 | Conium maculatum | 2002 | Germany | BAZ |
| A17 | CONI 17 | Conium maculatum | 2002 | Italy | BAZ |
| A18 | CONI 18 | Conium maculatum | 2002 | Germany | BAZ |
© 2020 by the authors. Licensee MDPI, Basel, Switzerland. This article is an open access article distributed under the terms and conditions of the Creative Commons Attribution (CC BY) license (http://creativecommons.org/licenses/by/4.0/).
Share and Cite
Chizzola, R.; Lohwasser, U. Diversity of Secondary Metabolites in Roots from Conium maculatum L. Plants 2020, 9, 939. https://doi.org/10.3390/plants9080939
Chizzola R, Lohwasser U. Diversity of Secondary Metabolites in Roots from Conium maculatum L. Plants. 2020; 9(8):939. https://doi.org/10.3390/plants9080939
Chicago/Turabian StyleChizzola, Remigius, and Ulrike Lohwasser. 2020. "Diversity of Secondary Metabolites in Roots from Conium maculatum L." Plants 9, no. 8: 939. https://doi.org/10.3390/plants9080939
APA StyleChizzola, R., & Lohwasser, U. (2020). Diversity of Secondary Metabolites in Roots from Conium maculatum L. Plants, 9(8), 939. https://doi.org/10.3390/plants9080939

