Polarization Insensitive, Broadband, Near Diffraction-Limited Metalens in Ultraviolet Region
Abstract
1. Introduction
2. Materials and Methods
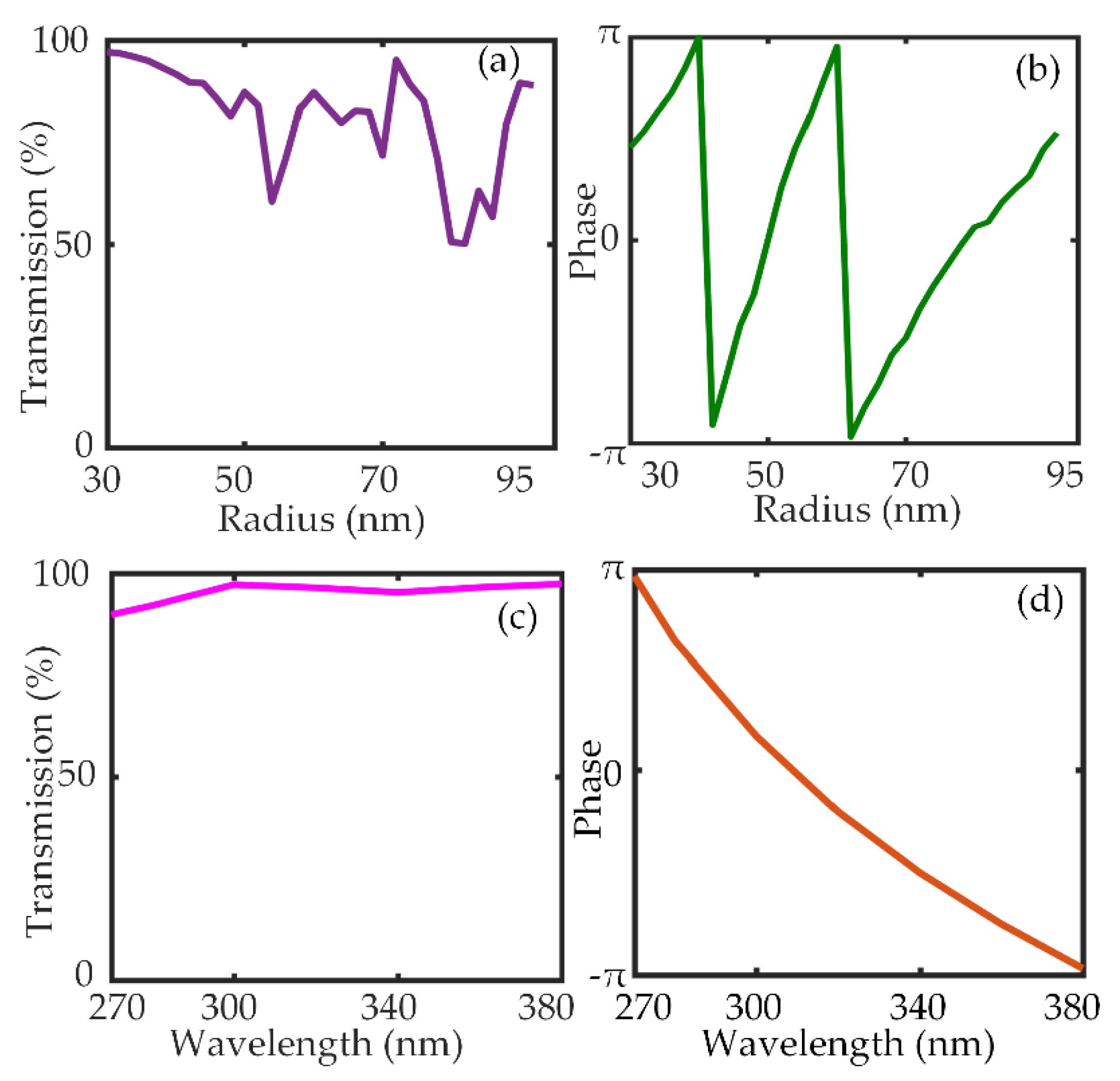
3. Design, Results, and Discussion
4. Conclusions
Supplementary Materials
Author Contributions
Funding
Conflicts of Interest
References
- Lin, B.-J. Immersion lithography and its impact on semiconductor manufacturing. J. Micro/Nanolithogr. MOEMS 2004, 3, 377–501. [Google Scholar] [CrossRef]
- Abdollahramezani, S.; Taghinejad, H.; Fan, T.; Kiarashinejad, Y.; Eftekhar, A.A.; Adibi, A. Reconfigurable multifunctional metasurfaces employing hybrid phase-change plasmonic architecture. arXiv 2018, arXiv:1809.08907. Available online: https://arxiv.org/abs/1809.08907 (accessed on 15 February 2020).
- Zhang, M.; Pu, M.; Zhang, F.; Guo, Y.; He, Q.; Ma, X.; Huang, Y.; Li, X.; Yu, H.; Luo, X. Plasmonic metasurfaces for switchable photonic spin—Orbit interactions based on phase change materials. Adv. Sci. 2018, 5, 1800835. [Google Scholar] [CrossRef] [PubMed]
- Wen, J.; Feng, H.; Chen, J.; Wang, K.; Lv, Y.; Zhong, Y.; Zhang, D. Plasmonic holographic metasurfaces for generation of vector optical beams. IEEE Photonics J. 2017, 9, 1–8. [Google Scholar] [CrossRef]
- Merlin, R. Radiationless electromagnetic interference: Evanescent-field lenses and perfect focusing. Science 2007, 317, 927–929. [Google Scholar] [CrossRef] [PubMed]
- Khorasaninejad, M.; Ambrosio, A.; Kanhaiya, P.; Capasso, F. Broadband and chiral binary dielectric meta-holograms. Sci. Adv. 2016, 2, e1501258. [Google Scholar] [CrossRef] [PubMed]
- Bai, W.; Yang, P.; Huang, J.; Chen, D.; Zhang, J.; Zhang, Z.; Yang, J.; Xu, B. Near-infrared tunable metalens based on phase change material Ge 2 Se 2 Te 5. Sci. Rep. 2019, 9, 1–9. [Google Scholar] [CrossRef]
- Sun, S.; Zhou, Z.; Zhang, C.; Gao, Y.; Duan, Z.; Xiao, S.; Song, Q. All-dielectric full-color printing with TiO2 metasurfaces. ACS Nano 2017, 11, 4445–4452. [Google Scholar] [CrossRef]
- Wang, S.; Wu, P.C.; Su, V.-C.; Lai, Y.-C.; Chen, M.-K.; Kuo, H.Y.; Chen, B.H.; Chen, Y.H.; Huang, T.-T.; Wang, J.-H. A broadband achromatic metalens in the visible. Nat. Nanotechnol. 2018, 13, 227–232. [Google Scholar] [CrossRef]
- Maguid, E.; Yulevich, I.; Yannai, M.; Kleiner, V.; Brongersma, M.L.; Hasman, E. Multifunctional interleaved geometric-phase dielectric metasurfaces. Light Sci. Appl. 2017, 6, e17027. [Google Scholar] [CrossRef]
- Chen, M.K.; Wu, P.C.; Tsai, W.-Y.; Wang, H.-C.; Chen, J.-W.; Liao, C.Y.; Chu, C.H.; Sun, G.; Tsai, D.P. Versatile Polarization Generation by Using Aluminum Plasmonic Metasurface. In Proceedings of the Frontiers in Optics, Washington, DC, USA, 18–21 September 2017; p. JW3A. 110. [Google Scholar]
- Arbabi, A.; Horie, Y.; Bagheri, M.; Faraon, A. Dielectric metasurfaces for complete control of phase and polarization with subwavelength spatial resolution and high transmission. Nat. Nanotechnol. 2015, 10, 937. [Google Scholar] [CrossRef]
- Ahmadivand, A.; Semmlinger, M.; Dong, L.; Gerislioglu, B.; Nordlander, P.; Halas, N.J. Toroidal dipole-enhanced third harmonic generation of deep ultraviolet light using plasmonic meta-atoms. Nano Lett. 2018, 19, 605–611. [Google Scholar] [CrossRef]
- Ahmadivand, A.; Gerislioglu, B.; Ramezani, Z. Gated graphene island-enabled tunable charge transfer plasmon terahertz metamodulator. Nanoscale 2019, 11, 8091–8095. [Google Scholar] [CrossRef] [PubMed]
- Bai, W.; Yang, P.; Wang, S.; Huang, J.; Chen, D.; Zhang, Z.; Yang, J.; Xu, B. Tunable duplex metalens based on phase-change materials in communication range. Nanomaterials 2019, 9, 993. [Google Scholar] [CrossRef] [PubMed]
- Yu, B.; Wen, J.; Chen, X.; Zhang, D. An achromatic metalens in the near-infrared region with an array based on a single nano-rod unit. Appl. Phys. Express 2019, 12, 092003. [Google Scholar] [CrossRef]
- Jahani, S.; Jacob, Z. All-dielectric metamaterials. Nat. Nanotechnol. 2016, 11, 23. [Google Scholar] [CrossRef]
- Yu, N.; Capasso, F. Flat optics with designer metasurfaces. Nat. Mater. 2014, 13, 139–150. [Google Scholar] [CrossRef]
- Li, L.; Cui, T.J.; Ji, W.; Liu, S.; Ding, J.; Wan, X.; Li, Y.B.; Jiang, M.; Qiu, C.-W.; Zhang, S. Electromagnetic reprogrammable coding-metasurface holograms. Nat. Commun. 2017, 8, 1–7. [Google Scholar] [CrossRef]
- Choudhury, S.M.; Wang, D.; Chaudhuri, K.; DeVault, C.; Kildishev, A.V.; Boltasseva, A.; Shalaev, V.M. Material platforms for optical metasurfaces. Nanophotonics 2018, 7, 959–987. [Google Scholar] [CrossRef]
- Kiarashinejad, Y.; Abdollahramezani, S.; Adibi, A. Deep learning approach based on dimensionality reduction for designing electromagnetic nanostructures. npj Comput. Mater. 2020, 6, 1–12. [Google Scholar] [CrossRef]
- Yang, H.; Cao, G.; Shang, X.; Li, T.; Yang, G.; Li, G. Anisotropic metasurfaces for efficient polarization independent wavefront steering. J. Phys. D Appl. Phys. 2019, 53, 045104. [Google Scholar] [CrossRef]
- Arbabi, A.; Faraon, A. Fundamental limits of ultrathin metasurfaces. Sci. Rep. 2017, 7, 43722. [Google Scholar] [CrossRef] [PubMed]
- Hong, X.; Feng, S.; Guo, H.; Li, C. A beam deflector with dielectric metasurfaces in the terahertz region. Laser Phys. 2019, 30, 016204. [Google Scholar] [CrossRef]
- Yu, B.; Wen, J.; Chen, L.; Zhang, L.; Fan, Y.; Dai, B.; Kanwal, S.; Lei, D.; Zhang, D. Polarization-independent highly efficient generation of Airy optical beams with dielectric metasurfaces. Photonics Res. 2020, 8, 1148–1154. [Google Scholar] [CrossRef]
- Proust, J.; Bedu, F.; Gallas, B.; Ozerov, I.; Bonod, N. All-dielectric colored metasurfaces with silicon Mie resonators. ACS Nano 2016, 10, 7761–7767. [Google Scholar] [CrossRef] [PubMed]
- Khorasaninejad, M.; Shi, Z.; Zhu, A.Y.; Chen, W.-T.; Sanjeev, V.; Zaidi, A.; Capasso, F. Achromatic metalens over 60 nm bandwidth in the visible and metalens with reverse chromatic dispersion. Nano Lett. 2017, 17, 1819–1824. [Google Scholar] [CrossRef]
- Ollanik, A.J.; Smith, J.A.; Belue, M.J.; Escarra, M.D. High-efficiency all-dielectric Huygens metasurfaces from the ultraviolet to the infrared. ACS Photonics 2018, 5, 1351–1358. [Google Scholar] [CrossRef]
- Zhang, C.; Divitt, S.; Fan, Q.; Zhu, W.; Agrawal, A.; Lu, Y.; Xu, T.; Lezec, H.J. Low-loss metasurface optics down to the deep ultraviolet region. Light Sci. Appl. 2020, 9, 1–10. [Google Scholar] [CrossRef]
- Ahmed, H.; Rahim, A.A.; Maab, H.; Ali, M.M.; Naureen, S. Polarization insensitive all-dielectric metasurfaces for the ultraviolet domain. Opt. Mater. Express 2020, 10, 1083–1091. [Google Scholar] [CrossRef]
- Hu, M.; Wei, Y.; Cai, H.; Cai, Y. Polarization-insensitive and achromatic metalens at ultraviolet wavelengths. J. Nanophotonics 2019, 13, 036015. [Google Scholar] [CrossRef]
- Zhang, C.; Divitt, S.; Fan, Q.; Zhu, W.; Agrawal, A.; Xu, T.; Lezec, H.J. All-dielectric deep ultraviolet metasurfaces. In Proceedings of the CLEO: QELS_Fundamental Science, San Jose, CA, USA, 5–10 May 2019; p. FM3C. 3. [Google Scholar]
- Guo, L.; Xu, S.; Wan, R.; Li, T.; Xiong, L.; Wang, L.; Zhu, W. Design of aluminum nitride metalens in the ultraviolet spectrum. J. Nanophotonics 2018, 12, 043513. [Google Scholar]
- Huang, K.; Deng, J.; Leong, H.S.; Yap, S.L.K.; Yang, R.B.; Teng, J.; Liu, H. Ultraviolet Metasurfaces of ≈80% Efficiency with Antiferromagnetic Resonances for Optical Vectorial Anti-Counterfeiting. Laser Photonics Rev. 2019, 13, 1800289. [Google Scholar] [CrossRef]
- Kanwal, S.; Wen, J.; Yu, B.; Kumar, D.; Chen, X.; Kang, Y.; Bai, C.; Zhang, D. High-Efficiency, Broadband, Near Diffraction-Limited, Dielectric Metalens in Ultraviolet Spectrum. Nanomaterials 2020, 10, 490. [Google Scholar] [CrossRef]
- Palik, E.D.; Ghosh, G. Electronic Handbook of Optical Constants of Solids: User Guide; Academic Press: Cambridge, MA, USA, 1999. [Google Scholar]
- Khorasaninejad, M.; Chen, W.T.; Devlin, R.C.; Oh, J.; Zhu, A.Y.; Capasso, F. Metalenses at visible wavelengths: Diffraction-limited focusing and subwavelength resolution imaging. Science 2016, 352, 1190–1194. [Google Scholar] [CrossRef] [PubMed]
- Khorasaninejad, M.; Zhu, A.Y.; Roques-Carmes, C.; Chen, W.T.; Oh, J.; Mishra, I.; Devlin, R.C.; Capasso, F. Polarization-insensitive metalenses at visible wavelengths. Nano Lett. 2016, 16, 7229–7234. [Google Scholar] [CrossRef]





| Reference | Material | Wavelength (nm) | Incident Light | NA |
|---|---|---|---|---|
| Guo et al. [33] | AlN | 244–375 | CP | >0.1 |
| Huang et al. [34] | Nb2O5 | 355 | CP | Not mentioned |
| Hu et al. [31] | AlN | 234–274 | Polarization Insensitive | >0.1 |
| Zhang et al. [29] | HfO2 | 325 | Polarization Insensitive | 0.6 |
| Our Work | Si3N4 | 270–380 | Polarization Insensitive | 0.86 |
© 2020 by the authors. Licensee MDPI, Basel, Switzerland. This article is an open access article distributed under the terms and conditions of the Creative Commons Attribution (CC BY) license (http://creativecommons.org/licenses/by/4.0/).
Share and Cite
Kanwal, S.; Wen, J.; Yu, B.; Chen, X.; Kumar, D.; Kang, Y.; Bai, C.; Ubaid, S.; Zhang, D. Polarization Insensitive, Broadband, Near Diffraction-Limited Metalens in Ultraviolet Region. Nanomaterials 2020, 10, 1439. https://doi.org/10.3390/nano10081439
Kanwal S, Wen J, Yu B, Chen X, Kumar D, Kang Y, Bai C, Ubaid S, Zhang D. Polarization Insensitive, Broadband, Near Diffraction-Limited Metalens in Ultraviolet Region. Nanomaterials. 2020; 10(8):1439. https://doi.org/10.3390/nano10081439
Chicago/Turabian StyleKanwal, Saima, Jing Wen, Binbin Yu, Xu Chen, Dileep Kumar, Yi Kang, Chunyan Bai, Saima Ubaid, and Dawei Zhang. 2020. "Polarization Insensitive, Broadband, Near Diffraction-Limited Metalens in Ultraviolet Region" Nanomaterials 10, no. 8: 1439. https://doi.org/10.3390/nano10081439
APA StyleKanwal, S., Wen, J., Yu, B., Chen, X., Kumar, D., Kang, Y., Bai, C., Ubaid, S., & Zhang, D. (2020). Polarization Insensitive, Broadband, Near Diffraction-Limited Metalens in Ultraviolet Region. Nanomaterials, 10(8), 1439. https://doi.org/10.3390/nano10081439
