Abstract
The reaction of either the L (2S3R) or D (2R3S) enantiomers of H2N-C*H(R)CO2− (R = -C*H(OH)CH3 or -C*H(OH)CH(CH3)2) and the L (2S) or D (2R) enantiomers of H2N-C*H(C(CH3)2OH)CO2− with imidazole-4-carboxaldehyde and nickel(II) acetate in methanol yields a single stereoisomer of an oxazolidine. There is retention of chirality on ring positions 4 and 5 (if Cβ is chiral) of the oxazolidine, Cα and Cβ of the parent amino acid, and transfer of chirality to the newly generated stereogenic centers, ring positions 3, the amino acid nitrogen atom, NAA, and 2, the aldehyde carbon atom, Cald. Specifically, when Cα has an S configuration, both NAA and Cald are formed as R. Likewise, a Cα which is R results in both NAA and Cald being formed as S. For example, the reaction of L threonine (Cα is S and Cβ is R) with 4-imidazolecarboxaldehyde in the presence of nickel(II) gives the facial Λ NiL2, where L is (2R, 3R, 4S, 5R) 4-carboxylato-5-methyl-2-(4-imidazolyl)-1,3-oxazolidine. The same reaction with D threonine produces the enantiomeric Δ complex of (2S, 3S, 4R, 5S) 4-carboxylato-5-methyl-2-(4-imidazoyl)-1,3-oxazolidine. The high stereospecificity is thought to be based on the fused three-ring structure of the characterized nickel complexes in which the hydrogen atoms of Cα, NAA, and Cald must be cis to one another. Identical reactions occur with 2-pyridine carboxaldehyde and LT or DT. In contrast, the reactions of L allo threonine (2S3S) and the primary alcohols, L or D serine, give the conventional meridionally coordinated aldimine product.
1. Introduction
The five-membered oxazolidine ring and its metal complexes have been recently investigated for asymmetric catalysis [1,2], antimicrobial effects [3], DNA binding [4], anticancer effectiveness [5,6] and a variety of industrial uses [7,8,9]. Oxazolidines are most commonly formed by reaction of a 1,2 amino alcohol, NH2CHRCHR’OH, with an aldehyde to give an imine which cyclizes on attack of the hydroxyl nucleophile on the electrophilic imine carbon atom [10,11]. Oxazolidine ring formation is also an integral step in serine (S) threonine (T) ligation (STL), which is a solid-state synthetic method for coupling two smaller polypeptides to form a larger polypeptide [12,13,14,15]. STL (see Figure 1) involves the formation of a salicylaldehyde ester on the carboxylic acid end of one polypeptide chain and subsequent imine formation by reaction of the aldehyde with the amino group of an incoming polypeptide having an N terminal S or T residue. Attack of the S or T hydroxyl group on the electrophilic imine carbon atom and proton transfer gives an oxazolidine ring. Acyl transfer and hydrolysis of the salicylaldimine fragment complete the coupling of the two original polypeptides.
Figure 1.
Sketch of serine (R = H) threonine (R = CH3) ligation (STL) method of coupling an N terminal residue with S or T residue to another polypeptide. The proposed mechanism goes through an oxazolidine, whose numbering is depicted.
Despite the success of STL, there are no reported oxazolidines in the Cambridge Structural Database (CSD) prepared from salicylaldehyde or derivatives with S or T. Schiff base condensates of S and T with salicylaldehyde form the aldimine, not an oxazolidine [16,17,18,19,20], and bind meridionally to a metal. For all the known S or T Schiff base complexes of an aldehyde, other than formaldehyde, the hydroxyl group of the beta carbon atom is not bound to the metal ion, and the -CH2OH or -CH(CH3)OH group simply branches off Cα and does not interact with the imine carbon or metal atom. The failure to isolate oxazolidines in the reaction of S or T with salicylaldehyde may be due to the poor electrophilicity of the aldehyde carbon atom [21,22]. In contrast to reactions of the poorly electrophilic salicylaldehyde, the very electrophilic formaldehyde reacts with both T [23] and metal complexes [24,25,26] of S and T to form oxazolidines.
A limitation of the product of the reaction of an amino alcohol or a beta hydroxy amino acid, βOHAA, such as T, with the very electrophilic formaldehyde is that the resultant oxazolidine would not contain a stereogenic center at ring position 2 (the former aldehyde carbon atom). Thus, chirality transfer [27,28,29], the creation of new stereogenic center(s) with a specific R or S configuration in an achiral substance on reaction with a chiral substance, cannot be observed with formaldehyde because it is not a prochiral aldehyde. A striking example of chirality transfer is observed in a reaction of a prochiral aldehyde [30], as described below and shown in Figure 2. The reaction of (R or S) phenyl- glycinol, NH2C*H(Ph)CH2OH, with a methoxy salicylaldehyde in the presence of nickel(II) resulted in oxazolidine complexes with three adjacent stereogenic centers, C*Phenylglycinol-N*Phenylglycinol-C*ald.
Figure 2.
Chirality transfer in the reaction of chiral phenylglycinol with a salicylaldehyde, a prochiral aldehyde. On further reaction with nickel(II), the imine ligand gives the illustrated oxazolidine. Note the three-atom sequence in the product, C*Phenyl glycinol-N*Phenylglycinol-C*ald, is SRS or RSR for S or R phenylglycinol, respectively. An * after the symbol of an atom indicates that it is chiral.
The chirality of the oxazolidine complexes was determined by the chirality of the commercially available enantiomerically pure R or S phenylglycinol starting material. S phenylglycinol gave only SRS for the C*Phenylglycinol-N*Phenylglycinol-C*ald sequence, and the R starting material gave only the RSR product. It is not clear from the structures of these products why this stereochemical outcome occurs, but it does occur.
This work significantly extends the examples of chirality transfer through the preparation of an oxazolidine via the reaction of less reactive beta hydroxy amino acids, βOHAA (compared to 1,2 amino alcohols), with a sufficiently electrophilic [21,22] prochiral aldehyde, R-CH=O. βOHAAs are useful for several reasons. βOHAAs are readily available as both R and S enantiomers. Their use introduces the carboxylic acid functional group (or its derivatives) into the ring and a stereogenic center at ring position 4, Cα. Ring position 5, Cβ of the AA, may also be a stereogenic center, and the substituent on it can be varied. The parent prochiral aldehyde carbon atom (Cald) at ring position 2 introduces both another stereogenic center and another substituent, which can also be varied, at this position. Successful use of the βOHAA, as shown here, creates oxazolidines with multiple stereogenic centers (ring positions 2, 3, 4, and 5) and a variety of substituents at ring positions 2 (Cald), 4 (Cα), and 5 (Cβ).
2. Results and Discussion
2.1. Approach, Ligands Employed, and Reactions Examined
As mentioned in the introduction, the use of formaldehyde in reactions with βOHAA gives oxazolidines that lack a stereogenic center at ring position 2. Furthermore, while the use of salicylaldehyde would give a stereogenic center here, its reaction gives only imines and, to date, has not resulted in oxazolidines. The approach reported here to address the two problems of the relatively low electrophilicity [21,22] of salicylaldehyde with S or T to form oxazolidines and the lack of a prochiral atom at ring position 2 of the oxazolidine was to investigate the reaction of the nitrogenous carboxaldehydes shown in Figure 3. The use of these aldehydes addresses both issues. The inductive effect of the electronegative nitrogen atom in the aromatic ring may enhance the electrophilicity of Cald to nucleophilic attack by the hydroxyl group of the β carbon atom. Additionally, their Cald atoms are prochiral, which may allow for observation of chirality transfer.
Figure 3.
Line drawings and abbreviations of aldehydes employed in this study.
The βOHAAs selected for reactions with the nitrogenous prochiral aldehydes are sketched in Figure 4. All are commercially available as the L and D enantiomers which provide a stereogenic center at ring position 4, Cα. In addition, three of the βOHAAs have a stereogenic center at ring position 5, Cβ.
Figure 4.
The L ((left) hand side) and D ((right) hand side) enantiomers of the five βOHAAs examined. One-letter symbols are used for serine (S), threonine (T), valine (V), and leucine (L). For LT and LβOHL, Cα is S and Cβ is R, while for the D enantiomers, Cα is R and Cβ is S. For L and D, βOHV Cα is S and R, respectively, and Cβ is achiral. For LalloT, both Cα and Cβ are S, and in the enantiomer, both are R.
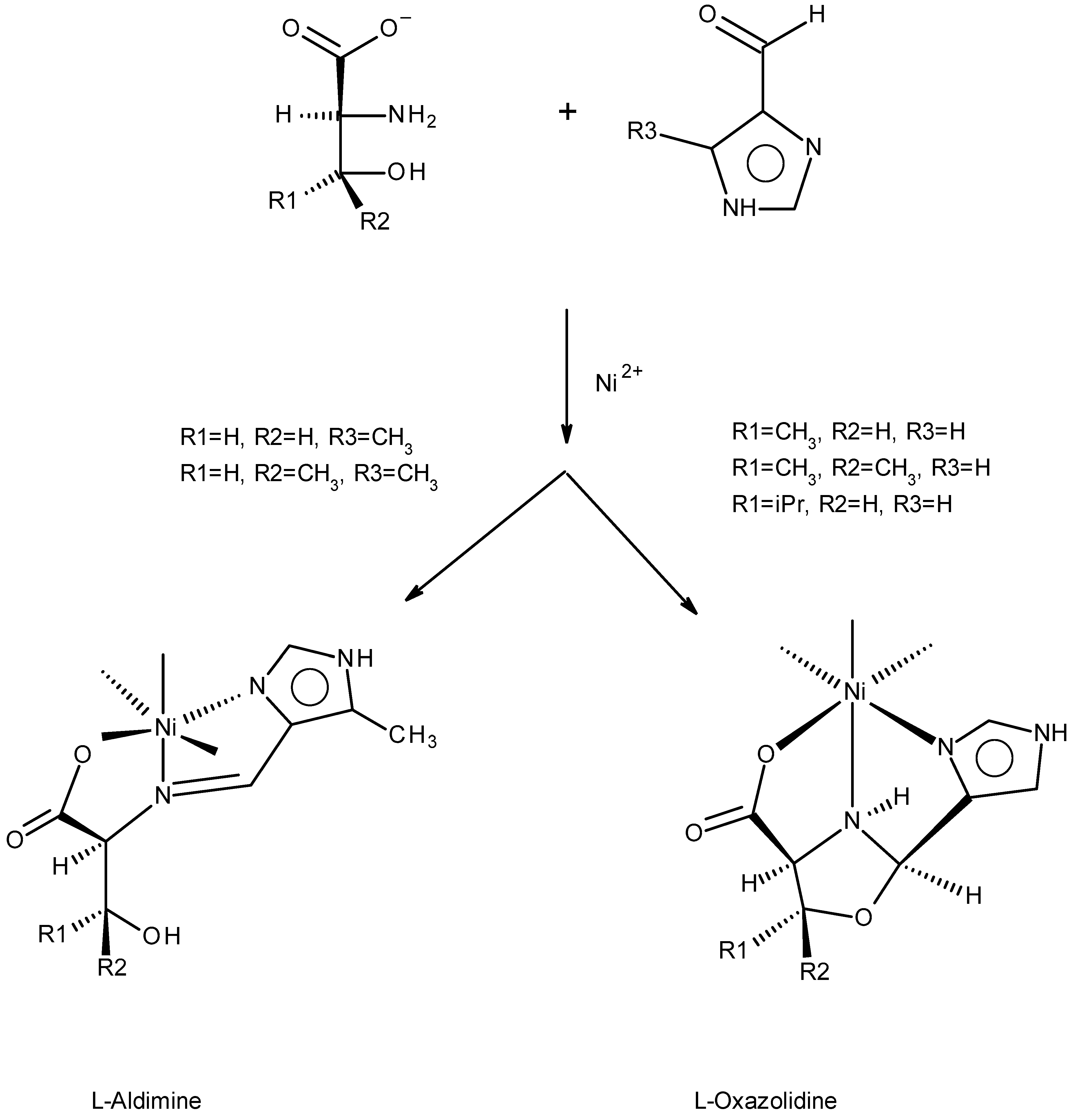
Reactions were conducted with a nitrogenous carboxaldehyde from Figure 3 and a βOHAA from Figure 4. Not every combination of a nitrogenous carboxaldehyde and a βOHAA was examined, in part due to cost of the βOHAAs, but also to concentrate on crystalline products from which chirality transfer information might be obtained. Most reactions were conducted with 4Im or 5Me4Im as these proved most suitable for forming crystals. In a reaction, equimolar amounts of the anions of the βOHAAs were refluxed with an aldehyde in aqueous methanol for thirty minutes followed by the addition of half an equivalent of nickel(II) acetate. All of the reaction mixtures were blue initially and over time deposited blue or purple crystals. These products were subsequently determined to be aldimine (blue) and oxazolidine (purple) as shown in Figure 5.
Figure 5.
The reaction of the L enantiomer of the βOHAAs with either 4Im or 5Me4Im. The products of LS with 5Me4Im and LT with 4Im are labeled Ni(LSAld5Me4Im)2 and Ni(LTOx4Im)2, respectively. Use of the D enantiomer of the βOHAA results in formation of the enantiomer of the pictured product.
In the reaction of a βOHAA (an amine and also a 1,2 amino alcohol) with an aldehyde, there are two equilibria involved: the amine and aldehyde to give an aldimine (imine) and the amino alcohol and an aldehyde to give an oxazolidine. Figure 5 states which isomeric product, aldimine or oxazolidine, is formed for the reactions examined. Under different reaction conditions, other outcomes may be observed. No mechanistic studies are included in this report; only the characterization of the products is provided. The abbreviations of the ligands, aldimine or oxazolidine, are simply the symbols of the βOHAA (Figure 4) followed by that of the aldehyde (Figure 3). For example, the complexes prepared by reaction of L serine with 5Me4Im and L threonine with 4Im are Ni(LSAld5Me4Im)2 and Ni(LTOx4Im)2, respectively. The superscript of Ald or Ox after the βOHAA symbol serves as a reminder to the reader that the product is an aldimine or an oxazolidine.
The six L and D complexes of T, βOHV, and βOHL with 4Im and the two L and D complexes of T with Py presented here are unprecedented as they are the first report of oxazolidine formation from the reaction of a βOHAA with a prochiral aldehyde. Further, transfer of chirality is observed in all products, not only to ring position 2, the former Cald, but also to ring position 3, NAA.
2.2. Preliminary Characterization
FTIR spectra were recorded and provided in the ESI for every crystalline sample. These were not very helpful as all of the complexes show a strong carboxylate band and also all crystallize as hydrates which have broad absorption that overlap with N-H and C-H regions of interest. EA data and ESIMS were obtained for one of the two enantiomers of every βOHAA complex and provide independent determinations of the formulas. There was close agreement between the found and calculated values for the %C, %H, and %N values. ESIMS was useful, as a prominent molecular ion—[M + H]+, [M + Na]+, or [M + K]+—was always observed. UV-vis spectra were not obtained as the solids obtained from the reaction mixtures were not sufficiently soluble to obtain spectra. This insolubility also precludes the acquisition of NMR, CD, or optical rotation data.
2.3. Nickel Coordination Environment
The crystallographic information for the eight oxazolidine and three aldimine complexes is given in Table S1 in the ESI. In all of the eleven reported complexes, the nickel(II) ion is coordinated by two identical N2O ligands. The NiN4O2 coordination environment is a slightly distorted octahedron. Selected structural parameters to illustrate the coordination geometry are given in Table S2. The donor atoms, NIm (or NPy), NAA, and OCA, as well as the other atoms discussed, are shown in Figure 6.
Figure 6.
Labeling of the donor atoms of the aldimine (left) and oxazolidine (right) complexes, OCA, NAA, and NIm and the other ligand atoms that define the chelate rings, CCA, Cα, Cβ, OOx, CIm, and Cald. If Py rather than Im is used as the aldehyde, the NIm and CIm symbols are replaced with NPy and CPy.
Structural similarities and differences between the aldimine and oxazolidine complexes are given below. There is no significant structural difference among the structures of the present aldimine complexes, Ni(LSAld5Me4Im)2, Ni(DSAld5Me4Im)2, and Ni(LalloTAld5Me4Im)2, and those reported earlier from reactions of an AA and 2-pyridinecarboxaldehyde [31] or 4-imidazole carboxaldehyde [32,33]. All are meridionally coordinated through the OCA, NAA, and NIm (or NPy) atoms with a trans NAA-Ni-NAA′ angle > 170° and trans OCA-Ni-N(Py/Im) of ~156°. Meridional, rather than facial, coordination is required due to the rigid backbone of the ligand imposed by the imine double bond in the middle of the ligand between NAA and Cald. No further discussion of the three new blue aldimine complexes is provided as they do not represent a new structural motif. A discussion of reactivity differences between the three βOHAAs that give an aldimine (LS and DS and LalloT) and the six (L and D) complexes of T, βOHV, and βOHL that give an oxazolidine is provided in Section 2.6. There are no previously reported meridionally coordinated complexes of a βOHAA with either a pyridine or an imidazole carboxaldehyde. However, with a low-valent metal, the Schiff base complexes of 2-pyridinecarboxaldehyde with serine are bound in a bidentate manner through NPy and NAA [34].
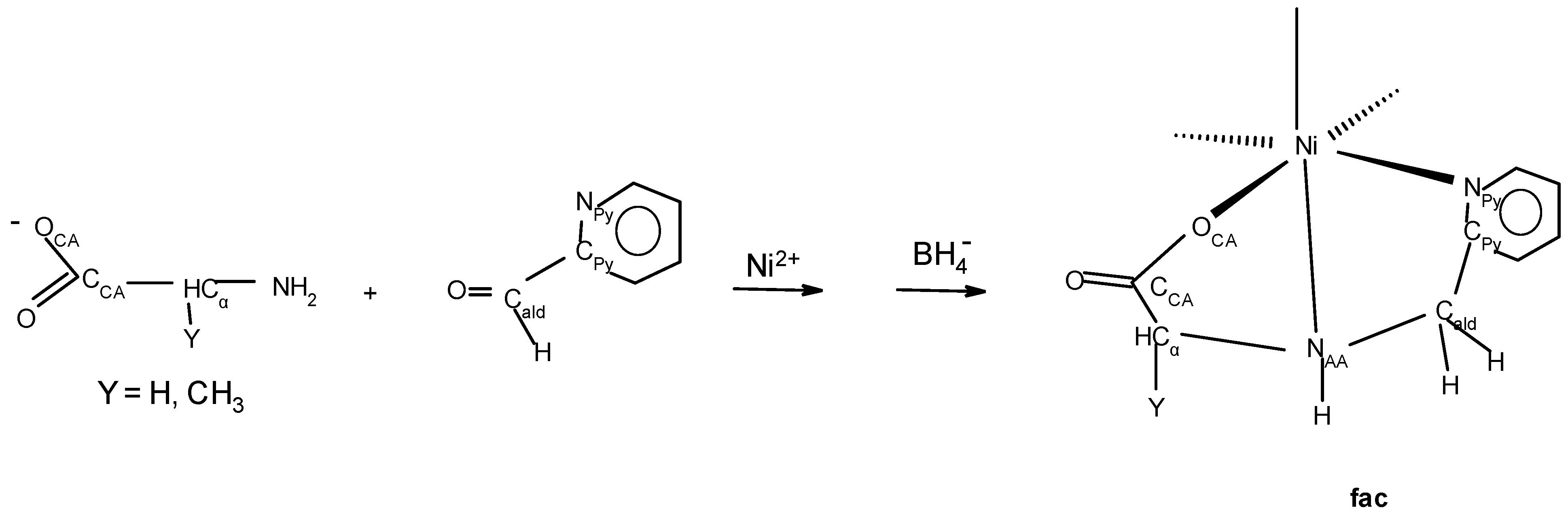
In the eight unprecedented oxazolidine complexes, the nickel(II) ion is bound in a cis facial (cis NAA and NAA′ atoms) manner [35] with trans axes of NIm/Py-Ni-NIm/Py, OCA-Ni-NAA′, and OCA′-Ni-NAA. In order for the Schiff base of an AA and a carboxaldehyde to coordinate in a facial manner, the planar aldimine ligand must fold together along its M-NAA axis so that the OCA-Ni-NIm/Py angle of the ligand decreases from ~156° to ~90°, which requires breaking of the NAA=Cald double bond. Facial coordination has been observed in the nickel complexes of PyCH2NHCH(R)CO2− (R = H or CH3) [36] (OCA-Ni-NPy of ~90°) prepared by borohydride reduction of PyCH=NCH(R)CO2−, as shown in Figure 7.
Figure 7.
The reaction of the anion of glycine or L alanine with 2-pyridinecarboxaldehyde gives the aldimine complex which on addition of Ni(II) and reduction of the imine gives facial coordination of the ligand.
In the present oxazolidine complexes, the NAA=Cald double bond is replaced by the NAA-Cald and Oox-Cald single bonds through formation of the oxazolidine ring. Both PyCH2NHCH(Y)CO2− and the present oxazolidine complexes have (NIm/pyNAAOCA)2 donor sets, are purple, exhibit cis facial coordination with trans NIm/Py atoms, and have~perpendicular NIm/py-Ni-OCA angles. The difference between them is that in the present complexes, there is a two-atom linkage, Cβ-Oox, that connects Cα to Cald as a result of oxazolidine formation, which drastically affects the overall shape.
2.4. Overall Shape of the Oxazolidine Complexes
Each of the eight tridentate oxazolidine ligands binds in a cis facial manner, resulting in the same shape for all of the complexes, as illustrated in Figure 8 for Ni(LTOx4Im)2. Each of the two facially coordinated ligands creates a pseudo-three-sided box. The bottom ligand in the figure is oriented to provide a clear view of the three sides, each consisting of a five-atom ring. These rings and their component atoms are the carboxylate (Ni, OCA, CCA, Cα, and NAA), imidazole (or Py) (Ni, NIm/Py, CIm/Py, Cald, and NAA), and oxazolidine (OOx, Cald, NAA, Cα, and Cβ) rings. The carboxylate and imidazole (or Py) sides share an edge, Ni-NAA, and both share edges with the oxazolidine ring, Cα-NAA and NAA-Cald, respectively. The NAA position is the only atom shared among the three pentagonal rings defined above. The labelings of the three rings and of all of the atoms in these rings are given in Figure 9.
Figure 8.
Ni(LTOx4Im)2 with omission of hydrogen atoms for clarity. The pseudo-three-sided box is easily seen for the bottom ligand. The five-atom carboxylate and imidazole sides are on the left and right, respectively, with the oxazolidine ring on the bottom. Note that the NAA atoms are cis and NIm atoms are trans. Color codes: Ni (green); O (red); N (purple); C (gray).
Figure 9.
The labeling of the three fused five-membered rings and their component atoms present in all eight βOHAA complexes (L and D enantiomers). The rings are far from coplanar. The carboxylate and imidazole/pyridine rings are ~perpendicular to one another and form the left and right sides of the pseudo-three-sided box. The oxazolidine ring forms the bottom of the box and is bent down from the two sides.
The carboxylate and imidazole (or py) sides are each nearly planar, as indicated by the relatively small out-of-plane displacements of their atoms. They are also nearly perpendicular to one another, which is suggested by the average OCA-Ni-NImPy angles (Table S2) of 91.9°. The bottom of the three-sided box is the non-planar oxazolidine ring, which is bent down from the carboxylate and imidazole (or Py) sides presumably to reduce the crowding/strain resulting from formation of the three-sided box. All of the bond distances and angles for each of the carboxylate, imidazole/pyridine, and oxazolidine sides are given in Table S3 of the ESI for the four LβOHAA complexes. There is remarkably little variation in any of these structural parameters among these homologous complexes (and of course their enantiomers) which may be attributable to the restrictions imposed by three fused non-planar rings. This is illustrated by examining the overlayed structures of Ni(LTOx4Im)2 and Ni(LβOHLOx4Im)2 shown in Figure 10. As can be seen, there are only small differences between the positions of most atoms, which may be imposed by the three fused rings.
Figure 10.
The overlayed structures of Ni(LTOx4Im)2 and Ni(LβOHLOx4Im)2. Hydrogen atoms have been omitted for clarity. The overlayed atoms are nickel and each of the six donor atoms in each complex. The RMS is 0.0861. Color codes: Ni (green); O (red); N (purple); C (gray).
While this structural motif has not been reported for the βOHAAs until now, it has been observed in the product of the reaction of the very nucleophilic cysteine with 2-pyridinecarboxaldehyde [37].
2.5. Chirality Transfer
The most important aspect of these structures is the stereochemistry of the two newly generated stereogenic centers, NAA and Cald, which is dictated by the constraints of the facial coordination of the ligand and the formation of the oxazolidine ring. This is most easily explained by examining the facial binding of one ligand of the Ni(LTOx4Im)2 and Ni(DTOx4Im)2 complexes, as depicted in Figure 11. The NAA and Cald atoms become stereogenic centers as each expands its coordination number from three to four on formation of the oxazolidine ring. The mechanism of formation of the oxazolidine ring has not been investigated for these reactions, but several changes must occur regardless of the sequence of reactions. Cald becomes four-coordinate when it forms bonds with both NAA and the hydroxyl group attached to Cβ and it undergoes water loss. NAA undergoes coordination expansion by picking up a hydrogen atom. In principle, either of the newly generated four-coordinate stereogenic centers, NAA and Cald (two on each ligand), could be either R or S. However, the constraints imposed by the facial coordination of the ligand and the formation of the oxazolidine ring require that NAA and Cald have the opposite stereochemical designation as Cα, which is explained below.
Figure 11.
Diagram of Ni(LTOx4Im)2 (left) and Ni(DTOx4Im)2 (right) complexes. The two are mirror images of one another. Only one of the ligands is shown for clarity. The important CαNAACald linkage is beneath the nickel and is SRR for LT and RSS for DT. Cβ is in the foreground and is R and S for LT and DT, respectively. Color codes: Ni (green); O (red); N (purple); C (gray); H (yellow).
The carboxylate (Ni-OCA-CCA-Cα-NAA) and imidazole/pyridine (Ni-NIm/Py-CIm/Py-Cald-NAA) rings are tethered to one another by the Cβ–OOX linkage. These constraints require that the Cα, NAA, and Cald hydrogen atoms be cis to one another, giving an SRR assignment for the Cα-NAA-Cald sequence of the LT product. It is not possible for either of the NAA or Cald hydrogen atoms to be trans to the Cα hydrogen atom of LT, as this would require the inversion of both the NAA and Cald atoms, which are bonded together and also bound to other atoms in the carboxylate, pyridine, and oxazolidine sides. The only outcome for the eventual bond formation between the beta hydroxyl group and Cald is to have the hydrogen atoms of NAA and Cald be cis to the Cα hydrogen atom. For the same reason, the Cα, NAA and Cald hydrogen atoms of the DT product must also be cis to one another, giving an RSS assignment for the Cα-NAA-Cald sequence. For the oxazolidine produced from both LT or DT, the hydrogen atom of Cβ is trans to the Cα, NAA, and Cald hydrogen atoms and allows the methyl group to be in the more open (in this case) cis position. The position of the methyl group in the LT or DT oxazolidine complexes is always cis to the Cα hydrogen atom and trans to the Cβ hydrogen atom as required by the stereochemistry.
This same result is found for the Ni(LTOxPy)2 and Ni(DTOxPy)2, Ni(LβOHVOx4Im)2 and Ni(DβOHVOx4Im)2, and Ni(LβOHLOx4Im)2 and Ni(DβOHLOx4Im)2 pairs of enantiomers as the same argument applies. The complexes of βOHVOx4Im lack a stereogenic center at Cβ, but the assignment of NAA and Cald is still the opposite of that of Cα as observed for the other βOHAAOx4Im complexes. The observation that the hydrogen atoms of Cα, NAA, and Cald are all cis, giving SRR and RSS for the three-atom sequence, of the LβOHAAox and DβOHAAOx complexes, respectively, is similar to what is found in the structure of the hydrocarbon, bivalvane [38], a proposed precursor to dodecahedrane, as shown in Figure 12. The present oxazolidine complexes and bivalvane are quite distinct but share an identical feature. They exhibit a pseudo-three-sided box in which each side is made up of five atoms, and the hydrogen atoms of the three-atom sequence that links the sides together (all C for bivalvane and Cα, NAA, and Cald for the oxazolidines) are cis.
Figure 12.
Structure of bivalvane, (C10H15)2, showing one of the two fused three five-membered rings. The three atoms that link the rings together and their hydrogen atoms are shown as spheres to highlight the linkage. Note that the three hydrogen atoms of the linkage are all cis, as are the present oxazolidine complexes. Color codes: C (gray); H (yellow).
Table 1 provides a summary of the remarkable stereospecificity observed for these complexes. LalloT (both Cα and Cβ are S), which gives an aldimine, is a special case as explained in Section 2.6. Table 1 also shows that the Ʌ and Δ oxazolidine complexes correlate with a Cα of S and R, respectively. This type of transfer of chirality, also referred to as induced stereoselectivity, has been observed in complexes of amino acids [39,40,41] and is easy to understand. When multiple polydentate chiral L AA ligands chelate to a metal, the resulting metal complexes will be both Δ and Ʌ, while the configuration of Cα is locked in as S since the rate of racemization of Cα atoms is relatively slow. These metal chelates, designated as ΔCα(S) and ɅCα(S), are diastereomers, and unlike enantiomers, differ in energy and solubility. During crystallization, the less soluble form, either ΔCα(S) or ɅCα(S), is isolated since the rates of racemization for many metal chelates are fast. The preference for either ΔCα(S) or ɅCα(S) is a correlation of chirality based on either an energetic or solubility difference between the ΔCα(S) and ɅCα(S) diastereomers. For these oxazolidine complexes, ɅCα(S) is observed while ΔCα(S) is not. For the aldimine complexes, Table 1 shows a correlation of Δ with Cα(S) and Ʌ with Cα(R), which is opposite to that of the oxazolidines. This is not surprising as the aldimines and oxazolidines are different classes of compounds and cannot be compared directly. The observed chirality correlation of these aldimine complexes is identical to that reported earlier [32,33] for other aldimines of AA and imidazole aldehydes as anticipated.
Table 1.
Assignments for stereogenic centers in complexes.
2.6. Preliminary Reactivity Comparison
Based on the reported reactions, it is possible to perform a preliminary ordering of the reactivity of both the βOHAAs and the aldehydes that they condense with, which of course will need to be modified as additional data is gathered. Oxazolidine formation depends on the nucleophilicity of the Cβ-OH and the electrophilicity of Cald of the nitrogenous carboxaldehyde. In addition to these considerations, reactivity can also be influenced by steric and other effects, which may be significant.
If the reactivity ranking of the βOHAAs was due entirely to their class (1°, 2°, or 3° alcohol), then the predicted ranking would be
as βOHV is a tertiary alcohol, βOHL, T, and alloT are secondary alcohols, and S is a primary alcohol. The additional alkyl groups on Cβ are electron-releasing and should enhance the nucleophilicity of the Cβ-OH. However, the ordering based on reaction products and observed color changes in the present reactions is different from the above.
βOHV (3° alcohol) > βOHL~T~alloT (2° alcohols) > S (1° alcohol)
βOHV > βOHL~T >> S~alloT
βOHV, βOHL, and T all produce oxazolidine (greater reactivity), while S and LalloT produce aldimine (lower reactivity). Reaction mixtures of βOHV after several hours changed from blue(aldimine) to purple(oxazolidine) prior to depositing purple crystals. This suggests that oxazolidine formation occurred earlier in the reaction timeline relative to T and βOHL, which deposited purple crystals from a blue solution, suggesting that the conversion to oxazolidine occurred late in the reaction timeline and possibly during crystallization.
LalloT (2S3S) is a special case in that it is a secondary alcohol like T but gave an aldimine product as did S, a primary alcohol. Had LalloT reacted to give an oxazolidine, it would have resulted in placing a methyl group trans to the hydrogen atoms of Cα, NAA, and Cald, that is “inside the box”. This could result in some unfavorable energetic steric interactions, which may shift the equilibria to the aldimine product. βOHV, which is the most reactive βOHAA, has two methyl groups on Cβ, so one of its methyl groups is trans to the hydrogen atoms of Cα, NAA, and Cald in the oxazolidine product. If this produces some steric energetic problem, as suggested for LalloT, why does it form the oxazolidine and why does LalloT form the aldimine? The greater reactivity of βOHV (tertiary alcohol) must overcome whatever steric interactions hinder alloT from forming the oxazolidine. It is important to consider that the AA and aldehyde reactants are in equilibrium with both the aldimine and the oxazolidine products. The isolated products reflect the equilibrium between aldimine and oxazolidine under the conditions employed. A reaction of LS with 5Me4Im and nickel(II) under several hours reflux still yielded only the aldimine as determined from its cell parameters. However, it may be possible to generate an oxazolidine from S or LalloT and a prochiral aldehyde under different, more vigorous, reaction conditions. The relative nucleophilicity of S and alloT cannot be ranked in terms of these reactions as clearly there is a steric concern (tethering of the side chain of alloT) that hinders its reactivity as discussed above.
The ordering of the aldehydes in terms of the electrophilicity of Cald is
H2CO >> 4Im~Py~5Me4Im > 2Me4Im >> salicylaldehyde
The rankings of H2CO and salicylaldehyde are based on earlier studies where H2CO [23] reacts with S to form oxazolidine, and salicylaldehyde gives only aldimine when reacted with S or T [16,17,18,19,20]. No significant difference in reactivity was noted for reactions of 4Im, 5Me4Im, and Py with LT or DT based on color. The reaction mixtures were blue (aldimine) but deposited purple crystals (oxazolidine). The products with 4Im and Py were crystalline, and structural characterization revealed oxazolidine. The products of T with 5Me4Im were purple non-crystalline solids. Oxazolidine formation is not certain in this case, but the solid was purple as were other oxazolidines. More work is needed on these non-crystalline species.
A few reactions of 2Me4Im with LT, LalloT, and βOHV were also examined simply to extend reactivity comparisons to this aldehyde. The four structures of 2Me4Im complexes are given in the Supplemental Information as supplemental structures, as shown in Table S4. More work will be conducted on 2Me4Im as well as other aldehydes to expand the reactivity series of the aldehydes. The products from LT and LalloT were Ni(LTAld2Me4Im)2 and Ni(LalloTAld2Me4Im)2, respectively. The observation that LT gives an aldimine is surprising and supports the lower reactivity ranking of 2Me4Im relative to 4Im. The reaction of βOHV gave two products: Ni(LβOHVAld2Me4Im)2 and Ni(LβOHV Ox2Me4Im)(LβOHV). The former is also surprising as it is an aldimine produced from the most reactive LβOHV. The second product has two facially coordinated ligands: an oxazolidine and a free LβOHV. This is the first report of an underivatized facially coordinated tridentate βOHAA, which may be a key species in the conversion of a βOHAA in the presence of an aldehyde to an oxazolidine. There are structural reports of complexes of N alky derivatives [42,43] or an imine of a βOHAA [44].
3. Experimental Procedure
3.1. General
D and L Threonine, D and L serine, 4-imidazole carboxaldehyde, 2-pyridine carboxaldehyde, 4-methyl-5-imidazole carboxaldehyde, nickel(II) acetate tetrahydrate, methanol, and 0.10 M potassium hydroxide in methanol were obtained from Aldrich (St. Louis, MO, USA). (2R, 3S)-2-amino-3-hydroxy-4-methylpentanoic acid (β-hydroxy D-leucine) and L-allothreonine were obtained from Combi-Blocks (San Diego, CA, USA). (2S, 3R) 2-amino-3-hydroxy-4-methylpentanoic acid (β-hydroxy L-leucine) was obtained from Santa Cruz Biotechnology (Santa Cruz, CA, USA). (S) 2-Amino-3-hydroxy-3-methylbutanoic acid (β-hydroxy L-valine) was obtained from Advanced Chem Block (Hayward, CA, USA). All solvents were of reagent grade and used without further purification. Pyridine-2-carboxaldehyde was distilled prior to use. IR spectra were obtained using a Perkin Elmer Spectrum Two FT IR spectrophotometer.
3.2. External Laboratories
ESI-MS spectra were obtained by the Axis Pharm Laboratory (San Diego, CA, USA). EA data were obtained by Galbraith Laboratories, Inc. (Knoxville, TN, USA).
3.3. X-Ray Crystallography
Crystal data for all complexes were collected on a Rigaku Synergy-S single-crystal X-ray diffractometer. All structures were solved using the direct methods program SHELXS-97 [45]. All nonsolvent heavy atoms were located using subsequent difference Fourier syntheses. The structures were refined against F2 with the program SHELXL [46,47], in which all data collected were used including negative intensities. All nonsolvent heavy atoms were refined anisotropically. All hydrogen atoms were located by Fourier difference. Complete crystallographic details are given in Tables S1 and S4.
3.4. Synthesis
Ni(LTOx4Im)2. To a solution of 5.0 mL of H2O, 10.0 mL of 0.100 M KOH in methanol (1.00 mmol), and 15.0 mL of methanol was added 0.119 g (1.00 mmol) of LT and 0.096 g (1.0 mmol) of 4-imidazole carboxaldehyde. This mixture was refluxed for 30–40 min, and then 10.0 mL of a 0.0500 M solution of nickel(II) acetate in methanol (0.500 mmol) was added. The reaction mixture turned blue and was set aside to concentrate. After several days, the reaction mixture was filtered to give purple crystals of the oxazolidine complex (yield = 0.114 g, 51%). All other reactions were conducted as described for Ni(LTOx4Im)2. Table S5 contains the yield, elemental analysis data, and electron spray ionization data for a single enantiomer of each of the complexes reported in this study.
4. Conclusions
The reactions of LS, DS, and LalloT with 5-methyl-4-imidazolecarboxaldehyde, 5Me4Im, in the presence of nickel(II) give the unremarkable aldimine complexes, Ni(L or DSAld5Me4Im)2 and Ni(LalloTAld5Me4Im)2. Their failure to give the oxazolidine complexes is attributed to the poor nucleophilicity of S, a primary alcohol, and possible unfavorable steric interactions with LalloT. In stark contrast, the reactions of L and D threonine, L and D βOHV, and L and D βOHL with 4-imidazolecarboxaldehyde, 4Im, in the presence of nickel(II) give oxazolidines, Ni(L or D βOHAAOx4Im)2. In addition, LT and DT give analogous complexes with 2-pyridinecarboxaldehyde, Ni(L or DTOxPy)2. These eight complexes, four pairs of enantiomers, are unprecedented in that they are the only cases of the reaction of a βOHAA with a prochiral aldehyde to give an oxazolidine. In these cases, chirality transfer is observed. New chiral centers are generated at oxazolidine ring positions 2 (the former aldehyde carbon atom Cald) and 3 (the former amino acid nitrogen atom NAA). In all cases, the stereochemistry of the Cα and Cβ (if chiral) atoms is conserved, and new stereogenic centers are created at the Cald and NAA atoms. Their assignments are opposite to that of the Cα atom so that the hydrogen atoms of Cα, NAA, and Cald are cis to one another and trans to that of Cβ. The transfer of chirality in these cases is thought to be linked to the fused three-ring structure which is quite rigid. It does not seem possible for the hydrogen atoms of Cα to be trans to either the NAA or Cald hydrogen atoms, given the rigidity of the non-planar three fused rings.
Each NiL2 complex contains two equivalent ligands and nine total stereogenic centers (with a chiral Cβ atom), 256 pairs of enantiomers. These centers are Cα and Cβ, which are conserved from the reactant, and new centers, NAA and Cald, which are determined by Cα (S gives R and the reverse) for each ligand and the nickel complex itself. Ʌ and Δ nickel complexes are produced from L and D βOHAA, respectively.
Supplementary Materials
The following supporting information can be downloaded at https://www.mdpi.com/article/10.3390/molecules30142913/s1. The ESI contains tables for crystallographic data; bond distances and angles for the coordination sphere; bond distances and angles for the carboxylate, imidazole/pyridine, and oxazolidine rings; ESIMS and CHN analysis data; FTIR spectra of all complexes; and ESIMS spectra. Table S1: Crystallographic Data for eleven Nickel complexes of β hydroxy AA condensed with nitrogenous aldehydes; Table S2: Selected bond distances (Å) and angles (o) for the Ni(LβOHAAOx4Im)2 and Ni (LTOxPy)2 complexes; Table S3: Selected bond distances(Å) and angles (o) for the three five membered rings of the four Ni(LβOHAAOxPy/4Im)2 complexes; Table S4: Crystallographic data for supplemental structures of 2Me4Im condensed with select beta hydroxy amino acids; Table S5: Summary of %yield, EA and ESI MS values for one enantiomer of the prepared complexes.
Author Contributions
Conceptualization, G.B. and C.T.B.; crystallographic analysis, R.J.B.; Writing-original draft, G.B.; Writing-review and editing, G.B. and C.T.B., Funding Acquisition, R.J.B. All authors have read and agreed to the published version of the manuscript.
Funding
National Science Foundation Major Research Instrumentation program (NSF DMR-2117502) provided financially support for the acquisition of the Rigaku Synergy-S single-crystal X-ray diffractometer used in this study.
Institutional Review Board Statement
Not applicable.
Informed Consent Statement
Not applicable.
Data Availability Statement
All of the cif files for the reported complexes are deposited with the CSD of the CCDC, and the deposition numbers of all complexes are given in Supplemental Tables S1 and S4. The author will respond to any reasonable request to supply any additional information.
Acknowledgments
We thank Howard University and the National Science Foundation Major Research Instrumentation program (NSF DMR-2117502) for financially supporting the acquisition of the Rigaku Synergy-S single-crystal X-ray diffractometer used in this study.
Conflicts of Interest
There are no conflicts of interest to declare.
References
- Pichon-Barre, D.; Zhang, Z.; Cador, A.; Vives, T.; Roisnel, T.; Basle, O.; Jarrige, L.; Cavallo, L.; Falivene, L.; Mauduit, M. Chiral oxazolidines acting as transientlhydroxy-alkyl-functionalized N-heterocyclic carbenes: An efficient route to gold and copper complexes for asymmetric catalysis. Chem. Sci. 2022, 13, 8773–8780. [Google Scholar] [CrossRef] [PubMed]
- Wolf, C.; Xu, H. Asymmetric catalysis with chiral oxazolidine ligands. Chem. Commun. 2011, 47, 3339–3350. [Google Scholar] [CrossRef] [PubMed]
- Saleem, A.; Kobielska, P.A.; Harms, K.; Katsikogianni, M.G.; Telford, R.; Novitchi, G.; Nayak, S. Transition metal complexes of a versatile polyalkoxy oxazolidine-based ligand derived from in situ cyclization. Dalton Trans. 2018, 47, 6156–6165. [Google Scholar] [CrossRef] [PubMed]
- Ng, C.-H.; Wang, W.-S.; Chong, K.-V.; Win, Y.-F.; Neo, K.-E.; Lee, H.-B.; San, S.-L.; Rahman, R.; Leong, W. Ternary copper(II)-polypyridyl enantiomers: Aldol-type condensation, characterization, DNA-binding recognition, BSA-binding and anticancer property. Dalton Trans. 2013, 42, 10233–10243. [Google Scholar] [CrossRef]
- Lee, K.; Ng, Y.; Wang, W.; Ng, P.; Chan, C.; Lai, J.; Davamani, F.; Chitra, E.; Lim, W.; Ganguly, R.; et al. Enantiomeric pairs of ternary copper(ii) complexes and their aldol-type condensation products: Synthesis, characterization, and anticancer and epigenetic properties. Dalton Trans. 2019, 48, 4987–4999. [Google Scholar] [CrossRef]
- Bannerjee, A.; Ganguly, S.; Chattopadhyay, T.; Banu, K.; Patra, A.; Bhattacharya, S.; Zangrando, E.; Das, D. Metal-Assisted Oxazolidine/Oxazine Ring Formation in Dinuclear Zinc(II) Complexes: Synthesis, Structural Aspects, and Bioactivity. Inorg. Chem. 2009, 48, 8695–8702. [Google Scholar] [CrossRef]
- Tuo, S.-X.; Li, Y.; He, P.; Zhou, J.-L.; Yan, J. Synthesis and characterization of catalytic active oxazolidine/Schiff complexes using 2-quinoline formaldehyde and tris-base for carbon dioxide chemical fixation. Inorg. Chim. Acta 2024, 568, 122075. [Google Scholar] [CrossRef]
- Wylde, J.; Taylor, G.; Sorbie, K.; Samaniego, W.; Allan, B. Oxazolidine-Based H2S and Mercaptan Scavengers: Uncovering the Myths. Energy Fuels 2021, 35, 12993–13010. [Google Scholar] [CrossRef]
- Mena-Cervantes, V.; Hernandez-Altamirano, R.; Buenrostro-Gonzalez, E.; Beltran, H.; Zamudio-Rivera, L. Development of oxazolidines derived from polyisobutylene succinimides as multifunctional stabilizers of asphaltenes in oil industry. Fuel 2013, 110, 293–301. [Google Scholar] [CrossRef]
- Ding, C.; Zeng, F.; Ni, J.; Wang, B.; Zie, Y. Polynuclear Complexes of Ligands Containing in Situ Formed Oxazinane and Oxazolidine Rings with Appended Alkoxyl and Phenol Groups. Cryst. Growth Des. 2012, 12, 2089–2096. [Google Scholar] [CrossRef]
- Lin, S.-Y.; Li, X.-L.; Ke, H.; Xu, Z. A series of tetranuclear lanthanide compounds constructed by in situ polydentate ligands: Synthesis, structure, and SMM behaviour of the Dy4 compound. CrystEngComm 2015, 17, 9167–9174. [Google Scholar] [CrossRef]
- Liu, H.; Li, X. Serine/Threonine Ligation: Origin, Mechanistic Aspects, and Applications. Acc. Chem. Res. 2018, 51, 1643–1655. [Google Scholar] [CrossRef] [PubMed]
- Wong, C.; Li, T.; Lam, H.; Zhang, Y.; Li, X. Realizing serine/threonine ligation: Scope and limitations and mechanistic implication thereof. Front. Chem. 2014, 2, 28. [Google Scholar] [CrossRef] [PubMed]
- Zhang, Y.; Xu, C.; Lam, H.; Lee, C.; Li, X. Protein chemical synthesis by serine and threonine ligation. Proc. Natl. Acad. Sci. USA 2013, 110, 6657–6662. [Google Scholar] [CrossRef]
- Lee, C.; Li, X. Serine/threonine ligation for the chemical synthesis of proteins. Curr. Opin. Chem. Biol. 2014, 22, 108–114. [Google Scholar] [CrossRef]
- Belokon, Y.; Belikov, V.; Vitt, S.; Savel’eva, T.; Burbelo, V.; Bakhmutov, V.; Aleksandrov, G.; Struchov, Y. A simple stereochemical model of pyridoxal-dependent aldolase: Asymmetric conversions of the amino acid fragment in chiral complexes of potassium Ʌ and Δ bis-/n-salicylideneaminoacidato/cobaltate(III). Tetrahedron 1977, 33, 2251–2564. [Google Scholar] [CrossRef]
- Liu, M.; Yu, H.; Wang, Y.; Liu, Z. A pair of enantiomeric trinuclear nickel (II) clusters based on chiral Schiff-base: Synthesis, structures, circular dichroism and magnetic properties. Inorg. Chem. Commun. 2017, 86, 281–284. [Google Scholar] [CrossRef]
- Ebel, M.; Rehder, D. Interaction of Vanadyl (VO2+) with Ligands Containing Serine, Tyrosine, and Threonine. Inorg. Chem. 2006, 45, 7083–7090. [Google Scholar] [CrossRef]
- Krivosudsky, L.; Schwendt, P.; Gyeps, R.; Zak, Z. X-ray structure analysis, electronic and vibrational circular dichroism of chiral-at-metal dioxidovanadium(V) complexes with amino acids derived Schiff base ligands. Polyhedron 2014, 81, 421–427. [Google Scholar] [CrossRef]
- Garcia-Raso, A.; Fiol, J.; Lopez-Zafra, A.; Tasada, A.; Mata, I.; Espinosa, E.; Molins, E. Different ways of interaction between binary copper(II)-Schiff bases (Cu–N-salicylideneserinato) and pyrimidine derivatives. Polyhedron 2006, 25, 2295–2302. [Google Scholar] [CrossRef]
- Pratihar, S. Electrophilicity and nucleophilicity of commonly used aldehydes. Org. Biomol. Chem. 2014, 12, 5781–5788. [Google Scholar] [CrossRef] [PubMed]
- Klumpp, D.; Lau, S. 3-Pyridinecarboxaldehyde: A Model System for Superelectrophilic Activation and the Observation of a Diprotonated Electrophile. J. Org. Chem. 1999, 64, 7309–7311. [Google Scholar] [CrossRef]
- Kamps, J.; Hopkinson, R.; Schofield, C.; Claridge, T. How formaldehyde reacts with amino acids. Commun. Chem. 2019, 2, 126. [Google Scholar] [CrossRef]
- Teo, S.; Ng, C.-H.; Horn, E.; Tiekink, E. Synthesis and structural studies of some metal(II) complexes of 5-methyloxazolidine-4-carboxylic acid. Inorg. Chim. Acta 1991, 183, 25–30. [Google Scholar] [CrossRef]
- Ng, C.; Chong, T.; Teoh, S.; Adams, F.; Ng, S. Reactions of a series of bis(α amino acidato) copper(II) complexes with formaldehyde and benzamide: Aldol type condensation versus Mannich aminomethylation. J. Chem. Soc. Dalton Trans. 2002, 17, 3361–3366. [Google Scholar] [CrossRef]
- Ng, C.; Wang, W.; Win, Y.; Neo, K.; Ganguly, S.; Er, H.; Ooi, I. Rac-aqua(4-methyl-oxazolidine-4-carboxylato)(nitrato)(1,10-phenanthroline)copper(II), the aldol condensation product of formaldehyde with the D- and L-(alaninato)aqua(1,10-phenanthroline)copper(II) nitrate. Transit. Met. Chem. 2016, 41, 563–571. [Google Scholar] [CrossRef]
- Reid, J. Open questions on the transfer of chirality. Commun. Chem. 2021, 4, 171. [Google Scholar] [CrossRef]
- Miao, T.; Cheng, X.; Guo, Y.; Zhang, G.; Zhang, W. Preparation of chiral polymers: Precise chirality transfer from natural species to achiral artificial polymers. Giant 2023, 14, 100161–100178. [Google Scholar] [CrossRef]
- Crassous, J. Chiral transfer in coordination complexes: Towards molecular materials. Chem. Soc. Rev. 2009, 38, 830–845. [Google Scholar] [CrossRef]
- Mayans, J.; Gomez, D.; Font–Bardia, M.; Escuer, A. Chiral oxazolidine complexes derived from phenolic Schiff bases. Cryst. Growth Des. 2020, 20, 4176–4184. [Google Scholar] [CrossRef]
- Zhang, N.; Fan, Y.; Bi, C.; Zuo, J.; Wang, Q. Synthesis and Crystal Structure of a New Nickel(II) Coordination Polymer Based on Schiff Base. Russ. Coord. Chem. 2012, 38, 349–352. [Google Scholar] [CrossRef]
- Brewer, G.; Brewer, C.; Butcher, R.; Zavalij, P. Formation of Ketimines from Aldimines in Schiff Base Condensation of Amino Acids and Imidazole-2-Carboxaldehydes: Tautomerization of Schiff Bases of Amino Acids Resulting in the Loss of Stereogenic Center. Inorganics 2023, 11, 381–399. [Google Scholar] [CrossRef]
- Brewer, G.; Brewer, C.; Butcher, R.; Zavalij, P. Selective Generation of Aldimine and Ketimine Tautomers of the Schiff Base Condensates of Amino Acids with Imidazole Aldehydes or of Imidazole Methanamines with Pyruvates—Isomeric Control with 2- vs. 4-Substituted Imidazoles. Molecules 2024, 29, 1324. [Google Scholar] [CrossRef] [PubMed]
- Alvarez, C.; Garcia-Rodriguez, R.; Miguel, D. Iminopyridine complexes of manganese, rhenium and molybdenum derived from amino ester (L)-methylserine, and peptides Gly-Gly, GlyVal, and Gly-Gly-Gly. Self-assembly of the peptide chains. Inorg. Chem. 2012, 51, 2984–2996. [Google Scholar] [CrossRef] [PubMed]
- Juraj, N.; Kirin, S. Inorganic stereochemistry: Geometric isomerism in bis-tridentate ligand complexes. Coord. Chem. Rev. 2021, 445, 214051–214071. [Google Scholar] [CrossRef]
- Zhang, Q.; Zhang, Z.; Qu, B.; Chen, Q.; He, M. Synthesis, supramolecular assemblies and luminescence of nickel (II) complexes based on a series of N-(2-pyridylmethyl) amino acid derivatives. Inorg. Chim. Acta 2014, 418, 59–65. [Google Scholar] [CrossRef]
- Lewis, W.; Steele, P. Chiral heterocyclic ligands XVI: Synthesis and crystal structures of four metal complexes of a tridentate, biheterocyclic ligand derived from l-cysteine. Polyhedron 2010, 29, 2220–2224. [Google Scholar] [CrossRef]
- Clardy, J.; Solheim, B.A.; Springer, J.P.; Itoh, I.; Paquette, L.A. Crystal and molecular structural studies of (±) and meso-bivalvane. J. Chem. Soc. Perkin Trans. 2 1979, 3, 296–299. [Google Scholar] [CrossRef]
- Grajda, M.; Staros, G.; Jędrzejewska, H.; Szumna, A. Toward Coordination Cages with Hybrid Chirality: Amino Acid-Induced Chirality on Metal Centers. Inorg. Chem. 2022, 61, 11410–11418. [Google Scholar] [CrossRef]
- Kim, H.; Im, S.-W.; Kim, R.-M.; Cho, N.-H.; Lee, H.-E.; Ahn, H.-Y.; Nam, K.-T. Chirality control of inorganic materials and metals by peptides or amino acids. Mater. Adv. 2020, 1, 512–524. [Google Scholar] [CrossRef]
- Subramaniyam, V.; Ravi, P.V.; Pichumani, M. Structure co-ordination of solitary amino acids as ligands in metal-organic frameworks (MOFs): A Comprehensive Review. J. Mol. Struct. 2022, 1251, 131931. [Google Scholar] [CrossRef]
- Kundu, T.; Sahoo, S.; Banerjee, R. Variable Water Adsorption in Amino Acid Derivative Based Homochiral Metal Organic Frameworks. Cryst. Growth Des. 2012, 12, 4633–4640. [Google Scholar] [CrossRef]
- Kumar, N.; Khullar, S.; Mandal, S. Controlling the self-assembly of homochiral coordination architectures of CuII by substitution in amino acid based ligands: Synthesis, crystal structures and physicochemical properties. Dalton Trans. 2015, 44, 5672–5687. [Google Scholar] [CrossRef] [PubMed]
- Baul, T.; Kehie, P.; Chanu, O.; Duthie, A.; Hopfl, H. Synthesis and structural studies of diorganotin(IV) compounds derived from (E)-3-hydroxy-2-((2-hydroxybenzylidene)amino)propanoate and (E)-3-hydroxy-2-((1-(2-hydroxyphenyl)ethylidene)amino)propanoate. J. Organomet. Chem. 2013, 733, 36–43. [Google Scholar] [CrossRef]
- Sheldrick, G.M. Phase annealing in SHELX-90: Direct methods for larger structures. Acta Crystallogr. 1990, A46, 467–473. [Google Scholar] [CrossRef]
- Sheldrick, G.M. SHELXL-97: Program for Crystal Structure Refinement; ScienceOpen, Inc.: Boston, MA, USA, 1997. [Google Scholar]
- Sheldrick, G.M. SHELXL-97: FORTRAN Program for Crystal Structure Analysis; Gottingen University, Institute Fr Anorganisheche Chemie der Universitat: Gottingen, Germany, 1998. [Google Scholar]
Disclaimer/Publisher’s Note: The statements, opinions and data contained in all publications are solely those of the individual author(s) and contributor(s) and not of MDPI and/or the editor(s). MDPI and/or the editor(s) disclaim responsibility for any injury to people or property resulting from any ideas, methods, instructions or products referred to in the content. |
© 2025 by the authors. Licensee MDPI, Basel, Switzerland. This article is an open access article distributed under the terms and conditions of the Creative Commons Attribution (CC BY) license (https://creativecommons.org/licenses/by/4.0/).











