Indole-Based Compounds in the Development of Anti-Neurodegenerative Agents
Abstract
1. Introduction
2. Indole-Based Compounds as Potential Anti-Neurodegenerative Agents
2.1. Cholinesterase (ChE) Inhibitors
2.2. Protein Aggregation Inhibitors
2.2.1. The Amyloid Cascade Hypothesis
2.2.2. The Tau Hypotheses
2.3. Monoamine Oxidases B (MAO-B) Inhibitors
2.4. Adenosine A2A Adenosine Receptor Antagonists
2.5. PERK Signaling
2.6. AMPK Activators
2.7. 5-HT6 Receptor (5-HT6R) Antagonists
3. Multifunctional Indole-Based Compounds as Potential Anti-Neurodegenerative Agents
4. Neuroprotective Effects of Multifunctional Indole Hybrid Compounds
4.1. Indole Hybrids as Cholinesterase Inhibitors and/or Antioxidants
4.1.1. Pyrido[3,4-b]indoles (β-Carbolines) Hybrids
4.1.2. Indole-Tacrine Hybrids
4.1.3. Indole–Spiropyrrolidine Hybrids
4.1.4. Carbamate–Tryptamine Hybrids
4.1.5. Tryptamine-Cinnamic Acid Hybrids
4.1.6. Tryptamine–Ferulic Acid Hybrids
4.1.7. Indole–Diosgenin Hybrids
4.1.8. Indolyl-Piperidine Hybrids
4.1.9. Miscellaneous Indole Hybrids
4.2. Indole Hybrids as BChE Inhibitors and 5-HT6R Antagonists
1-(Phenylsulfonyl)-1H-Indole Hybrids
4.3. Indole Hybrids as MAO and 5-HT6R Inhibitors
Indole-Piperazine Hybrids
4.4. Indole Hybrids as ChE and MAO Inhibitors
4.4.1. Indole–Ladostigil–Carbamate/Urea Trihybrids
4.4.2. Indole–Donepezil–Chromone Trihybrids
4.4.3. Indole–Miscellaneous Hybrids
5. Conclusions and Future Perspectives
Author Contributions
Funding
Conflicts of Interest
List of Abbreviations
References
- Duarte, Y.; Fonseca, A.; Gutiérrez, M.; Adasme-Carreño, F.; Muñoz-Gutierrez, C.; Alzate-Morales, J.; Santana, L.; Uriarte, E.; Álvarez, R.; Matos, M.J. Novel Coumarin-Quinoline Hybrids: Design of Multitarget Compounds for Alzheimer’s Disease. ChemistrySelect 2019, 4, 551–558. [Google Scholar] [CrossRef]
- Feigin, V.L.; Vos, T.; Nichols, E.; Owolabi, M.O.; Carroll, W.M.; Dichgans, M.; Deuschl, G.; Parmar, P.; Brainin, M.; Murray, C. The Global Burden of Neurological Disorders: Translating Evidence into Policy. Lancet Neurol. 2020, 19, 255–265. [Google Scholar] [CrossRef] [PubMed]
- Sarabia-Vallejo, Á.; López-Alvarado, P.; Menéndez, J.C. Small-Molecule Theranostics in Alzheimer’s Disease. Eur. J. Med. Chem. 2023, 255, 115382. [Google Scholar] [CrossRef]
- Chauhan, M.S.S.; Umar, T.; Aulakh, M.K. Quinolines: Privileged Scaffolds for Developing New Anti-Neurodegenerative Agents. ChemistrySelect 2023, 8, e202204960. [Google Scholar] [CrossRef]
- Savelieff, M.G.; Nam, G.; Kang, J.; Lee, H.J.; Lee, M.; Lim, M.H. Development of Multifunctional Molecules as Potential Therapeutic Candidates for Alzheimer’s Disease, Parkinson’s Disease, and Amyotrophic Lateral Sclerosis in the Last Decade. Chem. Rev. 2019, 119, 1221–1322. [Google Scholar] [CrossRef]
- Wilson, D.M.; Cookson, M.R.; Van Den Bosch, L.; Zetterberg, H.; Holtzman, D.M.; Dewachter, I. Hallmarks of Neurodegenerative Diseases. Cell 2023, 186, 693–714. [Google Scholar] [CrossRef] [PubMed]
- Filippi, M.; Bar-Or, A.; Piehl, F.; Preziosa, P.; Solari, A.; Vukusic, S.; Rocca, M.A. Multiple Sclerosis. Nat. Rev. Dis. Prim. 2018, 4, 43. [Google Scholar] [CrossRef]
- Bautista-Aguilera, Ó.M.; Ismaili, L.; Iriepa, I.; Diez-Iriepa, D.; Chabchoub, F.; Marco-Contelles, J.; Pérez, M. Tacrines as Therapeutic Agents for Alzheimer’s Disease. V. Recent Developments. Chem. Rec. 2021, 21, 162–174. [Google Scholar] [CrossRef]
- Khanna, G.; Bhandari, R.; Kuhad, A.; Kuhad, A. Aducanumab. Drugs Future 2019, 44, 115–121. [Google Scholar] [CrossRef]
- Shi, M.; Chu, F.; Zhu, F.; Zhu, J. Impact of Anti-Amyloid-β Monoclonal Antibodies on the Pathology and Clinical Profile of Alzheimer’s Disease: A Focus on Aducanumab and Lecanemab. Front. Aging Neurosci. 2022, 14, 870517. [Google Scholar] [CrossRef]
- Cummings, J.; Aisen, P.; Lemere, C.; Atri, A.; Sabbagh, M.; Salloway, S. Aducanumab Produced a Clinically Meaningful Benefit in Association with Amyloid Lowering. Alzheimer’s Res. Ther. 2021, 13, 98. [Google Scholar] [CrossRef] [PubMed]
- Mahase, E. FDA Approves Controversial Alzheimer’s Drug despite Uncertainty over Effectiveness. BMJ 2021, 373, n1462. [Google Scholar] [CrossRef]
- Riederer, F. Donanemab in Early Alzheimer’s Disease. J. Neurol. Neurochir. Psychiatr. 2021, 22, 142–143. [Google Scholar] [CrossRef]
- Antony, P.M.A.; Diederich, N.J.; Krüger, R.; Balling, R. The Hallmarks of Parkinson’s Disease. FEBS J. 2013, 280, 5981–5993. [Google Scholar] [CrossRef]
- Fox, S.H.; Brotchie, J.M. Special Issue on New Therapeutic Approaches to Parkinson Disease. Neuropharmacology 2022, 208, 108998. [Google Scholar] [CrossRef] [PubMed]
- Li, X.; Yu, Y.; Tu, Z. Pyrazole Scaffold Synthesis, Functionalization, and Applications in Alzheimer’s Disease and Parkinson’s Disease Treatment (2011–2020). Molecules 2021, 26, 1202. [Google Scholar] [CrossRef]
- de Sa Alves, F.; Barreiro, E.; Manssour Fraga, C. From Nature to Drug Discovery: The Indole Scaffold as a ‘Privileged Structure’ Mini-Rev. Med. Chem. 2009, 9, 782–793. [Google Scholar] [CrossRef] [PubMed]
- Salerno, S.; Barresi, E.; Baglini, E.; Poggetti, V.; Da Settimo, F.; Taliani, S. Target-Based Anticancer Indole Derivatives for the Development of Anti-Glioblastoma Agents. Molecules 2023, 28, 2587. [Google Scholar] [CrossRef]
- Taliani, S.; Da Settimo, F.; Martini, C.; Laneri, S.; Novellino, E.; Greco, G. Exploiting the Indole Scaffold to Design Compounds Binding to Different Pharmacological Targets. Molecules 2020, 25, 2331. [Google Scholar] [CrossRef]
- Dhiman, A.; Sharma, R.; Singh, R.K. Target-Based Anticancer Indole Derivatives and Insight into Structure—Activity Relationship: A Mechanistic Review Update (2018–2021). Acta Pharm. Sin. B 2022, 12, 3006–3027. [Google Scholar] [CrossRef]
- Gevorgyan, V. Chemistry of Heterocyclic Compounds: A Renaissance. Chem. Heterocycl. Compd. 2012, 48, 1. [Google Scholar] [CrossRef][Green Version]
- Dua1, R.; Dua, R.; Shrivastava, S.; Sonwane, S.K.; Srivastava, S.K. Pharmacological Significance of Synthetic Heterocycles Scaffold: A Review. Adv. Biol. Res. 2011, 5, 120–144. [Google Scholar]
- Vitaku, E.; Smith, D.T.; Njardarson, J.T. Analysis of the Structural Diversity, Substitution Patterns, and Frequency of Nitrogen Heterocycles among U.S. FDA Approved Pharmaceuticals. J. Med. Chem. 2014, 57, 10257–10274. [Google Scholar] [CrossRef]
- Kaushik, N.K.; Kaushik, N.; Attri, P.; Kumar, N.; Kim, C.H.; Verma, A.K.; Choi, E.H. Biomedical Importance of Indoles. Molecules 2013, 18, 6620–6662. [Google Scholar] [CrossRef] [PubMed]
- George, N.; Jawaid Akhtar, M.; Al Balushi, K.A.; Alam Khan, S. Rational Drug Design Strategies for the Development of Promising Multi-Target Directed Indole Hybrids as Anti-Alzheimer Agents. Bioorg. Chem. 2022, 127, 105941. [Google Scholar] [CrossRef] [PubMed]
- Thanikachalam, P.V.; Maurya, R.K.; Garg, V.; Monga, V. An Insight into the Medicinal Perspective of Synthetic Analogs of Indole: A Review. Eur. J. Med. Chem. 2019, 180, 562–612. [Google Scholar] [CrossRef] [PubMed]
- Goyal, D.; Kaur, A.; Goyal, B. Benzofuran and Indole: Promising Scaffolds for Drug Development in Alzheimer’s Disease. ChemMedChem 2018, 13, 1275–1299. [Google Scholar] [CrossRef]
- Francis, P.T.; Palmer, A.M.; Snape, M.; Wilcock, G.K. The Cholinergic Hypothesis of Alzheimer’s Disease: A Review of Progress. J. Neurol. Neurosurg. Psychiatry 1999, 66, 137–147. [Google Scholar] [CrossRef]
- Fonnum, F. Radiochemical Micro Assays for the Determination of Choline Acetyltransferase and Acetylcholinesterase Activities. Biochem. J. 1969, 115, 465–472. [Google Scholar] [CrossRef]
- Lockridge, O. Review of Human Butyrylcholinesterase Structure, Function, Genetic Variants, History of Use in the Clinic, and Potential Therapeutic Uses. Pharmacol. Ther. 2015, 148, 34–46. [Google Scholar] [CrossRef]
- Bartolini, M.; Bertucci, C.; Cavrini, V.; Andrisano, V. β-Amyloid Aggregation Induced by Human Acetylcholinesterase: Inhibition Studies. Biochem. Pharmacol. 2003, 65, 407–416. [Google Scholar] [CrossRef] [PubMed]
- Greig, N.H.; Utsuki, T.; Ingram, D.K.; Wang, Y.; Pepeu, G.; Scali, C.; Yu, Q.S.; Mamczarz, J.; Holloway, H.W.; Giordano, T.; et al. Selective Butyrylcholinesterase Inhibition Elevates Brain Acetylcholine, Augments Learning and Lowers Alzheimer β-Amyloid Peptide in Rodent. Proc. Natl. Acad. Sci. USA. 2005, 102, 17213–17218. [Google Scholar] [CrossRef] [PubMed]
- Nordberg, A.; Ballard, C.; Bullock, R.; Darreh-Shori, T.; Somogyi, M. A Review of Butyrylcholinesterase as a Therapeutic Target in the Treatment of Alzheimer’s Disease. Prim. Care Companion CNS Disord. 2013, 15, 26731. [Google Scholar] [CrossRef]
- Molęda, Z.; Zawadzka, A.; Czarnocki, Z.; Monjas, L.; Hirsch, A.K.H.; Budzianowski, A.; Maurin, J.K. “Clicking” Fragment Leads to Novel Dual-Binding Cholinesterase Inhibitors. Bioorganic Med. Chem. 2021, 42, 116269. [Google Scholar] [CrossRef]
- Grošelj, U.; Golobič, A.; Knez, D.; Hrast, M.; Gobec, S.; Ričko, S.; Svete, J. Synthesis and Preliminary Biological Evaluations of (+)-Isocampholenic Acid-Derived Amides. Mol. Divers. 2016, 20, 667–676. [Google Scholar] [CrossRef]
- Meden, A.; Knez, D.; Jukič, M.; Brazzolotto, X.; Gršič, M.; Pišlar, A.; Zahirović, A.; Kos, J.; Nachon, F.; Svete, J.; et al. Tryptophan-Derived Butyrylcholinesterase Inhibitors as Promising Leads against Alzheimer’s Disease. Chem. Commun. 2019, 55, 3765–3768. [Google Scholar] [CrossRef]
- Košak, U.; Brus, B.; Knez, D.; Žakelj, S.; Trontelj, J.; Pišlar, A.; Šink, R.; Jukič, M.; Živin, M.; Podkowa, A.; et al. The Magic of Crystal Structure-Based Inhibitor Optimization: Development of a Butyrylcholinesterase Inhibitor with Picomolar Affinity and in Vivo Activity. J. Med. Chem. 2018, 61, 119–139. [Google Scholar] [CrossRef] [PubMed]
- Meden, A.; Knez, D.; Malikowska-Racia, N.; Brazzolotto, X.; Nachon, F.; Svete, J.; Sałat, K.; Grošelj, U.; Gobec, S. Structure-Activity Relationship Study of Tryptophan-Based Butyrylcholinesterase Inhibitors. Eur. J. Med. Chem. 2020, 208, 112766. [Google Scholar] [CrossRef]
- Meden, A.; Knez, D.; Brazzolotto, X.; Nachon, F.; Dias, J.; Svete, J.; Stojan, J.; Grošelj, U.; Gobec, S. From Tryptophan-Based Amides to Tertiary Amines: Optimization of a Butyrylcholinesterase Inhibitor Series. Eur. J. Med. Chem. 2022, 234, 114248. [Google Scholar] [CrossRef]
- Wegst-Uhrich, S.R.; Navarro, D.A.G.; Zimmerman, L.; Aga, D.S. Assessing Antibiotic Sorption in Soil: A Literature Review and New Case Studies on Sulfonamides and Macrolides. Chem. Cent. J. 2014, 8, 5. [Google Scholar] [CrossRef]
- Košak, U.; Brus, B.; Knez, D.; Šink, R.; Žakelj, S.; Trontelj, J.; Pišlar, A.; Šlenc, J.; Gobec, M.; Živin, M.; et al. Development of an In-Vivo Active Reversible Butyrylcholinesterase Inhibitor. Sci. Rep. 2016, 6, 39495. [Google Scholar] [CrossRef]
- Homoud, Z.A.; Taha, M.; Rahim, F.; Iqbal, N.; Nawaz, M.; Farooq, R.K.; Wadood, A.; Alomari, M.; Islam, I.; Algheribe, S.; et al. Synthesis of Indole Derivatives as Alzheimer Inhibitors and Their Molecular Docking Study. J. Biomol. Struct. Dyn. 2023, 41, 9865–9878. [Google Scholar] [CrossRef]
- Bingul, M.; Saglam, M.F.; Kandemir, H.; Boga, M.; Sengul, I.F. Synthesis of Indole-2-Carbohydrazides and 2-(Indol-2-Yl)-1,3,4-Oxadiazoles as Antioxidants and Their Acetylcholinesterase Inhibition Properties. Monatshefte Chem. 2019, 150, 1553–1560. [Google Scholar] [CrossRef]
- Bingul, M.; Ercan, S.; Boga, M. The Design of Novel 4,6-Dimethoxyindole Based Hydrazide-Hydrazones: Molecular Modeling, Synthesis and Anticholinesterase Activity. J. Mol. Struct. 2020, 1213, 128202. [Google Scholar] [CrossRef]
- Saglam, M.F.; Bingul, M.; Şenkuytu, E.; Boga, M.; Zorlu, Y.; Kandemir, H.; Sengul, I.F. Synthesis, Characterization, UV–Vis Absorption and Cholinesterase Inhibition Properties of Bis-Indolyl Imine Ligand Systems. J. Mol. Struct. 2020, 1215, 128308. [Google Scholar] [CrossRef]
- Coşar, E.D.; Dincel, E.D.; Demiray, S.; Sucularlı, E.; Tüccaroğlu, E.; Özsoy, N.; Ulusoy-Güzeldemirci, N. Anticholinesterase Activities of Novel Indole-Based Hydrazide-Hydrazone Derivatives: Design, Synthesis, Biological Evaluation, Molecular Docking Study and in Silico ADME Prediction. J. Mol. Struct. 2022, 1247, 131398. [Google Scholar] [CrossRef]
- Sevigny, J.; Chiao, P.; Bussière, T.; Weinreb, P.H.; Williams, L.; Maier, M.; Dunstan, R.; Salloway, S.; Chen, T.; Ling, Y.; et al. The Antibody Aducanumab Reduces Aβ Plaques in Alzheimer’s Disease. Nature 2016, 537, 50–56. [Google Scholar] [CrossRef] [PubMed]
- Shim, K.H.; Kim, S.H.; Hur, J.; Kim, D.H.; Demirev, A.V.; Yoon, S.Y. Small-Molecule Drug Screening Identifies Drug Ro 31-8220 That Reduces Toxic Phosphorylated Tau in Drosophila Melanogaster. Neurobiol. Dis. 2019, 130, 104519. [Google Scholar] [CrossRef] [PubMed]
- Sherif, F.; Gottfries, C.G.; Alafuzoff, I.; Oreland, L. Brain Gamma-Aminobutyrate Aminotransferase (GABA-T) and Monoamine Oxidase (MAO) in Patients with Alzheimer’s Disease. J. Neural Transm. Park. Dis. Dement. Sect. 1992, 4, 227–240. [Google Scholar] [CrossRef]
- Kennedy, B.P.; Ziegler, M.G.; Alford, M.; Hansen, L.A.; Thal, L.J.; Masliah, E. Early and Persistent Alterations in Prefrontal Cortex MAO A and B in Aizheimer’s Disease. J. Neural Transm. 2003, 110, 789–801. [Google Scholar]
- Zhao, Y.; Zhao, B. Oxidative Stress and the Pathogenesis of Alzheimer’s Disease. Oxid. Med. Cell. Longev. 2013, 2013, 316523. [Google Scholar] [CrossRef]
- Park, J.H.; Ju, Y.H.; Choi, J.W.; Song, H.J.; Jang, B.K.; Woo, J.; Chun, H.; Kim, H.J.; Shin, S.J.; Yarishkin, O.; et al. Newly Developed Reversible MAO-B Inhibitor Circumvents the Shortcomings of Irreversible Inhibitors in Alzheimer’s Disease. Sci. Adv. 2019, 5, eaav0316. [Google Scholar] [CrossRef]
- Knez, D.; Hrast, M.; Frlan, R.; Pišlar, A.; Žakelj, S.; Kos, J.; Gobec, S. Indoles and 1-(3-(Benzyloxy)Benzyl)Piperazines: Reversible and Selective Monoamine Oxidase B Inhibitors Identified by Screening an in-House Compound Library. Bioorg. Chem. 2022, 119, 105581. [Google Scholar] [CrossRef]
- Svenningsson, P.; Le Moine, C.; Fisone, G.; Fredholm, B.B. Distribution, Biochemistry and Function of Striatal Adenosine A2A Receptors. Prog. Neurobiol. 1999, 59, 355–396. [Google Scholar] [CrossRef]
- Chen, J.F.; Xu, K.; Petzer, J.P.; Staal, R.; Xu, Y.H.; Beilstein, M.; Sonsalla, P.K.; Castagnoli, K.; Castagnoli, N.; Schwarzschild, M.A. Neuroprotection by Caffeine and A2A Adenosine Receptor Inactivation in a Model of Parkinson’s Disease. J. Neurosci. 2001, 21, RC143. [Google Scholar] [CrossRef] [PubMed]
- Bara-Jimenez, W.; Sherzai, A.; Dimitrova, T.; Favit, A.; Bibbiani, F.; Gillespie, M.; Morris, M.J.; Mouradian, M.M.; Chase, T.N. Adenosine A2A Receptor Antagonist Treatment of Parkinson’s Disease. Neurology 2003, 61, 293–296. [Google Scholar] [CrossRef]
- Merighi, S.; Borea, P.A.; Varani, K.; Vincenzi, F.; Travagli, A.; Nigro, M.; Pasquini, S.; Suresh, R.R.; Kim, S.W.; Volkow, N.D.; et al. Pathophysiological Role and Medicinal Chemistry of A2A Adenosine Receptor Antagonists in Alzheimer’s Disease. Molecules 2022, 27, 2680. [Google Scholar] [CrossRef]
- Zheng, J.; Zhang, X.; Zhen, X. Development of Adenosine A2A Receptor Antagonists for the Treatment of Parkinson’s Disease: A Recent Update and Challenge. ACS Chem. Neurosci. 2019, 10, 783–791. [Google Scholar] [CrossRef] [PubMed]
- Reichmann, H. Caffeine, Chocolate and Adenosine A2A Receptor Antagonists in the Treatment of Parkinson’s Disease. Fortschritte Neurol. Psychiatr. 2021, 91, 256–261. [Google Scholar]
- Shao, Y.M.; Ma, X.; Paira, P.; Tan, A.; Herr, D.R.; Lim, K.L.; Ng, C.H.; Venkatesan, G.; Klotz, K.N.; Federico, S.; et al. Discovery of Indolylpiperazinylpyrimidines with Dual-Target Profiles at Adenosine A2A and Dopamine D2 Receptors for Parkinson’s Disease Treatment. PLoS ONE 2018, 13, e0188212. [Google Scholar] [CrossRef]
- Mercado, G.; Castillo, V.; Soto, P.; López, N.; Axten, J.M.; Sardi, S.P.; Hoozemans, J.J.M.; Hetz, C. Targeting PERK Signaling with the Small Molecule GSK2606414 Prevents Neurodegeneration in a Model of Parkinson’s Disease. Neurobiol. Dis. 2018, 112, 136–148. [Google Scholar] [CrossRef] [PubMed]
- Rosso, P.; Fioramonti, M.; Fracassi, A.; Marangoni, M.; Taglietti, V.; Siteni, S.; Segatto, M. AMPK in the Central Nervous System: Physiological Roles and Pathological Implications. Res. Rep. Biol. 2016, 7, 1–13. [Google Scholar] [CrossRef]
- Sanchis, A.; García-Gimeno, M.A.; Cañada-Martínez, A.J.; Sequedo, M.D.; Millán, J.M.; Sanz, P.; Vázquez-Manrique, R.P. Metformin Treatment Reduces Motor and Neuropsychiatric Phenotypes in the ZQ175 Mouse Model of Huntington Disease. Exp. Mol. Med. 2019, 51, 1–16. [Google Scholar] [CrossRef]
- Vázquez-Manrique, R.P.; Farina, F.; Cambon, K.; Dolores Sequedo, M.; Parker, A.J.; Millán, J.M.; Weiss, A.; Déglon, N.; Neri, C. AMPK Activation Protects from Neuronal Dysfunction and Vulnerability across Nematode, Cellular and Mouse Models of Huntington’s Disease. Hum. Mol. Genet. 2016, 25, 1043–1058. [Google Scholar] [CrossRef] [PubMed]
- Vela, M.; García-Gimeno, M.A.; Sanchis, A.; Bono-Yagüe, J.; Cumella, J.; Lagartera, L.; Pérez, C.; Priego, E.M.; Campos, A.; Sanz, P.; et al. Neuroprotective Effect of IND1316, an Indole-Based AMPK Activator, in Animal Models of Huntington Disease. ACS Chem. Neurosci. 2022, 13, 275–287. [Google Scholar] [CrossRef]
- de Jong, I.E.M.; Mørk, A. Antagonism of the 5-HT6 Receptor—Preclinical Rationale for the Treatment of Alzheimer’s Disease. Neuropharmacology 2017, 125, 50–63. [Google Scholar] [CrossRef]
- Kucinski, A.; de Jong, I.E.M.; Sarter, M. Reducing Falls in Parkinson’s Disease: Interactions between Donepezil and the 5-HT6 Receptor Antagonist Idalopirdine on Falls in a Rat Model of Impaired Cognitive Control of Complex Movements. Eur. J. Neurosci. 2017, 45, 217–231. [Google Scholar] [CrossRef] [PubMed]
- Herrik, K.F.; Mørk, A.; Richard, N.; Bundgaard, C.; Bastlund, J.F.; De Jong, I.E.M. The 5-HT6 Receptor Antagonist Idalopirdine Potentiates the Effects of Acetylcholinesterase Inhibition on Neuronal Network Oscillations and Extracellular Acetylcholine Levels in the Rat Dorsal Hippocampus. Neuropharmacology 2016, 107, 351–363. [Google Scholar] [CrossRef] [PubMed]
- Helboe, L.; Egebjerg, J.; de Jong, I.E.M. Distribution of Serotonin Receptor 5-HT6 MRNA in Rat Neuronal Subpopulations: A Double in Situ Hybridization Study. Neuroscience 2015, 310, 442–454. [Google Scholar] [CrossRef]
- Sun, Z.; Wang, B.; Chen, C.; Li, C.; Zhang, Y. 5-HT6R Null Mutatrion Induces Synaptic and Cognitive Defects. Aging Cell 2021, 20, e13369. [Google Scholar] [CrossRef]
- Claeysen, S.; Bockaert, J.; Giannoni, P. Serotonin: A New Hope in Alzheimer’s Disease? ACS Chem. Neurosci. 2015, 6, 940–943. [Google Scholar] [CrossRef]
- Sharp, T.; Barnes, N.M. Central 5-HT Receptors and Their Function; Present and Future. Neuropharmacology 2020, 177, 108155. [Google Scholar] [CrossRef] [PubMed]
- Marcos, B.; Gil-Bea, F.J.; Hirst, W.D.; García-Alloza, M.; Ramírez, M.J. Lack of Localization of 5-HT6 Receptors on Cholinergic Neurons: Implication of Multiple Neurotransmitter Systems in 5-HT6 Receptor-Mediated Acetylcholine Release. Eur. J. Neurosci. 2006, 24, 1299–1306. [Google Scholar] [CrossRef]
- Canale, V.; Grychowska, K.; Kurczab, R.; Ryng, M.; Keeri, A.R.; Satała, G.; Olejarz-Maciej, A.; Koczurkiewicz, P.; Drop, M.; Blicharz, K.; et al. A Dual-Acting 5-HT6 Receptor Inverse Agonist/MAO-B Inhibitor Displays Glioprotective and pro-Cognitive Properties. Eur. J. Med. Chem. 2020, 208, 112765. [Google Scholar] [CrossRef]
- Liu, D.; Zhang, H.; Wang, Y.; Liu, W.; Yin, G.; Wang, D.; Li, J.; Shi, T.; Wang, Z. Design, Synthesis, and Biological Evaluation of Carbamate Derivatives of N-Salicyloyl Tryptamine as Multifunctional Agents for the Treatment of Alzheimer’s Disease. Eur. J. Med. Chem. 2022, 229, 114044. [Google Scholar] [CrossRef] [PubMed]
- Wichur, T.; Godyń, J.; Góral, I.; Latacz, G.; Bucki, A.; Siwek, A.; Głuch-Lutwin, M.; Mordyl, B.; Śniecikowska, J.; Walczak, M.; et al. Development and Crystallography-Aided SAR Studies of Multifunctional BuChE Inhibitors and 5-HT6R Antagonists with β-Amyloid Anti-Aggregation Properties. Eur. J. Med. Chem. 2021, 225, 113792. [Google Scholar] [CrossRef]
- Toublet, F.X.; Lalut, J.; Hatat, B.; Lecoutey, C.; Davis, A.; Since, M.; Corvaisier, S.; Freret, T.; Sopková-de Oliveira Santos, J.; Claeysen, S.; et al. Pleiotropic Prodrugs: Design of a Dual Butyrylcholinesterase Inhibitor and 5-HT6 Receptor Antagonist with Therapeutic Interest in Alzheimer’s Disease. Eur. J. Med. Chem. 2021, 210, 113059. [Google Scholar] [CrossRef] [PubMed]
- Bucki, A.; Marcinkowska, M.; Śniecikowska, J.; Wiȩckowski, K.; Pawłowski, M.; Głuch-Lutwin, M.; Gryboś, A.; Siwek, A.; Pytka, K.; Jastrzȩbska-Wiȩsek, M.; et al. Novel 3-(1,2,3,6-Tetrahydropyridin-4-Yl)-1H-Indole-Based Multifunctional Ligands with Antipsychotic-Like, Mood-Modulating, and Procognitive Activity. J. Med. Chem. 2017, 60, 7483–7501. [Google Scholar] [CrossRef]
- Yi, C.; Xue, Y.; Chen, K.; Wang, T.; Yu, J.; Wang, Z.; Jin, C. Novel Difluoromethyl-Containing 1-((4-Methoxy-3-(Piperazin-1-Yl)Phenyl)Sulfonyl)-1H-Indole Scaffold as Potent 5-HT6R Antagonists: Design, Synthesis, Biological Evaluation, and Early in Vivo Cognition-Enhancing Studies. Bioorg. Med. Chem. 2022, 70, 116917. [Google Scholar] [CrossRef]
- Jiao, S.S.; Shen, L.L.; Zhu, C.; Bu, X.L.; Liu, Y.H.; Liu, C.H.; Yao, X.Q.; Zhang, L.L.; Zhou, H.D.; Walker, D.G.; et al. Brain-Derived Neurotrophic Factor Protects against Tau-Related Neurodegeneration of Alzheimer’s Disease. Transl. Psychiatry 2016, 6, e907. [Google Scholar] [CrossRef]
- Bolognesi, M.L.; Bartolini, M.; Tarozzi, A.; Morroni, F.; Lizzi, F.; Milelli, A.; Minarini, A.; Rosini, M.; Hrelia, P.; Andrisano, V.; et al. Multitargeted Drugs Discovery: Balancing Anti-Amyloid and Anticholinesterase Capacity in a Single Chemical Entity. Bioorg. Med. Chem. Lett. 2011, 21, 2655–2658. [Google Scholar] [CrossRef]
- Unzeta, M.; Esteban, G.; Bolea, I.; Fogel, W.A.; Ramsay, R.R.; Youdim, M.B.H.; Tipton, K.F.; Marco-Contelles, J. Multi-Target Directed Donepezil-like Ligands for Alzheimer’s Disease. Front. Neurosci. 2016, 10, 205. [Google Scholar] [CrossRef] [PubMed]
- Mao, F.; Yan, J.; Li, J.; Jia, X.; Miao, H.; Sun, Y.; Huang, L.; Li, X. New Multi-Target-Directed Small Molecules against Alzheimer’s Disease: A Combination of Resveratrol and Clioquinol. Org. Biomol. Chem. 2014, 12, 5936–5944. [Google Scholar] [CrossRef] [PubMed]
- Spilovska, K.; Korabecny, J.; Nepovimova, E.; Dolezal, R.; Mezeiova, E.; Soukup, O.; Kuca, K. Multitarget Tacrine Hybrids with Neuroprotective Properties to Confront Alzheimer’s Disease. Curr. Top. Med. Chem. 2016, 17, 1006–1026. [Google Scholar] [CrossRef]
- Prati, F.; Bergamini, C.; Fato, R.; Soukup, O.; Korabecny, J.; Andrisano, V.; Bartolini, M.; Bolognesi, M.L. Novel 8-Hydroxyquinoline Derivatives as Multitarget Compounds for the Treatment of Alzheimer′s Disease. ChemMedChem 2016, 11, 1284–1295. [Google Scholar] [CrossRef]
- Bharate, S.B.; Manda, S.; Joshi, P.; Singh, B.; Vishwakarma, R.A. Total Synthesis and Anti-Cholinesterase Activity of Marine-Derived Bis-Indole Alkaloid Fascaplysin. Medchemcomm 2012, 3, 1098–1103. [Google Scholar] [CrossRef]
- Sun, Q.; Liu, F.; Sang, J.; Lin, M.; Ma, J.; Xiao, X.; Yan, S.; Benjamin Naman, C.; Wang, N.; He, S.; et al. 9-Methylfascaplysin Is a More Potent Aβ Aggregation Inhibitor than the Marine-Derived Alkaloid, Fascaplysin, and Produces Nanomolar Neuroprotective Effects in SH-SY5Y Cells. Mar. Drugs 2019, 17, 121. [Google Scholar] [CrossRef]
- Pan, H.; Qiu, H.; Zhang, K.; Zhang, P.; Liang, W.; Yang, M.; Mou, C.; Lin, M.; He, M.; Xiao, X.; et al. Fascaplysin Derivatives Are Potent Multitarget Agents against Alzheimer’s Disease: In Vitro and in Vivo Evidence. ACS Chem. Neurosci. 2019, 10, 4741–4756. [Google Scholar] [CrossRef] [PubMed]
- Nuthakki, V.K.; Mudududdla, R.; Sharma, A.; Kumar, A.; Bharate, S.B. Synthesis and Biological Evaluation of Indoloquinoline Alkaloid Cryptolepine and Its Bromo-Derivative as Dual Cholinesterase Inhibitors. Bioorg. Chem. 2019, 90, 103062. [Google Scholar] [CrossRef]
- Kashyap, P.; Kalaiselvan, V.; Kumar, R.; Kumar, S. Ajmalicine and Reserpine: Indole Alkaloids as Multi-Target Directed Ligands Towards Factors Implicated in Alzheimer’s Disease. Molecules 2020, 25, 1609. [Google Scholar] [CrossRef]
- de Candia, M.; Zaetta, G.; Denora, N.; Tricarico, D.; Majellaro, M.; Cellamare, S.; Altomare, C.D. New Azepino[4,3-b]Indole Derivatives as Nanomolar Selective Inhibitors of Human Butyrylcholinesterase Showing Protective Effects against NMDA-Induced Neurotoxicity. Eur. J. Med. Chem. 2017, 125, 288–298. [Google Scholar] [CrossRef]
- Purgatorio, R.; de Candia, M.; Catto, M.; Carrieri, A.; Pisani, L.; De Palma, A.; Toma, M.; Ivanova, O.A.; Voskressensky, L.G.; Altomare, C.D. Investigating 1,2,3,4,5,6-Hexahydroazepino[4,3-b]Indole as Scaffold of Butyrylcholinesterase-Selective Inhibitors with Additional Neuroprotective Activities for Alzheimer’s Disease. Eur. J. Med. Chem. 2019, 177, 414–424. [Google Scholar] [CrossRef]
- Montanari, S.; Scalvini, L.; Bartolini, M.; Belluti, F.; Gobbi, S.; Andrisano, V.; Ligresti, A.; Di Marzo, V.; Rivara, S.; Mor, M.; et al. Fatty Acid Amide Hydrolase (FAAH), Acetylcholinesterase (AChE), and Butyrylcholinesterase (BuChE): Networked Targets for the Development of Carbamates as Potential Anti-Alzheimer’s Disease Agents. J. Med. Chem. 2016, 59, 6387–6406. [Google Scholar] [CrossRef]
- Bhuniya, D.; Kharul, R.K.; Hajare, A.; Shaikh, N.; Bhosale, S.; Balwe, S.; Begum, F.; De, S.; Athavankar, S.; Joshi, D.; et al. Discovery and Evaluation of Novel FAAH Inhibitors in Neuropathic Pain Model. Bioorg. Med. Chem. Lett. 2019, 29, 238–243. [Google Scholar] [CrossRef] [PubMed]
- Greco, R.; Demartini, C.; Zanaboni, A.M.; Tumelero, E.; Reggiani, A.; Misto, A.; Piomelli, D.; Tassorelli, C. FAAH Inhibition as a Preventive Treatment for Migraine: A Pre-Clinical Study. Neurobiol. Dis. 2020, 134, 104624. [Google Scholar] [CrossRef]
- Tripathi, R.K.P.; Ayyannan, S.R. Exploration of Dual Fatty Acid Amide Hydrolase and Cholinesterase Inhibitory Potential of Some 3-Hydroxy-3-Phenacyloxindole Analogs. Arch. Pharm. 2020, 353, 2000036. [Google Scholar] [CrossRef]
- Saini, N.; Akhtar, A.; Chauhan, M.; Dhingra, N.; Pilkhwal Sah, S. Protective Effect of Indole-3-Carbinol, an NF-ΚB Inhibitor in Experimental Paradigm of Parkinson’s Disease: In Silico and in Vivo Studies. Brain. Behav. Immun. 2020, 90, 108–137. [Google Scholar] [CrossRef]
- Chen, C.; Xia, B.; Tang, L.; Wu, W.; Tang, J.; Liang, Y.; Yang, H.; Zhang, Z.; Lu, Y.; Chen, G.; et al. Echinacoside Protects against MPTP/MPP + -Induced Neurotoxicity via Regulating Autophagy Pathway Mediated by Sirt1. Metab. Brain Dis. 2019, 34, 203–212. [Google Scholar] [PubMed]
- Mohamad, K.A.; El-Naga, R.N.; Wahdan, S.A. Neuroprotective Effects of Indole-3-Carbinol on the Rotenone Rat Model of Parkinson’s Disease: Impact of the SIRT1-AMPK Signaling Pathway. Toxicol. Appl. Pharmacol. 2022, 435, 115853. [Google Scholar] [CrossRef] [PubMed]
- Yıldız, M.; Bingul, M.; Zorlu, Y.; Saglam, M.F.; Boga, M.; Temel, M.; Koca, M.S.; Kandemir, H.; Sengul, I.F. Dimethoxyindoles Based Thiosemicarbazones as Multi-Target Agents; Synthesis, Crystal Interactions, Biological Activity and Molecular Modeling. Bioorg. Chem. 2022, 120, 105647. [Google Scholar] [CrossRef]
- Bingul, M.; Şenkuytu, E.; Saglam, M.F.; Boga, M.; Kandemir, H.; Sengul, I.F. Synthesis, Photophysical and Antioxidant Properties of Carbazole-Based Bis-Thiosemicarbazones. Res. Chem. Intermed. 2019, 45, 4487–4499. [Google Scholar] [CrossRef]
- Jawaria, R.; Hussain, M.; Ahmad, H.B.; Ashraf, M.; Hussain, S.; Naseer, M.M.; Khalid, M.; Hussain, M.A.; al-Rashida, M.; Tahir, M.N.; et al. Probing Ferrocene-Based Thiosemicarbazones and Their Transition Metal Complexes as Cholinesterase Inhibitors. Inorganica Chim. Acta 2020, 508, 119658. [Google Scholar] [CrossRef]
- Sîrbu, A.; Palamarciuc, O.; Babak, M.V.; Lim, J.M.; Ohui, K.; Enyedy, E.A.; Shova, S.; Darvasiová, D.; Rapta, P.; Ang, W.H.; et al. Copper(II) Thiosemicarbazone Complexes Induce Marked ROS Accumulation and Promote Nrf2-Mediated Antioxidant Response in Highly Resistant Breast Cancer Cells. Dalt. Trans. 2017, 46, 3833–3847. [Google Scholar] [CrossRef] [PubMed]
- Andres, S.A.; Bajaj, K.; Vishnosky, N.S.; Peterson, M.A.; Mashuta, M.S.; Buchanan, R.M.; Bates, P.J.; Grapperhaus, C.A. Synthesis, Characterization, and Biological Activity of Hybrid Thiosemicarbazone-Alkylthiocarbamate Metal Complexes. Inorg. Chem. 2020, 59, 4924–4935. [Google Scholar] [CrossRef]
- Wei, G.Z.; Martin, K.A.; Xing, P.Y.; Agrawal, R.; Whiley, L.; Wood, T.K.; Hejndorf, S.; Ng, Y.Z.; Low, J.Z.Y.; Rossant, J.; et al. Tryptophan-Metabolizing Gut Microbes Regulate Adult Neurogenesis via the Aryl Hydrocarbon Receptor. Proc. Natl. Acad. Sci. USA 2021, 118, e2021091118. [Google Scholar] [CrossRef]
- Yin, J.; Zhang, B.; Yu, Z.; Hu, Y.; Lv, H.; Ji, X.; Wang, J.; Peng, B.; Wang, S. Ameliorative Effect of Dietary Tryptophan on Neurodegeneration and Inflammation in D-Galactose-Induced Aging Mice with the Potential Mechanism Relying on AMPK/SIRT1/PGC-1α Pathway and Gut Microbiota. J. Agric. Food Chem. 2021, 69, 4732–4744. [Google Scholar] [CrossRef]
- Yin, J.; Zhang, Y.; Liu, X.; Li, W.; Hu, Y.; Zhang, B.; Wang, S. Gut Microbiota-Derived Indole Derivatives Alleviate Neurodegeneration in Aging through Activating GPR30/AMPK/SIRT1 Pathway. Mol. Nutr. Food Res. 2023, 67, 2200739. [Google Scholar] [CrossRef] [PubMed]
- Chang, K.H.; Lin, C.H.; Chen, H.C.; Huang, H.Y.; Chen, S.L.; Lin, T.H.; Ramesh, C.; Huang, C.C.; Fung, H.C.; Wu, Y.R.; et al. The Potential of Indole/Indolylquinoline Compounds in Tau Misfolding Reduction by Enhancement of HSPB1. CNS Neurosci. Ther. 2017, 23, 45–56. [Google Scholar] [CrossRef]
- Chen, C.M.; Chen, W.L.; Hung, C.T.; Lin, T.H.; Chao, C.Y.; Lin, C.H.; Wu, Y.R.; Chang, K.H.; Yao, C.F.; Lee-Chen, G.J.; et al. The Indole Compound NC009-1 Inhibits Aggregation and Promotes Neurite Outgrowth through Enhancement of HSPB1 in SCA17 Cells and Ameliorates the Behavioral Deficits in SCA17 Mice. Neurotoxicology 2018, 67, 259–269. [Google Scholar] [CrossRef]
- Chen, Y.C.; Chiu, Y.J.; Lin, C.H.; Hsu, W.C.; Wu, J.L.; Huang, C.H.; Lin, C.W.; Yao, C.F.; Huang, H.J.; Lo, Y.S.; et al. Indole Compound NC009-1 Augments APOE and TRKA in Alzheimer’s Disease Cell and Mouse Models for Neuroprotection and Cognitive Improvement. J. Alzheimer’s Dis. 2019, 67, 737–756. [Google Scholar] [CrossRef]
- Chiu, Y.-J.; Lin, C.-H.; Lin, C.-Y.; Yang, P.-N.; Lo, Y.-S.; Chen, Y.-C.; Chen, C.-M.; Wu, Y.-R.; Yao, C.-F.; Chang, K.-H.; et al. Investigating Therapeutic Effects of Indole Derivatives Targeting Inflammation and Oxidative Stress in Neurotoxin-Induced Cell and Mouse Models of Parkinson’s Disease. Int. J. Mol. Sci. 2023, 24, 2642. [Google Scholar] [CrossRef] [PubMed]
- Da Pozzo, E.; Giacomelli, C.; Costa, B.; Cavallini, C.; Taliani, S.; Barresi, E.; Da Settimo, F.; Martini, C. TSPO PIGA Ligands Promote Neurosteroidogenesis and Human Astrocyte Well-Being. Int. J. Mol. Sci. 2016, 17, 1028. [Google Scholar] [CrossRef]
- Santoro, A.; Mattace Raso, G.; Taliani, S.; Da Pozzo, E.; Simorini, F.; Costa, B.; Martini, C.; Laneri, S.; Sacchi, A.; Cosimelli, B.; et al. TSPO-Ligands Prevent Oxidative Damage and Inflammatory Response in C6 Glioma Cells by Neurosteroid Synthesis. Eur. J. Pharm. Sci. 2016, 88, 124–131. [Google Scholar] [CrossRef]
- Germelli, L.; Da Pozzo, E.; Giacomelli, C.; Tremolanti, C.; Marchetti, L.; Wetzel, C.H.; Barresi, E.; Taliani, S.; Da Settimo, F.; Martini, C.; et al. De Novo Neurosteroidogenesis in Human Microglia: Involvement of the 18 KDa Translocator Protein. Int. J. Mol. Sci. 2021, 22, 3115. [Google Scholar] [CrossRef] [PubMed]
- Tremolanti, C.; Cavallini, C.; Meyer, L.; Klein, C.; Da Pozzo, E.; Costa, B.; Germelli, L.; Taliani, S.; Patte-Mensah, C.; Mensah-Nyagan, A.G. Translocator Protein Ligand PIGA1138 Reduces Disease Symptoms and Severity in Experimental Autoimmune Encephalomyelitis Model of Primary Progressive Multiple Sclerosis. Mol. Neurobiol. 2022, 59, 1744–1765. [Google Scholar] [CrossRef]
- Angeloni, E.; Germelli, L.; Marchetti, L.; Da Pozzo, E.; Tremolanti, C.; Wetzel, C.H.; Baglini, E.; Taliani, S.; Da Settimo, F.; Martini, C.; et al. The Human Microglial Surveillant Phenotype Is Preserved by de Novo Neurosteroidogenesis through the Control of Cholesterol Homeostasis: Crucial Role of 18 KDa Translocator Protein. Biochim. Biophys. Acta Mol. Basis Dis. 2023, 1869, 166751. [Google Scholar] [CrossRef]
- Singh, Y.P.; Kumar, H. Tryptamine: A Privileged Scaffold for the Management of Alzheimer’s Disease. Drug Dev. Res. 2023, 84, 1578–1594. [Google Scholar] [CrossRef] [PubMed]
- Zhao, Y.; Ye, F.; Xu, J.; Liao, Q.; Chen, L.; Zhang, W.; Sun, H.; Liu, W.; Feng, F.; Qu, W. Design, Synthesis and Evaluation of Novel Bivalent β-Carboline Derivatives as Multifunctional Agents for the Treatment of Alzheimer’s Disease. Bioorg. Med. Chem. 2018, 26, 3812–3824. [Google Scholar] [CrossRef] [PubMed]
- Liao, Q.; Li, Q.; Zhao, Y.; Jiang, P.; Yan, Y.; Sun, H.; Liu, W.; Feng, F.; Qu, W. Design, Synthesis and Biological Evaluation of Novel Carboline-Cinnamic Acid Hybrids as Multifunctional Agents for Treatment of Alzheimer’s Disease. Bioorg. Chem. 2020, 99, 103844. [Google Scholar] [CrossRef]
- Chalupova, K.; Korabecny, J.; Bartolini, M.; Monti, B.; Lamba, D.; Caliandro, R.; Pesaresi, A.; Brazzolotto, X.; Gastellier, A.J.; Nachon, F.; et al. Novel Tacrine-Tryptophan Hybrids: Multi-Target Directed Ligands as Potential Treatment for Alzheimer’s Disease. Eur. J. Med. Chem. 2019, 168, 491–514. [Google Scholar] [CrossRef]
- Maitre, M.; Klein, C.; Patte-Mensah, C.; Mensah-Nyagan, A.G. Tryptophan Metabolites Modify Brain Aβ Peptide Degradation: A Role in Alzheimer’s Disease? Prog. Neurobiol. 2020, 190, 101800. [Google Scholar] [CrossRef] [PubMed]
- Arumugam, N.; Almansour, A.I.; Suresh Kumar, R.; Altaf, M.; Padmanaban, R.; Sureshbabu, P.; Angamuthu, G.; Kotresha, D.; Manohar, T.S.; Venketesh, S. Spiropyrrolidine/Spiroindolizino[6,7-b]Indole Heterocyclic Hybrids: Stereoselective Synthesis, Cholinesterase Inhibitory Activity and Their Molecular Docking Study. Bioorg. Chem. 2018, 79, 64–71. [Google Scholar] [CrossRef] [PubMed]
- Matošević, A.; Bosak, A. Carbamate Group as Structural Motif in Drugs: A Review of Carbamate Derivatives Used as Therapeutic Agents. Arh. Hig. Rada Toksikol. 2020, 71, 285–299. [Google Scholar] [CrossRef] [PubMed]
- Darras, F.H.; Kling, B.; Heilmann, J.; Decker, M. Neuroprotective Tri- and Tetracyclic BChE Inhibitors Releasing Reversible Inhibitors upon Carbamate Transfer. ACS Med. Chem. Lett. 2012, 3, 914–919. [Google Scholar] [CrossRef]
- Birks, J.S.; Grimley Evans, J. Rivastigmine for Alzheimer’s Disease. Cochrane Database Syst. Rev. 2015, 2015, CD001191. [Google Scholar] [CrossRef]
- Fan, X.; Li, J.; Deng, X.; Lu, Y.; Feng, Y.; Ma, S.; Wen, H.; Zhao, Q.; Tan, W.; Shi, T.; et al. Design, Synthesis and Bioactivity Study of N-Salicyloyl Tryptamine Derivatives as Multifunctional Agents for the Treatment of Neuroinflammation. Eur. J. Med. Chem. 2020, 193, 112217. [Google Scholar] [CrossRef]
- Zhang, H.; Wang, Y.; Liu, D.; Li, J.; Feng, Y.; Lu, Y.; Yin, G.; Li, Z.; Shi, T.; Wang, Z. Carbamate-Based N-Substituted Tryptamine Derivatives as Novel Pleiotropic Molecules for Alzheimer’s Disease. Bioorg. Chem. 2022, 125, 105844. [Google Scholar] [CrossRef]
- Wang, Y.; Zhang, H.; Liu, D.; Li, X.; Long, L.; Peng, Y.; Qi, F.; Wang, Y.; Jiang, W.; Wang, Z. Discovery of Carbamate-Based N-Salicyloyl Tryptamine Derivatives as Novel Pleiotropic Agents for the Treatment of Alzheimer’s Disease. Bioorg. Chem. 2022, 127, 105993. [Google Scholar] [CrossRef]
- Ghafary, S.; Najafi, Z.; Mohammadi-Khanaposhtani, M.; Nadri, H.; Edraki, N.; Ayashi, N.; Larijani, B.; Amini, M.; Mahdavi, M. Novel Cinnamic Acid—Tryptamine Hybrids as Potent Butyrylcholinesterase Inhibitors: Synthesis, Biological Evaluation, and Docking Study. Arch. Pharm. 2018, 351, 1800115. [Google Scholar] [CrossRef]
- Singh, Y.P.; Tej, G.N.V.C.; Pandey, A.; Priya, K.; Pandey, P.; Shankar, G.; Nayak, P.K.; Rai, G.; Chittiboyina, A.G.; Doerksen, R.J.; et al. Design, Synthesis and Biological Evaluation of Novel Naturally-Inspired Multifunctional Molecules for the Management of Alzheimer’s Disease. Eur. J. Med. Chem. 2020, 198, 112257. [Google Scholar] [CrossRef]
- Yang, X.; Tohda, C. Diosgenin Restores Aβ-Induced Axonal Degeneration by Reducing the Expression of Heat Shock Cognate 70 (HSC70). Sci. Rep. 2018, 8, 11707. [Google Scholar] [CrossRef]
- Zhou, L.C.; Liang, Y.F.; Huang, Y.; Yang, G.X.; Zheng, L.L.; Sun, J.M.; Li, Y.; Zhu, F.L.; Qian, H.W.; Wang, R.; et al. Design, Synthesis, and Biological Evaluation of Diosgenin-Indole Derivatives as Dual-Functional Agents for the Treatment of Alzheimer’s Disease. Eur. J. Med. Chem. 2021, 219, 113426. [Google Scholar] [CrossRef] [PubMed]
- García-Palomero, E.; Muñoz, P.; Usan, P.; Garcia, P.; Delgado, E.; De Austria, C.; Valenzuela, R.; Rubio, L.; Medina, M.; Martínez, A. Potent β-Amyloid Modulators. Neurodegener. Dis. 2008, 5, 153–156. [Google Scholar] [CrossRef]
- Chierrito, T.P.C.; Pedersoli-Mantoani, S.; Roca, C.; Sebastian-Pérez, V.; Martínez-Gonzalez, L.; Pérez, D.I.; Perez, C.; Canales, A.; Cañada, F.J.; Campillo, N.E.; et al. Chameleon-like Behavior of Indolylpiperidines in Complex with Cholinesterases Targets: Potent Butyrylcholinesterase Inhibitors. Eur. J. Med. Chem. 2018, 145, 431–444. [Google Scholar] [CrossRef]
- Lamie, P.F.; Abdel-Fattah, M.M.; Philoppes, J.N. Design and Synthesis of New Indole Drug Candidates to Treat Alzheimer’s Disease and Targeting Neuro-Inflammation Using a Multi-Target-Directed Ligand (MTDL) Strategy. J. Enzyme Inhib. Med. Chem. 2022, 37, 2660–2678. [Google Scholar] [CrossRef]
- Mphahlele, M.J.; Agbo, E.N.; Gildenhuys, S.; Setshedi, I.B. Exploring Biological Activity of 4-Oxo-4H-Furo[2,3-h]Chromene Derivatives as Potential Multi-Target-Directed Ligands Inhibiting Cholinesterases, β-Secretase, Cyclooxygenase-2, and Lipoxygenase-5/15. Biomolecules 2019, 9, 736. [Google Scholar] [CrossRef] [PubMed]
- Angelova, V.T.; Georgiev, B.; Pencheva, T.; Pajeva, I.; Rangelov, M.; Todorova, N.; Zheleva-Dimitrova, D.; Kalcheva-Yovkova, E.; Valkova, I.V.; Vassilev, N.; et al. Design, Synthesis, In Silico Studies and In Vitro Evaluation of New Indole- and/or Donepezil-like Hybrids as Multitarget-Directed Agents for Alzheimer’s Disease. Pharmaceuticals 2023, 16, 1194. [Google Scholar] [CrossRef]
- Więckowska, A.; Kołaczkowski, M.; Bucki, A.; Godyń, J.; Marcinkowska, M.; Więckowski, K.; Zaręba, P.; Siwek, A.; Kazek, G.; Głuch-Lutwin, M.; et al. Novel Multi-Target-Directed Ligands for Alzheimer’s Disease: Combining Cholinesterase Inhibitors and 5-HT6 Receptor Antagonists. Design, Synthesis and Biological Evaluation. Eur. J. Med. Chem. 2016, 124, 63–81. [Google Scholar] [CrossRef] [PubMed]
- Szałaj, N.; Godyń, J.; Jończyk, J.; Pasieka, A.; Panek, D.; Wichur, T.; Więckowski, K.; Zaręba, P.; Bajda, M.; Pislar, A.; et al. Multidirectional in Vitro and in Cellulo Studies as a Tool for Identification of Multi-Target-Directed Ligands Aiming at Symptoms and Causes of Alzheimer’s Disease. J. Enzyme Inhib. Med. Chem. 2020, 35, 1944–1952. [Google Scholar] [CrossRef]
- Weinreb, O.; Amit, T.; Bar-Am, O.; Youdim, M.B.H. Ladostigil: A Novel Multimodal Neuroprotective Drug with Cholinesterase and Brain-Selective Monoamine Oxidase Inhibitory Activities for Alzheimers Disease Treatment. Curr. Drug Targets 2012, 13, 483–494. [Google Scholar] [CrossRef]
- Denya, I.; Malan, S.F.; Enogieru, A.B.; Omoruyi, S.I.; Ekpo, O.E.; Kapp, E.; Zindo, F.T.; Joubert, J. Design, Synthesis and Evaluation of Indole Derivatives as Multifunctional Agents against Alzheimer’s Disease. Medchemcomm 2018, 9, 357–370. [Google Scholar] [CrossRef]
- Pachón-Angona, I.; Refouvelet, B.; Andrýs, R.; Martin, H.; Luzet, V.; Iriepa, I.; Moraleda, I.; Diez-Iriepa, D.; Oset-Gasque, M.J.; Marco-Contelles, J.; et al. Donepezil + Chromone + Melatonin Hybrids as Promising Agents for Alzheimer’s Disease Therapy. J. Enzyme Inhib. Med. Chem. 2019, 34, 479–489. [Google Scholar] [CrossRef] [PubMed]
- Shahid Nadeem, M.; Azam Khan, J.; Kazmi, I.; Rashid, U. Design, Synthesis, and Bioevaluation of Indole Core Containing 2-Arylidine Derivatives of Thiazolopyrimidine as Multitarget Inhibitors of Cholinesterases and Monoamine Oxidase A/B for the Treatment of Alzheimer Disease. ACS Omega 2022, 7, 9369–9379. [Google Scholar] [CrossRef] [PubMed]
- Budd Haeberlein, S.L.; Harris, T.J.R. Promising Targets for the Treatment of Neurodegenerative Diseases. Clin. Pharmacol. Ther. 2015, 98, 492–501. [Google Scholar] [CrossRef]
- Palanisamy, C.P.; Pei, J.J.; Alugoju, P.; Anthikapalli, N.V.A.; Jayaraman, S.; Veeraraghavan, V.P.; Gopathy, S.; Roy, J.R.; Janaki, C.S.; Thalamati, D.; et al. New Strategies of Neurodegenerative Disease Treatment with Extracellular Vesicles (EVs) Derived from Mesenchymal Stem Cells (MSCs). Theranostics 2023, 13, 4138–4165. [Google Scholar] [CrossRef]
- Kakoti, B.B.; Bezbaruah, R.; Ahmed, N. Therapeutic Drug Repositioning with Special Emphasis on Neurodegenerative Diseases: Threats and Issues. Front. Pharmacol. 2022, 13, 1007315. [Google Scholar] [CrossRef]
- Paranjpe, M.D.; Taubes, A.; Sirota, M. Insights into Computational Drug Repurposing for Neurodegenerative Disease. Trends Pharmacol. Sci. 2019, 40, 565–576. [Google Scholar] [CrossRef] [PubMed]
- Durães, F.; Pinto, M.; Sousa, E. Old Drugs as New Treatments for Neurodegenerative Diseases. Pharmaceuticals 2018, 11, 44. [Google Scholar] [CrossRef]
- Xu, H.; Wang, Y.; Dong, H.; Zhang, Y.; Gu, Y.; Zhang, S.; Meng, Y.; Li, J.; Shi, X.J.; Ji, Q.; et al. Selenylation Chemistry Suitable for On-Plate Parallel and On-DNA Library Synthesis Enabling High-Throughput Medicinal Chemistry. Angew. Chem. Int. Ed. 2022, 61, e202206516. [Google Scholar] [CrossRef]









































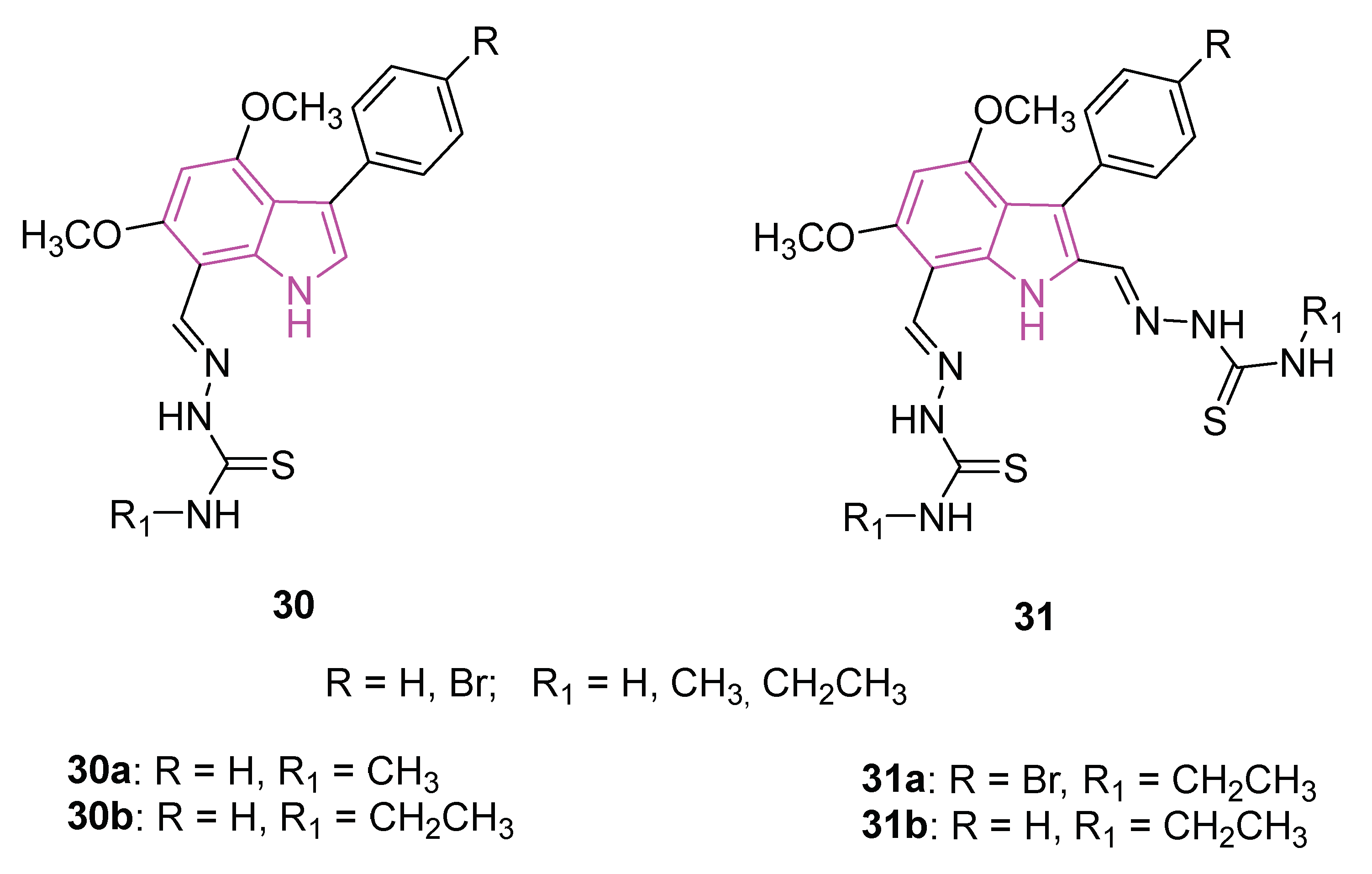
| Comp. | Experimental ChE Inhibitory Activity | IC50 Values (μM) DPPH Free Radical | A0.s Values (μM) | ||
|---|---|---|---|---|---|
| hAChE (μM) | hBChE (μM) | ABTS Cation Radical | CUPRAC | ||
| 30a | 30.39 ± 0.24 | 7.42 ± 0.04 | 73.73 ± 0.43 | 17.38 ± 0.29 | 19.88 ± 1.10 |
| 30b | 59.37 ± 0.38 | 1.95 ± 0.02 | 45.37 ± 0.46 | 17.66 ± 0.49 | 21.64 ± 0.92 |
| 31a | 74.46 ± 0.45 | 42.01 ± 0.27 | 26.88 ± 1.03 | 85.19 ± 1.41 | 17.84 ± 1.07 |
| 31b | 66.79 ± 0.91 | 8.48 ± 0.09 | 27.65 ± 0.85 | 69.33 ± 1.29 | 16.28 ± 0.80 |
| Galantamine | 19.86 ± 0.17 | 40.90 ± 0.12 | - | - | - |
| BHA | - | - | 45.95 ± 0.32 | 17.59 ± 0.10 | 18.44 ± 0.15 |
| BHT | - | - | 58.86 ± 0.50 | 13.25 ± 0.27 | 26.64 ± 0.14 |
| α-tocopherol | - | - | 16.30 ± 0.79 | 9.74 ± 0.42 | - |
| Cpd | Class | Target | Activity In Vitro | Activity In Vivo | Other Characteristics | Possible Use in ND | Ref. |
|---|---|---|---|---|---|---|---|
![]() | Tryptophan analogue ChE inhibitor | hBChE | hBChE IC50: 22 nM | Improvement in long-term memory and spatial long-term memory retrieval in AD mouse model | High permeability across the BBB | Alzheimer disease | [36] |
![]() | Indole-based protein aggregate inhibitor | PKCα | In SH-SY5Y cell line reduced PKCα activity and the tau phosphorylation | Reversed tau-induced memory impairment, and improved midge motor functions | - | Frontotemporal dementia | [48] |
![]() | Indole-piperazine-pyrimidine A2AAR antagonist | A2AAR | Affinity human A2AAR Ki = 8.7 μM | In the Drosophila model of PD enhanced movement and mitigated the loss of dopaminergic neurons | - | Parkinson disease | [60] |
![]() | Indole-based AMPK activator | AMPK | AMPK activation in HEK293 cell lines | Effectiveness in animal models for HD | Favorable in silico druggability profile | Hangtinton disease | [65] |
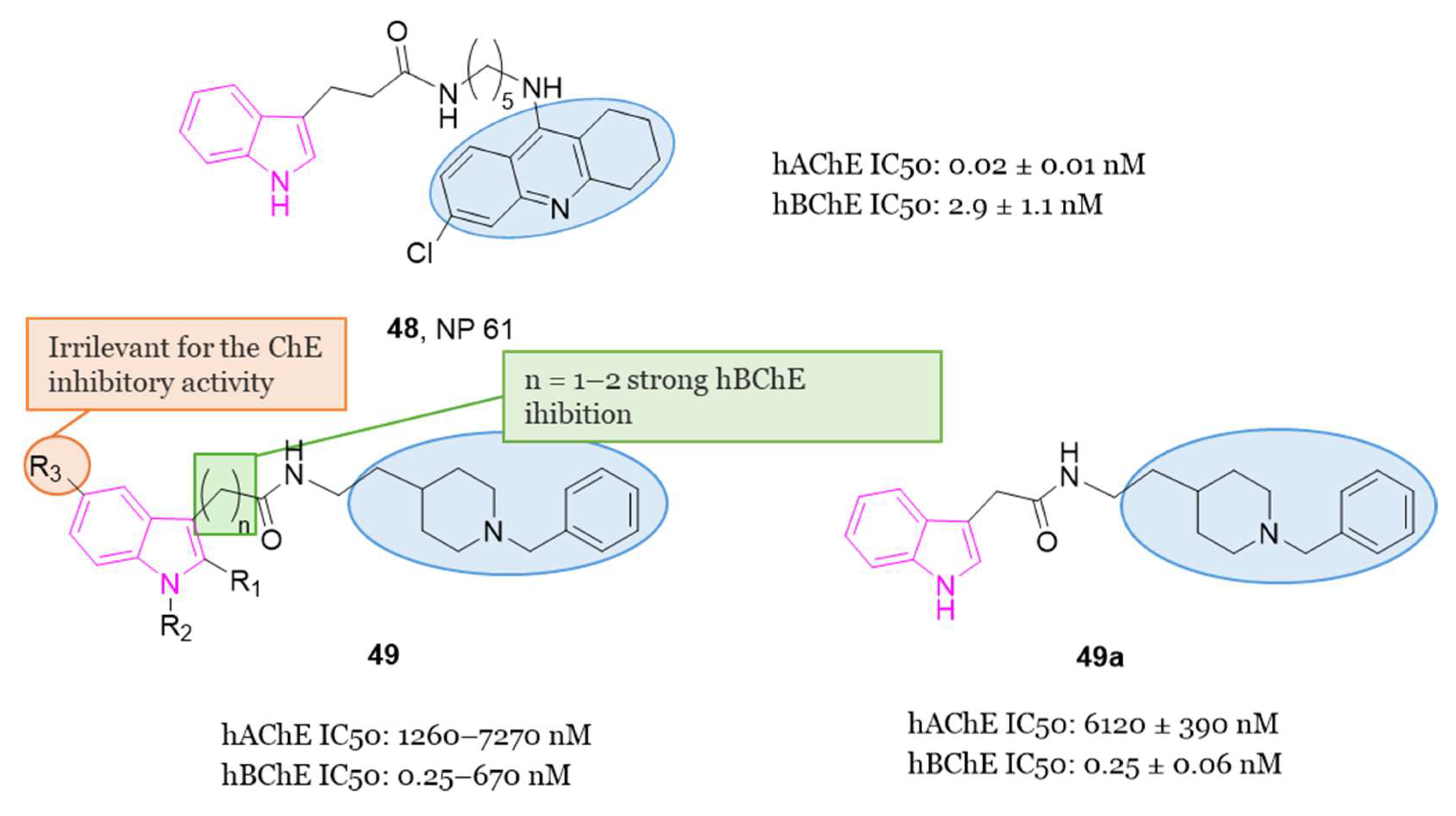
![]() | Multifunctional fascaplysin derivative | ChEs | AChE IC50: 0.95 µM BChE IC50: 2.79 µM reduced neurotoxicity in the nanomolar range | Improve cognitive impairment in mice, without impacting locomotor functions | Capability to penetrate the BBB, lower in vivo acute toxicity than fascaplysin | Alzheimer disease | [88] |
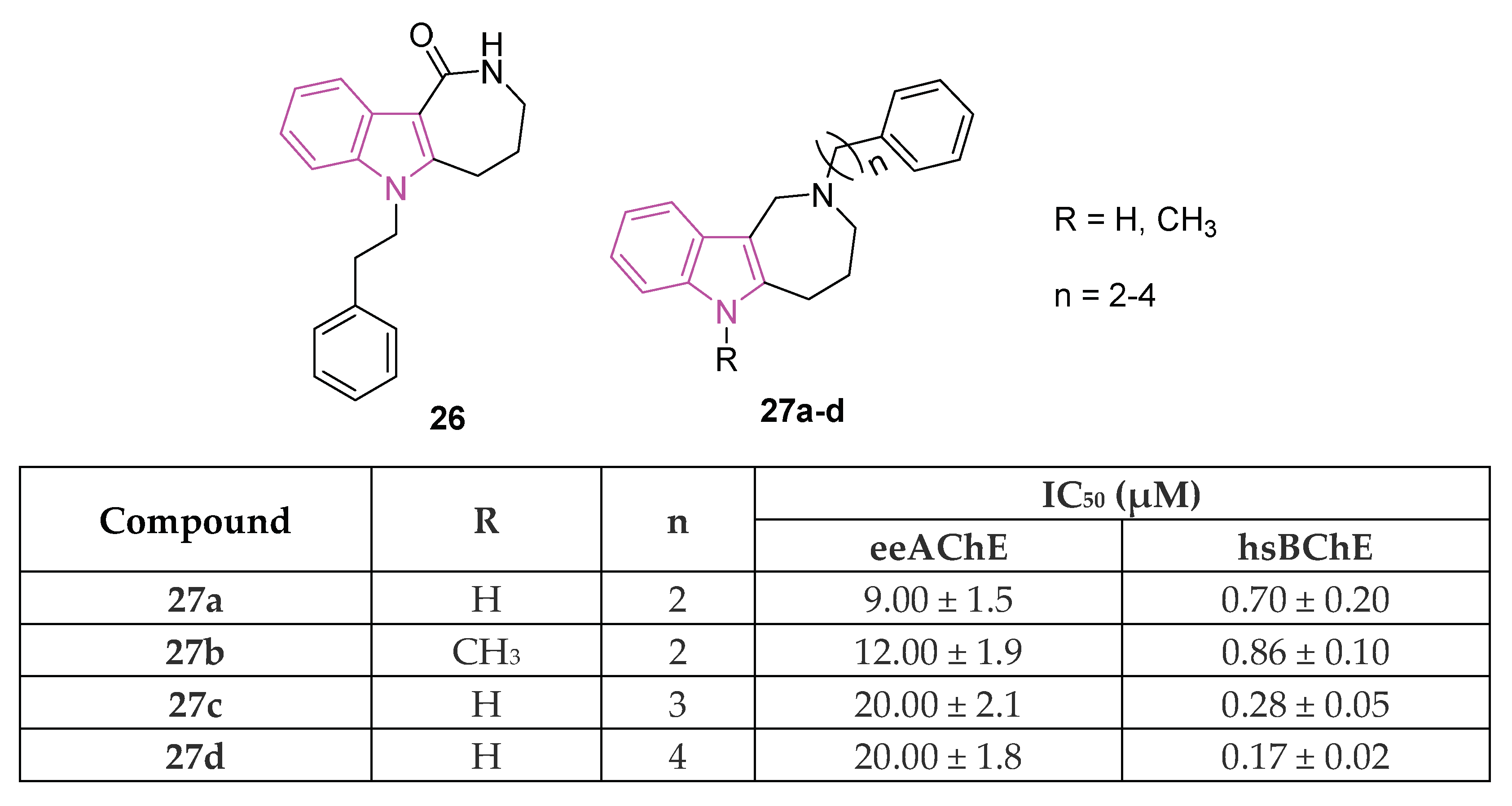
![]() | Multifunctional 1,2,3,4,5,6-hexahydroazepino[4,3-b]indole derivative | ChEs Aβ agg. | eeAChE IC50: 20.00 µM hsBChE IC50: 0.17 µM significant protective effects | Not carried out yet | - | Alzheimer disease | [92] |
![]() | Multifunctional cinnamic acid- β-carbolines hybrids | ChEs Aβ agg. | 39a BChE IC50: 1.32 μM 39b BChE IC50: 6.47 μM non-neurotoxic effects, in PC12, SHSY5Y, BV-2, HT22, and L02 cell lines. reduced ROS production in BV2 cells | In AD mice model, orally administered 39a and 39b restored learning and memory function | - | Alzheimer disease | [119] |
![]() | Multifunctional carbamate- tryptamine hybrid | ChEs | BChE IC50: 0.057 μM neuroprotective, antioxidative, anti-neuroinflammatory | Significantly enhanced learning and memory in a scopolamine-induced mouse amnesia model | - | Alzheimer disease | [128] |
![]() | Multifunctional 1-(phenylsulfonyl) -1H-indole hybrid | BChE 5-HT6R Aβ agg. | BChE IC50: 89.9 nM 5-HT6R Ki: 4.8 nM Aβ42 agg. inhib.: 53.5 % | Not carried out yet | Effectively penetrates the BBB | [76] | |
![]() | Multifunctional carbamate -tryptamine hybrid | BChE 5-HT6R | BChE IC50: 0.97 μM. 5-HT6R Ki: 11.4 nM | Ability to reverse memory deficits induced by scopolamine in vivo | Favorable druggability characteristics | Alzheimer disease | [77] |
![]() | Multifunctional indole-piperazine hybrid | 5-HT6R MAO-B | BChE IC50: 154 nM 5-HT6R Ki: 38 nM | Completely reversed the cognitive impairments in rats subjected NOR task and induced with scopolamine to memory deficits | Metabolic stability, artificial membrane permeability, no hepatotoxicity, good brain distribution | Alzheimer disease | [74] |
Disclaimer/Publisher’s Note: The statements, opinions and data contained in all publications are solely those of the individual author(s) and contributor(s) and not of MDPI and/or the editor(s). MDPI and/or the editor(s) disclaim responsibility for any injury to people or property resulting from any ideas, methods, instructions or products referred to in the content. |
© 2024 by the authors. Licensee MDPI, Basel, Switzerland. This article is an open access article distributed under the terms and conditions of the Creative Commons Attribution (CC BY) license (https://creativecommons.org/licenses/by/4.0/).
Share and Cite
Barresi, E.; Baglini, E.; Poggetti, V.; Castagnoli, J.; Giorgini, D.; Salerno, S.; Taliani, S.; Da Settimo, F. Indole-Based Compounds in the Development of Anti-Neurodegenerative Agents. Molecules 2024, 29, 2127. https://doi.org/10.3390/molecules29092127
Barresi E, Baglini E, Poggetti V, Castagnoli J, Giorgini D, Salerno S, Taliani S, Da Settimo F. Indole-Based Compounds in the Development of Anti-Neurodegenerative Agents. Molecules. 2024; 29(9):2127. https://doi.org/10.3390/molecules29092127
Chicago/Turabian StyleBarresi, Elisabetta, Emma Baglini, Valeria Poggetti, Jacopo Castagnoli, Doralice Giorgini, Silvia Salerno, Sabrina Taliani, and Federico Da Settimo. 2024. "Indole-Based Compounds in the Development of Anti-Neurodegenerative Agents" Molecules 29, no. 9: 2127. https://doi.org/10.3390/molecules29092127
APA StyleBarresi, E., Baglini, E., Poggetti, V., Castagnoli, J., Giorgini, D., Salerno, S., Taliani, S., & Da Settimo, F. (2024). Indole-Based Compounds in the Development of Anti-Neurodegenerative Agents. Molecules, 29(9), 2127. https://doi.org/10.3390/molecules29092127












