Crystal Structure and Intermolecular Energy for Some Nandrolone Esters
Abstract
:1. Introduction
- (i)
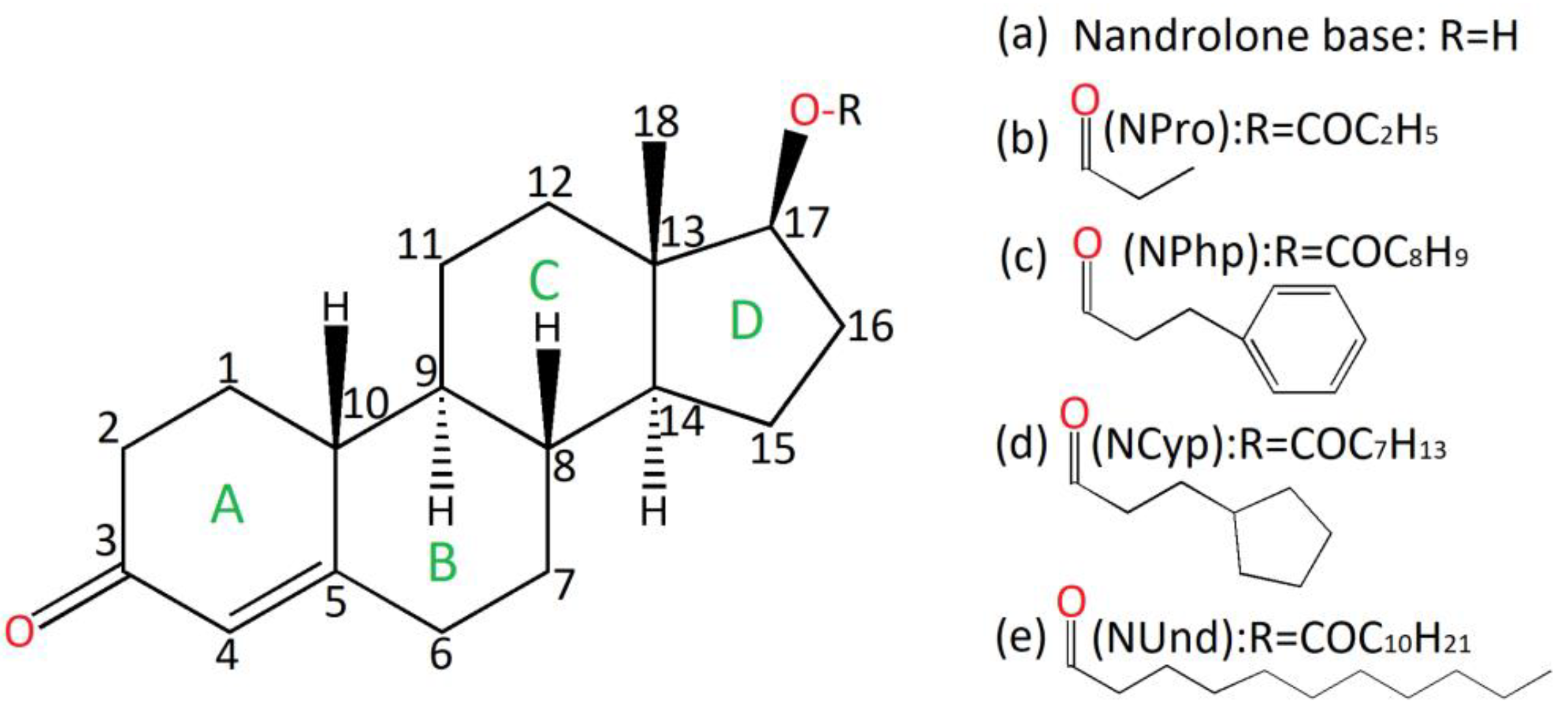
- Nandrolone propionate (19-nortestosterone 17β-propionate, abbreviated NPro, Figure 1b).
- (ii)
- Nandrolone phenylpropionate (19-nortestosterone 17β-phenylpropionate, abbreviated NPhp, Figure 1c).
- (iii)
- Nandrolone cypionate (19-nortestosterone 17β-cyclopentanepropionate, abbreviated NCyp, Figure 1d).
- (iv)
- Nandrolone undecanoate (19-nortestosterone 17β-undecanoate, abbreviated NUnd, Figure 1e).
2. Results
2.1. Analysis of Crystal Structures
2.1.1. NPro (Nandrolone Propionate)
2.1.2. NPhp (Nandrolone Phenylpropionate)
2.1.3. NCyp (Nandrolone Cypionate)
2.1.4. NUnd (Nandrolone Undecanoate)
- (i)
- All esters crystallized in a wide variety of non-centrosymmetric space groups of trigonal, tetragonal, orthorhombic and monoclinic crystal systems.
- (ii)
- Asymmetric units consist of single steroid molecules in short esters (propionate and phenylpropionate) and medium (cypionate) ester and two individual molecules in the long undecanoate ester.
- (iii)
- Despite the fact that combinations of C-H···O interactions are involved in the arrangement of supramolecular assemblies, their contributions compared to the dispersion effects is small (see Table 2 for crystal lattice energies and Table S4, Supplementary Materials, for pairwise intermolecular energies).
- (iv)
- (v)
- From a conformational standpoint of steroid rings, the six-membered A rings are found to have an intermediate sofa–half-chair geometry; both the B and C rings were found to have a chair geometry; the five-membered D rings were found to have an envelope geometry. The anhydrous form of nandrolone depicts similar configurations as well [12,13].
2.2. Crystal Lattice Energies Analysis
2.3. Pairwise Intermolecular Energies Computation
- (i)
- Overall, the dispersion energy plays the most significant role in solid-state cohesion (similar outcome was found in Section 2.2 Crystal lattice energies analysis), followed by the electrostatic component. The polarization component has the smallest impact.
- (ii)
- The polarization terms are the least significant in terms of adhesion, which suggests that the molecules are not polarized.
- (iii)
- Since NPro contains water molecules, compared to NPhp, NCyp and NUnd, their presence increases the weight of the electrostatic component to the total energy of interactions through O-H···O hydrogen bonds.
- (iv)
- Interactions taking place between molecules located roughly parallel are characterized by high values of dispersion energy as a consequence of a large number of contact atoms with a small distance between them; a good example of this is the interaction between the two NUnd molecules in the asymmetric unit.
- (v)
- For molecular pairs located end to end, the electrostatic component becomes more significant.
- (vi)
- Magnitudes of total interaction energies (Etot) were found to be low–medium and had a wide range (from −9.0 to −54.2 kJ/mol) due to the random orientations of neighboring molecules, relative to one another and in the absence of strong hydrogen bonds.
2.4. Hirshfeld Surfaces and Fingerprint Plots Analysis
- (i)
- Fingerprint diagrams of NPhp and NCyp (Figure S3, Supplementary Materials) are symmetrical. This is indicative of crystals with one molecule in the asymmetric unit; NPro (which is a multicomponent structure) and NUnd (characterized by two molecules in asymmetric unit) shows asymmetry in fingerprint plots due to different crystal packing environments in the solid.
- (ii)
- The diagrams of NPro, NPhp and NUnd are characterized by protruding H···O/O···H spikes which suggests the presence of C-H···O hydrogen bonds; NCyp is lacking H···O/O···H spikes due to long donor–acceptor distances (close to the sum of vdW radii) for C-H···O hydrogen bonds.
- (iii)
- The breakdown in quantitative contributions of fingerprint plots (Table S2, Supplementary Materials) exhibit similarities in all four crystals: high percentage for H···H contacts, medium contribution for O···H/H···O contacts and a small percentage for C···H/H···C. These suggest that hydrogen bonds and weak van der Waals interactions ensure stability.
- (iv)
- The percentage of H···O/O···H contacts in NPro is slightly higher compared to the others due to the water molecules which build O-H···O interactions and increase the weight of the Coulombic effects in the overall crystal stability.
- (v)
- High percentages for H···H contacts (breakdown of fingerprint plots in Table S4, Supplementary Materials) supported by lattice and intermolecular interaction energies (Tables S2 and S3 Supplementary Materials) led us to conclude that dispersion effects govern the crystal packing.
2.5. Evaluation of Ester Solubility
2.6. FT-IR Spectroscopy Analysis
2.7. DTA/TG Analysis
3. Materials and Methods
3.1. Materials and Recrystallization Experiments
3.2. Powder X-ray Diffraction
3.3. Single-crystal X-ray Diffraction and Structures Refinement
3.4. Computational Programs
3.5. Solubility Evaluation
3.6. FT-IR Spectroscopy
3.7. Differential Thermal Analysis (DTA) and Thermogravimetric Analysis (TG)
4. Conclusions
Supplementary Materials
Author Contributions
Funding
Institutional Review Board Statement
Informed Consent Statement
Data Availability Statement
Conflicts of Interest
Sample Availability
References
- Bricout, V.; Wright, F. Update on nandrolone and norsteroids: How endogenous or xenobiotic are these substances? Eur. J. Appl. Physiol. 2004, 92, 1–12. [Google Scholar] [CrossRef] [PubMed]
- Lippi, G.; Franchini, M.; Banfi, G. Biochemistry and physiology of anabolic androgenic steroids doping. Mini. Rev. Med. Chem. 2011, 11, 362–373. [Google Scholar] [CrossRef] [PubMed]
- Mooradian, A.D.; Morley, J.E.; Korenman, S.G. Biological actions of androgens. Endocr. Rev. 1987, 8, 1–28. [Google Scholar] [CrossRef] [PubMed]
- Kicman, A.T. Pharmacology of anabolic steroids. Br. J. Pharmacol. 2008, 154, 502–521. [Google Scholar] [CrossRef]
- Llewellyn, W. Anabolics; Molecular Nutrition: Jupiter, FL, USA, 2011; pp. 402–412+460–467+193–194. [Google Scholar]
- Braunstein, G.D. The influence of anabolic steroids on muscular strength. Princ. Med. Biol. 1997, 8, 465–474. [Google Scholar] [CrossRef]
- Camerino, B.; Sciaky, R. Structure and effects of anabolic steroids. Pharmacol. Ther. 1975, B1, 233–275. [Google Scholar] [CrossRef]
- Vermeulen, A. Longacting steroid preparations. Acta Clin. Belg. 1975, 30, 48–55. [Google Scholar] [CrossRef]
- Elks, J.; Ganellin, C.R. The Dictionary of Drugs: Chemical Data: Chemical Data, Structures and Bibliographies, 1st ed.; Springer: Easton, PA, USA, 1990; p. 652. [Google Scholar]
- Zeng, X.; Xiong, X.; Yang, H.; Tang, B.; Du, Q.; Hou, Q.; Suo, Z.; Li, H. Quantitative Monitoring the Anti-Solvent Crystallization and Storage Process for Nandrolone by Near-Infrared Spectroscopy. J. Pharm. Sci. 2018, 107, 1928–1936. [Google Scholar] [CrossRef]
- Precigoux, G.; Courseille, C.; Leroy, F. 19-NOR-17BETA -ACETOXY-4-ANDROSTEN-3-ONE, C20H28O3. Cryst. Struct. Commun. 1980, 9, 1005. [Google Scholar]
- Precigoux, G.; Busetta, B.; Courseille, C.; Hospital, M. Structure crystalline et moléculaire de la nor-19 testosterone. Acta Crystallogr. Sect. B Struct. Crystallogr. Cryst. Chem. 1975, 31, 1527. [Google Scholar] [CrossRef]
- Bhadbhade, M.M.; Venkatesan, K. Conformational flexibility in androgenic steroids: The structure of a new form of (+)-17β-hydroxy-19-nor-4-androsten-3-one (19-nortestosterone), C18H26O2. Acta Crystallogr. Sect. C Cryst. Struct. Commun. 1984, 40, 1905. [Google Scholar] [CrossRef]
- Iqbal, U.; Choudhary, M.I.; Yousuf, S. Synthesis of co-crystals of anti-cancer nandrolone as a potential leads towards treatment of cancer. J. Mol. Struct. 2021, 1224, 128981. [Google Scholar] [CrossRef]
- Land, L.M.; Li, P.; Baummer, P.M. The Influence of Water Content of Triglyceride Oils on the Solubility. Pharm. Res. 2005, 5, 784–788. [Google Scholar] [CrossRef] [PubMed]
- Adejare, A. (Ed.) Remington: The Science and Practice of Pharmacy, 23rd ed.; Academic Press: Cambridge, MA, USA, 2020. [Google Scholar]
- Rowe, R.C.; Sheskey, P.J.; Quinn, M.E. (Eds.) Handbook of Pharmaceutical Excipients, 5th ed.; Pharmaceutical Press: London, UK, 2006. [Google Scholar]
- Kolet, S.P.; Niloferjahan, S.; Haldar, S.; Gonnade, R.; Thulasiram, H.V. Biocatalyst mediated production of 6 β,11 α-dihydroxy derivatives of 4-ene-3-one steroids. Steroids 2013, 78, 1152–1158. [Google Scholar] [CrossRef] [PubMed]
- Böcskei, Z.; Gérczei, T.; Bodor, A.; Schwartz, R.; Náray-Szabó, G. Three Testosterone Derivatives. Acta Cryst. 1996, C52, 2899–2903. [Google Scholar] [CrossRef]
- Silva, M.R.; Beja, A.M.; Moreira, V.M.; Santos, R.C.; Salvador, A.R. 3-Oxoandrost-4-en-17β-yl iH-imidazole-1-carboxylate. Acta Cryst. 2007, E63, o4824. [Google Scholar] [CrossRef]
- Weeks, C.M.; Duax, W.L.; Osawa, Y. 2 α-Hydroxyltestosterone diacetate. Acta Cryst. 1975, B31, 1502–1504. [Google Scholar] [CrossRef]
- Angira, D.; Shaik, A.; Kirubakaran, S.; Thiruvenkatam, V. Exploring a solvated dimer of Gefitinib: A qu anti tative analysis. Acta Cryst. 2018, C74, 944–950. [Google Scholar] [CrossRef]
- Evora, A.O.L.; Bernardes, C.E.S.; Piedade, M.F.M.; Conceicao, A.C.L.; Minas da Piedade, M.E. Energetics of Glycine Cocrystal or Salt Formation with Two Regioisomers: Fumaric Acid and Maleic Acid. Cryst. Growth Des. 2019, 19, 5054–5064. [Google Scholar] [CrossRef]
- Rosbottom, I.; Ma, C.Y.; Turner, T.D.; O’Connel, R.A.; Loughrey, J.; Sadiq, G.; Davey, R.J.; Roberts, K.J. Influence of Solvent Composition on the Crystal Morphology and Structure of p-Aminobenzoic Acid Crystallized from Mixed Ethanol and Nitromethane Solutions. Cryst. Growth Des. 2017, 17, 4151–4161. [Google Scholar] [CrossRef]
- Perlovich, G.L.; Blokhina, S.V.; Manin, N.G.; Volkova, V.; Tkachev, V.V. Polymorphism and solvatomorphism of bicalutamide. J Therm. Anal. Calorim. 2012, 111, 655–662. [Google Scholar] [CrossRef]
- Panini, P.; Boel, E.; Van Meervelt, L.; Van den Mooter, G. Solvatomorphism in Micoconazole: The Role of Weak C-H···Cl Hydrogen Bonds and C-Cl···Cl-C Halogen Interactions in Similarities and Differences in the Crystal Packing. Cryst. Growth Des. 2022, 22, 2703–2724. [Google Scholar] [CrossRef]
- Turza, A.; Miclaus, M.O.; Pop, A.; Borodi, G. Crystal and molecular structures of boldenone and four boldenone steroid esters. Z. Kristallogr. Cryst. Mater. 2019, 234, 671–683. [Google Scholar] [CrossRef]
- Borodi, G.; Turza, A.; Camarasan, P.A.; Ulici, A. Structural studies of Trenbolone, Trenbolone Acetate, Hexahydrobenzylcarbonate and Enanthate esters. J. Mol. Struct. 2020, 1212, 128127. [Google Scholar] [CrossRef]
- Borodi, G.; Turza, A.; Bende, A. Exploring the Polymorphism of Drostanolone Propionate. Molecules 2020, 25, 1436. [Google Scholar] [CrossRef] [PubMed]
- Turza, A.; Popescu, V.; Mare, L.; Borodi, G. Structural Aspects and Intermolecular Energy for Some Short Testosterone Esters. Materials 2022, 15, 7245. [Google Scholar] [CrossRef] [PubMed]
- Turza, A.; Pascuta, P.; Mare, L.; Borodi, G.; Popescu, V. Structural Insights and Intermolecular Energy for Some Medium and Long-Chain Testosterone Esters. Molecules 2023, 28, 3097. [Google Scholar] [CrossRef] [PubMed]
- Caplette, J.; Frigo, T.; Jozwiakowski, M.; Shea, H.; Mirmehrabi, M.; Müller, P. Characterization of new crystalline forms of hydroxyprogesterone caproate. Int. J. Pharm. 2017, 527, 42–51. [Google Scholar] [CrossRef] [PubMed]
- Ferreira, L.T.; Alarcon, R.T.; Perpetuo, G.L.; Bannach, G. Investigation and characterization by TG/DTG-DTA and DSC of the fusion of Riboflavin, and its interaction with the antibiotic norfloxacin in the screening of cocrystal. J. Therm. Anal. Calorim. 2019, 136, 581–588. [Google Scholar] [CrossRef]
- CrysAlis PRO; Version 40_64.84a; Rigaku Oxford Diffraction Ltd.: Yarnton, UK, 2015.
- Sheldrick, G.M. SHELXT—Integrated space-group and crystal-structure determination. Acta Cryst. 2015, A71, 3–8. [Google Scholar] [CrossRef] [PubMed]
- Sheldrick, G.M. A short history of SHELX. Acta Cryst. 2008, A64, 112–122. [Google Scholar] [CrossRef] [PubMed]
- Sheldrick, G.M. Crystal structure refinement with SHELXL. Acta Cryst. 2015, C71, 3–8. [Google Scholar] [CrossRef]
- Dolomanov, O.V.; Bourhis, L.J.; Gildea, R.J.; Howard, J.A.K.; Puschmann, H. OLEX2: A complete structure solution, refinement and analysis program. J. Appl. Cryst. 2009, 42, 339–341. [Google Scholar] [CrossRef]
- Gavezzotti, A. Efficient computer modeling of organic materials. The atom–atom, Coulomb–London–Pauli (AA-CLP) model for intermolecular electrostatic-polarization, dispersion and repulsion energies. New J. Chem. 2011, 35, 1360–1368. [Google Scholar] [CrossRef]
- Mackenzie, C.F.; Spackman, P.R.; Jayatilaka, D.; Spackman, M.A. CrystalExplorer model energies and energy frameworks: Extension to metal coordination compounds, organic salts, solvates and open-shell systems. IUCrJ 2017, 4, 575–587. [Google Scholar] [CrossRef]
- Turner, M.J.; McKinnon, J.J.; Wolff, S.K.; Grimwood, D.J.; Spackman, P.R.; Jayatilaka, D.; Spackman, M.A. CrystalExplorer17; University of Western Australia: Nedlands, Australia, 2017. [Google Scholar]







| Identification Code | NPro (Nandrolone Propionate) | NPhp (Nandrolone Phenylpropionate) | NCyp (Nandrolone Cypionate) | NUnd (Nandrolone Undecanoate) |
|---|---|---|---|---|
| Empirical formula | C21H31O3.5 | C27H34O3 | C26H38O3 | C29H46O3 |
| Formula weight | 335.46 | 404.52 | 398.56 | 442.66 |
| Temperature/K | 293(2) | 293(2) | 293(2) | 293(2) |
| Crystal system | trigonal | tetragonal | orthorhombic | monoclinic |
| Space group | P3121 | P43212 | P212121 | P21 |
| a/Å | 7.7610(2) | 8.09590(10) | 7.64320(10) | 9.9889(6) |
| b/Å | 7.7610(2) | 8.09590(10) | 15.3112(4) | 8.2547(5) |
| c/Å | 56.2110(18) | 71.2184(14) | 19.7800(4) | 32.9847(14) |
| α/° | 90 | 90 | 90 | 90 |
| β/° | 90 | 90 | 90 | 94.761(5) |
| γ/° | 120 | 90 | 90 | 90 |
| Volume/Å3 | 2932.16(18) | 4667.91(15) | 2314.79(8) | 2710.4(3) |
| Z | 3 | 8 | 4 | 4 |
| ρcalcg/cm3 | 1.152 | 1.151 | 1.144 | 1.085 |
| μ/mm−1 | 0.593 | 0.576 | 0.566 | 0.068 |
| F(000) | 1098.0 | 1744.0 | 872.0 | 976.0 |
| Crystal size/mm3 | 0.05 × 0.04 × 0.03 | 0.09 × 0.04 × 0.01 | 0.08 × 0.01× 0.01 | 0.08 × 0.06 × 0.01 |
| Radiation | CuKα (λ = 1.54184) | CuKα (λ = 1.54184) | CuKα (λ = 1.54184) | MoKα (λ = 0.71073) |
| 2Θ range for data collection/° | 9.44 to 146.39 | 9.93 to 141.28 | 7.30 to 141.89 | 5.75 to 57.55 |
| Index ranges | −9 ≤ h ≤ 9, −9 ≤ k ≤ 9, −68 ≤ l ≤ 68 | −9 ≤ h ≤ 9, −9 ≤ k ≤ 8, −86 ≤ l ≤ 85 | −9 ≤ h ≤ 9, −18 ≤ k ≤ 18, −23 ≤ l ≤ 20 | −10 ≤ h ≤ 13, −11 ≤ k ≤ 10, −43 ≤ l ≤ 41 |
| Reflections collected | 41084 | 16752 | 34086 | 22788 |
| Independent reflections | 3777 [Rint = 0.0614, Rsigma = 0.0216] | 4401 [Rint = 0.0214, Rsigma = 0.0220] | 4429 [Rint = 0.0297, Rsigma = 0.0138] | 11283 [Rint = 0.0856, Rsigma = 0.1698] |
| Data/restraints/parameters | 3777/0/227 | 4401/0/272 | 4429/0/263 | 11283/1/581 |
| Goodness-of-fit on F2 | 1.045 | 1.023 | 1.061 | 0.978 |
| Final R indexes [I ≥ 2σ (I)] | R1 = 0.0680, wR2 = 0.2032 | R1 = 0.0694, wR2 = 0.2045 | R1 = 0.0652, wR2 = 0.1986 | R1 = 0.0865, wR2 = 0.1462 |
| Final R indexes [all data] | R1 = 0.0827, wR2 = 0.2210 | R1 = 0.1089, wR2 = 0.2338 | R1 = 0.0710, wR2 = 0.2089 | R1 = 0.2801, wR2 = 0.2189 |
| Largest diff. peak/hole/e Å−3 | 0.55/−0.18 | 0.25/−0.18 | 0.36/−0.23 | 0.23/−0.14 |
| Flack parameter | 0.11(15) | 0.03(12) | 0.04(8) | 0.2(10) |
| Structure | Molar Mass g/mol | Ecoul (kJ/mol) | Epol (kJ/mol) | Edisp (kJ/mol) | Erep (kJ/mol) | Elatt (kJ/mol) |
|---|---|---|---|---|---|---|
| NPro | 338.95 | −15.1 | −17.0 | −43.1 | 17.7 | −57.5 |
| NPhp | 404.52 | −20.9 | −44.8 | −156.5 | 52.3 | −169.9 |
| NCyp | 398.56 | −9.1 | −56.3 | −159.9 | 59.1 | −166.2 |
| NUnd | 442.66 | −19.9 | −64.0 | −181.1 | 70.7 | −195.0 |
Disclaimer/Publisher’s Note: The statements, opinions and data contained in all publications are solely those of the individual author(s) and contributor(s) and not of MDPI and/or the editor(s). MDPI and/or the editor(s) disclaim responsibility for any injury to people or property resulting from any ideas, methods, instructions or products referred to in the content. |
© 2023 by the authors. Licensee MDPI, Basel, Switzerland. This article is an open access article distributed under the terms and conditions of the Creative Commons Attribution (CC BY) license (https://creativecommons.org/licenses/by/4.0/).
Share and Cite
Mare, L.; Muresan-Pop, M.; Purcea Lopes, P.M.; Turza, A.; Borodi, G.; Popescu, V. Crystal Structure and Intermolecular Energy for Some Nandrolone Esters. Molecules 2023, 28, 7179. https://doi.org/10.3390/molecules28207179
Mare L, Muresan-Pop M, Purcea Lopes PM, Turza A, Borodi G, Popescu V. Crystal Structure and Intermolecular Energy for Some Nandrolone Esters. Molecules. 2023; 28(20):7179. https://doi.org/10.3390/molecules28207179
Chicago/Turabian StyleMare, Liviu, Marieta Muresan-Pop, Pompilia Mioara Purcea Lopes, Alexandru Turza, Gheorghe Borodi, and Violeta Popescu. 2023. "Crystal Structure and Intermolecular Energy for Some Nandrolone Esters" Molecules 28, no. 20: 7179. https://doi.org/10.3390/molecules28207179
APA StyleMare, L., Muresan-Pop, M., Purcea Lopes, P. M., Turza, A., Borodi, G., & Popescu, V. (2023). Crystal Structure and Intermolecular Energy for Some Nandrolone Esters. Molecules, 28(20), 7179. https://doi.org/10.3390/molecules28207179

