Investigation on the Effect of Annealing Temperature on the Side Ohmic Contact Characteristics for Double Channel GaN/AlGaN Epitaxial Layer
Abstract
:1. Introduction
2. The Measurement Method of the Specific Contact Resistance
3. Experimental Procedure
3.1. The Growth of Double Channel GaN/AlGaN Epitaxial Layer
3.2. The Prepartion of TLM Electrodes
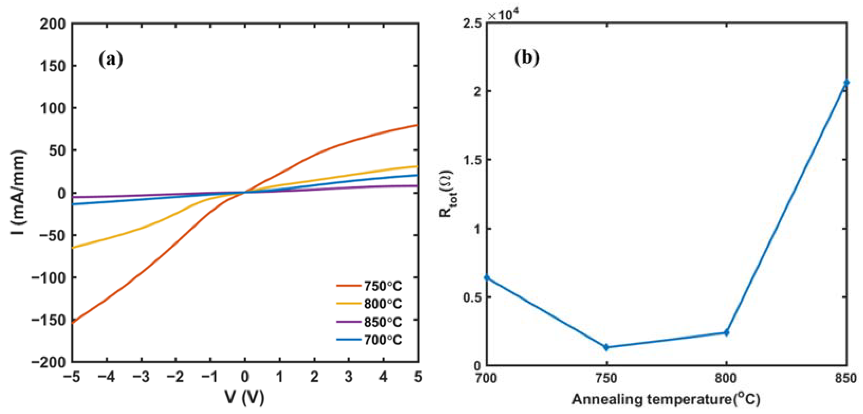
4. Results and Discussion
5. Conclusions
Author Contributions
Funding
Data Availability Statement
Acknowledgments
Conflicts of Interest
References
- Kozak, J.P.; Zhang, R.; Song, Q.; Liu, J.; Zhang, Y. True Breakdown Voltage and Overvoltage Margin of GaN Power HEMTs in Hard Switching. IEEE Electron Device Lett. 2021, 44, 505–508. [Google Scholar] [CrossRef]
 - Kim, J.G.; Cho, C.; Kim, E.; Hwang, J.S.; Lee, J.H. High Breakdown Voltage and Low-Current Dispersion in AlGaN/GaN HEMTs with High-Quality AlN Buffer Layer. IEEE Trans. Electron Devices 2021, 68, 1513–1517. [Google Scholar] [CrossRef]
 - Liu, Y.; Yu, Q.; Du, J. Simulation design of a high-breakdown-voltage p-GaN-gate GaN HEMT with a hybrid AlGaN buffer layer for power electronics applications. J. Comput. Electron. 2020, 19, 1527–1537. [Google Scholar] [CrossRef]
 - Palacios, P.; Wei, M.; Zweipfennig, T.; Hamed, A.; Negra, R. AlGaN/GaN high electron mobility transistor oscillator for high temperature and high frequency. Electron. Lett. 2021, 57, 148–150. [Google Scholar] [CrossRef]
 - Sowmya, K.; Balamurugan, N.B.; Parvathy, V. A 2-D Modeling of Fe Doped Dual Material Gate AlGaN/AlN/GaN High Electron Mobility Transistors for High Frequency Applications. AEU—Int. J. Electron. Commun. 2019, 103, 46–56. [Google Scholar] [CrossRef]
 - Reza, S.; Klein, B.A.; Baca, A.G.; Armstrong, A.M.; Allerman, A.A.; Douglas, E.A.; Kaplar, R.J. High-frequency, high-power performance of AlGaN-channel high-electron-mobility transistors: An RF simulation study. Jpn. J. Appl. Phys. 2019, 58, SCCD04. [Google Scholar] [CrossRef]
 - Shi, Y.; Chen, W.; Fu, Z.; Chen, S.; Zhang, B. Influence of the Acceptor-Type Trap on the Threshold Voltage of the Short-Channel GaN MOS-HEMT. IEEE J. Electron Devices Soc. 2021, 9, 606–611. [Google Scholar] [CrossRef]
 - Pinchbeck, J.; Lee, K.B.; Jiang, S.; Houston, P. Dual metal gate AlGaN/GaN high electron mobility transistors with improved transconductance and reduced short channel effects. J. Phys. D Appl. Phys. 2021, 54, 105104. [Google Scholar] [CrossRef]
 - Kato, D.; Kajiwara, Y.; Mukai, A.; Ono, H.; Shindome, A.; Tajima, J.; Hikosaka, T.; Kuraguchi, M.; Nunoue, S. Suppression of short-channel effects in normally-off GaN MOSFETs with deep recessed-gate structures. Jpn. J. Appl. Phys. 2020, 59, SGGD13. [Google Scholar] [CrossRef]
 - Sharma, N.; Periasamy, C.; Chaturvedi, N.; Chaturvedi, N. Trapping Effects on Leakage and Current Collapse in AlGaN/GaN HEMTs. J. Electron. Mater. 2020, 49, 5687–5697. [Google Scholar] [CrossRef]
 - Lee, J.H.; Kim, J.G.; Kang, H.S.; Lee, J.H. Suppression of current dispersion in AlGaN/GaN MISHFETs with in-situ AlN passivation layer. Solid State Electron. 2021, 178, 107984. [Google Scholar] [CrossRef]
 - Tang, X.; Zhang, Z.; Wei, J.; Li, B.; Wang, J.; Chen, K.J. Photon emission and current-collapse suppression of AlGaN/GaN field-effect transistors with photonic–ohmic drain at high temperatures. Appl. Phys. Express 2018, 11, 071003. [Google Scholar] [CrossRef]
 - Gaska, R.; Shur, M.S.; Fjeldly, T.A.; Bykhovski, A.D. Two-channel AlGaN/GaN heterostructure field effect transistor for high power applications. J. Appl. Phys. 1999, 85, 3009–3011. [Google Scholar] [CrossRef]
 - Chu, R.; Zhou, Y.; Liu, J.; Wang, D.; Chen, K.; Lau, K. AlGaN-GaN double-channel HEMTs. IEEE Trans. Electron Devices 2005, 52, 438–446. [Google Scholar] [CrossRef]
 - Wang, X.; Hu, W.; Chen, X.; Lu, W. The Study of Self-Heating and Hot-Electron Effects for AlGaN/GaN Double-Channel HEMTs. IEEE Trans. Electron Devices 2012, 59, 1393–1401. [Google Scholar] [CrossRef]
 - Chang, Y.; Wang, J.J.; Shen, G.L. Improving Off-State Breakdown Voltage of a Double-Channel AlGaN/GaN HEMT with Air-Bridge Field Plate and Slant Field Plate. Solid State Electron. Lett. 2020, 2, 92–97. [Google Scholar] [CrossRef]
 - Palacios, T.; Chini, A.; Buttari, D.; Heikman, S.; Chakraborty, A.; Keller, S.; DenBaars, S.; Mishra, U. Use of double-channel heterostructures to improve the access resistance and linearity in GaN-based HEMTs. IEEE Trans. Electron Devices 2006, 53, 562–565. [Google Scholar] [CrossRef]
 - Chugh, N.; Kumar, M.; Haldar, S.; Bhattacharya, M.; Gupta, R.S. Applicability of Field Plate in Double Channel GaN HEMT for Radio-Frequency and Power-Electronic Applications. Silicon 2021, 14, 1029–1038. [Google Scholar] [CrossRef]
 - Luan, C.; Lin, Z.; Lv, Y.; Meng, L.; Yu, Y.; Cao, Z.; Chen, H.; Wang, Z. Influence of the side-Ohmic contact processing on the polarization Coulomb field scattering in AlGaN/AlN/GaN heterostructure field-effect transistors. Appl. Phys. Lett. 2012, 101, 113501. [Google Scholar] [CrossRef]
 - Luan, C.; Lin, Z.; Lv, Y.; Feng, Z.; Zhao, J.; Yang, Q.; Yang, M. Enhanced effect of side-Ohmic contact processing on the 2DEG electron density and electron mobility of In0.17 Al0.83 N/AlN/GaN heterostructure field-effect transistors. Appl. Phys. A 2014, 116, 2065–2075. [Google Scholar] [CrossRef]
 - Liang, W.; Kim, D.H.; Adesida, L. Direct contact mechanism of Ohmic metallization to AlGaN/GaN heterostructures via Ohmic area recess etching. Appl. Phys. Lett. 2009, 95, 172107. [Google Scholar]
 - Zhang, X.; Tan, R.B.; Sun, J.; Li, X.; Zhou, Y.; Lu, L.; Qin, H. Investigation of high sensitivity radio-frequency readout circuit based on AlGaN/GaN high electron mobility transistor. Chin. Phys. B 2015, 24, 105201. [Google Scholar] [CrossRef]
 - Meng, Q.; Lin, Q.; Han, F.; Jing, W.; Wang, Y.; Jiang, Z. A Terahertz Detector Based on Double-Channel GaN/AlGaN High Electronic Mobility Transistor. Materials 2021, 14, 6193. [Google Scholar] [CrossRef] [PubMed]
 - Lee, C.; Chiu, Y. Photoelectrochemical passivated ZnO-based nanorod structured glucose biosensors using gate-recessed AlGaN/GaN ion-sensitive field-effect-transistors. Sensor. Actuat. B Chem. 2015, 210, 756–761. [Google Scholar] [CrossRef]
 - Dogar, S.; Khan, W.; Kim, S.D. Ultraviolet photoresponse of ZnO nanostructured AlGaN/GaN HEMTs. Mat. Sci. Semicon. Proc. 2016, 44, 71–77. [Google Scholar] [CrossRef]
 - Thapa, R.; Alur, S.; Kim, K.; Tong, F.; Sharma, Y.; Kim, M.; Ahyi, C.; Dai, J.; Hong, J.W.; Bozack, M.; et al. Biofunctionalized AlGaN/GaN high electron mobility transistor for DNA hybridization detection. Appl. Phys. Lett. 2012, 100, 232109. [Google Scholar] [CrossRef]
 - Kang, B.; Wang, H.; Lele, T.P.; Tseng, Y.; Ren, F.; Pearton, S.J.; Johnson, J.W.; Rajagopal, P.; Roberts, J.C.; Piner, E.L. Prostate specific antigen detection using AlGaN/GaN high electron mobility transistors. Appl. Phys. Lett. 2007, 91, 112106. [Google Scholar] [CrossRef] [Green Version]
 - Guo, Z.; Lai, W.; Hao, Z.; Luo, Y. Modeling and experimental study on sensing response of an AlGaN/GaN HEMT-based hydrogen sensor. Sens. Actuators B Chem. 2013, 176, 241–247. [Google Scholar] [CrossRef]
 - Meng, Q.; Lin, Q.; Jing, W.; Mao, Q.; Zhao, L.; Fang, X.; Dong, T.; Jiang, Z. Characterization of the Electrical Properties of a Double Heterostructure GaN/AlGaN Epitaxial Layer with an AlGaN Interlayer. J. Electron. Mater. 2021, 50, 2521–2529. [Google Scholar] [CrossRef]
 - Li, P.; Wei, S.; Kang, X.; Zheng, Y.; Zhang, J.; Wu, H.; Wei, K.; Yan, J.; Liu, X. Optimization of Oxygen Plasma Treatment on Ohmic Contact for AlGaN/GaN HEMTs on High-Resistivity Si Substrate. Electronics 2021, 10, 855. [Google Scholar] [CrossRef]
 - Yoshida, T.; Egawa, T. Improvement of Au-Free, Ti/Al/W Ohmic Contact on AlGaN/GaN Heterostructure Featuring a Thin-Ti Layer and Low Temperature Annealing. Phys. Status Solidi A 2018, 215, 1700825. [Google Scholar] [CrossRef]
 - Wong, Y.Y.; Chen, Y.K.; Maa, J.S.; Yu, H.W.; Tu, Y.Y.; Dee, C.F.; Yap, C.C.; Chang, E.Y. Low resistance copper-based ohmic contact for AlGaN/GaN high electron mobility transistors. Appl. Phys. Lett. 2013, 103, 152104. [Google Scholar] [CrossRef]
 - Wang, L.; Mohammed, F.M.; Ofuonye, B.; Adesida, I. Ohmic contacts to n~+-GaN capped AlGaN/AlN/GaN high electron mobility transistors. Appl. Phys. Lett. 2007, 91, 012113. [Google Scholar] [CrossRef]
 - Lin, Q.; Yang, S.; Jing, W.; Li, C.; Wang, C.; Jiang, Z. Buckling and Delamination of Ti/Cu/Si Thin Film During Annealing. J. Electron. Mater. 2014, 43, 3351–3356. [Google Scholar] [CrossRef]
 













| Cl2 Flow (sccm)  | BCl3 Flow (sccm)  | Ar Flow (sccm)  | RF Power (W)  | ICP Power (W)  | Etching Time (min)  | Etching Depth (nm)  | 
|---|---|---|---|---|---|---|
| 5 | 10 | 50 | 50 | 1500 | 5 | 120 | 
Publisher’s Note: MDPI stays neutral with regard to jurisdictional claims in published maps and institutional affiliations.  | 
© 2022 by the authors. Licensee MDPI, Basel, Switzerland. This article is an open access article distributed under the terms and conditions of the Creative Commons Attribution (CC BY) license (https://creativecommons.org/licenses/by/4.0/).
Share and Cite
Meng, Q.; Lin, Q.; Jing, W.; Zhao, N.; Yang, P.; Lu, D. Investigation on the Effect of Annealing Temperature on the Side Ohmic Contact Characteristics for Double Channel GaN/AlGaN Epitaxial Layer. Micromachines 2022, 13, 791. https://doi.org/10.3390/mi13050791
Meng Q, Lin Q, Jing W, Zhao N, Yang P, Lu D. Investigation on the Effect of Annealing Temperature on the Side Ohmic Contact Characteristics for Double Channel GaN/AlGaN Epitaxial Layer. Micromachines. 2022; 13(5):791. https://doi.org/10.3390/mi13050791
Chicago/Turabian StyleMeng, Qingzhi, Qijing Lin, Weixuan Jing, Na Zhao, Ping Yang, and Dejiang Lu. 2022. "Investigation on the Effect of Annealing Temperature on the Side Ohmic Contact Characteristics for Double Channel GaN/AlGaN Epitaxial Layer" Micromachines 13, no. 5: 791. https://doi.org/10.3390/mi13050791
APA StyleMeng, Q., Lin, Q., Jing, W., Zhao, N., Yang, P., & Lu, D. (2022). Investigation on the Effect of Annealing Temperature on the Side Ohmic Contact Characteristics for Double Channel GaN/AlGaN Epitaxial Layer. Micromachines, 13(5), 791. https://doi.org/10.3390/mi13050791
        
                                                
