Binary and Ternary Blended Portland Cements Containing Different Types of Rice Husk Ash
Abstract
1. Introduction
2. Materials and Methods
3. Results and Discussion
3.1. Physico-Chemical Properties of RHA Samples
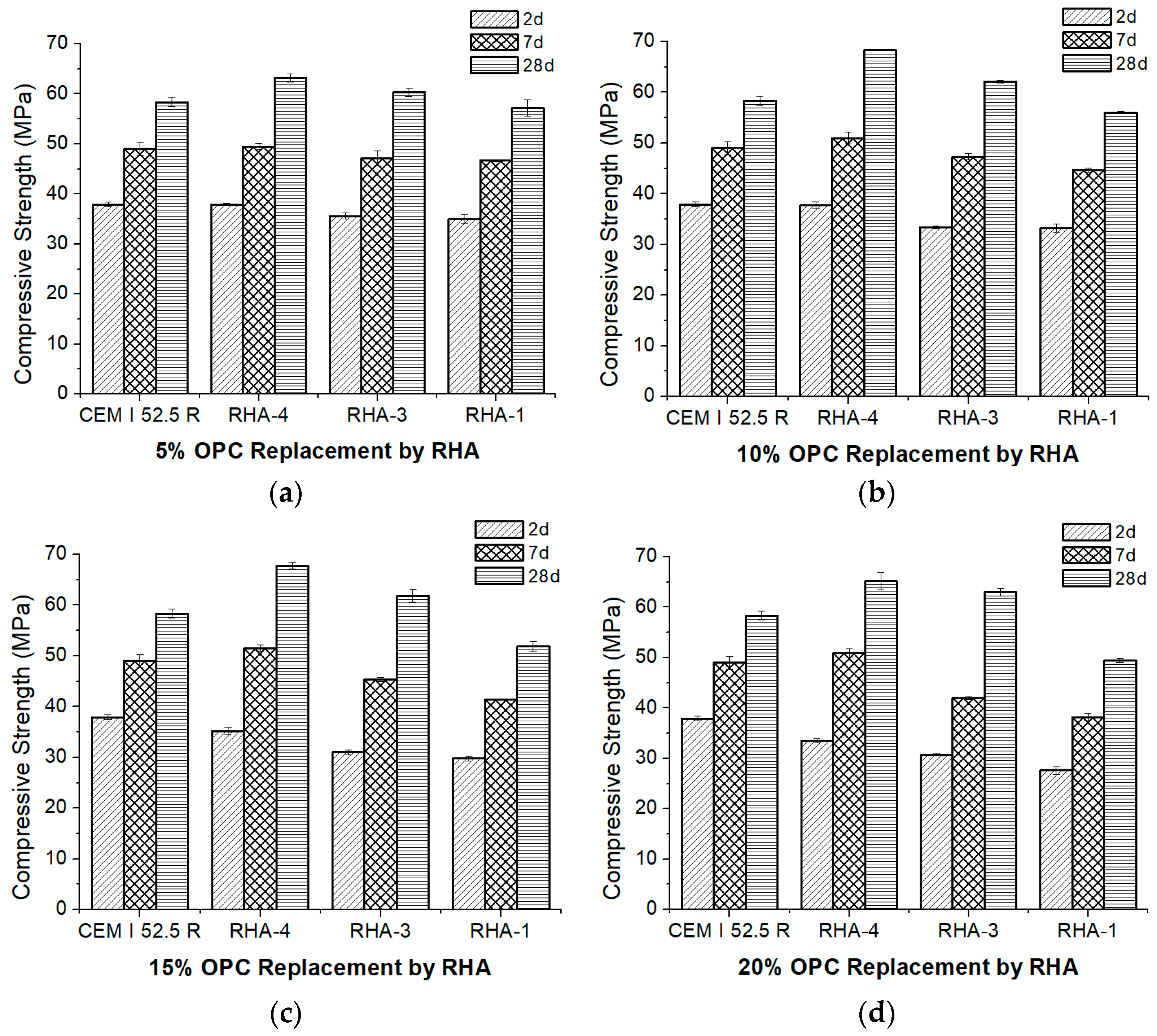
3.2. Influence of RHA on Compressive Strength Development
3.3. Cement Types according to RHA Reactivity and Standards
- Cement design: CEM type/proportion (types of addition) + strength category (taking into account long and short curing ages).
- Type: I (additions below 5%), II (OPC with additions up to 35%), III (OPC with GGBFS), IV (pozzolanic cements) and V (composed cements).
- Proportion of addition: the classification depends on the type of cement (II, III, IV or V). For CEM II, the CEM II/A type has 6–20% clinker replacement and the CEM II/B type has 21–35% clinker replacement.
- Types of addition: limestone filler (L), FA (V), GGBFS (S), silica fume (D), among others.
- Mechanical strength category: 32.5, 42.5 or 52.5 compressive strength values at 28 days in standardized mortar. Type N and type R, respectively, indicate low- and high-rate strength development after 2 or 7 curing days in standardized mortar (Table 2).
| Category | Mechanical Compressive Strength MPa (N/mm2) | |||
|---|---|---|---|---|
| 2 Days | 7 Days | 28 Days | ||
| 32.5 N | -- | ≥16.0 | ≥32.5 | ≤52.5 |
| 32.5 R | ≥10.0 | -- | ||
| 42.5 N | -- | ≥42.5 | ≤62.5 | |
| 42.5 R | ≥20.0 | -- | ||
| 52.5 N | -- | ≥52.5 | -- | |
| 52.5 R | ≥30.0 | -- | ||
3.4. Comparison of Contribution of RHA and Other Mineral Admixtures to Compressive Strength Development
3.5. Workability and Mechanical Properties of Standardized Blended Cement Containing RHA
4. Conclusions
Author Contributions
Funding
Institutional Review Board Statement
Informed Consent Statement
Data Availability Statement
Conflicts of Interest
Appendix A
| RHA-1 | RHA-2 | RHA-3 | RHA-4 | |||||
|---|---|---|---|---|---|---|---|---|
| % | Std | % | Std | % | Std | % | Std | |
| SiO2 | 94.35 | 0.65 | 89.12 | 0.45 | 86.12 | 0.04 | 78.00 | 0.10 |
| Al2O3 | 0.52 | 0.00 | 0.27 | 0.00 | 0.20 | 0.00 | 0.16 | 0.00 |
| Fe2O3 | 0.08 | 0.00 | 0.09 | 0.00 | 0.39 | 0.00 | 0.31 | 0.01 |
| CaO | 1.02 | 0.00 | 1.20 | 0.01 | 1.26 | 0.00 | 0.98 | 0.00 |
| MgO | 0.47 | 0.00 | 0.54 | 0.00 | 0.41 | 0.00 | 0.45 | 0.00 |
| SO3 | 0.10 | 0.02 | 0.19 | 0.06 | 0.21 | 0.01 | 0.12 | 0.02 |
| Na2O | 0.14 | 0.01 | 0.35 | 0.01 | 0.18 | 0.02 | 0.24 | 0.02 |
| K2O | 2.14 | 0.05 | 2.95 | 0.06 | 2.52 | 0.02 | 1.92 | 0.07 |
| TiO2 | 0.09 | 0.00 | 0.09 | 0.00 | 0.08 | 0.00 | 0.07 | 0.00 |
| Mn2O3 | 0.05 | 0.00 | 0.06 | 0.00 | 0.09 | 0.00 | 0.08 | 0.00 |
| LOI | 0.42 | 0.02 | 4.69 | 0.02 | 8.51 | 0.05 | 17.65 | 0.02 |
Appendix B

Appendix C



References
- Mohamad, N.; Muthusamy, K.; Embong, R.; Kusbiantoro, A.; Hashim, M.H. Environmental impact of cement production and solutions: A review. Mater. Today Proc. 2022, 48, 741–746. [Google Scholar] [CrossRef]
- Net Zero Roadmap: A Global Pathway to Keep the 1.5 °C Goal in Reach. 2023. Available online: https://www.iea.org/reports/cement-3#overview (accessed on 28 March 2024).
- De Brito, J.; Kurda, R. The past and future of sustainable concrete: A critical review and new strategies on cement-based materials. J. Clean. Prod. 2021, 281, 123558. [Google Scholar] [CrossRef]
- Olatoyan, O.J.; Abiodun Kareem, M.; Adebanjo, A.U.; Olawale, S.O.A.; Alao, K.T. Potential use of biomass ash as a sustainable alternative for fly ash in concrete production: A review. Hybrid. Adv. 2023, 4, 100076. [Google Scholar] [CrossRef]
- Marzouk, H.A.; Arab, M.A.; Fattouh, M.S.; Hamouda, A.S. Effect of agricultural phragmites, rice straw, rice husk, and sugarcane bagasse ashes on the properties and microstructure of high-strength self-compacted self-curing concrete. Buildings 2023, 13, 2394. [Google Scholar] [CrossRef]
- Islam, M.H.; Law, D.W.; Gunasekara, C.; Sobuz, M.H.R.; Rahman, M.N.; Habib, M.A.; Sabbir, A.K. Assessing the influence of banana leaf ash as pozzolanic material for the production of green concrete: A mechanical and microstructural evaluation. Materials 2024, 17, 720. [Google Scholar] [CrossRef] [PubMed]
- Cook, D.J. Rice husk ash. In Cement Replacement Materials; Swamy, R.N., Ed.; Surrey University Press: Guildford, UK, 1986; pp. 171–196. [Google Scholar]
- Capelo, A.R.; Mármol, G.; Rossignolo, J.A. Optimization of the rice husk ash production process for the manufacture of magnesium silicate hydrate cements. J. Clean. Prod. 2023, 425, 138891. [Google Scholar] [CrossRef]
- Salas Montoya, A.; Chung, C.-W.; Kim, J.H. High performance concretes with highly reactive rice husk ash and silica fume. Materials 2023, 16, 3903. [Google Scholar] [CrossRef] [PubMed]
- Endale, S.A.; Taffese, W.Z.; Vo, D.H.; Yehualaw, M.D. Rice husk ash in concrete. Sustainibility 2023, 15, 137. [Google Scholar] [CrossRef]
- Statista. Available online: https://es.statista.com/estadisticas/501804/produccion-de-arroz-cascara-grano-en-comunidades-autonomas-de-espana/ (accessed on 28 March 2024).
- Mansaray, K.G.; Ghaly, A.E. Thermogravimetric analysis of rice husks in air atmosphere. Energy Source 1998, 20, 653–663. [Google Scholar] [CrossRef]
- Tsai, W.T.; Lee, M.K.; Chang, Y.M. Fast pyrolysis of rice husk: Product yields and compositions. Biores. Tech. 2007, 98, 22–28. [Google Scholar] [CrossRef]
- Camargo-Pérez, N.R.; Abellán-García, J.; Fuentes, L. Use of rice husk ash as a supplementary cementitious material in concrete mix for road pavements. J. Mater. Res. Tech. 2023, 25, 6167–6182. [Google Scholar] [CrossRef]
- Antiohos, S.K.; Papadakis, V.G.; Tsimas, S. Rice husk ash (RHA) effectiveness in cement and concrete as a function of reactive silica and fineness. Cem. Concr. Res. 2014, 61–62, 20–27. [Google Scholar] [CrossRef]
- Vieira, A.P.; Toledo Filho, R.D.; Tavares, L.M.; Cordeiro, G.C. Effect of particle size, porous structure and content of rice husk ash on the hydration process and compressive strength evolution of concrete. Cons. Build. Mat. 2020, 236, 117553. [Google Scholar] [CrossRef]
- Haque, M.; Ray, S.; Mita, A.F.; Bhattacharjee, S.; Shams, M.D.J. Prediction and optimization of the fresh and hardened properties of concrete containing rice husk ash and glass fiber using response surface methodology. Case Stud. Constr. Mater. 2021, 14, e00505. [Google Scholar] [CrossRef]
- Zhang, P.; Wei, S.; Cui, G.; Zhu, Y.; Wang, J. Properties of fresh and hardened self-compacting concrete incorporating rice husk ash: A review. Rev. Adv. Mater. Sci. 2022, 61, 563–575. [Google Scholar] [CrossRef]
- Wang, J.; Xiao, J.; Zhang, Z.; Han, K.; Hu, X.; Jiang, F. Action mechanism of rice husk ash and the effect on main performances of cement-based materials: A review. Cons. Build. Mat. 2021, 288, 123068. [Google Scholar] [CrossRef]
- Lacerda, C.; Valle, P.; Da Silva, A.C.; De Souza, C.; Jacques, F.S. Mechanical and durability properties of concrete produced with construction and demolition waste and rice husk ash. Cons. Build. Mat. 2023, 406, 133471. [Google Scholar] [CrossRef]
- Ambedkar, B.; Alex, J.; Dhanalakshmi, J. Enhancement of mechanical properties and durability of the cement concrete by RHA as cement replacement: Experiments and modeling. Cons. Build. Mat. 2017, 148, 167–175. [Google Scholar] [CrossRef]
- Cordoba, G.; Barquero, M.; Bonavetti, V.; Irassar, E.F. Sustainability of concretes with binary and ternary blended cements considering performance parameters. Cement 2023, 13, 100077. [Google Scholar] [CrossRef]
- Muhammad, A.; Thienel, K.-C. Properties of Self-Compacting Concrete Produced with Optimized Volumes of Calcined Clay and Rice Husk Ash—Emphasis on Rheology, Flowability Retention and Durability. Materials 2023, 16, 5513. [Google Scholar] [CrossRef]
- Han, Y.; Oh, S.; Wang, X.-Y.; Lin, R.-S. Hydration–Strength–Workability–Durability of Binary, Ternary, and Quaternary Composite Pastes. Materials 2022, 15, 204. [Google Scholar] [CrossRef]
- UNE-EN 197-1; Cement-Part 1: Composition, Specifications and Conformity Criteria for Common Cements. European Committee for Standardisation, AENOR: Madrid, Spain, 2011.
- UNE-EN 196-1; Methods of Testing Cement–Part 1: Determination of Strength. European Committee for Standardisation, AENOR: Madrid, Spain, 2018.
- Payá, J.; Monzó, J.; Borrachero, M.V.; Mellado, A.; Ordóñez, L.M. Determination of Amorphous Silica in Rice Husk Ash by a Rapid Analytical Method. Cem. Concr. Res. 2001, 31, 227–231. [Google Scholar] [CrossRef]
- UNE-EN 413-2; Masonry Cement-Part 2: Test Methods. European Committee for Standardisation, AENOR: Madrid, Spain, 2017.
- Payá, J.; Monzó, J.; Borrachero, M.V.; Peris-Mora, E.; Ordóñez, L.M. Studies on crystalline rice husk ashes and the activation of their pozzolanic properties. In Waste Materials in Construction Wascon 2000 (Waste Management Series); Woolley, G.R., Goumans, J.J.J.M., Wainwright, P.J., Eds.; Elsevier: Amsterdam, The Netherlands, 2000; Volume 1, pp. 493–503. [Google Scholar] [CrossRef]
- Krishnarao, R.V.; Subrahmanyam, J.; Jagadish Kumar, T. Studies on the formation of black particles in rice husk silica ash. J. Eur. Ceram. Soc. 2001, 21, 99–104. [Google Scholar] [CrossRef]
- Wu, J.; Yu, D.; Zeng, X.; Yu, X.; Han, J.; Wen, C.; Yu, G. Ash formation and fouling during combustion of rice husk and its blends with a high alkali Xinjiang coal. Energy Fuels 2018, 32, 416–424. [Google Scholar] [CrossRef]
- Ganesan, K.; Rajagopal, K.; Thangavel, K. Rice husk ash blended cement: Assessment of optimal level of replacement for strength and permeability properties of concrete. Cons. Build. Mat. 2008, 22, 1675–1683. [Google Scholar] [CrossRef]
- Edwards, G.A.S. Coal and climate change. WIREs Clim. Change 2019, 10, e607. [Google Scholar] [CrossRef]
- Kamau, J.; Ahmed, A.; Hyndman, F.; Hirst, P.; Kangwa, J. Influence of rice husk ash density on the workability and strength of structural concrete. Eur. J. Eng. Res. Sci. 2017, 2, 36–43. [Google Scholar] [CrossRef]
- Payá, J.; Monzó, J.; Borrachero, M.V.; Peris-Mora, E. Comparisons among magnetic and non-magnetic fly ash fractions: Strength development of cement-fly ash mortars. Waste Manag. 1996, 16, 119–124. [Google Scholar] [CrossRef]
- Xu, W.; Lo, T.Y.; Wang, W.; Ouyang, D.; Wang, P.; Xing, F. Pozzolanic reactivity of silica fume and ground rice husk ash as reactive silica in a cementitious system: A comparative study. Materials 2016, 9, 146. [Google Scholar] [CrossRef]
- Peris Mora, E.; Payá, J.; Monzó, J. Influence of different sized fractions of a fly ash on workability of mortars. Cem. Concr. Res. 1993, 23, 917–924. [Google Scholar] [CrossRef]
- Megat Johari, M.A.; Brooks, J.J.; Kabir, S.; Rivard, P. Influence of supplementary cementitious materials on engineering properties of high strength concrete. Cons. Build. Mat. 2011, 25, 2639–2648. [Google Scholar] [CrossRef]
- Baghabra Al-Amoudi, O.S.; Maslehuddin, M.; Ibrahim, M.; Shameem, M.; Al-Mehthel, M.H. Performance of blended cement concretes prepared with constant workability. Cem. Concr. Comp. 2011, 33, 90–102. [Google Scholar] [CrossRef]
- Hamada, H.M.; Abed, F.; Yati Binti Katman, H.; Humada, A.M.; Al Jawahery, M.S.; Majdi, A.; Yousif, S.T.; Thomas, B.S. Effect of silica fume on the properties of sustainable cement concrete. J. Mat. Res. Tech. 2023, 24, 8887–8908. [Google Scholar] [CrossRef]
- Ahsan, M.B.; Hossain, Z. Supplemental use of rice husk ash (RHA) as a cementitious material in concrete industry. Cons. Build. Mat. 2018, 178, 1–9. [Google Scholar] [CrossRef]
- Cordeiro, G.C.; Toledo Filho, R.D.; de Moraes Rego Fairbairn, E. Use of ultrafine rice husk ash with highcarbon content as pozzolan in high performance concrete. Mater. Struct. 2009, 42, 983–992. [Google Scholar] [CrossRef]
- Arshad, M.T.; Ahmad, S.; Khitab, A.; Hanif, A. Synergistic use of fly ash and silica fume to produce high-strength self-compacting cementitious composites. Crystals 2021, 11, 915. [Google Scholar] [CrossRef]
- Du, S.; Zhao, Q.; Shi, X. High-volume fly ash-based cementitious composites as sustainable materials: An overview of recent advances. Adv. Civil. Eng. 2021, 2021, 4976169. [Google Scholar] [CrossRef]








| Material | Amorphous Silica (%) # | Specific Surface Area (m2/g) & | Loss on Ignition LOI (%) | Particle Size Distribution (%, by Weight) | ||
|---|---|---|---|---|---|---|
| <3 µm | 3–32 µm | >32 µm | ||||
| CEM I 52.5 R | Nd * | 1.6 | 0.98 | 10.9 | 83.8 | 5.3 |
| RHA-1 | 11.7 | 1.6 | 0.14 | 29.8 | 62.4 | 7.8 |
| RHA-2 | 12.0 | 9.3 | 4.52 | 23.2 | 62.6 | 14.2 |
| RHA-3 | 71.0 | 15.2 | 8.24 | 13.3 | 71.5 | 15.2 |
| RHA-4 | 100.0 | 36.5 | 17.65 | 13.0 | 72.8 | 14.2 |
| FA | Nd * | 0.8 | 0.66 | 34.0 | 53.7 | 12.3 |
| NDSF | 100 | 24.4 | 2.94 | 63.0 | 34.3 | 2.7 |
| GGBFS-1 | Nd * | 1.0 | <0.1 | 10.8 | 75.9 | 13.3 |
| GGBFS-2 | Nd * | 1.2 | <0.1 | 14.8 | 71.1 | 14.1 |
| QF | Nd * | 2.6 | <0.1 | 4.9 | 83.9 | 11.2 |
| RHA | Replacement Percentage (%, by Weight) | |||
|---|---|---|---|---|
| 5% | 10% | 15% | 20% | |
| RHA-4 | CEM II/A-H 52.5 R | CEM II/A-H 52.5 R | CEM II/A-H 52.5 R (*) | CEM II/A-H 52.5 R (*) |
| RHA-3 | CEM II/A-H 52.5 R | CEM II/A-H 52.5 R | CEM II/A-H 52.5 N | CEM II/A-H 52.5 N (*) |
| RHA-1 | CEM II/A-H 52.5 R | CEM II/A-H 52.5 N | CEM II/A-H 42.5 R | CEM II/A-H 42.5 R |
| Nomenclature | Ternary Blended Cement |
|---|---|
| CEM II/A-H 52.5 R | 5% RHA-4 + 5% RHA-1 |
| 5% RHA-4 + 10% RHA-1 | |
| CEM II/A-H 52.5 N | 5% RHA-4 + 15% RHA-1 |
| CEM II/A-(H-V) 52.5 R | 10% RHA-4 + 5% FA |
| CEM II/A-(H-V) 52.5 N | 10% RHA-4 + 10% FA |
| CEM II/B-(H-V) 52.5 N | 10% RHA-4 + 15% FA |
| 10% RHA-4 + 20% FA |
Disclaimer/Publisher’s Note: The statements, opinions and data contained in all publications are solely those of the individual author(s) and contributor(s) and not of MDPI and/or the editor(s). MDPI and/or the editor(s) disclaim responsibility for any injury to people or property resulting from any ideas, methods, instructions or products referred to in the content. |
© 2024 by the authors. Licensee MDPI, Basel, Switzerland. This article is an open access article distributed under the terms and conditions of the Creative Commons Attribution (CC BY) license (https://creativecommons.org/licenses/by/4.0/).
Share and Cite
Ordoñez, L.M.; Borrachero, M.V.; Monzó, J.; Soriano, L.; Payá, J. Binary and Ternary Blended Portland Cements Containing Different Types of Rice Husk Ash. Materials 2024, 17, 2923. https://doi.org/10.3390/ma17122923
Ordoñez LM, Borrachero MV, Monzó J, Soriano L, Payá J. Binary and Ternary Blended Portland Cements Containing Different Types of Rice Husk Ash. Materials. 2024; 17(12):2923. https://doi.org/10.3390/ma17122923
Chicago/Turabian StyleOrdoñez, Luis Miguel, María Victoria Borrachero, José Monzó, Lourdes Soriano, and Jordi Payá. 2024. "Binary and Ternary Blended Portland Cements Containing Different Types of Rice Husk Ash" Materials 17, no. 12: 2923. https://doi.org/10.3390/ma17122923
APA StyleOrdoñez, L. M., Borrachero, M. V., Monzó, J., Soriano, L., & Payá, J. (2024). Binary and Ternary Blended Portland Cements Containing Different Types of Rice Husk Ash. Materials, 17(12), 2923. https://doi.org/10.3390/ma17122923

