On the Flow of a Cement Suspension: The Effects of Nano-Silica and Fly Ash Particles
Abstract
1. Introduction
2. Governing Equations
2.1. Conservation of Mass
2.2. Conservation of Linear Momentum
2.3. Conservation of Angular Momentum
2.4. Convection–Diffusion Equation
3. Constitutive Relations
3.1. Stress Tensor
3.1.1. Nano-SiO2 Additive
3.1.2. Fly Ash Additive
3.1.3. Combined Nano-SiO2 and Fly Ash Additives
3.2. Particle Flux
4. Results and Discussion
4.1. Problem Statement
4.2. Boundary and Initial Conditions
4.3. Numerical Results and Discussion
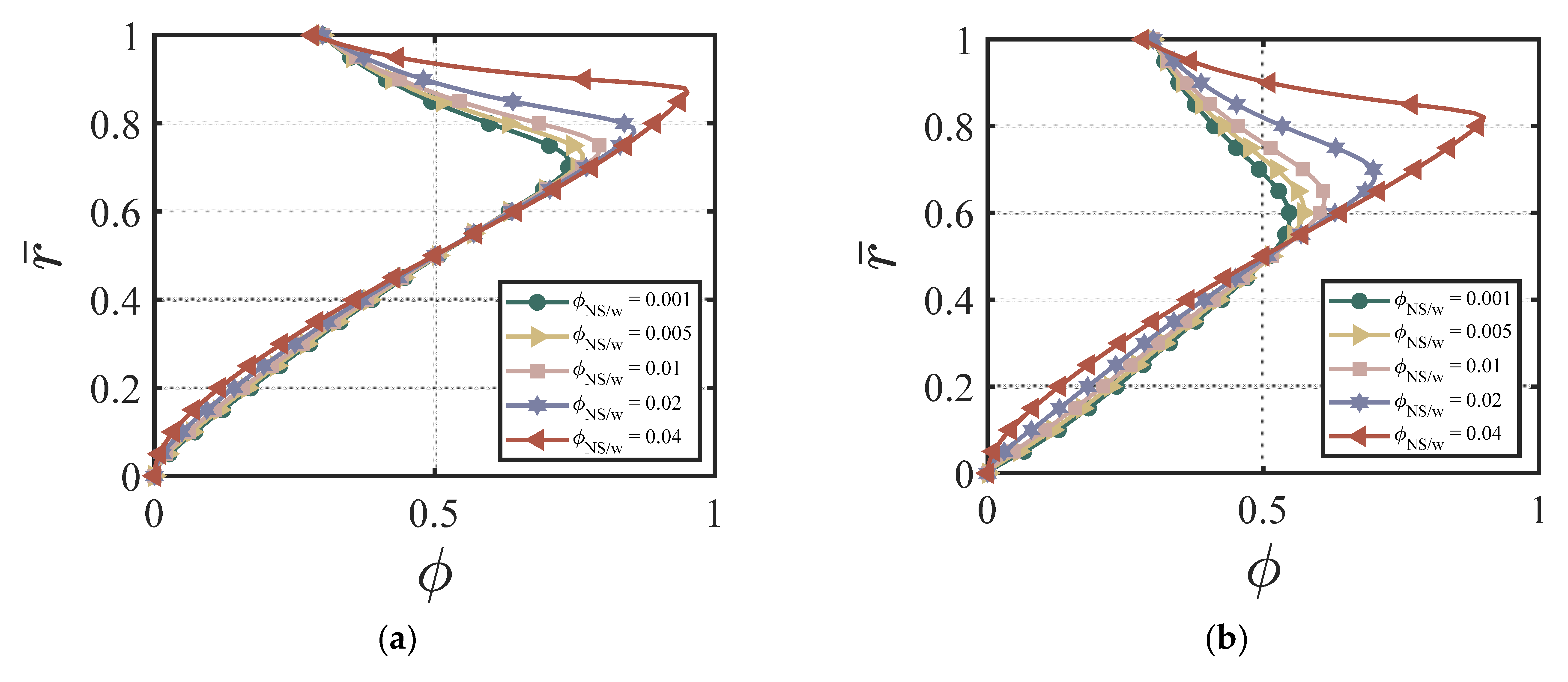
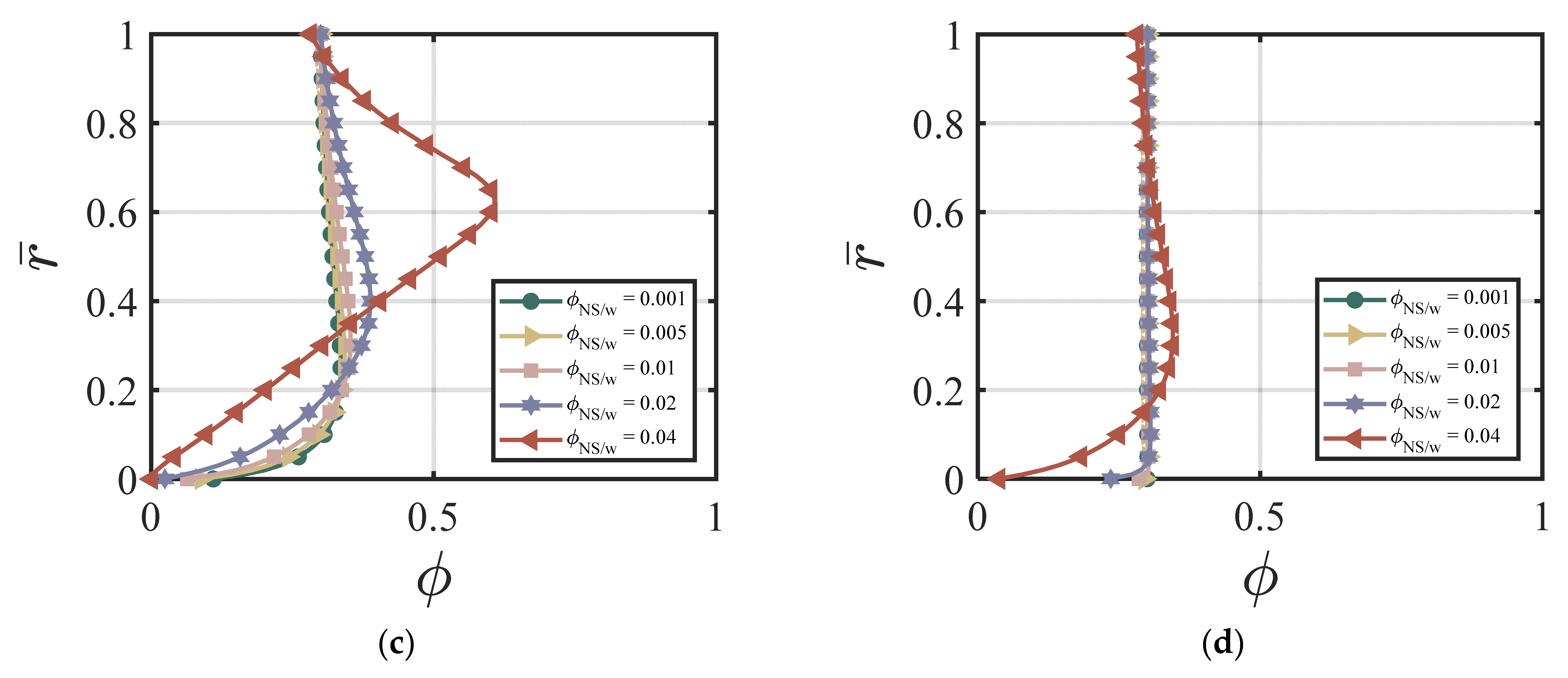
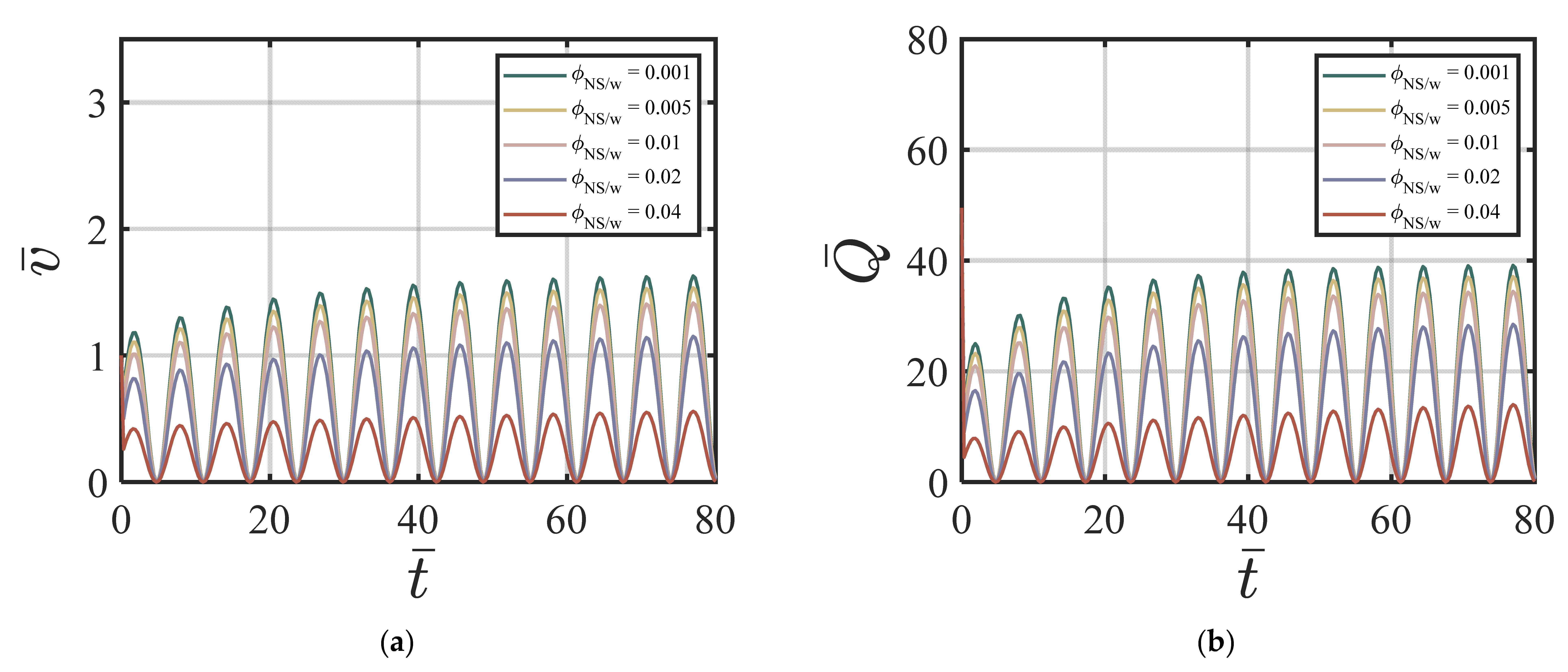
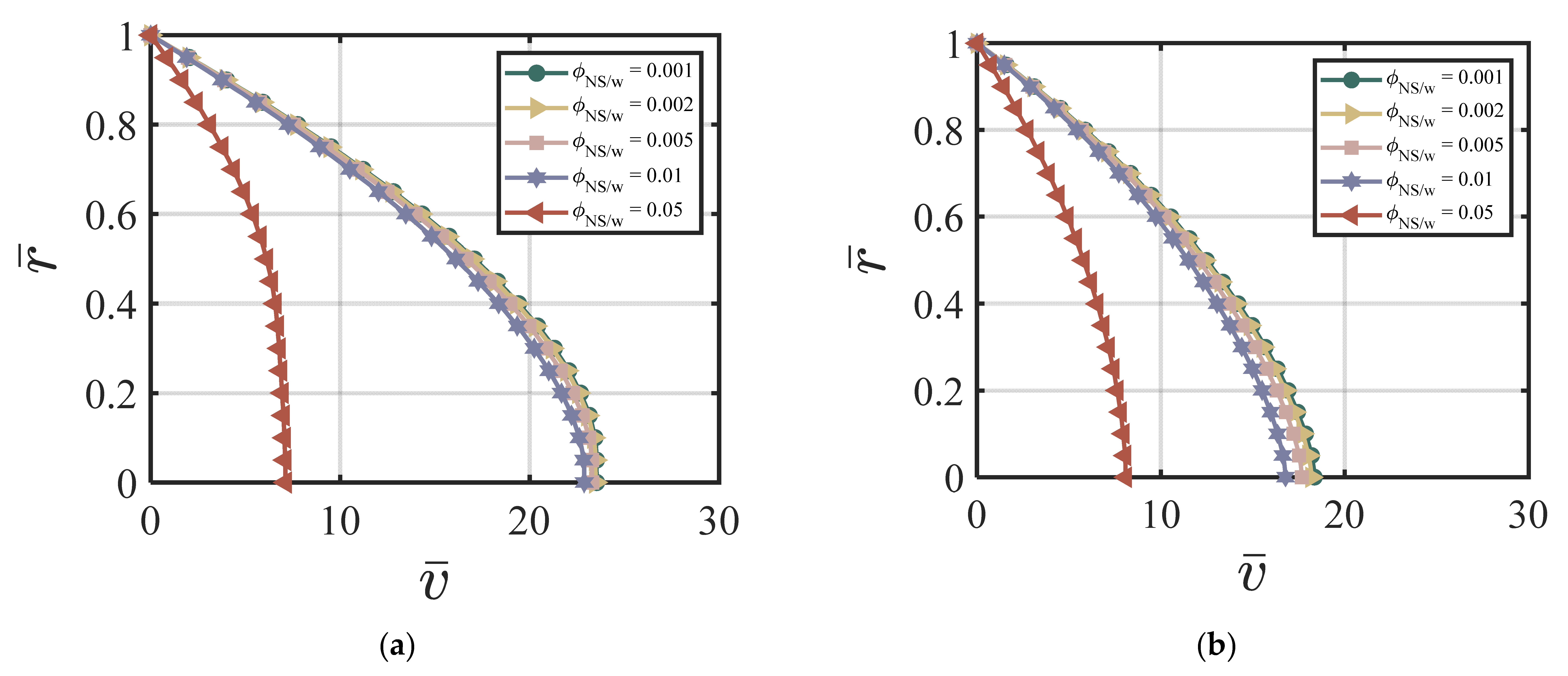
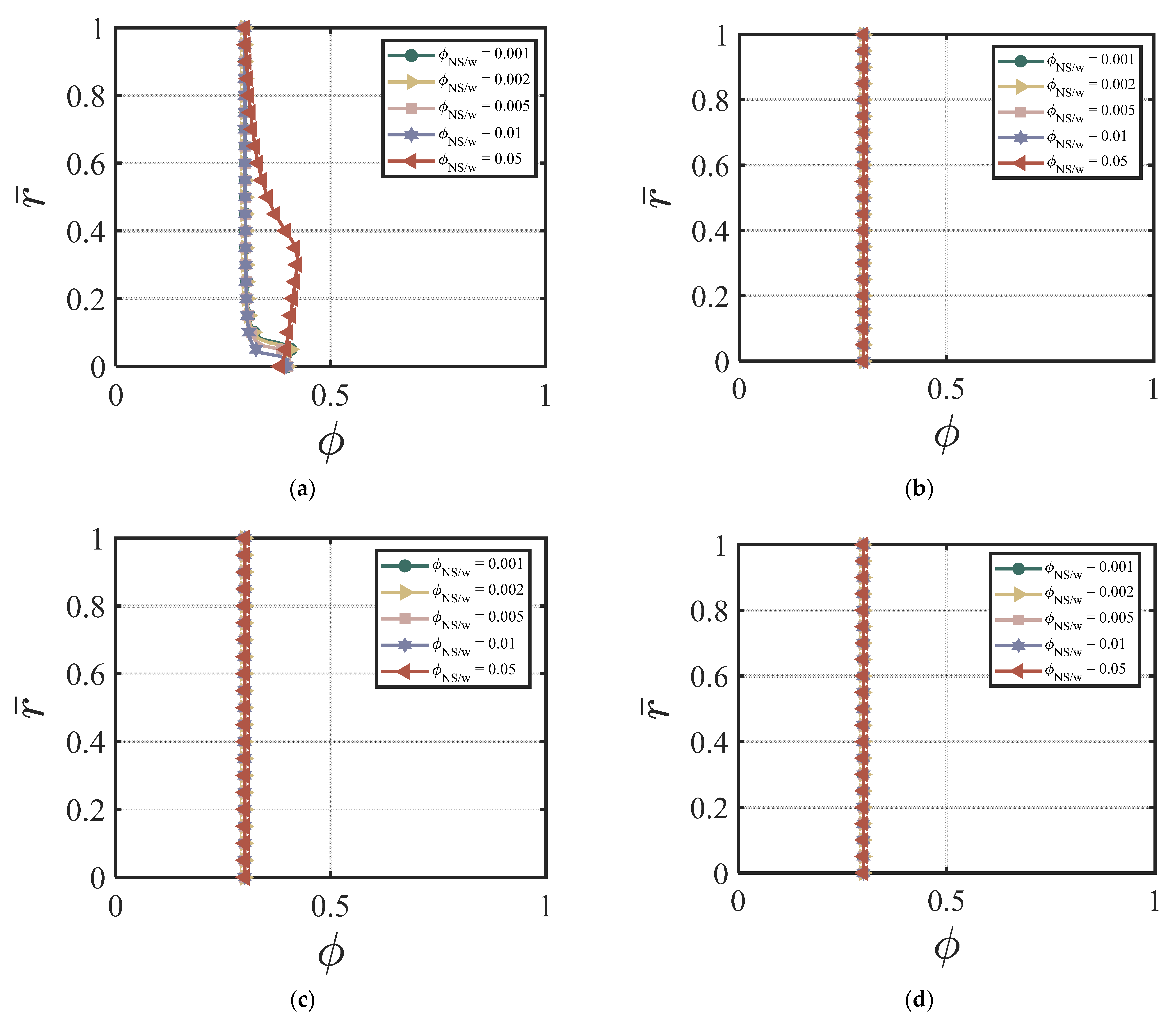
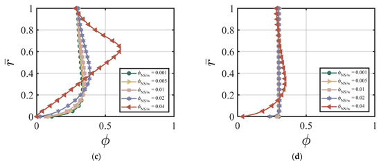
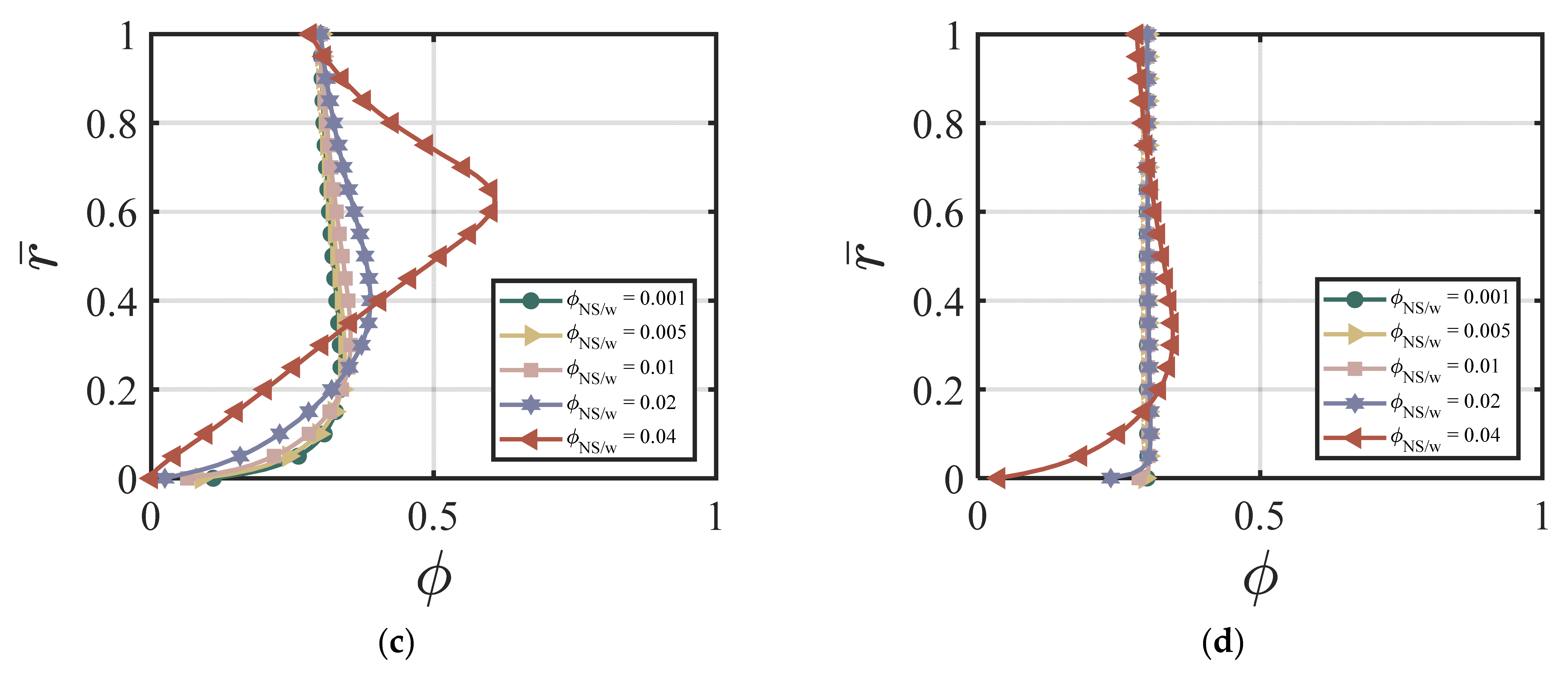
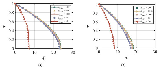
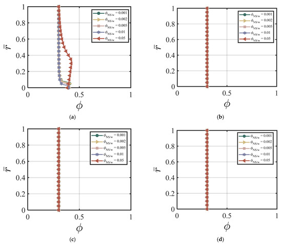
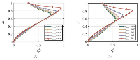
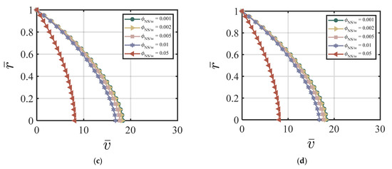
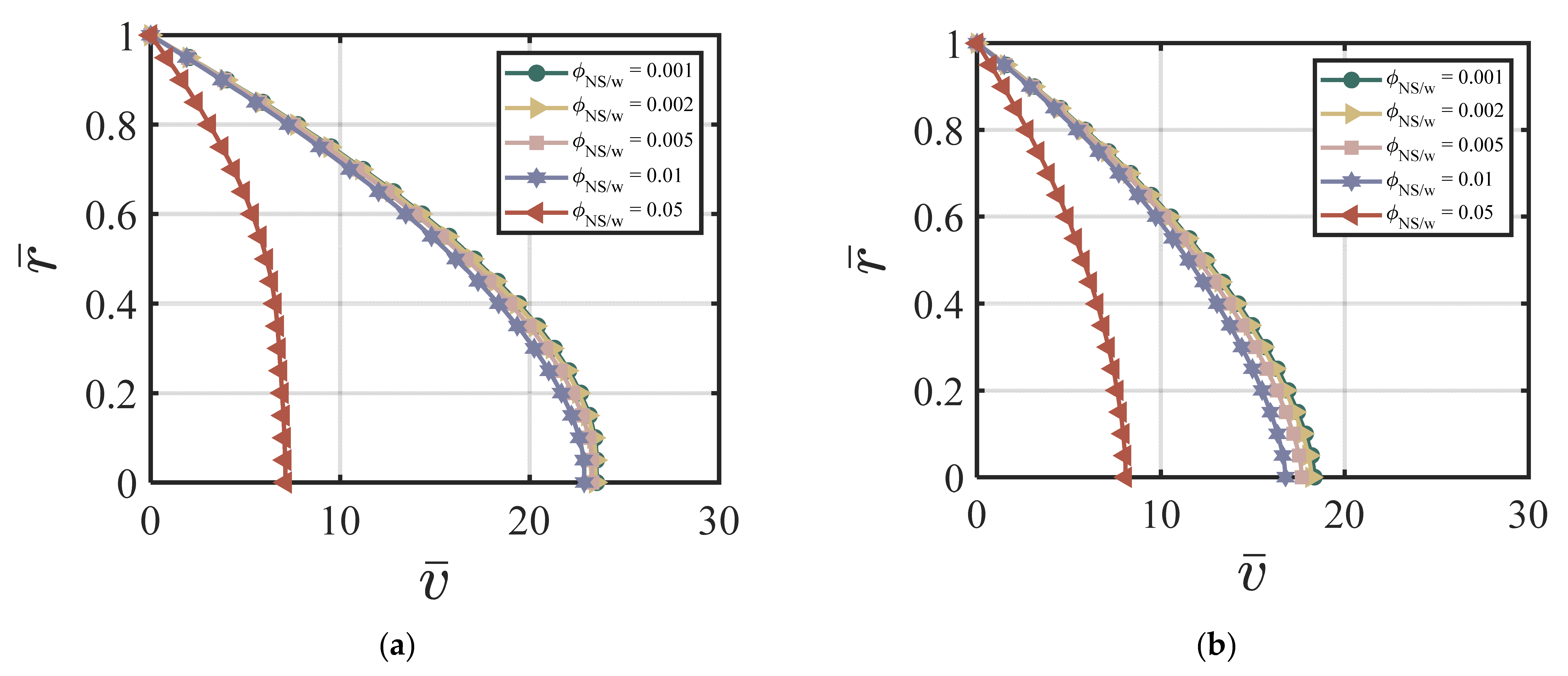
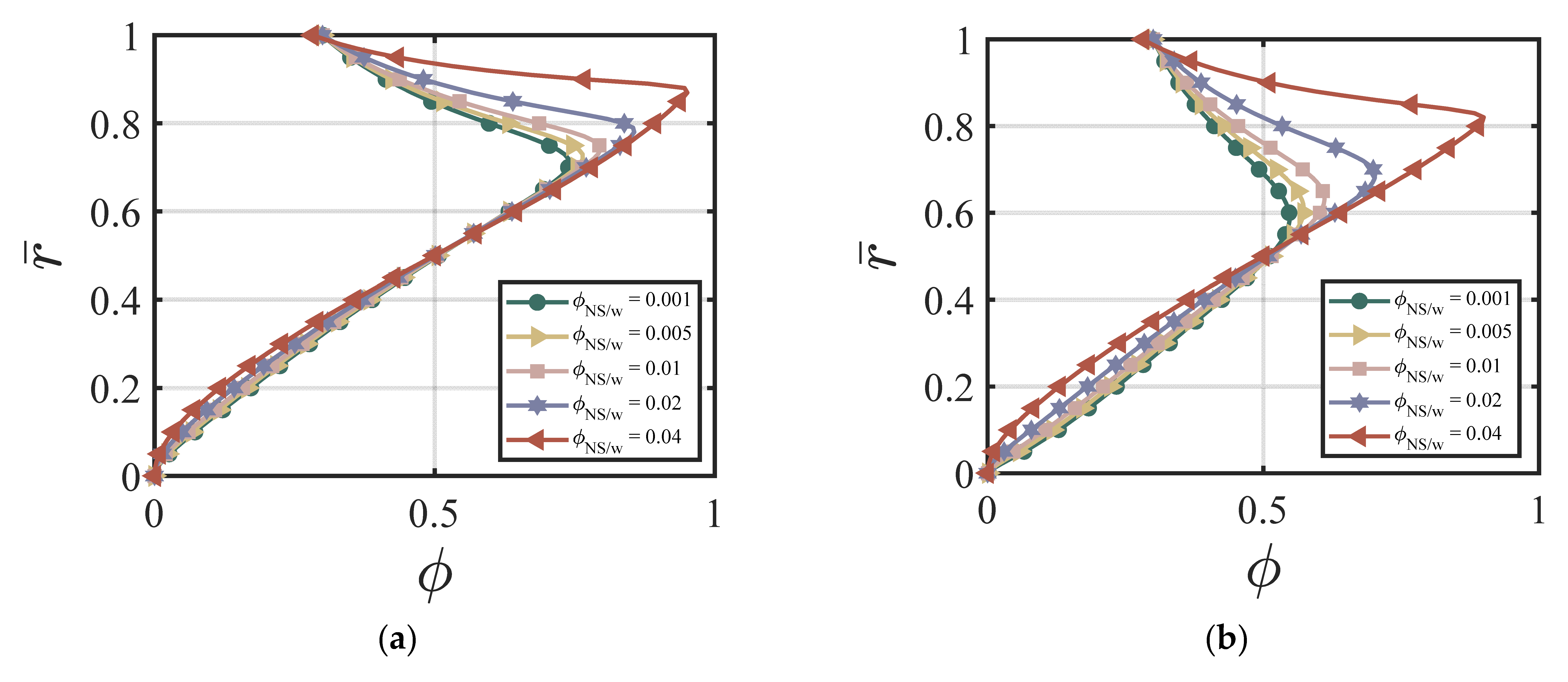
4.3.1. NS-Added Particles to the Cement Suspension
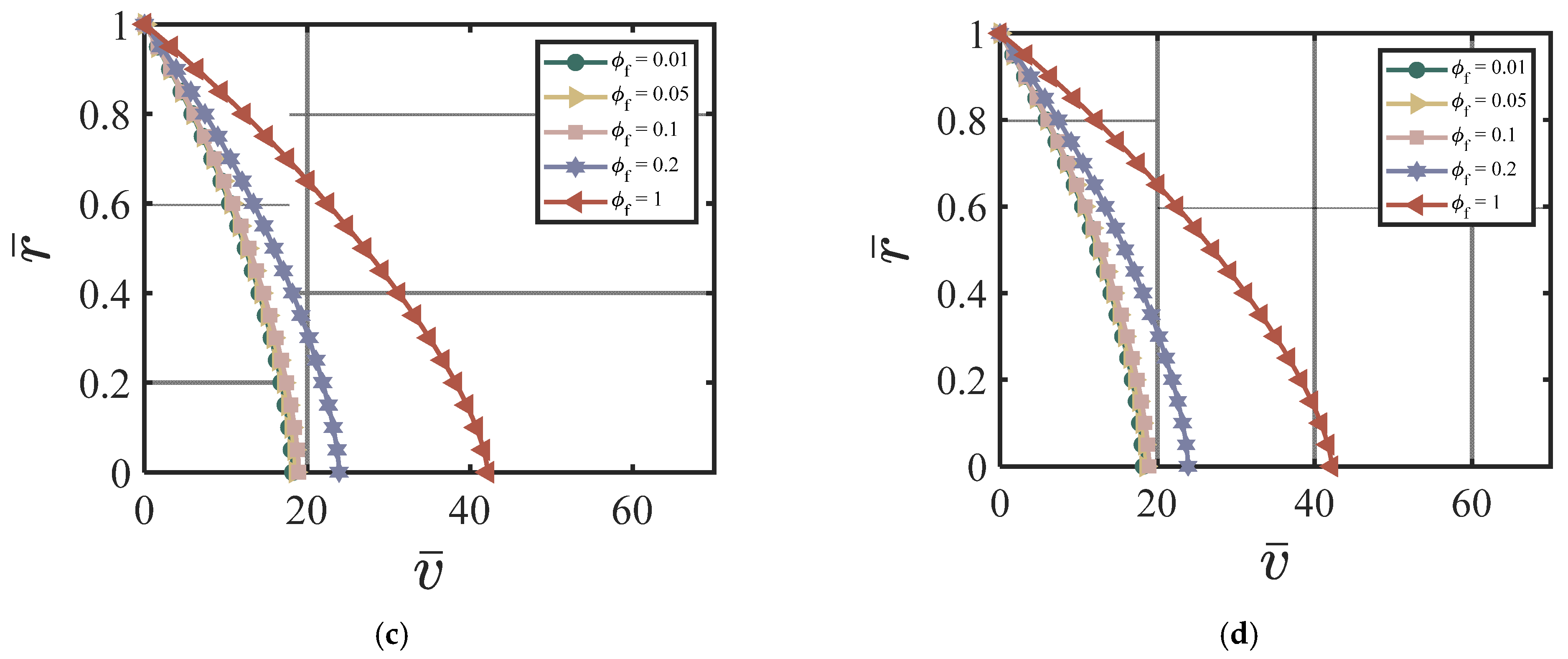
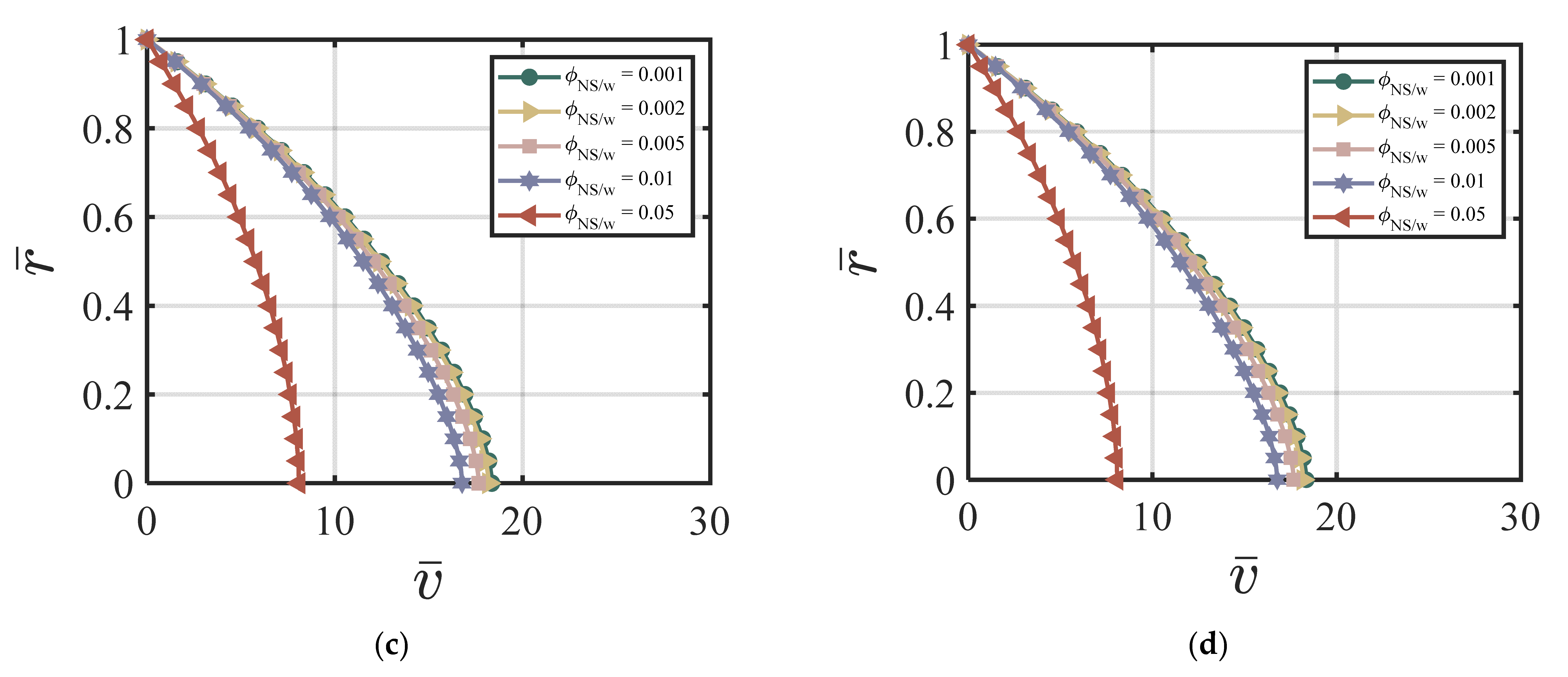
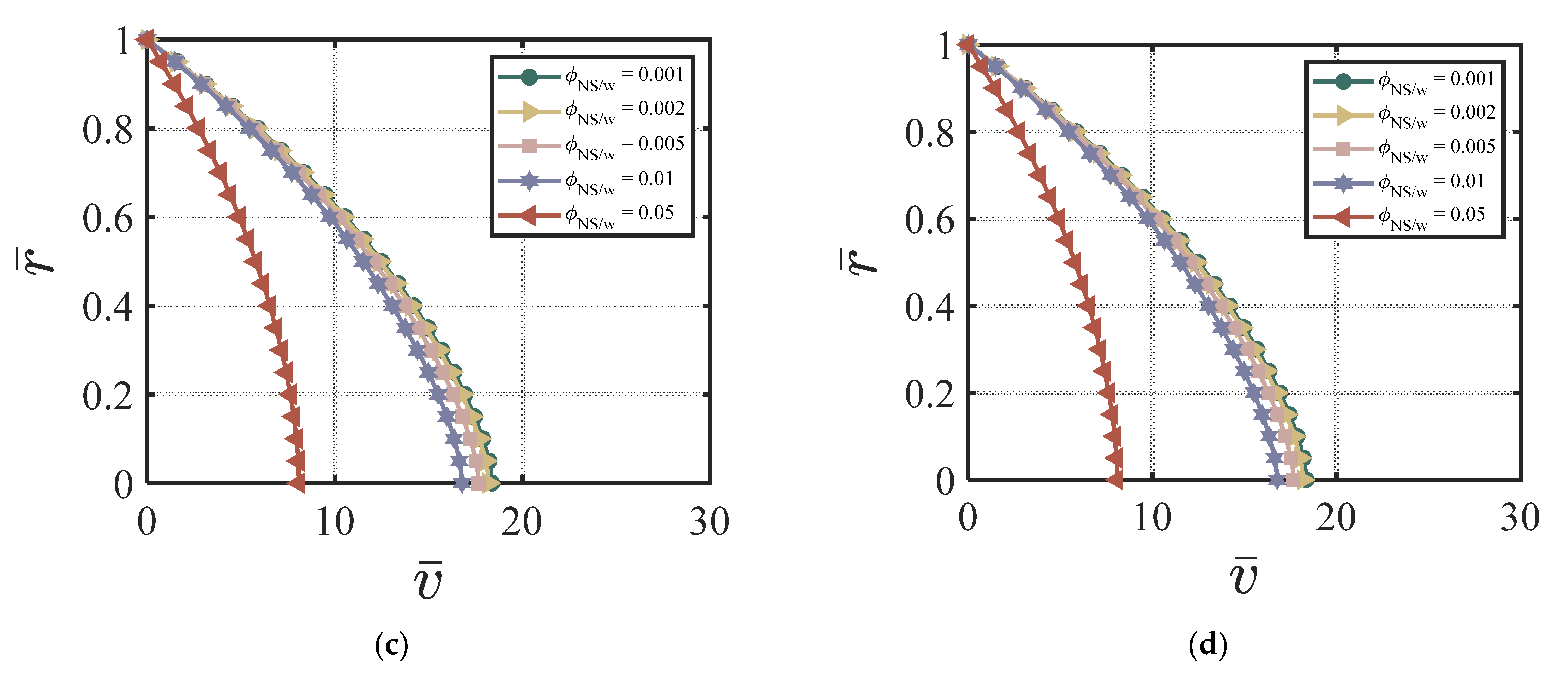
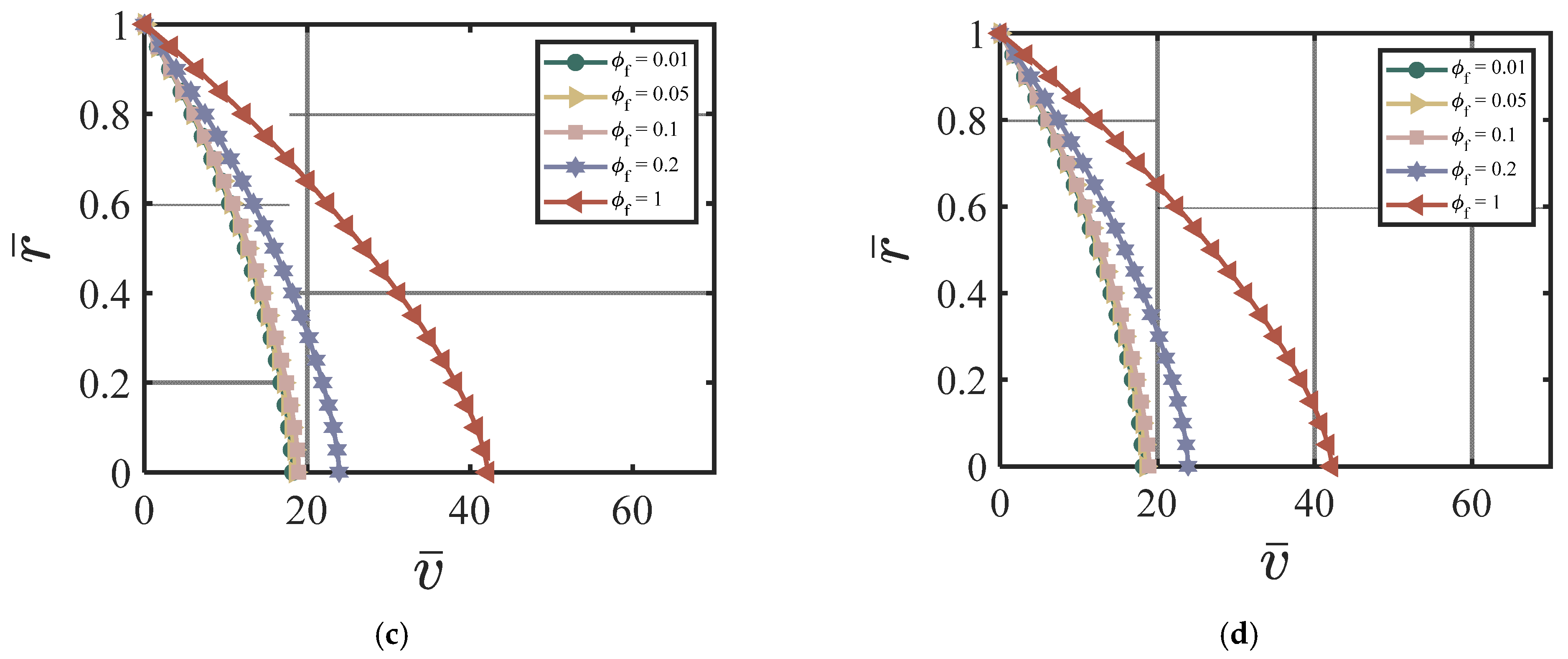
4.3.2. FA-Added Particles to the Cement Suspension
4.3.3. Combined NS and FA-Added Particles to the Cement Suspension
5. Conclusions
- The cement suspension is modeled as a non-Newtonian fluid, where a modified form of the power-law model is used to study the dependency of the cement suspension viscosity on the shear rate and the volume fraction. The governing equations are made dimensionless, and a limited parametric study is performed for the different dimensionless numbers and parameters.
- For the parametric study, we focused on the effects of (the ratio of NS particle volume to the total volume of nano-silica), (the fly ash content), and the combined two additives; by varying these parameters, we looked at their effects on the velocity and the volume fraction fields.
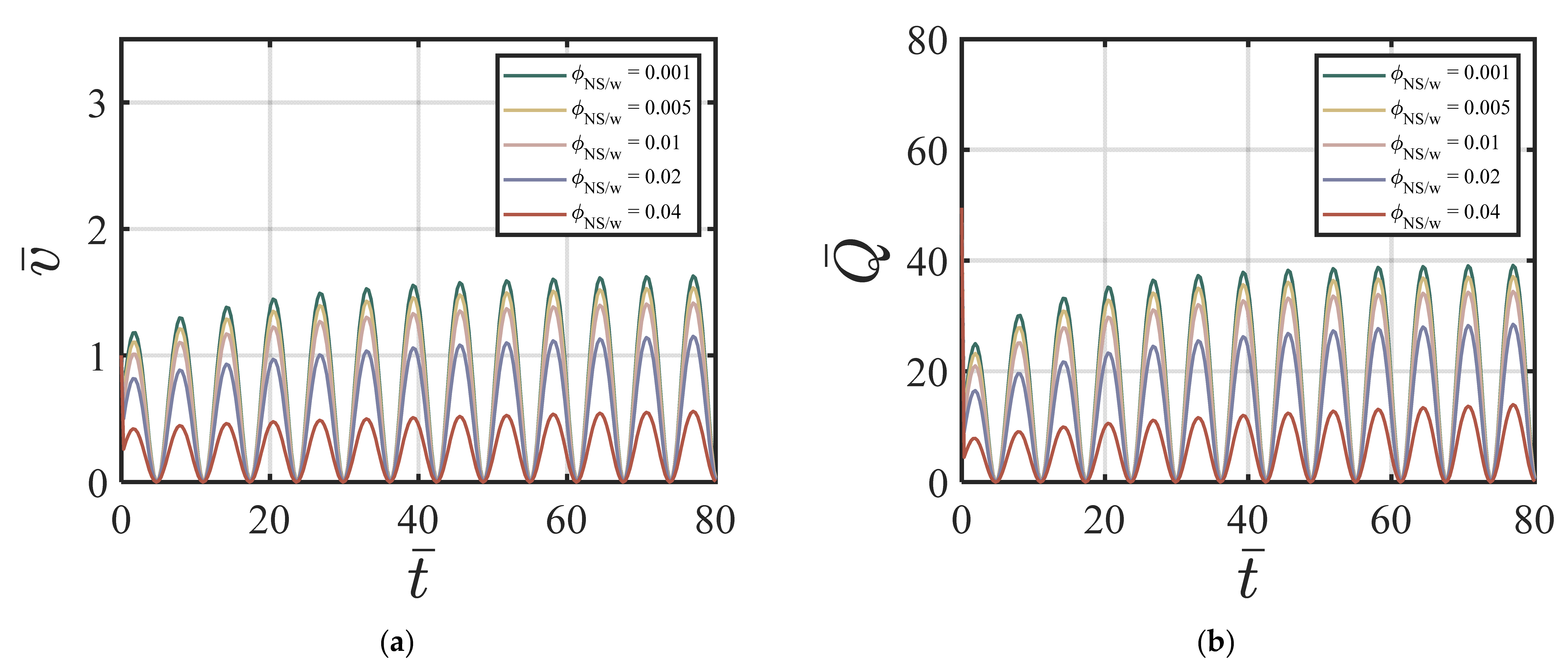
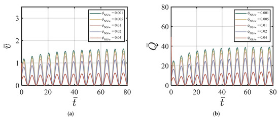
- Based on the limited numerical simulations, the results indicate that the velocity and the volume fraction profiles are affected by the addition of different additives. For the pulsating flow of a cement suspension with various additives, we can see that larger values of nano-silica particles can cause a smaller centerline velocity and a higher non-uniformity of the volume fraction field. In contrast to nano-silica particles, larger values of fly ash cause a higher centerline velocity. The effect of fly ash content on the volume fraction is not that obvious.
- It can also be seen that the fresh cement suspensions with smaller values of nano-silica reach the steady state conditions faster, while the cement suspension with added fly ash particles reaches the steady state very fast.
- For the case of combined nano-silica and fly ash particles, the nano-silica plays a dominant effect, where the velocity and the volume fraction fields show similar trends to the case of nano-silica-added cement suspension.
Author Contributions
Funding
Institutional Review Board Statement
Informed Consent Statement
Data Availability Statement
Conflicts of Interest
Nomenclature
| Symbol | Explanation |
| Density | |
| Acceleration due to gravity | |
| Radius of the horizontal pipe | |
| Reference velocity | |
| Particle radius | |
| Adsorbed water layer thickness for the nanoparticle | |
| Radius of nanoparticles | |
| Time | |
| Diffusion coefficient | |
| Cement suspension diffusivity parameter | |
| Diffusion coefficient | |
| Volume fraction-dependent diffusion coefficient | |
| Constant in volume fraction-dependent diffusion coefficient | |
| Local shear rate | |
| Volume fraction of particles | |
| Volume fraction of nano-silica particles | |
| Volume fraction of fly ash | |
| Experimental fitting parameters for different types of fly ash | |
| Capillary pore in cement suspension | |
| Viscosity | |
| Coefficient of viscosity | |
| Effective viscosity | |
| Concentration-dependent viscosity | |
| Additive concentration-dependent viscosity | |
| Experimental (fitting) parameter for viscosity | |
| Maximum particle concentration | |
| Average volume fraction | |
| Pressure | |
| , | Material parameters |
| Reynolds number | |
| Dimensionless numbers | |
| Velocity vector | |
| Body force vector | |
| Particle transport flux | |
| Cauchy stress tensor | |
| Yield stress tensor | |
| Viscous stress tensor | |
| Identity tensor | |
| Gradient of the velocity vector | |
| n-th order Rivlin–Ericksen tensor | |
| Gradient symbol | |
| Divergence operator |
References
- Khayat, K.H.; Meng, W.; Vallurupalli, K.; Teng, L. Rheological properties of ultra-high-performance concrete—An overview. Cem. Concr. Res. 2019, 124, 105828. [Google Scholar] [CrossRef]
- Meng, W.; Khayat, K.H. Mechanical properties of ultra-high-performance concrete enhanced with graphite nanoplatelets and carbon nanofibers. Compos. Part B Eng. 2016, 107, 113–122. [Google Scholar] [CrossRef]
- Meng, W.; Khayat, K.H. Effect of graphite nanoplatelets and carbon nanofibers on rheology, hydration, shrinkage, mechanical properties, and microstructure of UHPC. Cem. Concr. Res. 2018, 105, 64–71. [Google Scholar] [CrossRef]
- Wu, Z.; Khayat, K.H.; Shi, C.; Tutikian, B.F.; Chen, Q. Mechanisms underlying the strength enhancement of UHPC modified with nano-SiO2 and nano-CaCO3. Cem. Concr. Compos. 2021, 119, 103992. [Google Scholar] [CrossRef]
- Ghafari, E.; Costa, H.; Júlio, E. Critical review on eco-efficient ultra high performance concrete enhanced with nano-materials. Constr. Build. Mater. 2015, 101, 201–208. [Google Scholar] [CrossRef]
- Praveenkumar, T.R.; Vijayalakshmi, M.M.; Meddah, M.S. Strengths and durability performances of blended cement concrete with TiO2 nanoparticles and rice husk ash. Constr. Build. Mater. 2019, 217, 343–351. [Google Scholar] [CrossRef]
- Long, G.; Li, Y.; Ma, C.; Xie, Y.; Shi, Y. Hydration kinetics of cement incorporating different nanoparticles at elevated temperatures. Thermochim. Acta 2018, 664, 108–117. [Google Scholar] [CrossRef]
- Aggarwal, P.; Singh, R.P.; Aggarwal, Y. Use of nano-silica in cement based materials—A review. Cogent Eng. 2015, 2, 1078018. [Google Scholar] [CrossRef]
- Lavergne, F.; Belhadi, R.; Carriat, J.; Fraj, A.B. Effect of nano-silica particles on the hydration, the rheology and the strength development of a blended cement paste. Cem. Concr. Compos. 2019, 95, 42–55. [Google Scholar] [CrossRef]
- Kim, B.-J.; Lee, G.-W.; Choi, Y.-C. Hydration and mechanical properties of high-volume fly ash concrete with nano-silica and silica fume. Materials 2022, 15, 6599. [Google Scholar] [CrossRef]
- Yang, T.; Zhu, H.; Zhang, Z.; Gao, X.; Zhang, C.; Wu, Q. Effect of fly ash microsphere on the rheology and microstructure of alkali-activated fly ash/slag pastes. Cem. Concr. Res. 2018, 109, 198–207. [Google Scholar] [CrossRef]
- Jiang, D.; Li, X.; Lv, Y.; Zhou, M.; He, C.; Jiang, W.; Liu, Z.; Li, C. Utilization of limestone powder and fly ash in blended cement: Rheology, strength and hydration characteristics. Constr. Build. Mater. 2020, 232, 117228. [Google Scholar] [CrossRef]
- Wang, Q.; Cui, X.; Wang, J.; Li, S.; Lv, C.; Dong, Y. Effect of fly ash on rheological properties of graphene oxide cement paste. Constr. Build. Mater. 2017, 138, 35–44. [Google Scholar] [CrossRef]
- Szostak, B.; Golewski, G.L. Rheology of cement pastes with siliceous fly ash and the CSH nano-admixture. Materials 2021, 14, 3640. [Google Scholar] [CrossRef] [PubMed]
- Sobolev, K.; Vivian, I.F.; Saha, R.; Wasiuddin, N.M.; Saltibus, N.E. The effect of fly ash on the rheological properties of bituminous materials. Fuel 2014, 116, 471–477. [Google Scholar] [CrossRef]
- Laskar, A.I.; Talukdar, S. Rheological behavior of high performance concrete with mineral admixtures and their blending. Constr. Build. Mater. 2008, 22, 2345–2354. [Google Scholar] [CrossRef]
- Provis, J.L.; Duxson, P.; van Deventer, J.S.J. The role of particle technology in developing sustainable construction materials. Adv. Powder Technol. 2010, 21, 2–7. [Google Scholar] [CrossRef]
- Sybertz, F.; Reick, P. Effect of fly as on the rheological properties of cement paste. In Rheology of Fresh Cement and Concrete; Banfill, P.F.G., Ed.; Proceedings of an International Conference, Liverpool, 1991; CRC Press: London, UK; pp. 13–22.
- Golewski, G.L. Concrete composites based on quaternary blended cements with a reduced width of initial microcracks. Appl. Sci. 2023, 13, 7338. [Google Scholar] [CrossRef]
- García-Taengua, E.; Sonebi, M.; Hossain, K.M.A.; Lachemi, M.; Khatib, J. Effects of the addition of nanosilica on the rheology, hydration and development of the compressive strength of cement mortars. Compos. Part B Eng. 2015, 81, 120–129. [Google Scholar] [CrossRef]
- Bessaies-Bey, H.; Khayat, K.H.; Palacios, M.; Schmidt, W.; Roussel, N. Viscosity modifying agents: Key components of advanced cement-based materials with adapted rheology. Cem. Concr. Res. 2022, 152, 106646. [Google Scholar] [CrossRef]
- Papo, A.; Piani, L. Effect of various superplasticizers on the rheological properties of Portland cement pastes. Cem. Concr. Res. 2004, 34, 2097–2101. [Google Scholar] [CrossRef]
- Zhang, Q.; Chen, J.; Zhu, J.; Yang, Y.; Zhou, D.; Wang, T.; Shu, X.; Qiao, M. Advances in Organic Rheology-Modifiers (Chemical Admixtures) and Their Effects on the Rheological Properties of Cement-Based Materials. Materials 2022, 15, 8730. [Google Scholar] [CrossRef] [PubMed]
- Souza, M.T.; Ferreira, I.M.; de Moraes, E.G.; Senff, L.; Arcaro, S.; Pessôa, J.R.C.; Ribeiro, M.J.; de Oliveira, A.P.N. Role of chemical admixtures on 3D printed Portland cement: Assessing rheology and buildability. Constr. Build. Mater. 2022, 314, 125666. [Google Scholar] [CrossRef]
- Tao, C.; Watts, B.; Ferraro, C.C.; Masters, F.J. A Multivariate Computational Framework to Characterize and Rate Virtual Portland Cements. Comput.-Aided Civ. Infrastruct. Eng. 2019, 34, 266–278. [Google Scholar] [CrossRef]
- Watts, B.; Tao, C.; Ferraro, C.; Masters, F. Proficiency analysis of VCCTL results for heat of hydration and mortar cube strength. Constr. Build. Mater. 2018, 161, 606–617. [Google Scholar] [CrossRef]
- Skripkiunas, G.; Karpova, E.; Barauskas, I.; Bendoraitiene, J.; Yakovlev, G. Rheological properties of cement pastes with multiwalled carbon nanotubes. Adv. Mater. Sci. Eng. 2018, 2018, 8963542. [Google Scholar] [CrossRef]
- Wallevik, J.E. Thixotropic investigation on cement paste: Experimental and numerical approach. J. Non-Newton. Fluid Mech. 2005, 132, 86–99. [Google Scholar] [CrossRef]
- Tao, C.; Kutchko, B.G.; Rosenbaum, E.; Massoudi, M. A Review of Rheological Modeling of Cement Slurry in Oil Well Applications. Energies 2020, 13, 570. [Google Scholar] [CrossRef]
- Tao, C.; Rosenbaum, E.; Kutchko, B.; Massoudi, M. Pulsating Poiseuille flow of a cement slurry. Int. J. Non-Linear Mech. 2021, 133, 103717. [Google Scholar] [CrossRef]
- Tao, C.; Rosenbaum, E.; Kutchko, B.G.; Massoudi, M. A Brief Review of Gas Migration in Oilwell Cement Slurries. Energies 2021, 14, 2369. [Google Scholar] [CrossRef]
- Rajagopal, K.R.; Tao, L. Mechanics of Mixtures; World Scientific: Singapore, 1995; Volume 35, ISBN 9810215851. [Google Scholar]
- Massoudi, M. A Mixture Theory formulation for hydraulic or pneumatic transport of solid particles. Int. J. Eng. Sci. 2010, 48, 1440–1461. [Google Scholar] [CrossRef]
- Tao, C.; Kutchko, G.B.; Rosenbaum, E.; Wu, W.-T.; Massoudi, M. Steady Flow of a Cement Slurry. Energies 2019, 12, 2604. [Google Scholar] [CrossRef]
- Slattery, J.C. Advanced Transport Phenomena; Cambridge University Press: Cambridge, UK, 1999; ISBN 1316583902. [Google Scholar]
- Probstein, R.F. Physicochemical Hydrodynamics: An Introduction; John Wiley & Sons: Hoboken, NJ, USA, 2005; ISBN 0471725129. [Google Scholar]
- Li, Y.; Wu, W.-T.; Liu, X.; Massoudi, M. The effects of particle concentration and various fluxes on the flow of a fluid-solid suspension. Appl. Math. Comput. 2019, 358, 151–160. [Google Scholar] [CrossRef]
- Massoudi, M.; Tran, P.X. The Couette–Poiseuille flow of a suspension modeled as a modified third-grade fluid. Arch. Appl. Mech. 2016, 86, 921–932. [Google Scholar] [CrossRef]
- Truesdell, C.; Noll, W. The Non-linear Field Theories of Mechanics; Springer-Verlag: Berlin/Heidelberg, Germany, 1992. [Google Scholar]
- Rivlin, R.; Ericksen, J. Stress-Deformation Relations for Isotropic Materials. J. Ration. Mech. Anal. 1955, 4, 323–425. [Google Scholar] [CrossRef]
- Bridges, C.; Rajagopal, K.R. Pulsatile flow of a chemically-reacting nonlinear fluid. Comput. Math. Appl. 2006, 52, 1131–1144. [Google Scholar] [CrossRef]
- Batchelor, G.K.; Green, J.T. The determination of the bulk stress in a suspension of spherical particles to order c2. J. Fluid Mech. 1972, 56, 401–427. [Google Scholar] [CrossRef]
- Asaga, K.; Roy, D.M. Rheological properties of cement mixes: IV. Effects of superplasticizers on viscosity and yield stress. Cem. Concr. Res. 1980, 10, 287–295. [Google Scholar] [CrossRef]
- Krieger, I.M.; Dougherty, T.J. A mechanism for non-Newtonian flow in suspensions of rigid spheres. Trans. Soc. Rheol. 1959, 3, 137–152. [Google Scholar] [CrossRef]
- Barnes, H.A. Thixotropy—A review. J. Non-Newton. Fluid Mech. 1997, 70, 1–33. [Google Scholar] [CrossRef]
- Ouyang, J.; Han, B.; Chen, G.; Zhao, L.; Ou, J. A viscosity prediction model for cement paste with nano-SiO2 particles. Constr. Build. Mater. 2018, 185, 293–301. [Google Scholar] [CrossRef]
- Phillips, R.J.; Armstrong, R.C.; Brown, R.A.; Graham, A.L.; Abbott, J.R. A constitutive equation for concentrated suspensions that accounts for shear-induced particle migration. Phys. Fluids A Fluid Dyn. 1992, 4, 30–40. [Google Scholar] [CrossRef]
- Carnahan, N.F.; Starling, K.E. Equation of state for nonattracting rigid spheres. J. Chem. Phys. 1969, 51, 635–636. [Google Scholar] [CrossRef]
- Russel, W.B.; Russel, W.B.; Saville, D.A.; Schowalter, W.R. Colloidal Dispersions; Cambridge University Press: Cambridge, UK, 1991; ISBN 0521426006. [Google Scholar]
- Wang, J.; Liu, M.; Wang, Y.; Zhou, Z.; Xu, D.; Du, P.; Cheng, X. Synergistic effects of nano-silica and fly ash on properties of cement-based composites. Constr. Build. Mater. 2020, 262, 120737. [Google Scholar] [CrossRef]
- Li, H.; Zhang, L.; Ding, S.; Shu, X.; Wang, X.; Han, B. Effects and mechanisms of incorporated nanoparticles on the rheological performance of cement pastes. J. Build. Eng. 2023, 73, 106694. [Google Scholar] [CrossRef]
- Zhang, C.; Kong, X.; Yin, J.; Fu, X. Rheology of fresh cement pastes containing polymer nanoparticles. Cem. Concr. Res. 2021, 144, 106419. [Google Scholar] [CrossRef]
- Garcia-Rios, M.; Luquot, L.; Soler, J.M.; Cama, J. Influence of the flow rate on dissolution and precipitation features during percolation of CO2-rich sulfate solutions through fractured limestone samples. Chem. Geol. 2015, 414, 95–108. [Google Scholar] [CrossRef]













| Parameters | Values |
|---|---|
| 0.001, 0.005, 0.01, 0.02, 0.04 | |
| 0.01, 0.05, 0.1, 0.2, 1 | |
| 0.4 | |
| 6.5 | |
| 3.15 | |
| 1 | |
| 0.5 | |
| Re | 100 |
| 10 | |
| 0 | |
| 0.001 | |
| 19 | |
| 20.9 |
Disclaimer/Publisher’s Note: The statements, opinions and data contained in all publications are solely those of the individual author(s) and contributor(s) and not of MDPI and/or the editor(s). MDPI and/or the editor(s) disclaim responsibility for any injury to people or property resulting from any ideas, methods, instructions or products referred to in the content. |
© 2024 by the authors. Licensee MDPI, Basel, Switzerland. This article is an open access article distributed under the terms and conditions of the Creative Commons Attribution (CC BY) license (https://creativecommons.org/licenses/by/4.0/).
Share and Cite
Tao, C.; Massoudi, M. On the Flow of a Cement Suspension: The Effects of Nano-Silica and Fly Ash Particles. Materials 2024, 17, 1504. https://doi.org/10.3390/ma17071504
Tao C, Massoudi M. On the Flow of a Cement Suspension: The Effects of Nano-Silica and Fly Ash Particles. Materials. 2024; 17(7):1504. https://doi.org/10.3390/ma17071504
Chicago/Turabian StyleTao, Chengcheng, and Mehrdad Massoudi. 2024. "On the Flow of a Cement Suspension: The Effects of Nano-Silica and Fly Ash Particles" Materials 17, no. 7: 1504. https://doi.org/10.3390/ma17071504
APA StyleTao, C., & Massoudi, M. (2024). On the Flow of a Cement Suspension: The Effects of Nano-Silica and Fly Ash Particles. Materials, 17(7), 1504. https://doi.org/10.3390/ma17071504
