A Yield Stress and Work Hardening Model of Al-Mg-Si Alloy Considering the Strengthening Effect of β” and β’ Precipitates
Abstract
1. Introduction
2. Material Characterization
3. Modeling
3.1. Strength Model
3.2. Crystal Plasticity Constitutive Model
3.2.1. Single-Crystal Constitutive Equations
3.2.2. Polycrystal Morphology and Homogenization Method
3.3. Establishment of FE Model
3.4. Parameter Calibration
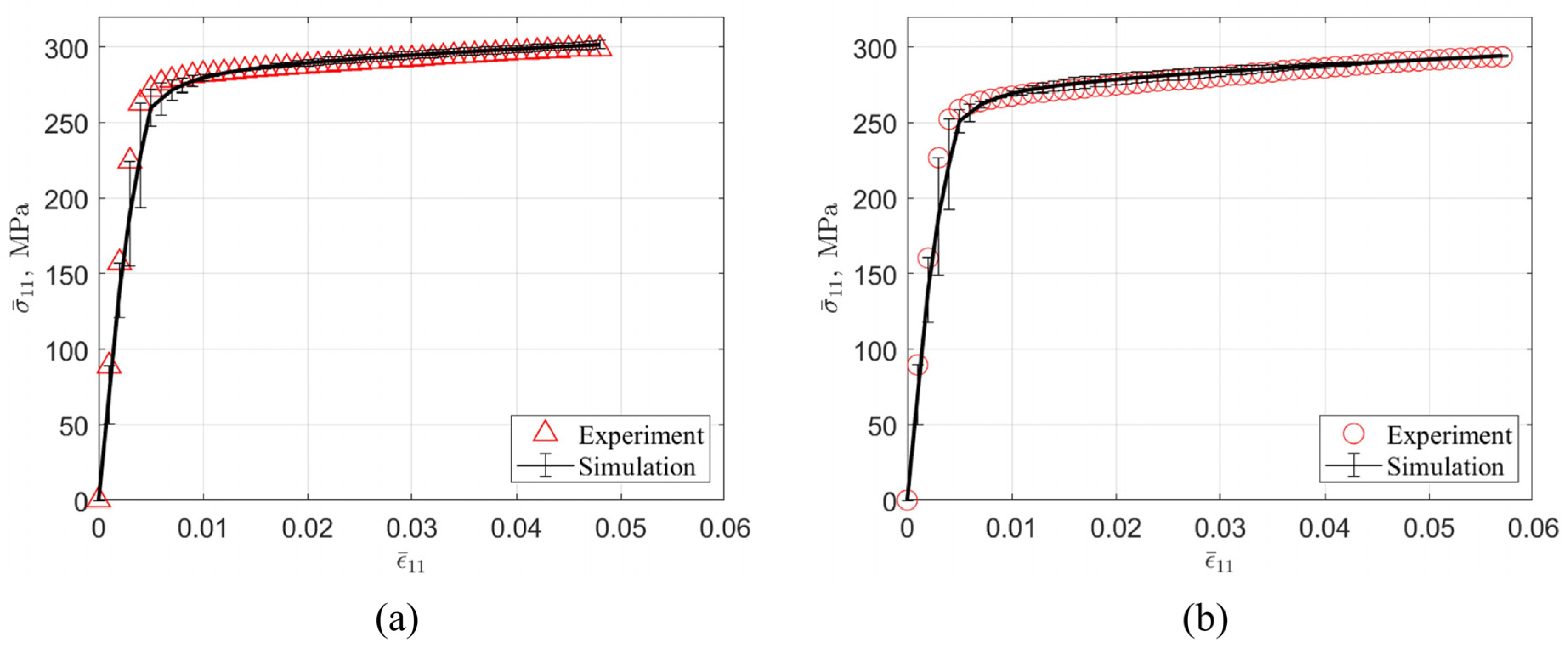
4. Results and Discussions
5. Conclusions
Author Contributions
Funding
Institutional Review Board Statement
Informed Consent Statement
Data Availability Statement
Acknowledgments
Conflicts of Interest
References
- Khangholi, S.N.; Javidani, M.; Maltais, A.; Chen, X.G. Review on recent progress in Al–Mg–Si 6xxx conductor alloys. J. Mater. Res. 2022, 37, 670–691. [Google Scholar] [CrossRef]
- Wang, X.; Guo, M.; Moliar, O.; Peng, W.; Xie, C.; Chen, J.; Wang, Y. Enhanced grain refinement and texture weakening in Al–Mg–Si alloy through a novel thermomechanical processing. J. Alloys Compd. 2022, 925, 166654. [Google Scholar] [CrossRef]
- Han, R.; Ren, D.; Zhang, Z.; Song, G. Study on improving the formability of AA6061-T6 alloy by surface FSP. Int. J. Adv. Manuf. Technol. 2023, 128, 1815–1827. [Google Scholar] [CrossRef]
- Ribes, H. Aluminum Applications in Lightweight Design for Small Commercial Vehicles and Station Wagons. ATZproduction Worldw. 2019, 6, 42–45. [Google Scholar] [CrossRef]
- Engler, O. Effect of precipitation state on plastic anisotropy in sheets of the age-hardenable aluminium alloys AA 6016 and AA 7021. Mater. Sci. Eng. A 2022, 830, 142324. [Google Scholar] [CrossRef]
- Hu, Y.; Curtin, W.A. Modeling of precipitate strengthening with near-chemical accuracy: Case study of Al-6xxx alloys. Acta Mater. 2022, 237, 118144. [Google Scholar] [CrossRef]
- Yan, Q.; Qiu, Y.; Yang, M.; Lu, Q.; Lin, H.; Yang, M.; Li, K.; Du, Y. Effects of Rapid Quenching on Grain Boundary Microstructure and Mechanical Properties of an Al-Mg-Si-Cu Alloy. Materials 2023, 16, 5609. [Google Scholar] [CrossRef]
- Yang, M.; Ruan, Z.; Lin, H.; Li, K.; Yang, M.; Wang, Z.; Lan, X.; Xie, Y.; Xiao, Y.; Yan, Q.; et al. Quantified effect of quench rate on the microstructures and mechanical properties of an Al–Mg–Si alloy. J. Mater. Res. Technol. 2023, 24, 6753–6761. [Google Scholar] [CrossRef]
- Li, Y.L.; Kohar, C.P.; Mishra, R.K.; Inal, K. A new crystal plasticity constitutive model for simulating precipitation-hardenable aluminum alloys. Int. J. Plast. 2020, 132, 102759. [Google Scholar] [CrossRef]
- Lu, F.; Sunde, J.K.; Marioara, C.D.; Holmestad, R.; Holmedal, B. An improved modelling framework for strength and work hardening of precipitate strengthened Al–Mg–Si alloys. Mater. Sci. Eng. A 2022, 832, 142500. [Google Scholar] [CrossRef]
- Kumar, N. Severe Plastic Deformation of Al–Mg–Si Alloys Processed Through Rolling Techniques: A Review. Metallogr. Microstruct. Anal. 2022, 11, 353–404. [Google Scholar] [CrossRef]
- Sunde, J.K.; Lu, F.; Marioara, C.D.; Holmedal, B.; Holmestad, R. Linking mechanical properties to precipitate microstructure in three Al-Mg-Si(-Cu) alloys. Mater. Sci. Eng. A 2021, 807, 140862. [Google Scholar] [CrossRef]
- Kim, D.; Maeng, H.; Choi, Y.; Choi, H.; Lee, S.-J. Constitutive Model of Triple-Step-Aged Al–Mg–Si Alloy Incorporating Precipitation Kinetics. Met. Mater. Int. 2020, 27, 4577–4585. [Google Scholar] [CrossRef]
- Li, Y.L.; Kohar, C.P.; Muhammad, W.; Inal, K. Precipitation kinetics and crystal plasticity modeling of artificially aged AA6061. Int. J. Plast. 2022, 152, 103241. [Google Scholar] [CrossRef]
- Yang, M.; Chen, H.; Orekhov, A.; Lu, Q.; Lan, X.; Li, K.; Zhang, S.; Song, M.; Kong, Y.; Schryvers, D.; et al. Quantified contribution of β″ and β′ precipitates to the strengthening of an aged Al–Mg–Si alloy. Mater. Sci. Eng. A 2020, 774, 138776. [Google Scholar] [CrossRef]
- Zandbergen, H.W.; Andersen, S.J.; Jansen, J. Structure Determination of Mg5Si6 Particles in Al by Dynamic Electron Diffraction Studies. Science 1997, 277, 1221–1225. [Google Scholar] [CrossRef]
- Wenner, S.; Holmestad, R. Accurately measured precipitate–matrix misfit in an Al–Mg–Si alloy by electron microscopy. Scr. Mater. 2016, 118, 5–8. [Google Scholar] [CrossRef]
- Ding, L.; Jia, Z.; Nie, J.-F.; Weng, Y.; Cao, L.; Chen, H.; Wu, X.; Liu, Q. The structural and compositional evolution of precipitates in Al-Mg-Si-Cu alloy. Acta Mater. 2018, 145, 437–450. [Google Scholar] [CrossRef]
- Myhr, O. Modelling of the age hardening behaviour of Al–Mg–Si alloys. Acta Mater. 2001, 49, 65–75. [Google Scholar] [CrossRef]
- Esmaeili, S.; Lloyd, D.J.; Poole, W.J. A yield strength model for the Al-Mg-Si-Cu alloy AA6111. Acta Mater. 2003, 51, 2243–2257. [Google Scholar] [CrossRef]
- Holmedal, B. Strength contributions from precipitates. Philos. Mag. Lett. 2015, 95, 594–601. [Google Scholar] [CrossRef]
- Taylor, G.I. Plastic strain in metals. J. Inst. Met. 1938, 62, 307–324. [Google Scholar]
- Rice, J.R. Inelastic constitutive relations for solids: An internal-variable theory and its application to metal plasticity. J. Mech. Phys. Solids 1971, 19, 433–455. [Google Scholar] [CrossRef]
- Hill, R.; Rice, J.R. Constitutive analysis of elastic-plastic crystals at arbitrary strain. J. Mech. Phys. Solids 1972, 20, 401–413. [Google Scholar] [CrossRef]
- Mandel, J. Equations constitutives et directeurs dans les milieux plastiques et viscoplastiques. Int. J. Solids Struct. 1973, 9, 725–740. [Google Scholar] [CrossRef]
- Peirce, D.; Asaro, R.J.; Needleman, A. An analysis of nonuniform and localized deformation in ductile single crystals. Acta Metall. 1982, 30, 1087–1119. [Google Scholar] [CrossRef]
- Asaro, R.J. Micromechanics of crystals and polycrystals. Adv. Appl. Mech. 1983, 23, 1–115. [Google Scholar] [CrossRef]
- Kalidindi, S.R.; Bronkhorst, C.A.; Anand, L. Crystallographic texture evolution in bulk deformation processing of FCC metals. J. Mech. Phys. Solids 1992, 40, 537–569. [Google Scholar] [CrossRef]
- Harren, S.V.; Dève, H.E.; Asaro, R.J. Shear band formation in plane strain compression. Acta Metall. 1988, 36, 2435–2480. [Google Scholar] [CrossRef]
- Becker, R. Analysis of texture evolution in channel die compression—I. Effects of grain interaction. Acta Metall. Mater. 1991, 39, 1211–1230. [Google Scholar] [CrossRef]
- Quey, R.; Kasemer, M. The Neper/FEPX Project: Free/Open-source Polycrystal Generation, Deformation Simulation, and Post-processing. IOP Conf. Ser. Mater. Sci. Eng. 2022, 1249, 012021. [Google Scholar] [CrossRef]
- Yaghoobi, M.; Ganesan, S.; Sundar, S.; Lakshmanan, A.; Rudraraju, S.; Allison, J.E.; Sundararaghavan, V. PRISMS-Plasticity: An open-source crystal plasticity finite element software. Comput. Mater. Sci. 2019, 169, 109078. [Google Scholar] [CrossRef]
- Roters, F.; Diehl, M.; Shanthraj, P.; Eisenlohr, P.; Reuber, C.; Wong, S.L.; Maiti, T.; Ebrahimi, A.; Hochrainer, T.; Fabritius, H.O.; et al. DAMASK—The Düsseldorf Advanced Material Simulation Kit for modeling multi-physics crystal plasticity, thermal, and damage phenomena from the single crystal up to the component scale. Comput. Mater. Sci. 2019, 158, 420–478. [Google Scholar] [CrossRef]
- Bignon, M.; Ma, Z.; Robson, J.D.; Shanthraj, P. Interactions between plastic deformation and precipitation in Aluminium alloys: A crystal plasticity model. Acta Mater. 2023, 247, 118735. [Google Scholar] [CrossRef]
- Liu, C.; Roters, F.; Raabe, D. Finite strain crystal plasticity-phase field modeling of twin, dislocation, and grain boundary interaction in hexagonal materials. Acta Mater. 2023, 242, 118444. [Google Scholar] [CrossRef]
- Davis, J.R. Properties and selection: Nonferrous alloys and special-purpose materials; ASM International: Tama, Japan, 1990. [Google Scholar]
- Khadyko, M.; Myhr, O.R.; Dumoulin, S.; Hopperstad, O.S. A microstructure-based yield stress and work-hardening model for textured 6xxx aluminium alloys. Philos. Mag. 2016, 96, 1047–1072. [Google Scholar] [CrossRef]
- Esmaeili, S.; Lloyd, D.J.; Poole, W.J. Modeling of precipitation hardening for the naturally aged Al-Mg-Si-Cu alloy AA6111. Acta Mater. 2003, 51, 3467–3481. [Google Scholar] [CrossRef]
- Myhr, O.R.; Grong, Ø.; Schäfer, C. An Extended Age-Hardening Model for Al-Mg-Si Alloys Incorporating the Room-Temperature Storage and Cold Deformation Process Stages. Metall. Mater. Trans. A 2015, 46, 6018–6039. [Google Scholar] [CrossRef]
- Bahrami, A.; Miroux, A.; Sietsma, J. An Age-Hardening Model for Al-Mg-Si Alloys Considering Needle-Shaped Precipitates. Metall. Mater. Trans. A 2012, 43, 4445–4453. [Google Scholar] [CrossRef]
- Deschamps, A.; Brechet, Y. Influence of predeformation and ageing of an Al–Zn–Mg alloy—II. Modeling of precipitation kinetics and yield stress. Acta Mater. 1998, 47, 293–305. [Google Scholar] [CrossRef]
- Loucif, A.; Figueiredo, R.B.; Baudin, T.; Brisset, F.; Chemam, R.; Langdon, T.G. Ultrafine grains and the Hall–Petch relationship in an Al–Mg–Si alloy processed by high-pressure torsion. Mater. Sci. Eng. A 2012, 532, 139–145. [Google Scholar] [CrossRef]
- Bassani, J.L.; Wu, T.-Y. Latent hardening in single crystals. II. Analytical characterization and predictions. Proc. R. Soc. Lond. Ser. A Math. Phys. Sci. 1997, 435, 21–41. [Google Scholar] [CrossRef]
- Asaro, R.J. Crystal Plasticity. J. Appl. Mech. 1983, 50, 921–934. [Google Scholar] [CrossRef]
- Peirce, D.; Asaro, R.J.; Needleman, A. Material rate dependence and localized deformation in crystalline solids. Acta Metall. 1983, 31, 1951–1976. [Google Scholar] [CrossRef]
- Skelton, R.P. Cyclic hardening, softening, and crack growth during high temperature fatigue. Mater. Sci. Technol. 1993, 9, 1001–1008. [Google Scholar] [CrossRef]
- Manonukul, A.; Dunne, F.P.E. High– and low–cycle fatigue crack initiation using polycrystal plasticity. Proc. R. Soc. Lond. Ser. A Math. Phys. Eng. Sci. 2004, 460, 1881–1903. [Google Scholar] [CrossRef]
- Cheong, K.; Smillie, M.; Knowles, D. Predicting fatigue crack initiation through image-based micromechanical modeling. Acta Mater. 2007, 55, 1757–1768. [Google Scholar] [CrossRef]
- Sachs, G. Plasticity problems in metals. Trans. Faraday Soc. 1928, 24, 84. [Google Scholar] [CrossRef]
- Kröner, E. Zur plastischen verformung des vielkristalls. Acta Metall. 1961, 9, 155–161. [Google Scholar] [CrossRef]
- Miyamoto, H.; Sumikawa, M.; Miyoshi, T. Interpretation of mechanical behavior of pure aluminum in terms of microstructures. In Proceedings of the 1971 Conference on Mechanical Behavior of Materials, Kyoto, Japan, 15–20 August 1972; pp. 140–151. [Google Scholar]
- Roters, F.; Eisenlohr, P.; Hantcherli, L.; Tjahjanto, D.D.; Bieler, T.R.; Raabe, D. Overview of constitutive laws, kinematics, homogenization and multiscale methods in crystal plasticity finite-element modeling: Theory, experiments, applications. Acta Mater. 2010, 58, 1152–1211. [Google Scholar] [CrossRef]
- Huang, Y. A User-Material Subroutine Incorporating Single Crystal Plasticity in the ABAQUS Finite Element Program; Division of Applied Sciences Harvard University: Cambridge, MA, USA, 1991. [Google Scholar]
- Diard, O.; Leclercq, S.; Rousselier, G.; Cailletaud, G. Evaluation of finite element based analysis of 3D multicrystalline aggregates plasticity. Int. J. Plast. 2005, 21, 691–722. [Google Scholar] [CrossRef]
- Khadyko, M.; Dumoulin, S.; Børvik, T.; Hopperstad, O.S. Simulation of large-strain behaviour of aluminium alloy under tensile loading using anisotropic plasticity models. Comput. Struct. 2015, 157, 60–75. [Google Scholar] [CrossRef][Green Version]
- Zhang, K.-S.; Ju, J.W.; Li, Z.; Bai, Y.-L.; Brocks, W. Micromechanics based fatigue life prediction of a polycrystalline metal applying crystal plasticity. Mech. Mater. 2015, 85, 16–37. [Google Scholar] [CrossRef]
- Zheng, X.; Kong, Y.; Chang, T.; Liao, X.; Ma, Y.; Du, Y. High-Throughput Computing Assisted by Knowledge Graph to Study the Correlation between Microstructure and Mechanical Properties of 6XXX Aluminum Alloy. Materials 2022, 15, 5296. [Google Scholar] [CrossRef] [PubMed]
- Manchiraju, S.; Anderson, P.M. Coupling between martensitic phase transformations and plasticity: A microstructure-based finite element model. Int. J. Plast. 2010, 26, 1508–1526. [Google Scholar] [CrossRef]
- Choi, S.H.; Barlat, F.; Liu, J. Effect of precipitates on plastic anisotropy for polycrystalline aluminum alloys. Metall. Mater. Trans. A 2001, 32, 2239–2247. [Google Scholar] [CrossRef]
- Choi, S.H.; Cho, J.H.; Oh, K.H.; Barlat, F.; Chung, K.; Kwon, J.W. Prediction of yield surfaces of textured sheet metals. Metall. Mater. Trans. A 1999, 30, 377–386. [Google Scholar] [CrossRef]
- Mishra, S.; Yadava, M.; Kulkarni, K.N.; Gurao, N.P. A theoretical investigation of the effect of precipitate habit plane on plastic anisotropy in age hardenable aluminium alloys. Model. Simul. Mater. Sci. Eng. 2018, 26, 055011. [Google Scholar] [CrossRef]








| Parameter | Sample-3 h (Under-Aged) | Sample-6 h (Peak-Aged) | Ref. |
|---|---|---|---|
| Matrix compositions (wt.%) | Al-0.25Mg-0.18Si | Al-0.26Mg-0.08Si | [15] |
| (%) | --0.92 | --0.68, --0.57 | [15] |
| (nm) | --3.34 | --2.69, --2.84 | [15] |
| (μm) | 82.1 | 82.1 | [15] |
| Parameter | Sample-3 h (Under-Aged) | Sample-6 h (Peak-Aged) |
|---|---|---|
| 71,902.1 | 67,898.0 | |
| 258.6 | 273.3 | |
| 0.50 | 0.53 | |
| 294.0 | 299.0 | |
| 5.74 | 4.84 | |
| 35.4 | 25.7 |
| Materials | |||||||
|---|---|---|---|---|---|---|---|
| under-aged (β”) | 106,430, 60,350, 28,210 | 0.001 | 0.02 | 1.4 | 40.0 | 97.60 | 110.24 |
| peak-aged (β” + β’) | 106,430, 60,350, 28,210 | 0.001 | 0.02 | 1.4 | 40.0 | 101.63 | 110.81 |
| peak-aged (β”) | 106,430, 60,350, 28,210 | 0.001 | 0.02 | 1.4 | 40.0 | 103.99 | 116.63 |
Disclaimer/Publisher’s Note: The statements, opinions and data contained in all publications are solely those of the individual author(s) and contributor(s) and not of MDPI and/or the editor(s). MDPI and/or the editor(s) disclaim responsibility for any injury to people or property resulting from any ideas, methods, instructions or products referred to in the content. |
© 2023 by the authors. Licensee MDPI, Basel, Switzerland. This article is an open access article distributed under the terms and conditions of the Creative Commons Attribution (CC BY) license (https://creativecommons.org/licenses/by/4.0/).
Share and Cite
Zheng, X.; Huang, Q.; Mao, H.; Li, K.; Xiao, N.; Li, X.; Du, Y.; Liu, Y.; Kong, Y. A Yield Stress and Work Hardening Model of Al-Mg-Si Alloy Considering the Strengthening Effect of β” and β’ Precipitates. Materials 2023, 16, 7183. https://doi.org/10.3390/ma16227183
Zheng X, Huang Q, Mao H, Li K, Xiao N, Li X, Du Y, Liu Y, Kong Y. A Yield Stress and Work Hardening Model of Al-Mg-Si Alloy Considering the Strengthening Effect of β” and β’ Precipitates. Materials. 2023; 16(22):7183. https://doi.org/10.3390/ma16227183
Chicago/Turabian StyleZheng, Xiaoyu, Qi Huang, Hong Mao, Kai Li, Namin Xiao, Xingwu Li, Yong Du, Yuling Liu, and Yi Kong. 2023. "A Yield Stress and Work Hardening Model of Al-Mg-Si Alloy Considering the Strengthening Effect of β” and β’ Precipitates" Materials 16, no. 22: 7183. https://doi.org/10.3390/ma16227183
APA StyleZheng, X., Huang, Q., Mao, H., Li, K., Xiao, N., Li, X., Du, Y., Liu, Y., & Kong, Y. (2023). A Yield Stress and Work Hardening Model of Al-Mg-Si Alloy Considering the Strengthening Effect of β” and β’ Precipitates. Materials, 16(22), 7183. https://doi.org/10.3390/ma16227183

