Assessing the Experience and Management of Acute Post-Operative Pain from Caesarean Delivery: A Multi-Centre Cohort Study
Abstract
1. Introduction
2. Materials and Methods
2.1. Study Design
2.2. Participants
2.3. Outcomes
2.4. Data Collection
2.5. Sample Size
2.6. Comparison of the Different Analgesic Techniques
2.7. Statistical Analysis
3. Results
4. Discussion
Author Contributions
Funding
Institutional Review Board Statement
Informed Consent Statement
Data Availability Statement
Acknowledgments
Conflicts of Interest
References
- Wiklund, I.; Malata, A.M.; Cheung, N.F.; Cadée, F. Appropriate use of caesarean section globally requires a different approach. Lancet 2018, 392, 1288–1289. [Google Scholar] [CrossRef] [PubMed]
- Nagy, S.; Papp, Z. Global approach of the cesarean section rates. J. Perinat. Med. 2020, 49, 1–4. [Google Scholar] [CrossRef] [PubMed]
- Gerbershagen, H.J.; Aduckathil, S.; van Wijck, A.J.; Peelen, L.M.; Kalkman, C.J.; Meissner, W. Pain intensity on the first day after surgery: A prospective cohort study comparing 179 surgical procedures. Anesthesiology 2013, 118, 934–944. [Google Scholar] [CrossRef]
- Bjørnstad, J.; Ræder, J. Post-operative pain after caesarean section. Tidsskr. Nor. Laegeforening 2020, 140. [Google Scholar] [CrossRef]
- Carvalho, B.; Cohen, S.E.; Lipman, S.S.; Fuller, A.; Mathusamy, A.D.; Macario, A. Patient preferences for anesthesia outcomes associated with cesarean delivery. Anesth. Analg. 2005, 101, 1182–1187. [Google Scholar] [CrossRef]
- Neall, G.; Bampoe, S.; Sultan, P. Analgesia for Caesarean section. BJA Educ. 2022, 22, 197–203. [Google Scholar] [CrossRef]
- Wen, L.; Hilton, G.; Carvalho, B. The impact of breastfeeding on postpartum pain after vaginal and cesarean delivery. J. Clin. Anesth. 2015, 27, 33–38. [Google Scholar] [CrossRef]
- Niklasson, B.; Georgsson Öhman, S.; Segerdahl, M.; Blanck, A. Risk factors for persistent pain and its influence on maternal wellbeing after cesarean section. Acta Obstet. Gynecol. Scand. 2015, 94, 622–628. [Google Scholar] [CrossRef]
- Jin, J.; Peng, L.; Chen, Q.; Zhang, D.; Ren, L.; Qin, P.; Min, S. Prevalence and risk factors for chronic pain following cesarean section: A prospective study. BMC Anesthesiol. 2016, 16, 99. [Google Scholar] [CrossRef] [PubMed]
- Yang, J.R.; Li, Y.Y.; Ran, T.J.; Lin, X.Y.; Xu, J.Y.; Zhou, S.L.; Huang, P.J. Esketamine Combined with Dexmedetomidine to reduce Visceral Pain During elective Cesarean Section Under Combined Spinal-Epidural Anesthesia: A double-Blind Randomized Controlled Study. Drug Des. Devel Ther. 2024, 18, 2381–2392. [Google Scholar] [CrossRef]
- Borys, M.; Zamaro, A.; Horeczy, B.; Gęszka, E.; Janiak, M.; Węgrzyn, P.; Czuczwar, M.; Piwowarczyk, P. Quadratus Lumborum and Transversus Abdominis Plane Blocks and Their Impact on Acute and Chronic Pain in Patients after Cesarean Section: A Randomized Controlled Study. Int. J. Environ. Res. Public. Health. 2021, 18, 3500. [Google Scholar] [CrossRef] [PubMed]
- Khooshideh, M.; Latifi Rostami, S.S.; Sheikh, M.; Yekta, B.G.; Shahriari, A. Pulsed Electromagnetic Fields for Postsurgical Pain Management in Women Undergoing Cesarean Section: A Randomized, Double-Blind, Placebo-controlled Trial. Clin. J. Pain. 2017, 33, 142–147. [Google Scholar] [CrossRef] [PubMed]
- Roofthooft, E.; Joshi, G.P.; Rawal, N.; PROSPECT Working Group* of the European Society of Regional Anaesthesia and Pain Therapy and supported by the Obstetric Anaesthetists’ Association. PROSPECT guideline for elective caesarean section: Updated systematic review and procedure-specific postoperative pain management recommendations. Anaesthesia 2021, 76, 665–680. [Google Scholar] [CrossRef]
- Carvalho, B.; Habib, A.S. Personalized analgesic management for cesarean delivery. Int. J. Obstet. Anesth. 2019, 40, 91–100. [Google Scholar] [CrossRef] [PubMed]
- Von Elm, E.; Altman, D.G.; Egger, M.; Pocock, S.J.; Gøtzsche, P.C.; Vandenbroucke, J.P. The Strengthening the Reporting of Observational Studies in Epidemiology (STROBE) statement: Guidelines for reporting observational studies. Bull. World Health Organ. 2007, 85, 867–872. [Google Scholar] [CrossRef]
- Schmidt, S.; Vilagut, G.; Garin, O.; Cunillera, O.; Tresserras, R.; Brugulat, P.; Mompart, A.; Medina, A.; Ferrer, M.; Alonso, J. Normas de referencia para el Cuestionario de Salud SF–12 versión 2 basadas en población general de Cataluña. Med. Clin. 2012, 139, 613–625. [Google Scholar] [CrossRef]
- García, J.; Rodero, B.; Alda, M.; Sobradiel, N.; Montero, J.; Moreno, S. Validación de la versión española de la escala de la catastrofización ante el dolor (Pain Catastrophizing Scale) en la fibriomialgia. Med. Clin. 2008, 131, 487–492. [Google Scholar] [CrossRef]
- Montes, A.; Roca, G.; Cantillo, J.; GENDOLCAT Study Group. Presurgical risk model for chronic postsurgical pain based on 6 clinical predictors: A prospective external validation. Pain 2020, 161, 2611–2618. [Google Scholar] [CrossRef]
- Sharma, L.R.; Schaldemose, E.L.; Alaverdyan, H.; Nikolajsen, L.; Chen, D.; Bhanvadia, S.; Komen, H.; Yaeger, L.; Haroutounian, S. Perioperative factors associated with persistent postsurgical pain after hysterectomy, cesarean section, prostatectomy, and donor nephrectomy: A systematic review and meta- analysis. Pain 2021, 163, 425–435. [Google Scholar] [CrossRef]
- Lavand’homme, P. Postoperative cesarean pain: Real but is it preventable? Curr. Opin. Anaesthesiol. 2018, 31, 262–267. [Google Scholar] [CrossRef]
- Sutton, C.D.; Carvalho, B. Optimal Pain Management After Cesarean Delivery. Anesthesiol. Clin. 2017, 35, 107–124. [Google Scholar] [CrossRef] [PubMed]
- Eisenach, J.C.; Pan, P.H.; Smiley, R.; Lavand’hOmme, P.; Landau, R.; Houle, T.T. Severity of acute pain after childbirth, but not type of delivery, predicts persistent pain and postpartum depression. Pain 2008, 140, 87–94. [Google Scholar] [CrossRef] [PubMed]
- Weigl, W.; Bieryło, A.; Wielgus, M.; Krzemień-Wiczyńska, Ś.; Kołacz, M.; Dąbrowski, M.J. Perioperative analgesia after intrathecal fentanyl and morphine or morphine alone for cesarean section: A randomized controlled study. Medicine 2017, 96, e8892. [Google Scholar] [CrossRef] [PubMed]
- Fonseca, N.M.; Guimarães, G.M.N.; Pontes, J.P.J.; Azi, L.M.T.d.A.; Oliveira, R.d.Á. Safety and effectiveness of adding fentanyl or sufentanil to spinal anesthesia: Systematic review and meta-analysis of randomized controlled trials. Braz. J. Anesthesiol. 2023, 73, 198–216. [Google Scholar] [CrossRef]
- Uppal, V.; Retter, S.; Casey, M.; Sancheti, S.; Matheson, K.; McKeen, D.M. Efficacy of Intrathecal Fentanyl for Cesarean Delivery: A Systematic Review and Meta-analysis of Randomized Controlled Trials With Trial Sequential Analysis. Anesth. Analg. 2020, 130, 111–125. [Google Scholar] [CrossRef]
- Bollag, L.; Lim, G.; Sultan, P.; Habib, A.S.; Landau, R.; Zakowski, M.; Tiouririne, M.; Bhambhani, S.; Carvalho, B. Society for Obstetric Anesthesia and Perinatology: Consensus Statement and Recommendations for Enhanced Recovery After Cesarean. Anesth. Analg. 2021, 132, 1362–1377. [Google Scholar] [CrossRef]
- Girard, T.; Savoldelli, G.L. Failed spinal anesthesia for cesarean delivery: Prevention, identification and management. Curr. Opin. Anaesthesiol. 2024, 37, 207–212. [Google Scholar] [CrossRef]
- Berger, J.S.; Gonzalez, A.; Hopkins, A.; Alshaeri, T.; Jeon, D.; Wang, S.; Amdur, R.L.; Smiley, R. Dose-response of intrathecal morphine when administered with intravenous ketorolac for post-cesarean analgesia: A two-center, prospective, randomized, blinded trial. Int. J. Obstet. Anesth. 2016, 28, 3–11. [Google Scholar] [CrossRef]
- Kaufner, L.; Heimann, S.; Zander, D.; Weizsäcker, K.; Correns, I.; Sander, M.; Spies, C.; Schuster, M.; Feldheiser, A.; Henkelmann, A.; et al. Neuraxial anesthesia for pain control after cesarean section: A prospective randomized trial comparing three different neuraxial techniques in clinical practice. Minerva Anestesiol. 2016, 82, 514–524. [Google Scholar]
- Sultan, P.; Halpern, S.H.; Pushpanathan, E.; Patel, S.; Carvalho, B. The Effect of Intrathecal Morphine Dose on Outcomes After Elective Cesarean Delivery: A Meta-Analysis. Anesth. Analg. 2016, 123, 154–164. [Google Scholar] [CrossRef]
- Grape, S.; El-Boghdadly, K.; Albrecht, E. Management of adverse effects of intrathecal opioids in acute pain. Best Pract. Res. Clin. Anaesthesiol. 2023, 37, 199–207. [Google Scholar] [CrossRef] [PubMed]
- Lavand’homme, P. Transition from acute to chronic pain after surgery. Pain 2017, 158, S50–S54. [Google Scholar] [CrossRef] [PubMed]
- Lau, C.S.; Chamberlain, R.S. Enhanced Recovery After Surgery Programs Improve Patient Outcomes and Recovery: A Meta-analysis. World J. Surg. 2017, 41, 899–913. [Google Scholar] [CrossRef]
- Yang, M.M.H.; Hartley, R.L.; Leung, A.A.; E Ronksley, P.; Jetté, N.; Casha, S.; Riva-Cambrin, J. PPreoperative predictors of poor acute postoperative pain control: A systematic review and meta-analysis. BMJ Open 2019, 9, e025091. [Google Scholar] [CrossRef]
- Gamez, B.H.; Habib, A.S. Predicting Severity of Acute Pain After Cesarean Delivery: A Narrative Review. Anesth. Analg. 2018, 126, 1606–1614. [Google Scholar] [CrossRef]


| Variables | ||
|---|---|---|
| Weight (kg) | 80.63 (15.93) | |
| Height (cm) | 163.75 (27.64) | |
| Age (years) | 35.98 (5.52) | |
| BMI | 30.5 (6.14) | |
| Alcohol consumption | Yes | 22 (4.33) | 
| No | 486 (95.67) | |
| Smoker | Yes | 58 (11.42) | 
| No | 371 (73.03) | |
| Ex | 79 (15.55) | |
| Drug consumption | Yes | 7 (1.38) | 
| No | 490 (96.45) | |
| Ex | 11 (2.17) | |
| ASA | I | 293 (57.68) | 
| II | 201 (39.57) | |
| III | 14 (2.75) | |
| IV | 0 (0.0) | |
| Obstetric risk a | No | 177 (34.84) | 
| Gestational diabetes | 69 (13.58) | |
| Hypertensive states | 36 (7.09) | |
| Multiparity | 121 (23.82) | |
| Alterations in coagulation | 9 (1.77) | |
| Placenta issues | 33 (6.5) | |
| Multiple foetus | 30 (5.91) | |
| Foetal dystocias | 44 (8.66) | |
| Other | 74 (14.57) | |
| Pain in previous operations | Yes | 119 (23.43) | 
| No | 389 (76.57) | |
| Previous caesarean | Yes | 261 (51.38) | 
| No | 247 (48.62) | |
| Stillbirth | Yes | 88 (17.32) | 
| No | 420 (82.68) | 
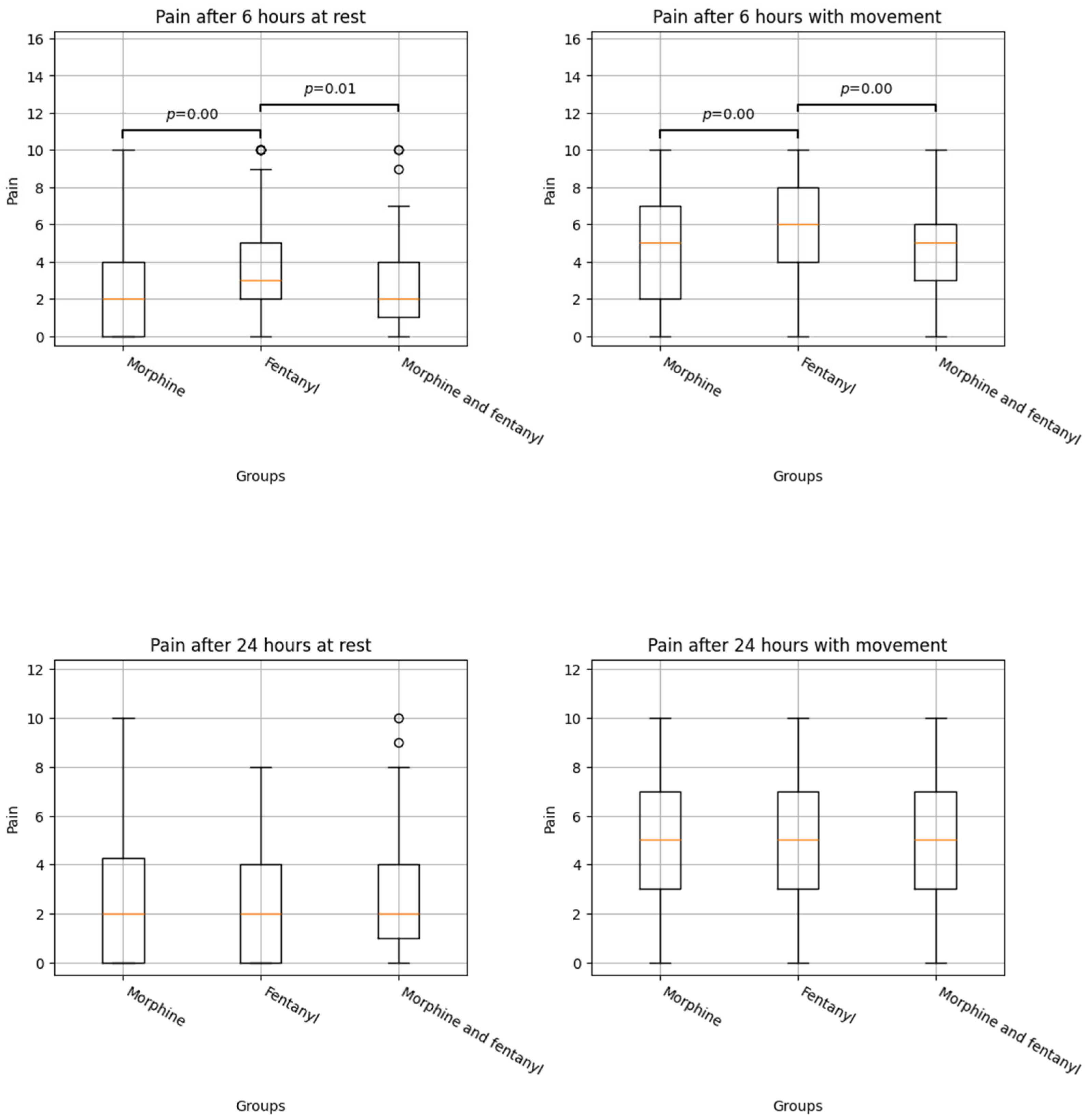
| Variable | Intrathecal Technique | n a | VNRS | Fentanyl | Morphine | Morphine + Fentanyl | |||
|---|---|---|---|---|---|---|---|---|---|
| p-Value | Effect Size | p-Value | Effect Size | p-Value | Effect Size | ||||
| Pain after 6 h at rest | Fentanyl | 152 | 3.59 (2.7) | - | - | >0.001 | −0.435 | 0.012 | −0.088 | 
| Morphine | 152 | 2.44 (2.6) | >0.001 | 0.435 | - | - | 0.512 | 0.382 | |
| Morphine + fentanyl | 176 | 2.65 (2.24) | 0.012 | 0.088 | 0.512 | −0.382 | - | - | |
| Pain after 6 h with movement | Fentanyl | 152 | 5.71 (2.71) | - | - | 0.004 | −0.370 | 0.004 | −0.044 | 
| Morphine | 152 | 4.66 (2.97) | 0.004 | 0.370 | - | - | 1.000 | 0.360 | |
| Morphine + fentanyl | 176 | 4.78 (2.48) | 0.004 | 0.044 | 1.000 | −0.360 | - | - | |
| Pain after 24 h at rest | Fentanyl | 152 | 2.64 (2.26) | - | - | 1.000 | −0.011 | 1.000 | −0.008 | 
| Morphine | 152 | 2.61 (2.55) | 1.000 | 0.011 | - | - | 1.000 | 0.003 | |
| Morphine + fentanyl | 176 | 2.63 (2.20) | 1.000 | 0.008 | 1.000 | −0.003 | - | - | |
| Pain after 24 h with movement | Fentanyl | 152 | 5.07 (2.43) | - | - | 0.938 | 0.109 | 1.000 | 0.067 | 
| Morphine | 152 | 5.34 (2.55) | 0.938 | −0.109 | - | - | 1.000 | −0.047 | |
| Morphine + fentanyl | 176 | 5.18 (2.28) | 1.000 | −0.067 | 1.000 | 0.047 | - | - | |
| Variable | Technique | n a | VNRS | Intrathecal Fentanyl + Acetaminophen + NSAIDs (IF) | Intrathecal Fentanyl + Elastomeric Pump (IF + EL) | Intrathecal Fentanyl + Epidural Analgesia (IF + EP) | Intrathecal Morphine + Acetaminophen + NSAIDs (IM) | Intrathecal Fentanyl and Morphine + Acetaminophen + NSAIDs (IF + IM) | |||||
|---|---|---|---|---|---|---|---|---|---|---|---|---|---|
| p-Value | Effect Size | p-Value | Effect Size | p-Value | Effect Size | p-Value | Effect Size | p-Value | Effect Size | ||||
| Pain after 6 h at rest | IF | 74 | 3.91 (2.75) | - | - | 1.00 | −0.072 | 0.45 | 0.394 | 0.06 | 0.390 | 0.01 | 0.610 | 
| IF + EL | 29 | 4.10 (2.86) | 1.00 | 0.072 | - | - | 0.36 | 0.478 | 0.12 | 0.464 | 0.04 | 0.733 | |
| IF + EP | 49 | 2.88 (2.44) | 0.45 | −0.394 | 0.36 | −0.478 | - | - | 1.00 | 0.006 | 1.00 | 0.180 | |
| IM | 116 | 2.86 (2.65) | 0.06 | −0.390 | 0.12 | −0.464 | 1.00 | −0.006 | - | - | 1.00 | 0.158 | |
| IF + IM | 124 | 2.49 (2.04) | 0.01 | −0.610 | 0.04 | −0.733 | 1.00 | −0.180 | 1.00 | −0.158 | - | - | |
| Pain after 6 h with movement | IF | 74 | 5.49 (2.62) | - | - | 1.00 | −0.239 | 1.00 | −0.065 | 1.00 | 0.087 | 0.06 | 0.421 | 
| IF + EL | 29 | 6.14 (3.08) | 1.00 | 0.239 | - | - | 1.00 | 0.178 | 0.70 | 0.314 | 0.01 | 0.671 | |
| IF + EP | 49 | 5.65 (2.57) | 1.00 | 0.065 | 1.00 | −0.178 | - | - | 1.00 | 0.149 | 0.02 | 0.496 | |
| IM | 116 | 5.25 (2.79) | 1.00 | −0.087 | 0.70 | −0.314 | 1.00 | −0.149 | - | - | 0.09 | 0.311 | |
| IF + IM | 124 | 4.44 (2.41) | 0.06 | −0.421 | 0.01 | −0.671 | 0.02 | −0.496 | 0.09 | −0.311 | - | - | |
| Pain after 24 h at rest | IF | 74 | 2.77 (2.23) | - | - | 1.00 | −0.025 | 1.00 | 0.089 | 1.00 | −0.038 | 1.00 | 0.150 | 
| IF + EL | 29 | 2.83 (2.49) | 1.00 | 0.025 | - | - | 1.00 | 0.109 | 1.00 | −0.014 | 1.00 | 0.176 | |
| IF + EP | 49 | 2.57 (2.30) | 1.00 | −0.089 | 1.00 | −0.109 | - | - | 1.00 | −0.118 | 1.00 | 0.056 | |
| IM | 116 | 2.86 (2.55) | 1.00 | 0.038 | 1.00 | 0.014 | 1.00 | 0.118 | - | - | 1.00 | 0.178 | |
| IF + IM | 124 | 2.45 (2.07) | 1.00 | −0.150 | 1.00 | −0.176 | 1.00 | −0.056 | 1.00 | −0.178 | - | - | |
| Pain after 24 h with movement | IF | 74 | 4.92 (2.28) | - | - | 1.00 | −0.189 | 1.00 | −0.160 | 0.33 | −0.308 | 1.00 | −0.067 | 
| IF + EL | 29 | 5.38 (2.88) | 1.00 | 0.189 | - | - | 1.00 | 0.037 | 1.00 | −0.107 | 1.00 | 0.128 | |
| IF + EP | 49 | 5.29 (2.35) | 1.00 | 0.160 | 1.00 | −0.037 | - | - | 1.00 | −0.151 | 1.00 | 0.093 | |
| IM | 116 | 5.65 (2.43) | 0.33 | 0.308 | 1.00 | 0.107 | 1.00 | 0.151 | - | - | 0.28 | 0.244 | |
| IF + IM | 124 | 5.07 (2.30) | 1.00 | 0.067 | 1.00 | −0.093 | 1.00 | −0.128 | 0.28 | −0.244 | - | - | |
| Variable | Morphine Dose | n a | Mean b | p Value | Effect Size | 
|---|---|---|---|---|---|
| Pain after 6 h at rest | dose > 100 mcg | 19 | 2.11 (2.60) | 0.52 | 0.148 | 
| dose 100 mcg | 133 | 2.49 (2.61) | |||
| dose > 1 mcg/kg | 115 | 2.27 (2.70) | 0.023 | 0.287 | |
| dose 1 mcg/kg | 37 | 3.00 (2.21) | |||
| Pain after 6 h with movement | dose > 100 mcg | 19 | 4.74 (3.11) | 0.96 | 0.028 | 
| dose 100 mcg | 133 | 4.65 (2.96) | |||
| dose > 1 mcg/kg | 115 | 4.42 (3.07) | 0.07 | 0.346 | |
| dose 1 mcg/kg | 37 | 5.43 (2.52) | |||
| Pain after 24 h at rest | dose > 100 mcg | 19 | 2.68 (2.54) | 0.88 | 0.033 | 
| dose 100 mcg | 133 | 2.60 (2.56) | |||
| dose > 1 mcg/kg | 115 | 2.49 (2.49) | 0.07 | 0.203 | |
| dose 1 mcg/kg | 37 | 3.00 (2.79) | |||
| Pain after 24 h with movement | dose > 100 mcg | 19 | 5.37 (2.69) | 0.80 | 0.012 | 
| dose 100 mcg | 133 | 5.34 (2.53) | |||
| dose > 1 mcg/kg | 115 | 5.17 (2.57) | 0.16 | 0.274 | |
| dose 1 mcg/kg | 37 | 5.86 (2.43) | 
| Disclaimer/Publisher’s Note: The statements, opinions and data contained in all publications are solely those of the individual author(s) and contributor(s) and not of MDPI and/or the editor(s). MDPI and/or the editor(s) disclaim responsibility for any injury to people or property resulting from any ideas, methods, instructions or products referred to in the content. | 
© 2025 by the authors. Licensee MDPI, Basel, Switzerland. This article is an open access article distributed under the terms and conditions of the Creative Commons Attribution (CC BY) license (https://creativecommons.org/licenses/by/4.0/).
Share and Cite
Espinós Ramírez, C.; Roca Amatria, G.; Castellví Obiols, P.; Martínez-Rodríguez, D.; Raynard, M.; Viscasillas Draper, B.; Masgoret, P.; Rodríguez Cosmen, C.; Subirana Giménez, L.; Martinez García, M.; et al. Assessing the Experience and Management of Acute Post-Operative Pain from Caesarean Delivery: A Multi-Centre Cohort Study. J. Clin. Med. 2025, 14, 4638. https://doi.org/10.3390/jcm14134638
Espinós Ramírez C, Roca Amatria G, Castellví Obiols P, Martínez-Rodríguez D, Raynard M, Viscasillas Draper B, Masgoret P, Rodríguez Cosmen C, Subirana Giménez L, Martinez García M, et al. Assessing the Experience and Management of Acute Post-Operative Pain from Caesarean Delivery: A Multi-Centre Cohort Study. Journal of Clinical Medicine. 2025; 14(13):4638. https://doi.org/10.3390/jcm14134638
Chicago/Turabian StyleEspinós Ramírez, Carles, Gisela Roca Amatria, Pere Castellví Obiols, David Martínez-Rodríguez, Mireia Raynard, Blanca Viscasillas Draper, Paula Masgoret, Cristina Rodríguez Cosmen, Laura Subirana Giménez, Maria Martinez García, and et al. 2025. "Assessing the Experience and Management of Acute Post-Operative Pain from Caesarean Delivery: A Multi-Centre Cohort Study" Journal of Clinical Medicine 14, no. 13: 4638. https://doi.org/10.3390/jcm14134638
APA StyleEspinós Ramírez, C., Roca Amatria, G., Castellví Obiols, P., Martínez-Rodríguez, D., Raynard, M., Viscasillas Draper, B., Masgoret, P., Rodríguez Cosmen, C., Subirana Giménez, L., Martinez García, M., Mestres, G., Melo, M., Nebot Galindo, A., Montero Gaig, N., Sánchez-Migallón, V., Valencia Royo, D., Pacheco Comino, N. L., Bermejo Perez, I., Santos Farré, C., ... Vargas Raidi, V. (2025). Assessing the Experience and Management of Acute Post-Operative Pain from Caesarean Delivery: A Multi-Centre Cohort Study. Journal of Clinical Medicine, 14(13), 4638. https://doi.org/10.3390/jcm14134638
 
        


 
       