Second Covered and Uncovered Self-Expandable Metal Stents for Recurrent Gastric Outlet Obstruction: A Retrospective Comparative Study
Abstract
1. Introduction
2. Methods
2.1. Patients
2.2. Outcomes and Definitions
2.3. Self-Expandable Metal Stents (SEMSs) and Stent Placement Procedure
2.4. Statistical Analysis
3. Results
3.1. Patients
3.2. Technical/Clinical Success and Adverse Events
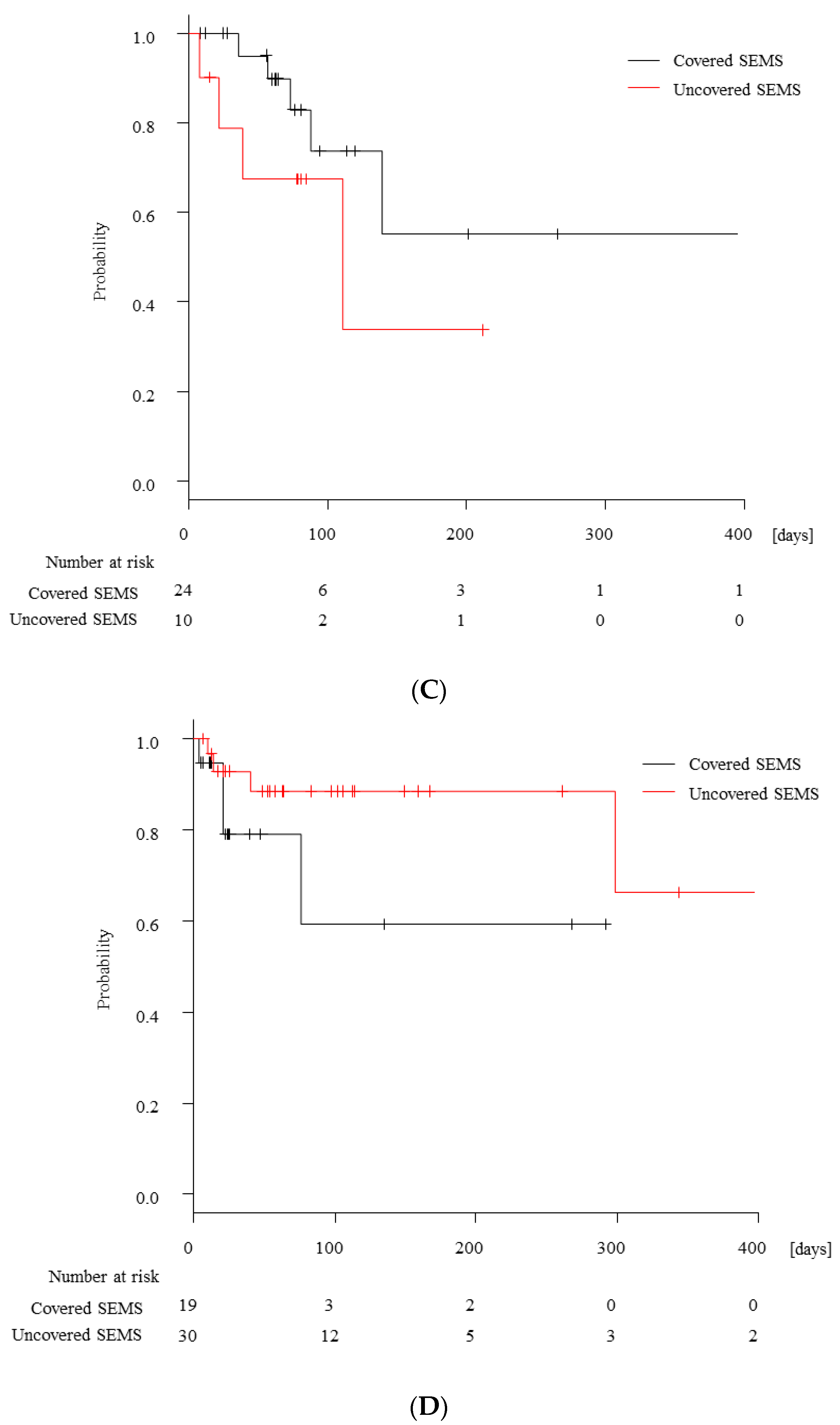
3.3. Recurrent Gastric Outlet Obstruction (RGOO) after Second SEMS Placement
4. Discussion
Author Contributions
Funding
Institutional Review Board Statement
Informed Consent Statement
Data Availability Statement
Conflicts of Interest
Abbreviations
References
- Oh, S.Y.; Edwards, A.; Mandelson, M.; Ross, A.; Irani, S.; Larsen, M.; Gan, S.I.; Gluck, M.; Picozzi, V.; Helton, S.; et al. Survival and clinical outcome after endoscopic duodenal stent placement for malignant gastric outlet obstruction: Comparison of pancreatic cancer and nonpancreatic cancer. Gastrointest. Endosc. 2015, 82, 460–468.e2. [Google Scholar] [CrossRef] [PubMed]
- Jeurnink, S.M.; Steyerberg, E.W.; van Hooft, J.E.; van Eijck, C.H.; Schwartz, M.P.; Vleggaar, F.P.; Kuipers, E.J.; Siersema, P.D. Surgical gastrojejunostomy or endoscopic stent placement for the palliation of malignant gastric outlet obstruction (SUSTENT study): A multicenter randomized trial. Gastrointest. Endosc. 2010, 71, 490–499. [Google Scholar] [CrossRef] [PubMed]
- Chandrasegaram, M.D.; Eslick, G.D.; Mansfield, C.O.; Liem, H.; Richardson, M.; Ahmed, S.; Cox, M.R. Endoscopic stenting versus operative gastrojejunostomy for malignant gastric outlet obstruction. Surg. Endosc. 2012, 26, 323–329. [Google Scholar] [CrossRef]
- Khashab, M.; Alawad, A.S.; Shin, E.J.; Kim, K.; Bourdel, N.; Singh, V.K.; Lennon, A.M.; Hutfless, S.; Sharaiha, R.Z.; Amateau, S.; et al. Enteral stenting versus gastrojejunostomy for palliation of malignant gastric outlet obstruction. Surg. Endosc. 2013, 27, 2068–2075. [Google Scholar] [CrossRef] [PubMed]
- Zheng, B.; Wang, X.; Ma, B.; Tian, J.; Jiang, L.; Yang, K. Endoscopic stenting versus gastrojejunostomy for palliation of malignant gastric outlet obstruction. Dig. Endosc. Off. J. Jpn. Gastroenterol. Endosc. Soc. 2012, 24, 71–78. [Google Scholar] [CrossRef]
- Maetani, I.; Mizumoto, Y.; Shigoka, H.; Omuta, S.; Saito, M.; Tokuhisa, J.; Morizane, T. Placement of a triple-layered covered versus uncovered metallic stent for palliation of malignant gastric outlet obstruction: A multicenter randomized trial. Dig. Endosc. Off. J. Jpn. Gastroenterol. Endosc. Soc. 2014, 26, 192–199. [Google Scholar] [CrossRef]
- Hori, Y.; Naitoh, I.; Hayashi, K.; Ban, T.; Natsume, M.; Okumura, F.; Nakazawa, T.; Takada, H.; Hirano, A.; Jinno, N.; et al. Predictors of outcomes in patients undergoing covered and uncovered self-expandable metal stent placement for malignant gastric outlet obstruction: A multicenter study. Gastrointest. Endosc. 2017, 85, 340–348.e1. [Google Scholar] [CrossRef]
- Inokuma, A.; Takahara, N.; Ishibashi, R.; Hakuta, R.; Ishigaki, K.; Saito, K.; Saito, T.; Hamada, T.; Mizuno, S.; Yagioka, H.; et al. Comparison of novel large-bore and conventional-bore covered self-expandable metal stents for malignant gastric outlet obstruction: Multicenter, retrospective study. Dig. Endosc. Off. J. Jpn. Gastroenterol. Endosc. Soc. 2023, 35, 111–121. [Google Scholar] [CrossRef]
- Yamao, K.; Kitano, M.; Chiba, Y.; Ogura, T.; Eguchi, T.; Moriyama, I.; Yamashita, Y.; Kato, H.; Kayahara, T.; Hoki, N.; et al. Endoscopic placement of covered versus uncovered self-expandable metal stents for palliation of malignant gastric outlet obstruction. Gut 2021, 70, 1244–1252. [Google Scholar] [CrossRef]
- Lee, H.; Min, B.H.; Lee, J.H.; Shin, C.M.; Kim, Y.; Chung, H.; Lee, S.H. Covered metallic stents with an anti-migration design vs. uncovered stents for the palliation of malignant gastric outlet obstruction: A multicenter, randomized trial. Am. J. Gastroenterol. 2015, 110, 1440–1449. [Google Scholar] [CrossRef]
- Shah, A.; Fehmi, A.; Savides, T.J. Increased rates of duodenal obstruction in pancreatic cancer patients receiving modern medical management. Dig. Dis. Sci. 2014, 59, 2294–2298. [Google Scholar] [CrossRef] [PubMed]
- Jin, E.H.; Kim, S.G.; Seo, J.Y.; Im, J.P.; Kim, J.S.; Jung, H.C. Clinical outcomes of re-stenting in patients with stent malfunction in malignant gastric outlet obstruction. Surg. Endosc. 2016, 30, 1372–1379. [Google Scholar] [CrossRef] [PubMed]
- Kim, C.G.; Choi, I.J.; Lee, J.Y.; Cho, S.J.; Kim, S.J.; Kim, M.J.; Park, S.R.; Park, Y.L. Outcomes of second self-expandable metallic stent insertion for malignant gastric outlet obstruction. Surg. Endosc. 2014, 28, 281–288. [Google Scholar] [CrossRef] [PubMed]
- Cotton, P.B.; Eisen, G.M.; Aabakken, L.; Baron, T.H.; Hutter, M.M.; Jacobson, B.C.; Mergener, K.; Nemcek, A.J.; Petersen, B.T.; Petrini, J.L.; et al. A lexicon for endoscopic adverse events: Report of an ASGE workshop. Gastrointest. Endosc. 2010, 71, 446–454. [Google Scholar] [CrossRef]
- Sasaki, T.; Isayama, H.; Nakai, Y.; Takahara, N.; Hamada, T.; Mizuno, S.; Mohri, D.; Yagioka, H.; Kogure, H.; Arizumi, T.; et al. Clinical outcomes of secondary gastroduodenal self-expandable metallic stent placement by stent-in-stent technique for malignant gastric outlet obstruction. Dig. Endosc. Off. J. Jpn. Gastroenterol. Endosc. Soc. 2015, 27, 37–43. [Google Scholar] [CrossRef] [PubMed]
- Kanda, Y. Investigation of the freely available easy-to-use software ‘EZR’ for medical statistics. Bone Marrow Transpl. 2013, 48, 452–458. [Google Scholar] [CrossRef]
- Okamoto, T.; Sasaki, T.; Yoshio, T.; Mori, C.; Mie, T.; Furukawa, T.; Yamada, Y.; Takeda, T.; Kasuga, A.; Matsuyama, M.; et al. Outcomes after partially covered self-expandable metal stent placement for recurrent duodenal obstruction. Surg. Endosc. 2023, 37, 319–328. [Google Scholar] [CrossRef]
- Mo, J.W.; Kim, Y.M.; Kim, J.H.; Shin, S.Y.; Youn, Y.H.; Park, H. Clinical outcomes after multiple self-expandable metallic stent placement using stent-in-stent technique for malignant gastric outlet obstruction. Medicine 2020, 99, e19432. [Google Scholar] [CrossRef]
- Kang, M.K.; Song, H.Y.; Kim, J.W.; Kim, J.H.; Park, J.H.; Na, H.K.; Lee, J.J.; Oh, S.J. Additional gastroduodenal stent placement: Retrospective evaluation of 68 consecutive patients with malignant gastroduodenal obstruction. Acta Radiol. 2013, 54, 944–948. [Google Scholar] [CrossRef]
- Park, J.C.; Park, J.J.; Cheoi, K.; Chung, H.; Lee, H.; Shin, S.K.; Lee, S.K.; Lee, Y.C. Clinical outcomes of secondary stent-in-stent self-expanding metal stent placement for primary stent malfunction in malignant gastric outlet obstruction. Dig. Liver Dis. Off. J. Ital. Soc. Gastroenterol. Ital. Assoc. Study Liver 2012, 44, 999–1005. [Google Scholar] [CrossRef]
- Jang, S.; Stevens, T.; Lopez, R.; Bhatt, A.; Vargo, J.J. Superiority of Gastrojejunostomy Over Endoscopic Stenting for Palliation of Malignant Gastric Outlet Obstruction. Clin. Gastroenterol. Hepatol. Off. Clin. Pract. J. Am. Gastroenterol. Assoc. 2018, 17, 1295–1302. [Google Scholar] [CrossRef] [PubMed]
- Chen, Y.I.; Itoi, T.; Baron, T.H.; Nieto, J.; Haito-Chavez, Y.; Grimm, I.S.; Ismail, A.; Ngamruengphong, S.; Bukhari, M.; Hajiyeva, G.; et al. EUS-guided gastroenterostomy is comparable to enteral stenting with fewer re-interventions in malignant gastric outlet obstruction. Surg. Endosc. 2017, 31, 2946–2952. [Google Scholar] [CrossRef] [PubMed]
- Itoi, T.; Ishii, K.; Ikeuchi, N.; Sofuni, A.; Gotoda, T.; Moriyasu, F.; Dhir, V.; Teoh, A.Y.; Binmoeller, K.F. Prospective evaluation of endoscopic ultrasonography-guided double-balloon-occluded gastrojejunostomy bypass (EPASS) for malignant gastric outlet obstruction. Gut 2016, 65, 193–195. [Google Scholar] [CrossRef] [PubMed]





| Covered SEMS (n = 48) | Uncovered SEMS (n = 47) | p-Value | |
|---|---|---|---|
| Age, years | 68 (61–77) | 65 (58–72) | 0.16 |
| Sex, male | 28 (58%) | 29 (62%) | 0.83 |
| Primary cancer | 0.08 | ||
| Pancreas | 29 (60%) | 25 (53%) | |
| Stomach | 11 (23%) | 14 (30%) | |
| Biliary tract | 2 (4%) | 7 (15%) | |
| Others | 6 (13%) | 1 (2%) | |
| Karnofsky performance status | 0.36 | ||
| 70–90 | 37 (77%) | 32 (68%) | |
| 30–60 | 11 (23%) | 15 (32%) | |
| GOOSS score | 0.37 | ||
| 0 (no oral intake) | 28 (58%) | 25 (53%) | |
| 1 (liquids possible) | 15 (31%) | 12 (26%) | |
| 2 (soft solids possible) | 5 (10%) | 10 (21%) | |
| Location of obstruction | 0.82 | ||
| Type I (proximal to the papilla) | 15 (31%) | 18 (38%) | |
| Type II (involving the papilla) | 14 (29%) | 10 (21%) | |
| Type III (distal to the papilla) | 14 (29%) | 13 (28%) | |
| Anastomosis | 5 (10%) | 6 (13%) | |
| Initial SEMS | 0.75 | ||
| Uncovered | 25 (52%) | 26 (55%) | |
| Covered | 23 (48%) | 21 (45%) | |
| Cause of initial SEMS dysfunction | <0.01 | ||
| Ingrowth | 25 (52%) | 12 (26%) | |
| Overgrowth | 11 (23%) | 8 (17%) | |
| Migration | 1 (2%) | 14 (30%) | |
| Inadequate stent expansion | 7 (15%) | 4 (9%) | |
| Others (Kink/Stent fracture/Shortening, etc.) | 4 (8%) | 9 (19%) | |
| Time to initial SEMS dysfunction, days | 75 (16–161) | 34 (7–110) | 0.13 |
| Concomitant biliary obstruction | 13 (27%) | 14 (30%) | 0.82 |
| Peritoneal carcinomatosis | 25 (52%) | 21 (45%) | 0.54 |
| Ascites | 26 (54%) | 24 (51%) | 0.84 |
| Covered SEMS (n = 48) | Uncovered SEMS (n = 47) | p-Value | ||
|---|---|---|---|---|
| Stent product | Niti-S | - | 29 (62%) | - |
| Wallflex | - | 18 (38%) | ||
| ComVi | 48 (100%) | - | ||
| Stent diameter, mm | 20 | 17 (35%) | - | - |
| 22 | - | 47 (100%) | ||
| 24 | 31 (65%) | - | ||
| Stent length, cm | 6 | 1 (2%) | 9 (19%) | - |
| 8 | 4 (8%) | 1 (2%) | ||
| 9 | 3 (6%) | 7 (15%) | ||
| 10 | 4 (8%) | 5 (11%) | ||
| 12 | 28 (58%) | 20 (43%) | ||
| 15 | 6 (13%) | - | ||
| Multiple stenting | 2 (4%) | 5 (11%) | ||
| Procedure time, min | 30 (22–45) | 37 (29–51) | 0.13 | |
| Technical success | 48 (100%) | 47 (100%) | >0.99 | |
| Clinical success | 43 (90%) | 40 (85%) | 0.55 | |
| Time to resume oral intake *, days | 2 (2–3) | 2 (2–3) | 0.70 | |
| Best GOOSS score after SEMS placement | 0.93 | |||
| 0 (no oral intake) | 4 (8%) | 5 (11%) | ||
| 1 (liquids possible) | 1 (2%) | 2 (4%) | ||
| 2 (soft solids possible) | 6 (13%) | 5 (11%) | ||
| 3 (low-residue or full diet possible) | 37 (77%) | 35 (74%) | ||
| Chemotherapy after SEMS placement | 18 (38%) | 22 (47%) | 0.41 | |
| Covered SEMS (n = 48) | Uncovered SEMS (n = 47) | p-Value | |
|---|---|---|---|
| Stent dysfunction | |||
| Overall | 9 (19%) | 5 (11%) | 0.39 |
| Stent migration | 1 (2%) | 0 (0%) | |
| Tumor ingrowth | 0 (0%) | 2 (4%) | |
| Tumor overgrowth | 3 (6%) | 1 (2%) | |
| Kinking | 2 (4%) | 1 (2%) | |
| Inadequate stent expansion | 0 (0%) | 0 (0%) | |
| Food impaction | 2 (4%) | 1 (2%) | |
| Stent fracture | 1 (2%) | 0 (0%) | |
| Reintervention | |||
| Overall | 9 (19%) | 8 (17%) | 0.82 |
| Surgical procedure | 1 (2%) | 3 (6%) | |
| Endoscopic procedure | 8 (17%) | 5 (10%) | |
| Additional SEMS placement | 6 (13%) | 4 (8%) | |
| Food removal | 2 (4%) | 1 (2%) | |
| Adverse events | |||
| Overall | 7 (15%) | 8 (17%) | 0.78 |
| Perforation | 3 (6%) | 3 (6%) | |
| Bleeding | 0 (0%) | 1 (2%) | |
| Pancreatitis | 2 (4%) | 2 (4%) | |
| Cholangitis | 2 (4%) | 1 (2%) | |
| Aspiration pneumonia | 0 (0%) | 1 (2%) |
| Univariate | Multivariate | |||
|---|---|---|---|---|
| Hazard Ratio (95% CI) | p-Value | Hazard Ratio (95% CI) | p-Value | |
| Age > 75 years | 0.94 (0.27–3.32) | 0.92 | ||
| Sex, male | 0.37 (0.14–0.98) | 0.04 | 0.66 (0.26–1.37) | 0.29 |
| Karnofsky performance status < 60 | 3.42 (1.27–9.22) | 0.02 | 3.07 (1.14–10.2) | 0.04 |
| GOOSS score, 0 | 1.21 (0.46–3.17) | 0.70 | ||
| Primary cancer, intrinsic cancers | 1.24 (0.40–3.86) | 0.72 | ||
| Peritoneal dissemination | 1.06 (0.41–2.76) | 0.91 | ||
| Ascites | 1.52 (0.58–4.02) | 0.39 | ||
| Location of obstruction, Type II | 1.08 (0.38–3.08) | 0.89 | ||
| Prior biliary drainage | 0.55 (0.16–1.94) | 0.33 | ||
| Initial SEMS type, covered SEMS | 1.62 (0.62–4.27) | 0.32 | ||
| Initial SEMS dysfunction within 2 weeks | 1.08 (0.39–2.95) | 0.88 | ||
| Cause of initial SEMS dysfunction, tumor ingrowth | 1.46 (0.56–3.84) | 0.44 | ||
| Second SEMS type, covered SEMS | 1.32 (0.50–3.46) | 0.57 | 1.71 (0.60–4.88) | 0.31 |
| Second SEMS diameter, 24 mm | 1.01 (0.37–2.74) | 0.98 | ||
| Second SEMS length > 12 cm | 2.05 (0.70–5.97) | 0.19 | ||
| Chemotherapy after second SEMS placement | 0.19 (0.06–0.56) | <0.01 | 0.27 (0.08–0.93) | 0.03 |
Disclaimer/Publisher’s Note: The statements, opinions and data contained in all publications are solely those of the individual author(s) and contributor(s) and not of MDPI and/or the editor(s). MDPI and/or the editor(s) disclaim responsibility for any injury to people or property resulting from any ideas, methods, instructions or products referred to in the content. |
© 2023 by the authors. Licensee MDPI, Basel, Switzerland. This article is an open access article distributed under the terms and conditions of the Creative Commons Attribution (CC BY) license (https://creativecommons.org/licenses/by/4.0/).
Share and Cite
Takahara, N.; Nakai, Y.; Ishida, K.; Endo, G.; Kurihara, K.; Tange, S.; Takaoka, S.; Tokito, Y.; Suzuki, Y.; Oyama, H.; et al. Second Covered and Uncovered Self-Expandable Metal Stents for Recurrent Gastric Outlet Obstruction: A Retrospective Comparative Study. J. Clin. Med. 2023, 12, 5241. https://doi.org/10.3390/jcm12165241
Takahara N, Nakai Y, Ishida K, Endo G, Kurihara K, Tange S, Takaoka S, Tokito Y, Suzuki Y, Oyama H, et al. Second Covered and Uncovered Self-Expandable Metal Stents for Recurrent Gastric Outlet Obstruction: A Retrospective Comparative Study. Journal of Clinical Medicine. 2023; 12(16):5241. https://doi.org/10.3390/jcm12165241
Chicago/Turabian StyleTakahara, Naminatsu, Yousuke Nakai, Kota Ishida, Go Endo, Kohei Kurihara, Shuichi Tange, Shinya Takaoka, Yurie Tokito, Yukari Suzuki, Hiroki Oyama, and et al. 2023. "Second Covered and Uncovered Self-Expandable Metal Stents for Recurrent Gastric Outlet Obstruction: A Retrospective Comparative Study" Journal of Clinical Medicine 12, no. 16: 5241. https://doi.org/10.3390/jcm12165241
APA StyleTakahara, N., Nakai, Y., Ishida, K., Endo, G., Kurihara, K., Tange, S., Takaoka, S., Tokito, Y., Suzuki, Y., Oyama, H., Kanai, S., Suzuki, T., Sato, T., Hakuta, R., Ishigaki, K., Saito, T., Hamada, T., & Fujishiro, M. (2023). Second Covered and Uncovered Self-Expandable Metal Stents for Recurrent Gastric Outlet Obstruction: A Retrospective Comparative Study. Journal of Clinical Medicine, 12(16), 5241. https://doi.org/10.3390/jcm12165241

