Association of Interleukin-32 and Interleukin-34 with Cardiovascular Disease and Short-Term Mortality in COVID-19
Abstract
1. Introduction
2. Materials and Methods
2.1. Study Design and Patient Population
2.2. Biomarker Analysis
2.3. Statistical Analysis
3. Results
3.1. Clinical Characteristics and Findings of Diagnostic Work-Up
3.2. Correlation and Association of IL-32/IL-34 with CV Disease and Biomarkers of CV Disease
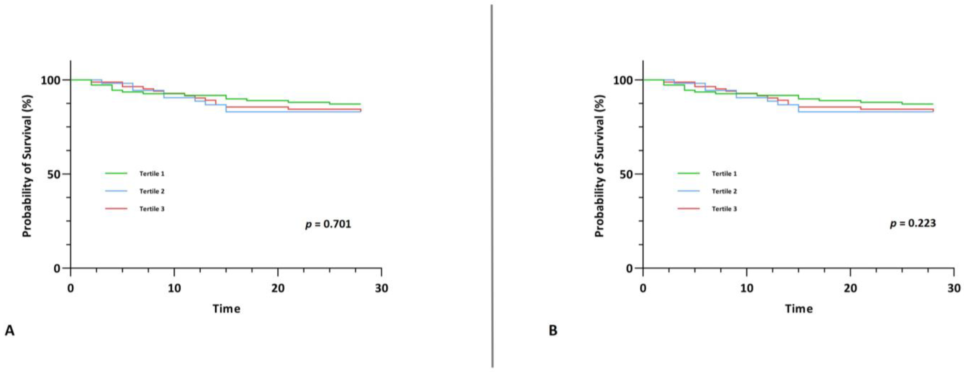
3.3. Association of IL-32/IL-34 and CV Disease with the Primary Endpoint
4. Discussion
5. Conclusions
Author Contributions
Funding
Institutional Review Board Statement
Informed Consent Statement
Data Availability Statement
Conflicts of Interest
References
- Fauci, A.S.; Lane, H.C.; Redfield, R.R. Covid-19—Navigating the Uncharted. N. Engl. J. Med. 2020, 382, 1268–1269. [Google Scholar] [CrossRef]
- Apolone, G.; Montomoli, E.; Manenti, A.; Boeri, M.; Sabia, F.; Hyseni, I.; Mazzini, L.; Martinuzzi, D.; Cantone, L.; Milanese, G.; et al. Unexpected Detection of SARS-CoV-2 Antibodies in the Prepandemic Period in Italy. Tumori 2021, 107, 446–451. [Google Scholar] [CrossRef]
- Nicola, M.; Alsafi, Z.; Sohrabi, C.; Kerwan, A.; Al-Jabir, A.; Iosifidis, C.; Agha, M.; Agha, R. The Socio-Economic Implications of the Coronavirus Pandemic (COVID-19): A Review. Int. J. Surg. 2020, 78, 185–193. [Google Scholar] [CrossRef]
- WHO Coronavirus (COVID-19) Dashboard. Available online: https://covid19.who.int (accessed on 20 January 2023).
- Chang, W.-T.; Toh, H.S.; Liao, C.-T.; Yu, W.-L. Cardiac Involvement of COVID-19: A Comprehensive Review. Am. J. Med. Sci. 2021, 361, 14–22. [Google Scholar] [CrossRef]
- Xie, Y.; Xu, E.; Bowe, B.; Al-Aly, Z. Long-Term Cardiovascular Outcomes of COVID-19. Nat. Med. 2022, 28, 583–590. [Google Scholar] [CrossRef]
- Wu, J.; Mamas, M.A.; Mohamed, M.O.; Kwok, C.S.; Roebuck, C.; Humberstone, B.; Denwood, T.; Luescher, T.; de Belder, M.A.; Deanfield, J.E.; et al. Place and Causes of Acute Cardiovascular Mortality during the COVID-19 Pandemic. Heart 2021, 107, 113–119. [Google Scholar] [CrossRef]
- Zhang, L.; Feng, X.; Zhang, D.; Jiang, C.; Mei, H.; Wang, J.; Zhang, C.; Li, H.; Xia, X.; Kong, S.; et al. Deep Vein Thrombosis in Hospitalized Patients With COVID-19 in Wuhan, China: Prevalence, Risk Factors, and Outcome. Circulation 2020, 142, 114–128. [Google Scholar] [CrossRef] [PubMed]
- Delli Muti, N.; Finocchi, F.; Tossetta, G.; Salvio, G.; Cutini, M.; Marzioni, D.; Balercia, G. Could SARS-CoV-2 Infection Affect Male Fertility and Sexuality? APMIS 2022, 130, 243–252. [Google Scholar] [CrossRef] [PubMed]
- Tossetta, G.; Fantone, S.; Delli Muti, N.; Balercia, G.; Ciavattini, A.; Giannubilo, S.R.; Marzioni, D. Preeclampsia and Severe Acute Respiratory Syndrome Coronavirus 2 Infection: A Systematic Review. J. Hypertens. 2022, 40, 1629–1638. [Google Scholar] [CrossRef] [PubMed]
- Marshall, M. How COVID-19 Can Damage the Brain. Nature 2020, 585, 342–343. [Google Scholar] [CrossRef]
- Kaufmann, C.C.; Ahmed, A.; Burger, A.L.; Muthspiel, M.; Jäger, B.; Wojta, J.; Huber, K. Biomarkers Associated with Cardiovascular Disease in COVID-19. Cells 2022, 11, 922. [Google Scholar] [CrossRef]
- An, W.; Kang, J.-S.; Wang, Q.; Kim, T.-E. Cardiac Biomarkers and COVID-19: A Systematic Review and Meta-Analysis. J. Infect. Public Health 2021, 14, 1191–1197. [Google Scholar] [CrossRef]
- Tessitore, E.; Carballo, D.; Poncet, A.; Perrin, N.; Follonier, C.; Assouline, B.; Carballo, S.; Girardin, F.; Mach, F. Mortality and High Risk of Major Adverse Events in Patients with COVID-19 and History of Cardiovascular Disease. Open Heart 2021, 8, e001526. [Google Scholar] [CrossRef] [PubMed]
- Ye, Q.; Wang, B.; Mao, J. The Pathogenesis and Treatment of the `Cytokine Storm’ in COVID-19. J. Infect. 2020, 80, 607–613. [Google Scholar] [CrossRef]
- Bénard, A.; Jacobsen, A.; Brunner, M.; Krautz, C.; Klösch, B.; Swierzy, I.; Naschberger, E.; Podolska, M.J.; Kouhestani, D.; David, P.; et al. Interleukin-3 Is a Predictive Marker for Severity and Outcome during SARS-CoV-2 Infections. Nat. Commun. 2021, 12, 1112. [Google Scholar] [CrossRef] [PubMed]
- Udomsinprasert, W.; Jittikoon, J.; Sangroongruangsri, S.; Chaikledkaew, U. Circulating Levels of Interleukin-6 and Interleukin-10, But Not Tumor Necrosis Factor-Alpha, as Potential Biomarkers of Severity and Mortality for COVID-19: Systematic Review with Meta-Analysis. J. Clin. Immunol. 2021, 41, 11–22. [Google Scholar] [CrossRef] [PubMed]
- McGonagle, D.; Sharif, K.; O’Regan, A.; Bridgewood, C. The Role of Cytokines Including Interleukin-6 in COVID-19 Induced Pneumonia and Macrophage Activation Syndrome-Like Disease. Autoimmun. Rev. 2020, 19, 102537. [Google Scholar] [CrossRef]
- Salama, C.; Han, J.; Yau, L.; Reiss, W.G.; Kramer, B.; Neidhart, J.D.; Criner, G.J.; Kaplan-Lewis, E.; Baden, R.; Pandit, L.; et al. Tocilizumab in Patients Hospitalized with Covid-19 Pneumonia. N. Engl. J. Med. 2021, 384, 20–30. [Google Scholar] [CrossRef]
- Law, C.C.; Puranik, R.; Fan, J.; Fei, J.; Hambly, B.D.; Bao, S. Clinical Implications of IL-32, IL-34 and IL-37 in Atherosclerosis: Speculative Role in Cardiovascular Manifestations of COVID-19. Front. Cardiovasc. Med. 2021, 8, 630767. [Google Scholar] [CrossRef]
- Abou-Ismail, M.Y.; Diamond, A.; Kapoor, S.; Arafah, Y.; Nayak, L. The Hypercoagulable State in COVID-19: Incidence, Pathophysiology, and Management. Thromb. Res. 2020, 194, 101–115. [Google Scholar] [CrossRef]
- Yang, Z.; Shi, L.; Xue, Y.; Zeng, T.; Shi, Y.; Lin, Y.; Liu, L. Interleukin-32 Increases in Coronary Arteries and Plasma from Patients with Coronary Artery Disease. Clin. Chim. Acta 2019, 497, 104–109. [Google Scholar] [CrossRef] [PubMed]
- Kashiwagi, M.; Ozaki, Y.; Imanishi, T.; Taruya, A.; Kuroi, A.; Katayama, Y.; Shimamura, K.; Shiono, Y.; Tanimoto, T.; Kubo, T.; et al. Interleukin-34 Levels Are Increased in Acute Myocardial Infarction and Associated with Major Adverse Cardiovascular Events. Coron. Artery Dis. 2022, 31, 61–63. [Google Scholar] [CrossRef] [PubMed]
- Bergantini, L.; d’Alessandro, M.; Cameli, P.; Otranto, A.; Luzzi, S.; Bianchi, F.; Bargagli, E. Cytokine Profiles in the Detection of Severe Lung Involvement in Hospitalized Patients with COVID-19: The IL-8/IL-32 Axis. Cytokine 2022, 151, 155804. [Google Scholar] [CrossRef] [PubMed]
- WHO. Diagnostic Testing for SARS-CoV-2. Available online: https://www.who.int/publications/i/item/diagnostic-testing-for-sars-cov-2 (accessed on 20 January 2023).
- Kaufmann, C.C.; Ahmed, A.; Kassem, M.; Freynhofer, M.K.; Jäger, B.; Aicher, G.; Equiluz-Bruck, S.; Spiel, A.O.; Funk, G.-C.; Gschwantler, M.; et al. Mid-Regional pro-Atrial Natriuretic Peptide Independently Predicts Short-Term Mortality in COVID-19. Eur. J. Clin. Investig. 2021, 51, e13531. [Google Scholar] [CrossRef]
- Kaufmann, C.C.; Ahmed, A.; Kassem, M.; Freynhofer, M.K.; Jäger, B.; Aicher, G.; Equiluz-Bruck, S.; Spiel, A.O.; Vafai-Tabrizi, F.; Gschwantler, M.; et al. Improvement of Outcome Prediction of Hospitalized Patients with COVID-19 by a Dual Marker Strategy Using High-Sensitive Cardiac Troponin I and Copeptin. Clin. Res. Cardiol. 2021, 111, 343–354. [Google Scholar] [CrossRef]
- Wei, J.-F.; Huang, F.-Y.; Xiong, T.-Y.; Liu, Q.; Chen, H.; Wang, H.; Huang, H.; Luo, Y.-C.; Zhou, X.; Liu, Z.-Y.; et al. Acute Myocardial Injury Is Common in Patients with COVID-19 and Impairs Their Prognosis. Heart 2020, 106, 1154–1159. [Google Scholar] [CrossRef]
- Chung, M.K.; Zidar, D.A.; Bristow, M.R.; Cameron, S.J.; Chan, T.; Harding, C.V.; Kwon, D.H.; Singh, T.; Tilton, J.C.; Tsai, E.J.; et al. COVID-19 and Cardiovascular Disease: From Bench to Bedside. Circ. Res. 2021, 128, 1214–1236. [Google Scholar] [CrossRef]
- Gerhardt, T.; Haghikia, A.; Stapmanns, P.; Leistner, D.M. Immune Mechanisms of Plaque Instability. Front. Cardiovasc. Med. 2021, 8, 797046. [Google Scholar] [CrossRef]
- Chen, L.Y.C.; Quach, T.T.T. COVID-19 Cytokine Storm Syndrome: A Threshold Concept. Lancet Microbe 2021, 2, e49–e50. [Google Scholar] [CrossRef]
- Di Benedetto, P.; Guggino, G.; Manzi, G.; Ruscitti, P.; Berardicurti, O.; Panzera, N.; Grazia, N.; Badagliacca, R.; Riccieri, V.; Vizza, C.D.; et al. Interleukin-32 in Systemic Sclerosis, a Potential New Biomarker for Pulmonary Arterial Hypertension. Arthritis Res. Ther 2020, 22, 127. [Google Scholar] [CrossRef]
- Tao, R.; Fan, Q.; Zhang, H.; Xie, H.; Lu, L.; Gu, G.; Wang, F.; Xi, R.; Hu, J.; Chen, Q.; et al. Prognostic Significance of Interleukin-34 (IL-34) in Patients With Chronic Heart Failure With or Without Renal Insufficiency. J. Am. Heart Assoc. 2017, 6, e004911. [Google Scholar] [CrossRef] [PubMed]
- Xi, R.; Fan, Q.; Yan, X.; Zhang, H.; Xie, H.; Gu, G.; Xu, Y.; Wang, F.; Tao, R. Increased Serum Interleukin-34 Levels Are Related to the Presence and Severity of Cardiac Dysfunction in Patients With Ischemic Cardiomyopathy. Front. Physiol. 2018, 9, 904. [Google Scholar] [CrossRef] [PubMed]
- Nold-Petry, C.A.; Rudloff, I.; Baumer, Y.; Ruvo, M.; Marasco, D.; Botti, P.; Farkas, L.; Cho, S.X.; Zepp, J.A.; Azam, T.; et al. IL-32 Promotes Angiogenesis. J. Immunol. 2014, 192, 589–602. [Google Scholar] [CrossRef]
- Damen, M.S.M.A.; Agca, R.; Holewijn, S.; de Graaf, J.; Dos Santos, J.C.; van Riel, P.L.; Fransen, J.; Coenen, M.J.H.; Nurmohamed, M.T.; Netea, M.G.; et al. IL-32 Promoter SNP Rs4786370 Predisposes to Modified Lipoprotein Profiles in Patients with Rheumatoid Arthritis. Sci. Rep. 2017, 7, 41629. [Google Scholar] [CrossRef]
- Chang, E.-J.; Lee, S.K.; Song, Y.S.; Jang, Y.J.; Park, H.S.; Hong, J.P.; Ko, A.R.; Kim, D.Y.; Kim, J.-H.; Lee, Y.J.; et al. IL-34 Is Associated with Obesity, Chronic Inflammation, and Insulin Resistance. J. Clin. Endocrinol. Metab. 2014, 99, E1263–E1271. [Google Scholar] [CrossRef]
- Yu, G.; Bing, Y.; Zhu, S.; Li, W.; Xia, L.; Li, Y.; Liu, Z. Activation of the Interleukin-34 Inflammatory Pathway in Response to Influenza A Virus Infection. Am. J. Med. Sci 2015, 349, 145–150. [Google Scholar] [CrossRef]
- Hu, B.; Huang, S.; Yin, L. The Cytokine Storm and COVID-19. J. Med. Virol. 2021, 93, 250–256. [Google Scholar] [CrossRef] [PubMed]
- Chen, L.; Wang, G.; Tan, J.; Cao, Y.; Long, X.; Luo, H.; Tang, Q.; Jiang, T.; Wang, W.; Zhou, J. Scoring Cytokine Storm by the Levels of MCP-3 and IL-8 Accurately Distinguished COVID-19 Patients with High Mortality. Signal. Transduct. Target. Ther. 2020, 5, 292. [Google Scholar] [CrossRef]
- Xu, J.; Xiao, W.; Liang, X.; Shi, L.; Zhang, P.; Wang, Y.; Wang, Y.; Yang, H. A Meta-Analysis on the Risk Factors Adjusted Association between Cardiovascular Disease and COVID-19 Severity. BMC Public Health 2021, 21, 1533. [Google Scholar] [CrossRef]
- Zhang, J.; Lu, S.; Wang, X.; Jia, X.; Li, J.; Lei, H.; Liu, Z.; Liao, F.; Ji, M.; Lv, X.; et al. Do Underlying Cardiovascular Diseases Have Any Impact on Hospitalised Patients with COVID-19? Heart 2020, 106, 1148–1153. [Google Scholar] [CrossRef]
- COVID-19 Treatment Guidelines Panel. Coronavirus Disease 2019 (COVID-19) Treatment Guidelines. National Institutes of Health. Available online: https://www.covid19treatmentguidelines.nih.gov/ (accessed on 20 January 2023).
- Liberale, L.; Montecucco, F.; Tardif, J.-C.; Libby, P.; Camici, G.G. Inflamm-Ageing: The Role of Inflammation in Age-Dependent Cardiovascular Disease. Eur. Heart J. 2020, 41, 2974–2982. [Google Scholar] [CrossRef] [PubMed]





| Characteristics | Study Population (n = 245) | No CV Disease (n = 161) | 1 or 2 CV Disease (n = 69) | ≥3 CV Disease (n = 15) | p-Value |
|---|---|---|---|---|---|
| Baseline characteristics | |||||
| Age, years | 67 (52–79) | 60 (49–71) | 78 (69–85) * | 82 (79–91) * | <0.001 |
| Male sex | 130 (53.1%) | 84 (52.2%) | 35 (50.7%) | 11 (73.3%) | 0.262 |
| Arterial hypertension | 145 (53.1%) | 75 (46.6%) | 57 (82.6%) * | 13 (86.7%) * | <0.001 |
| Diabetes mellitus | 74 (30.2%) | 41 (25.5%) | 28 (40.6%) | 5 (33.3%) | 0.070 |
| Chronic pulmonary disease | 33 (13.5%) | 18 (11.2%) | 12 (17.4%) | 3 (20.0%) | 0.336 |
| Chronic kidney disease | 45 (18.4%) | 12 (7.5%) | 26 (37.7%) * | 7 (46.7%) * | <0.001 |
| History of malignancy | 37 (15.1%) | 16 (9.9%) | 20 (29.0%) * | 1 (6.7%) | <0.001 |
| Signs and symptoms | |||||
| Fever | 183 (74.7%) | 131 (81.4%) | 43 (62.3%) | 9 (60.0%) | 0.004 |
| Coughing | 118 (48.2%) | 85 (52.8%)) | 26 (37.7%) | 7 (46.7%) | 0.109 |
| Dyspnea | 141 (57.6%) | 93 (57.8%) | 40 (58.0%) | 8 (53.3%) | 0.943 |
| Clinical Outcomes | |||||
| Hospitalization length, days | 11 (8–17) | 10 (7–14) | 14 (10–22) * | 18 (9–23) | <0.001 |
| pO2/FiO2 | 286 (244–320) | 287 (248–319) | 283 (222–331) | 279 (263–330) | 0.609 |
| 28-day mortality | 37 (15.1%) | 11 (6.8%) | 17 (24.6%) * | 9 (60.0%) * | <0.001 |
| Characteristics | Study Population (n = 245) | No CV Disease (n = 161) | CV Disease (n = 69) | ≥3 CV Disease (n = 15) | p-Value |
|---|---|---|---|---|---|
| ECG findings | |||||
| Heart rate, bpm | 89 (78–105) | 89 (80–102) | 91 (72–101) | 107 (71–120) | 0.319 |
| PQ time, ms | 152 (137–170) | 150 (136–162) | 172 (137–192) * | 167 (154–188) | 0.005 |
| QRS width, ms | 97 (86–105) | 96 (86–103) | 97 (86–109) | 101 (95–141) * | 0.040 |
| Bundle branch block | 26 (11.0%) | 11 (7.1%) | 10 (15.2%) | 5 (33.3%) * | 0.003 |
| ST-segment deviation | 33 (15.5%) | 14 (9.5%) | 14 (25.0%) * | 5 (50%) * | <0.001 |
| QT time, ms | 364 (339–397) | 361 (336–385) | 375 (348–410) * | 366 (340–426) | 0.023 |
| Chest X-ray findings | |||||
| Infiltrate | 184 (75.7%) | 126 (78.8%) | 47 (69.1%) | 11 (73.3%) | 0.293 |
| Cardiomegaly | 130 (53.5%) | 76 (47.5%) | 42 (61.8%) | 12 (80.0%) * | 0.015 |
| Interstitial edema | 38 (15.6%) | 22 (13.8%) | 9 (13.2%) | 7 (46.7%) * | 0.003 |
| Pleural effusion | 37 (15.2%) | 18 (11.3%) | 16 (23.5%) | 3 (20.0%) | 0.053 |
| Laboratory values at admission | |||||
| White blood cells, G/L | 6.9 (5.3–9.2) | 6.5 (5.2–8.7) | 7.5 (5.4–10.1) | 8.4 (6.5–10.8) | 0.055 |
| Neutrophil granulocytes, G/L | 5.2 (3.7–7.4) | 4.9 (3.6–6.7) | 5.5 (4.0–8.6) | 6.1 (4.9–9.8) * | 0.007 |
| Lymphocytes, G/L | 0.97 (0.70–1.33) | 1.06 (0.8–1.5) | 0.83 (0.59–1.14) | 0.58 (0.53–1.01) * | <0.001 |
| Neutrophil to lymphocyte ratio | 5.1 (3.0–9.3) | 4.3 (2.8–7.6) | 8.1 (4.5–12.0) * | 9.6 (7.3–12.6) * | <0.001 |
| C-reactive protein, mg/L | 65 (28–117) | 62 (25–121) | 65 (34–112) | 85 (49–119) | 0.631 |
| Hemoglobin, g/dL | 13.4 (12.1–14.5) | 13.6 (12.4–14.6) | 12.6 (11.4–14.1) * | 12.9 (10.9–14.0) | 0.008 |
| Platelets, G/L | 203 (166–252) | 206 (163–263) | 194 (168–240) | 187 (163–221) | 0.556 |
| Creatinine, mg/dL | 1.0 (0.8–1.3) | 0.9 (0.8–1.2) | 1.1 (0.8–1.6) * | 1.5 (1.3–1.9) * | <0.001 |
| Sodium, mmol/L | 137 (135–139) | 137 (135–138) | 137 (135–140) | 136 (134–140) | 0.320 |
| Potassium, mmol/L | 4.0 (3.7–4.2) | 4.0 (3.7–4.2) | 4.0 (3.8–4.4) | 4.0 (3.8–4.0) | 0.238 |
| Lactate dehydrogenase, U/L | 277 (228–379) | 280 (222–378) | 271 (235–364) | 312 (236–490) | 0.434 |
| Interleukin-34 | Hs-cTnI | NT-proBNP | CRP | Neutrophils | Lymphocytes | |
|---|---|---|---|---|---|---|
| Interleukin-32, r | 0.332 | 0.045 | 0.114 | −0.102 | −0.004 | −0.011 |
| p-value | <0.001 | 0.479 | 0.114 | 0.112 | 0.956 | 0.864 |
| Interleukin-32 | Hs-cTnI | NT-proBNP | CRP | Neutrophils | Lymphocytes | |
| Interleukin-34, r | 0.332 | 0.015 | 0.041 | −0.115 | −0.148 | 0.094 |
| p-value | <0.001 | 0.814 | 0.524 | 0.073 | 0.021 | 0.142 |
| Statistical Model | Interleukin-32 | Interleukin-34 | 1 or 2 CV Diseases | ≥3 CV Diseases | ||||||||
|---|---|---|---|---|---|---|---|---|---|---|---|---|
| HR | 95% CI | p-Value | HR | 95% CI | p-Value | HR | 95% CI | p-Value | HR | 95% CI | p-Value | |
| Crude model | 1.00 | 0.999–1.001 | 0.985 | 1.00 | 0.999–1.002 | 0.590 | 4.085 | 1.913–8.725 | <0.001 | 13.173 | 5.425–31.985 | <0.001 |
| Model 1 | 1.00 | 1.000–1.001 | 0.857 | 1.00 | 0.999–1.002 | 0.530 | 1.631 | 0.728–3.656 | 0.234 | 4.013 | 1.443–11.157 | 0.008 |
| Model 2 | 1.00 | 1.000–1.001 | 0.769 | 1.00 | 0.999–1.002 | 0.491 | 1.453 | 0.615–3.433 | 0.394 | 3.942 | 1.288–12.068 | 0.016 |
Disclaimer/Publisher’s Note: The statements, opinions and data contained in all publications are solely those of the individual author(s) and contributor(s) and not of MDPI and/or the editor(s). MDPI and/or the editor(s) disclaim responsibility for any injury to people or property resulting from any ideas, methods, instructions or products referred to in the content. |
© 2023 by the authors. Licensee MDPI, Basel, Switzerland. This article is an open access article distributed under the terms and conditions of the Creative Commons Attribution (CC BY) license (https://creativecommons.org/licenses/by/4.0/).
Share and Cite
Kaufmann, C.C.; Ahmed, A.; Muthspiel, M.; Rostocki, I.; Pogran, E.; Zweiker, D.; Burger, A.L.; Jäger, B.; Aicher, G.; Spiel, A.O.; et al. Association of Interleukin-32 and Interleukin-34 with Cardiovascular Disease and Short-Term Mortality in COVID-19. J. Clin. Med. 2023, 12, 975. https://doi.org/10.3390/jcm12030975
Kaufmann CC, Ahmed A, Muthspiel M, Rostocki I, Pogran E, Zweiker D, Burger AL, Jäger B, Aicher G, Spiel AO, et al. Association of Interleukin-32 and Interleukin-34 with Cardiovascular Disease and Short-Term Mortality in COVID-19. Journal of Clinical Medicine. 2023; 12(3):975. https://doi.org/10.3390/jcm12030975
Chicago/Turabian StyleKaufmann, Christoph C., Amro Ahmed, Marie Muthspiel, Isabella Rostocki, Edita Pogran, David Zweiker, Achim Leo Burger, Bernhard Jäger, Gabriele Aicher, Alexander O. Spiel, and et al. 2023. "Association of Interleukin-32 and Interleukin-34 with Cardiovascular Disease and Short-Term Mortality in COVID-19" Journal of Clinical Medicine 12, no. 3: 975. https://doi.org/10.3390/jcm12030975
APA StyleKaufmann, C. C., Ahmed, A., Muthspiel, M., Rostocki, I., Pogran, E., Zweiker, D., Burger, A. L., Jäger, B., Aicher, G., Spiel, A. O., Vafai-Tabrizi, F., Gschwantler, M., Fasching, P., Wojta, J., & Huber, K. (2023). Association of Interleukin-32 and Interleukin-34 with Cardiovascular Disease and Short-Term Mortality in COVID-19. Journal of Clinical Medicine, 12(3), 975. https://doi.org/10.3390/jcm12030975

