Continuous Positive Airway Pressure in Elderly Patients with Severe COVID-19 Related Respiratory Failure
Abstract
:1. Background
2. Methods
2.1. Study Setting and Population
2.2. Data Collection
2.3. Study Endpoints
2.4. Statistical Analysis
3. Results
3.1. Study Population
3.2. CPAP Treatment
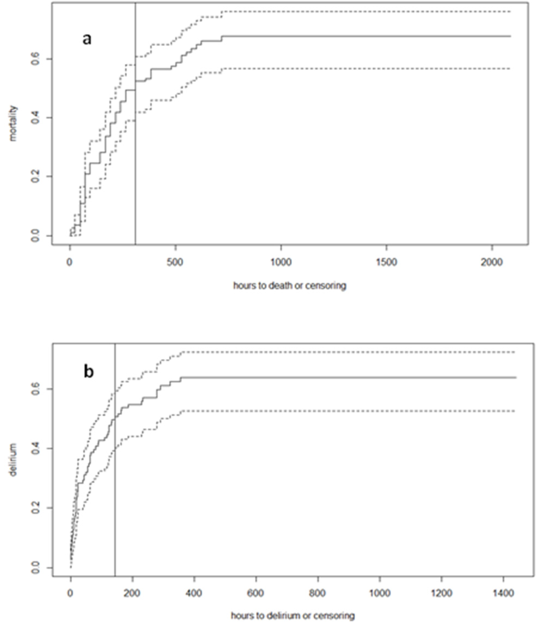
3.3. Hospitalization Outcome and Prognostic Factors
4. Discussion
5. Limitations
6. Conclusions
Author Contributions
Funding
Institutional Review Board Statement
Informed Consent Statement
Conflicts of Interest
References
- Wang, D.; Hu, B.; Hu, C.; Zhu, F.; Liu, X.; Zhang, J.; Wang, B.; Xiang, H.; Cheng, Z.; Xiong, Y.; et al. Clinical Characteristics of 138 Hospitalized Patients with 2019 Novel Coronavirus-Infected Pneumonia in Wuhan, China. J. Am. Med. Assoc. 2020, 323, 1061–1069. [Google Scholar] [CrossRef] [PubMed]
- Santus, P.; Radovanovic, D.; Saderi, L.; Marino, P.; Cogliati, C.; De Filippis, G.; Rizzi, M.; Franceschi, E.; Pini, S.; Giuliani, F.; et al. Severity of Respiratory Failure at Admission and In-Hospital Mortality in Patients with COVID-19: A Prospective Observational Multicentre Study. BMJ Open 2020, 10, e043651. [Google Scholar] [CrossRef] [PubMed]
- Yang, X.; Yu, Y.; Xu, J.; Shu, H.; Xia, J.; Liu, H.; Wu, Y.; Zhang, L.; Yu, Z.; Fang, M.; et al. Clinical Course and Outcomes of Critically Ill Patients with SARS-CoV-2 Pneumonia in Wuhan, China: A Single-Centered, Retrospective, Observational Study. Lancet Respir. Med. 2020, 8, 475–481. [Google Scholar] [CrossRef] [Green Version]
- Radovanovic, D.; Rizzi, M.; Pini, S.; Saad, M.; Chiumello, D.A.; Santus, P. Helmet Cpap to Treat Acute Hypoxemic Respiratory Failure in Patients with COVID-19: A Management Strategy Proposal. J. Clin. Med. 2020, 9, 1191. [Google Scholar] [CrossRef]
- Aliberti, S.; Radovanovic, D.; Billi, F.; Sotgiu, G.; Costanzo, M.; Pilocane, T.; Saderi, L.; Gramegna, A.; Rovellini, A.; Perotto, L.; et al. Helmet CPAP Treatment in Patients with COVID-19 Pneumonia: A Multicentre Cohort Study. Eur. Respir. J. 2020, 56. [Google Scholar] [CrossRef]
- Radovanovic, D.; Pini, S.; Franceschi, E.; Pecis, M.; Airoldi, A.; Rizzi, M.; Santus, P. Characteristics and Outcomes in Hospitalized COVID-19 Patients during the First 28 Days of the Spring and Autumn Pandemic Waves in Milan: An Observational Prospective Study. Respir. Med. 2021, 178, 106323. [Google Scholar] [CrossRef]
- Radovanovic, D.; Coppola, S.; Franceschi, E.; Gervasoni, F.; Duscio, E.; Chiumello, D.A.; Santus, P. Mortality and Clinical Outcomes in Patients with COVID-19 Pneumonia Treated with Non-Invasive Respiratory Support: A Rapid Review. J. Crit. Care 2021, 65, 1–8. [Google Scholar] [CrossRef]
- Bassetti, M.; Giacobbe, D.R.; Bruzzi, P.; Barisione, E.; Centanni, S.; Castaldo, N.; Corcione, S.; De Rosa, F.G.; Di Marco, F.; Gori, A.; et al. Clinical Management of Adult Patients with COVID-19 Outside Intensive Care Units: Guidelines from the Italian Society of Anti-Infective Therapy (SITA) and the Italian Society of Pulmonology (SIP). Infect. Dis. Ther. 2021, 10, 1837–1885. [Google Scholar] [CrossRef]
- Coppola, S.; Santus, P.; Sotgiu, G.; Mondoni, M.; Gandola, A.; Saad, M.; Francesco, G.; Papa, S.; Centanni, S.; Saderi, L.; et al. Clinical Medicine Feasibility and Clinical Outcomes of a Step Up Noninvasive Respiratory Support Strategy in Patients with Severe COVID-19 Pneumonia. J. Clin. Med. 2021, 10, 5444. [Google Scholar] [CrossRef]
- Sivaloganathan, A.A.; Nasim-Mohi, M.; Brown, M.M.; Abdul, N.; Jackson, A.; Fletcher, S.V.; Gupta, S.; Grocott, M.P.W.; Dushianthan, A.; Nixon, J.; et al. Noninvasive Ventilation for COVID-19-Associated Acute Hypoxaemic Respiratory Failure: Experience from a Single Centre. Br. J. Anaesth. 2020, 125, e368–e371. [Google Scholar] [CrossRef]
- Santus, P.; Pini, S.; Amati, F.; Saad, M.; Gatti, M.; Mondoni, M.; Tursi, F.; Rizzi, M.; Chiumello, D.A.; Monzani, V.; et al. Predictors of Helmet CPAP Failure in COVID-19 Pneumonia: A Prospective, Multicenter, and Observational Cohort Study. Hindawi Can. Respir. J. 2022, 2022. [Google Scholar] [CrossRef]
- Brambilla, A.M.; Prina, E.; Ferrari, G.; Bozzano, V.; Ferrari, R.; Groff, P.; Petrelli, G.; Scala, R.; Causin, F.; Noto, P.; et al. Non-Invasive Positive Pressure Ventilation in Pneumonia Outside Intensive Care Unit: An Italian Multicenter Observational Study. Eur. J. Intern. Med. 2019, 59, 21–26. [Google Scholar] [CrossRef]
- Hilbert, G.; Gruson, D.; Vargas, F.; Valentino, R.; Gbikpi-Benissan, G.; Dupon, M.; Reiffers, J.; Cardinaud, J.P. Noninvasive Ventilation in Immunosuppressed Patients with Pulmonary Infiltrates, Fever, and Acute Respiratory Failure. N. Engl. J. Med. 2001, 344, 481–487. [Google Scholar] [CrossRef]
- Gidaro, A.; Samartin, F.; Brambilla, A.M.; Cogliati, C.; Ingrassia, S.; Banfi, F.; Cupiraggi, V.; Bonino, C.; Schiuma, M.; Giacomelli, A.; et al. Correlation between Continuous Positive End-Expiratory Pressure (PEEP) Values and Occurrence of Pneumothorax and Pneumomediastinum in SARS-CoV2 Patients during Non-Invasive Ventilation with Helmet: Pneumothorax and Pneumomediastinum in NIV with Helmet C. Sarcoidosis. Vasc. Diffus. Lung Dis. 2021, 38, e2021017. [Google Scholar] [CrossRef]
- Faraone, A.; Beltrame, C.; Crociani, A.; Carrai, P.; Lovicu, E.; Filetti, S.; Sbaragli, S.; Alessi, C.; Cameron Smith, M.; Angotti, C.; et al. Effectiveness and Safety of Noninvasive Positive Pressure Ventilation in the Treatment of COVID-19-Associated Acute Hypoxemic Respiratory Failure: A Single Center, Non-ICU Setting Experience. Intern. Emerg. Med. 2021, 16, 1183–1190. [Google Scholar] [CrossRef]
- Samartin, F.; Salvi, E.; Brambilla, A.M.; Torre, A.; Ingrassia, S.; Gidaro, A. Incidence and Outcome of Delirium during Helmet CPAP Treatment in COVID-19 Patients. Intern. Emerg. Med. 2021, 17, 307–309. [Google Scholar] [CrossRef]
- Orimo, H.; Ito, H.; Suzuki, T.; Araki, A.; Hosoi, T.; Sawabe, M. Reviewing the Definition of “Elderly”. Geriatr. Gerontol. Int. 2006, 6, 149–158. [Google Scholar] [CrossRef]
- Rockwood, K.; Song, X.; MacKnight, C.; Bergman, H.; Hogan, D.B.; McDowell, I.; Mitnitski, A. A Global Clinical Measure of Fitness and Frailty in Elderly People. CMAJ 2005, 173, 489–495. [Google Scholar] [CrossRef] [Green Version]
- Hewitt, J.; Carter, B.; Vilches-Moraga, A.; Quinn, T.J.; Braude, P.; Verduri, A.; Pearce, L.; Stechman, M.; Short, R.; Price, A.; et al. The Effect of Frailty on Survival in Patients with COVID-19 (COPE): A Multicentre, European, Observational Cohort Study. Lancet Public Health 2020, 5, e444–e451. [Google Scholar] [CrossRef]
- Rice, T.W.; Wheeler, A.P.; Bernard, G.R.; Hayden, D.L.; Schoenfeld, D.A.; Ware, L.B. Comparison of the SpO2/FIO2 Ratio and the PaO2/FIO2 Ratio in Patients with Acute Lung Injury or ARDS. Chest 2007, 132, 410–417. [Google Scholar] [CrossRef]
- Inouye, S.K.; Leo-Summers, L.; Zhang, Y.; Bogardus, S.T.J.; Leslie, D.L.; Agostini, J.V. A Chart-Based Method for Identification of Delirium: Validation Compared with Interviewer Ratings Using the Confusion Assessment Method. J. Am. Geriatr. Soc. 2005, 53, 312–318. [Google Scholar] [CrossRef] [PubMed]
- Bongiovanni, M.; De Lauretis, A.; Manes, G.; Marra, A.M.; Bodini, B.D.; Pellegrini, L.; Berra, S.A.; Picascia, D.; Schettino, M.; Bini, F. Clinical Characteristics and Outcome of COVID-19 Pneumonia in Elderly Subjects. J. Infect. 2021, 82, e33–e34. [Google Scholar] [CrossRef] [PubMed]
- Burns, G.P.; Lane, N.D.; Tedd, H.M.; Deutsch, E.; Douglas, F.; West, S.D.; MacFarlane, J.G.; Wiscombe, S.; Funston, W. Improved Survival Following Ward-Based Non-Invasive Pressure Support for Severe Hypoxia in a Cohort of Frail Patients with COVID-19: Retrospective Analysis from a UK Teaching Hospital. BMJ Open Respir. Res. 2020, 7, e000621. [Google Scholar] [CrossRef] [PubMed]
- Van Steenkiste, J.; van Herwerden, M.C.; Weller, D.; van den Bout, C.J.; Ruiter, R.; den Hollander, J.G.; el Moussaoui, R.; Verhoeven, G.T.; van Noord, C.; van den Dorpel, M.A. High-Flow Nasal Cannula Therapy: A Feasible Treatment for Vulnerable Elderly COVID-19 Patients in the Wards. Hear. Lung 2021, 50, 654–659. [Google Scholar] [CrossRef] [PubMed]
- Cammarota, G.; Esposito, T.; Azzolina, D.; Cosentini, R.; Menzella, F.; Aliberti, S.; Coppadoro, A.; Bellani, G.; Foti, G.; Grasselli, G.; et al. Noninvasive Respiratory Support Outside the Intensive Care Unit for Acute Respiratory Failure Related to Coronavirus-19 Disease: A Systematic Review and Meta-Analysis. Crit. Care 2021, 25, 268. [Google Scholar] [CrossRef] [PubMed]
- Bradley, P.; Wilson, J.; Taylor, R.; Nixon, J.; Redfern, J.; Whittemore, P.; Gaddah, M.; Kavuri, K.; Haley, A.; Denny, P.; et al. Conventional Oxygen Therapy versus CPAP as a Ceiling of Care in Ward-Based Patients with COVID-19: A Multi-Centre Cohort Evaluation. eClinicalMedicine 2021, 40, 101122. [Google Scholar] [CrossRef]
- Güngör, G.; Tatar, D.; Saltürk, C.; Çimen, P.; Karakurt, Z.; Kirakli, C.; Adigüzel, N.; Ediboǧlu, Ö.; Yilmaz, H.; Yazicioglu Moçin, Ö.; et al. Why Do Patients with Interstitial Lung Diseases Fail in the ICU? A 2-Center Cohort Study. Respir. Care 2013, 58, 525–531. [Google Scholar] [CrossRef] [PubMed] [Green Version]
- Zhang, X.M.; Jiao, J.; Cao, J.; Huo, X.P.; Zhu, C.; Wu, X.J.; Xie, X.H. Frailty as a Predictor of Mortality among Patients with COVID-19: A Systematic Review and Meta-Analysis. BMC Geriatr. 2021, 21, 186. [Google Scholar] [CrossRef]
- Rebora, P.; Rozzini, R.; Bianchetti, A.; Blangiardo, P.; Marchegiani, A.; Piazzoli, A.; Mazzeo, F.; Cesaroni, G.; Chizzoli, A.; Guerini, F.; et al. Delirium in Patients with SARS-CoV-2 Infection: A Multicenter Study. J. Am. Geriatr. Soc. 2021, 69, 293–299. [Google Scholar] [CrossRef]
- Dasgupta, M.; Hillier, L.M. Factors Associated with Prolonged Delirium: A Systematic Review. Int. Psychogeriatr. 2010, 22, 373–394. [Google Scholar] [CrossRef]
- Witlox, J.; Eurelings, L.S.M.; de Jonghe, J.F.M.; Kalisvaart, K.J.; Eikelenboom, P.; van, G.W. Delirium in Elderly Patients and the Risk of Postdischarge Mortality, Institutionalization, and Dementia: A Meta-Analysis. JAMA 2010, 304, 443–451. [Google Scholar] [CrossRef]
- Garcez, F.B.; Aliberti, M.J.R.; Poco, P.C.E.; Hiratsuka, M.; de Takahashi, S.F.; Coelho, V.A.; Salotto, D.B.; Moreira, M.L.V.; Jacob-Filho, W.; Avelino-Silva, T.J. Delirium and Adverse Outcomes in Hospitalized Patients with COVID-19. J. Am. Geriatr. Soc. 2020, 68, 2440–2446. [Google Scholar] [CrossRef]
- Nightingale, R.; Nwosu, N.; Kutubudin, F.; Fletcher, T.; Lewis, J.; Frost, F.; Haigh, K.; Robinson, R.; Kumar, A.; Jones, G.; et al. Is Continuous Positive Airway Pressure (CPAP) a New Standard of Care for Type 1 Respiratory Failure in COVID-19 Patients? A Retrospective Observational Study of a Dedicated COVID-19 CPAP Service. BMJ Open Respir. Res. 2020, 7, 8–10. [Google Scholar] [CrossRef]
- Alviset, S.; Riller, Q.; Aboab, J.; Dilworth, K.; Billy, P.A.; Lombardi, Y.; Azzi, M.; Vargas, L.F.; Laine, L.; Lermuzeaux, M.; et al. Continuous Positive Airway Pressure (CPAP) Face-Mask Ventilation Is an Easy and Cheap Option to Manage a Massive Influx of Patients Presenting Acute Respiratory Failure during the SARS-CoV-2 Outbreak: A Retrospective Cohort Study. PLoS ONE 2020, 15, e0240645. [Google Scholar] [CrossRef]


| Baseline Features of Study Population | ||||||
|---|---|---|---|---|---|---|
| Adverse Outcome | CPAP Demand at T1 | |||||
| Total (n = 110 *) | No (n = 40) | Yes (n = 70) | Total (n = 91 **) | Intermittent (n = 30) | Continuous (n = 61) | |
| Age (years) § | 81 (79–84) | 80 (78–81) | 82 (79–86) | 81 (78.0–84.0) | 80 (79–81) | 81 (78–85) |
| Age > 80 years, n (%) | 73 (66%) | 25 (65.5%) | 48 (68.6) | 57 (61.6%) | 20 (66.7%) | 37 (60.7) |
| Male sex, n (%) | 87 (79.1%) | 31 (77.5%) | 56 (80%) | 73 (80.2%) | 23 (76.7%) | 50 (82.0%) |
| Hypertension, n (%) | 72 (65.5%) | 25 (62.5%) | 47 (67.1%) | 58 (63.7%) | 17 (56.6%) | 41 (67.2%) |
| COPD n, (%) | 7 (6.4%) | 3 (7.5%) | 4 (5.7%) | 3 (3.3%) | 0 (0%) | 3 (4.9%) |
| Chronic renal failure, n (%) | 15 (13.6%) | 1 (2.5%) | 14 (20%) | 11 (12.1%) | 4 (13.3%) | 7 (11.5%) |
| Diabetes mellitus, n (%) | 27 (24.5%) | 9 (22.5%) | 18 (25.7%) | 20 (22.0%) | 8 (26.6%) | 12 (19.7%) |
| CAD or heart failure, n (%) | 31 (28.2%) | 6 (15%) | 25 (35.7%) | 21 (23.1%) | 4 (13.3%) | 17 (27.9%) |
| Active cancer, n (%) | 7 (6.4%) | 1 (2.5%) | 6 (8.6%) | 5 (5.5%) | 1 (3.3%) | 4 (6.5%) |
| Pre-existing dementia, n (%) | 9 (8.2%) | 0 (0%) | 9 (12.9%) | 5 (5.5%) | 1 (3.3%) | 4 (6.5%) |
| Pre-existing psychiatric pathology, n (%) | 6 (5.5%) | 4 (10%) | 2 (2.9%) | 4 (4.4%) | 3 (10%) | 1 (1.6%) |
| Frailty Score § | 5 (4–5) | 4 (4–5) | 5 (4–6) | 5.0 (4.0–5.0) | 4 (4–5) | 4 (4–5) |
| Frailty Score ≥ 5, n (%) | 65 (59%) | 17 (42.5%) | 48 (68.6%) | 49 (53.8%) | 10 (33.3%) | 39 (63.9%) |
| Charlson Comorbidity Index § | 5.00 (4.00–7.00) | 4.00 (4.00–5.00) | 5.00 (4.00–7.25) | 4.00 (4.00–6.00) | 4.00 (4.00–5.00) | 5.00 (4.00–6.00) |
| Charlson Comorbidity Index ≥ 5, n (%) | 60 (54.5%) | 15 (37.5%) | 45 (64.3%) | 44 (48.3%) | 10 (33.3%) | 34 (55.7%) |
| Respiratory parameters and Laboratory findings | ||||||
| Respiratory Rate (cycle/min) § | 30 (25–35) | 28 (23–32) | 32 (28–36) | 29.0 (24.0–32.0) | 28 (24–31.5) | 30 (25–36) |
| Respiratory Rate ≥ 30 cycle/min, n (%) | 55 (50%) | 13 (30.9%) | 42 (60%) | 44 (50.0%) | 10 (33.3%) | 34 (58.6%) |
| P/F § | 108 (81–170) | 120 (100–194) | 91 (76–145) | 109.4 (82.8–170.0) | 120.7 (99.1–185.5) | 104.2 (78.7–153.5) |
| P/F < 100, n (%) | 46 (41.8%) | 8 (20%) | 38 (54.3%) | 37 (41.1%) | 8 (26.7%) | 29 (48.3%) |
| NLR § | 9.5 (5.4–14.2) | 10.0 (5.5–14.7) | 9.4 (4.9–14.4) | 8.0 (5.15–13.0) | 9.9 (7.5–12.9) | 7.3 (4.9–12.7) |
| Treatment | ||||||
| Median CPAP treatment (hours) | 168 (72–288) | 228 (168–348) | 144 (71–216) | 192 (144–312) | 240 (168–438) | 192 (120–264) |
| Odds Ratio (Continuous vs. Intermittent) | 95% CI | p | |
|---|---|---|---|
| Univariate model | |||
| Age | 1.06 | 0.9–1.2 | 0.32 |
| Age (>80 vs. ≤80) | 0.77 | 0.3–1.9 | 0.58 |
| Gender (F vs. M) | 0.72 | 0.25–2.2 | 0.55 |
| * Frailty score (≥5 vs. <5) | 3.5 | 1.4–8.9 | 0.007 |
| RR (≥30 vs. <30 cycle/min) | 2.83 | 1.1–7.1 | 0.027 |
| P/F (<100 vs. ≥100) | 2.6 | 1.0–6.7 | 0.052 |
| NLR | 0.99 | 0.9–1.0 | 0.81 |
| Multiple model | |||
| RR (≥30 vs. <30 cycle/min) | 3.16 | 1.15–8.70 | 0.026 |
| * Frailty score (≥5 vs. <5) | 4.08 | 1.48–11.22 | 0.006 |
| P/F (<100 vs. ≥100) | 2.67 | 0.94–7.55 | 0.065 |
| HR | 95% CI | p | ||
|---|---|---|---|---|
| Univariate model (a) | Age | 1.06 | 1.0–1.12 | 0.04 * |
| Age (>80 vs. ≤80) | 1.1 | 0.66–1.83 | 0.8 | |
| Gender (Female vs. Male) | 0.91 | 0.50–1.63 | 0.74 | |
| * Frailty score (≥5 vs. <5) | 1.88 | 1.13–3.11 | 0.01 * | |
| RR (≥30 vs. <30 cycle/min) | 2.06 | 1.26–3.37 | 0.004 * | |
| P/F (<100 vs. ≥100) | 2.73 | 1.67–4.44 | <0.001 * | |
| GNL ratio | 1.02 | 0.99–1.04 | 0.27 | |
| Delirium # (yes vs. no) | 6.17 | 3.47–10.96 | <0.001 | |
| Multiple model (b) | Delirium # (yes vs. no) | 20.23 | 4.21–97.07 | <0.001 |
| Frailty (≥5 vs. <5) | 8.83 | 1.71–45.64 | 0.01 | |
| RR (≥30 vs. <30) | 2.86 | 1.66–4.93 | <0.001 | |
| P/F (<100 vs. ≥100) | 2.36 | 1.41–3.95 | <0.001 | |
| Delirium # (yes/no) by Frailty (≥5 vs. <5) | 0.14 | 0.03–0.8 | 0.03 | |
| Effect modification of delirium (b1) § | Delirium no | |||
| Frailty (≥5 vs. <5) | 8.83 | 1.71–45.64 | 0.01 | |
| Delirium yes | ||||
| Frailty (≥5 vs. <5) | 1.28 | 0.78–2.09 | 0.34 | |
| Effect modification of Frailty score (b2) § | Frailty score < 5 | |||
| Delirium # (yes vs. no) | 20.23 | 4.21–97.07 | <0.001 | |
| Frailty score ≥ 5 | ||||
| Delirium # (yes vs. no) | 2.92 | 1.56–5.47 | <0.001 | |
Publisher’s Note: MDPI stays neutral with regard to jurisdictional claims in published maps and institutional affiliations. |
© 2022 by the authors. Licensee MDPI, Basel, Switzerland. This article is an open access article distributed under the terms and conditions of the Creative Commons Attribution (CC BY) license (https://creativecommons.org/licenses/by/4.0/).
Share and Cite
Ceriani, E.; Pitino, A.; Radovanovic, D.; Salvi, E.; Matone, M.; Teatini, T.; Gidaro, A.; Tripepi, G.; Santus, P.; Gori, M.; et al. Continuous Positive Airway Pressure in Elderly Patients with Severe COVID-19 Related Respiratory Failure. J. Clin. Med. 2022, 11, 4454. https://doi.org/10.3390/jcm11154454
Ceriani E, Pitino A, Radovanovic D, Salvi E, Matone M, Teatini T, Gidaro A, Tripepi G, Santus P, Gori M, et al. Continuous Positive Airway Pressure in Elderly Patients with Severe COVID-19 Related Respiratory Failure. Journal of Clinical Medicine. 2022; 11(15):4454. https://doi.org/10.3390/jcm11154454
Chicago/Turabian StyleCeriani, Elisa, Annalisa Pitino, Dejan Radovanovic, Emanuele Salvi, Maddalena Matone, Thomas Teatini, Antonio Gidaro, Giovanni Tripepi, Pierachille Santus, Mercedes Gori, and et al. 2022. "Continuous Positive Airway Pressure in Elderly Patients with Severe COVID-19 Related Respiratory Failure" Journal of Clinical Medicine 11, no. 15: 4454. https://doi.org/10.3390/jcm11154454
APA StyleCeriani, E., Pitino, A., Radovanovic, D., Salvi, E., Matone, M., Teatini, T., Gidaro, A., Tripepi, G., Santus, P., Gori, M., & Cogliati, C. (2022). Continuous Positive Airway Pressure in Elderly Patients with Severe COVID-19 Related Respiratory Failure. Journal of Clinical Medicine, 11(15), 4454. https://doi.org/10.3390/jcm11154454

