Abstract
Purpose: The main aim of this systematic review and meta-analysis (MA) was to assess the effectiveness of online behavior modification techniques (e-BMT) in the management of chronic musculoskeletal pain. Methods: We conducted a search of Medline (PubMed), Cumulative Index to Nursing and Allied Health Literature (CINAHL), Web of Science, APA PsychInfo, and Psychological and Behavioral Collections, from inception to the 30 August 2021. The main outcome measures were pain intensity, pain interference, kinesiophobia, pain catastrophizing and self-efficacy. The statistical analysis was conducted using RStudio software. To compare the outcomes reported by the studies, we calculated the standardized mean difference (SMD) over time and the corresponding 95% confidence interval (CI) for the continuous variables. Results: Regarding pain intensity (vs. usual care/waiting list), we found a statistically significant trivial effect size in favor of e-BMT (n = 5337; SMD = −0.17; 95% CI −0.26, −0.09). With regard to pain intensity (vs. in-person BMT) we found a statistically significant small effect size in favor of in-person BMT (n = 486; SMD = 0.21; 95%CI 0.15, 0.27). With respect to pain interference (vs. usual care/waiting list) a statistically significant small effect size of e-BMT was found (n = 1642; SMD = −0.24; 95%CI −0.44, −0.05). Finally, the same results were found in kinesiophobia, catastrophizing, and self-efficacy (vs. usual care/waiting list) where we found a statistically significant small effect size in favor of e-BMT. Conclusions: e-BMT seems to be an effective option for the management of patients with musculoskeletal conditions although it does not appear superior to in-person BMT in terms of improving pain intensity.
1. Introduction
The serious health crisis the world is currently experiencing as a result of coronavirus disease 2019 (COVID-19) is affecting virtually all social and professional spheres [1]. At the clinical level, conventional rehabilitation consultations have had to be suspended, and many patients have had to interrupt their standard or conventional therapy (face to face). A small percentage of patients have begun undergoing therapy through telematic channels [1]. Although is still too early to determine the actual percentage of clinicians who have incorporated telerehabilitation (TR) into their portfolio of services, we suspect that there have been few. TR is defined as the implementation of a virtual, technology-based clinical-healthcare intervention in order to deliver care at a distance [2].
The person-centered model of care encompasses a number of dimensions in which the therapist–patient alliance, behavioral analysis, the patient as a whole, patient empowerment and finally the therapist’s perspective are included [3]. It involves a range of tools in the rehabilitation of patients, with behavior change or modification techniques (BMT) being one of them [3]. According to Pear and Martin [4], BMT are techniques where learning principles are systematically applied to assess, change and/or improve people’s covert and overt behaviors to enhance the solution of practical problems. BMT includes a variety of psychological techniques, such as: goal and target setting, self-monitoring, cognitive restructuring, motivational interviewing, dissociation, self-reinforcement, problem solving, coping skills training, behavior contract, establishment of reinforcement contingencies, or general instruction on how to perform behaviors [5,6,7,8,9,10]. The fundamental difference between BMT and e-BMT is that the latter is carried out through TR, i.e., via telecommunication in order to be able to intervene remotely. It should be noted that implementing e-BMT is not just the same intervention as conventional BMT but has a number of considerations that need to be taken into account. In the scientific literature, barriers to be considered have been raised and are of great interest: the lack of legal regulations, technical limitations such as the bandwidth required for the transmission of data, images and sound, training in the use of new technologies, issues associated with the payment of insurers and significant changes in the management and redesign of existing care models [11,12].
Patients with chronic musculoskeletal pain have been one of the subsets of patients most affected by COVID-19 due to lack of access to treatment for their clinical conditions [13]. Failure to treat these patients can have very serious socio-health consequences [14]. Strategies need to be put in place to curb the impact of the COVID-19 pandemic on patients with persistent musculoskeletal pain. TR could be an effective way to counteract the burden of the COVID-19 pandemic in patients with chronic musculoskeletal pain [15,16]. Pain management has been extensively studied in the current state of the art. We can find different clinical interventions for the management of pain patients. For example, treatments based on therapeutic exercise [17], manual therapy [18], pharmacology [19], combined [20], among many others. Educational interventions aim to change maladaptive behaviors, dysfunctional thoughts, beliefs, ideas, cognitions in general, as well as to improve moods and increase motivation levels in order to improve problem solving in the lives of pain patients [21]. Educational interventions can improve levels of self-efficacy as well as modify behaviors by increasing levels of therapeutic exercise as well as levels of adherence to have an impact on the neurophysiology of pain [22], because we know the full implications of exercise on pain processing [23]. Interventions based on TR offer us the option of being able to improve indirect aspects in a delocalized manner, which is why we believe it is important to study and clinically evaluate them. Some previous systematic reviews have assessed the effect of telerehabilitation based on BMT on variables such as pain intensity, disability, disease impact, physical function, pain-related fear of movement, and psychological distress [24,25,26,27] showing promising results.
It is therefore that the main aim of this systematic and meta-analysis was to assess the effectiveness of online BMT (e-BMT) in the management of patients with chronic musculoskeletal pain.
2. Materials and Methods
This systematic review and meta-analysis was performed according to the Preferred Reporting Items for Systematic Reviews and Meta-analysis (PRISMA) 2020 statement actualized by Page et al. [28] (Appendix A). This systematic review was registered prospectively in an international database PROSPERO where it can be accessed (CRD42021276104).
2.1. Inclusion Criteria
The selection criteria used in this systematic review and meta-analysis were based on methodological and clinical factors, such as the Population, Intervention, Control, Outcomes, and Study design (PICOS) described by Stone [29].
2.1.1. Population
The participants selected for the studies were patients older than 18 years with any kind of chronic musculoskeletal disorder. The participants’ gender was irrelevant. We excluded patients with musculoskeletal pain due to oncologic or traumatic process.
2.1.2. Intervention and Control
The intervention was e-BMT applied through a technology device (Website, online, telephone or mobile application). The intervention could be applied alone or embedded with another treatment, only if the control group contains only the additional treatment. Control group could be usual care, waiting list, no intervention or in-person equivalent BMT.
2.1.3. Outcomes
The measures used to assess the results were pain intensity, pain interference, kinesiophobia, pain catastrophizing and self-efficacy. Time of measurement was restrained to post-treatment results.
2.1.4. Study Design
We only included randomized studies (randomized controlled trials (RCTs) or randomized parallel design-controlled trials) given the amount of literature available in this area.
2.2. Search Strategy
The search for studies was performed using Medline (PubMed), Cumulative Index to Nursing and Allied Health Literature (CINAHL), Web of Science, APA PsychInfo, and Psychological and Behavioral Collections, from inception to the 30 August 2021. The search strategy used in Medline (PubMed) combined medical subject headings (MeSH) and non-MeSH terms, adding a Boolean operator (OR and/or AND) to combine them. Several terms we used were as follows: “ehealth”, “mhealth”, “remote treatment”, “digital treatment”, “Mobile Applications”, “Web”, “Software”, “Online”, “Telephone”, “Cell phone”, “eTherapy”, “Internet”; “Telerehabilitation”, “Interned-Based Intervention”, “Telemedicine”, “Behavioral Modification Techniques”, “Chronic Pain”, “Pain”, “RCT” or “Randomized controlled trial”.
The search strategy was adapted to other electronic databases. In addition, we manually checked the reference of the studies included in the review and we checked the studies included on systematic review related to this topic. The search was also adapted and performed in Google Scholar due to its capacity to search for relevant articles and grey literature [30,31]. No restrictions were applied to any specific language as recommended by the international criteria [32]. The different search strategies used are detailed in Appendix B.
Two independent reviewers conducted the search using the same methodology, and the differences were resolved by consensus moderated by a third reviewer. We used Rayyan software to organize studies, assess studies for eligibility and remove duplicates [33].
2.3. Selection Criteria and Data Extraction
The two phases of studies selection (title/abstract screening and full-text evaluation) were realized by two independent reviewers. First, they assessed the relevance of the studies regarding the study questions and aims, based on information from the title, abstract and keywords of each study. If there was no consensus or the abstracts did not contain sufficient information, the full text was reviewed. In the second phase of the analysis, the full text was used to assess whether the studies met all the inclusion criteria. Differences between the two independent reviewers were resolved by a consensus process moderated by a third reviewer [34]. Data described in the results were extracted by means of a structured protocol that ensured that the most relevant information was obtained from each study [35].
2.4. Risk of Bias and Methodological Quality Assessment
The Risk Of Bias 2 (RoB 2) tool was used to assess randomized trials [36]. It covers a total of five domains: (1) Bias arising from the randomization process, (2) Bias due to deviations from the intended interventions, (3) Bias due to missing outcome data, (4) Bias in measurement of the outcome, (5) Bias in selection of the reported result. The study will be categorized has having (a) low risk of bias if all domains shown low risk of bias, (b) some concerns if one domain is rated with some concerns without any with high risk of bias, and (c) high risk of bias, if one domain is rated as having high risk of bias or multiple with some concerns.
The studies’ methodological quality was assessed using the PEDro scale [37], which assesses the internal and external validity of a study and consists of 11 criteria: (1) specified study eligibility criteria, (2) random allocation of patients, (3) concealed allocation, (4) measure of similarity between groups at baseline, (5) patient blinding, (6) therapist blinding, (7) assessor blinding, (8) fewer than 15% dropouts, (9) intention-to-treat analysis, (10) intergroup statistical comparisons, and (11) point measures and variability data. The methodological criteria were scored as follows: yes (1 point), no (0 points), or do not know (0 points). The PEDro score for each selected study provided an indicator of the methodological quality (9–10 = excellent; 6–8 = good; 4–5 = fair; 3–0 = poor) [38]. We used the data obtained from the PEDro scale to map the results of the quantitative analyses.
Two independent reviewers examined the quality and the risk of bias of all the selected studies using the same methodology. Disagreements between the reviewers were resolved by consensus with a third reviewer. The concordance between the results (inter-rater reliability) was measured using Cohen’s kappa coefficient (κ) as follows: (1) κ > 0.7 indicated a high level of agreement between assessors; (2) κ = 0.5–0.7 indicated a moderate level of agreement; and (3) κ < 0.5 indicated a low level of agreement) [39].
2.5. Certainty of Evidence
The certainty of evidence analysis was based on classifying the results into levels of evidence according to the Grading of Recommendations, Assessment, Development and Evaluation (GRADE) framework, which is based on five domains: study design, imprecision, indirectness, inconsistency and publication bias [40]. The assessment of the five domains was conducted according to GRADE criteria [41,42]. Evidence was categorized into the following four levels accordingly: (a) High quality. Further research is very unlikely to change our confidence in the effect estimate. All five domains are also met; (b) Moderate quality. Further research is likely to have an important impact on our confidence in the effect estimate and might change the effect estimate. One of the five domains is not met; (c) Low quality. Further research is very likely to have a significant impact on our confidence in the effect estimate and is likely to change the estimate. Two of the five domains are not met; and (d) Very low quality. Any effect estimates highly uncertain. Three of the five domains are not met [41,42].
For the risk of bias domain, the recommendations were downgraded one level in the event there was an uncertain or high risk of bias and serious limitations in the effect estimate (more that 25% of the participants were from studies with high risk of bias, as measured by the RoB2 scale). In terms of inconsistency, the recommendations were downgraded one level when the point estimates varied widely among studies, the confidence intervals showed minimal overlap or when the I2 was substantial or large (greater than 50%). In regard to indirectness, domain recommendations were downgraded when severe differences in interventions, study populations or outcomes were found (the recommendations were downgraded in the absence of direct comparisons between the interventions of interest or when there are no key outcomes, and the recommendation is based only on intermediate outcomes or if more than 50% of the participants were outside the target group). For the imprecision domain, the recommendations were downgraded one level if there were fewer than 300 participants for the continuous data [43]. Finally, the recommendations were downgraded due to the strong influence of publication bias if the results changed significantly after adjusting for publication bias.
2.6. Data Synthesis and Analysis
The statistical analysis was conducted using RStudio software (RStudio, PBC, Boston, MA) according to the guide from Harrer et al. [44]. To compare the outcomes reported by the studies, we calculated the standardized mean difference (SMD) over time and the corresponding 95% confidence interval (CI) for the continuous variables. The statistical significance of the pooled SMD was examined as Hedges’ g to account for a possible overestimation of the true population effect size in the small studies [45]. The estimated SMDs were interpreted as described by Hopkins et al. [46], that is, we considered that an SMD of 4.0 represented an extremely large clinical effect, 2.0–4.0 represented a very large effect, 1.2–2.0 represented a large effect, 0.6–1.2 represented a moderate effect, 0.2–0.6 represented a small effect and 0.0–0.2 represented a trivial effect. If necessary, CI and standard error (SE) where converted in standard deviation (SD) using the formulas recommended by the Cochrane Handbook for Systematic Reviews of Interventions version 6.2: SD = √(N) ∗ (upper limit − lower limit)/3.92 and SD = √(N) ∗ SE, respectively [47].
We used the same inclusion criteria for the systematic review and the meta-analysis and included three additional criteria: (1) In the results, there was detailed information regarding the comparative statistical data of the exposure factors, therapeutic interventions, and treatment responses; (2) the intervention was compared with a similar control group; and (3) data on the analyzed variables were represented in at least three studies.
Since we pooled different treatments, we could not assume that there was a unique true effect. So, we anticipated between-study heterogeneity and used a random-effects model to pool effect sizes. In order the calculate the heterogeneity variance τ2, we used the Restricted Maximum Likelihood Estimator as recommended for continuous outcomes [48,49]. To calculate the confidence interval around the pooled effect, we used Knapp-Hartung adjustments [50,51].
In order to pool the catastrophizing variable and the different subscales of the Pain Catastrophizing scale [52], we ran a subgroup analysis using fixed-effects (plural) model [53]. First, we pooled effect sizes in each subgroup (Pain catastrophizing or other catastrophizing overall score, Helplessness, Magnification and Rumination) using a random-effects model. Finally, we used a fixed-effect model to pool the pooled effects from the different subgroups.
We estimated the degree of heterogeneity among the studies using Cochran’s Q statistic test (a p-value < 0.05 was considered significant), the inconsistency index (I2) and the prediction interval (PI) based on the between-study variance τ2 [46]. The Cochran’s Q test allows us to assess the presence of between-study heterogeneity [54]. Despite its common use to assess heterogeneity, the I2 index only represent the percentage of variability in the effect sizes not caused by sampling error [55]. Therefore, as recommended, we additionally report PIs. The PIs are an equivalent of standard deviation and represent a range within which the effects of future studies are expected to fall based on current data [55,56].
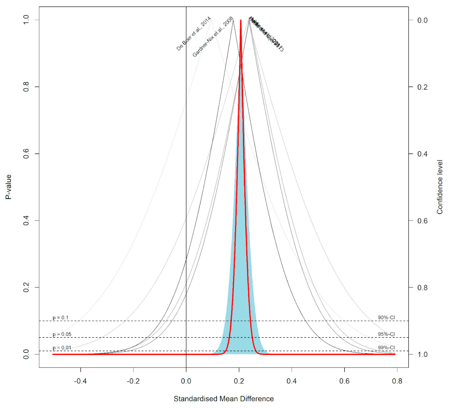
To detect the presence of outliers that could potentially influence the estimated pooled effect and assess the robustness of our results, we applied an influence analysis based on the leave-one-out method [57]. If a study’s results had an important influence on the pooled effect, we conducted a sensitivity analysis, removing it or them. We additionally ran a drapery plot which is based on p-value functions and give us the p-value curve for the pooled estimate for all possible alpha levels [58].
To detect publication bias, we performed a visual evaluation of the Doi plot and the funnel plot [59], seeking asymmetry. We also performed a quantitative measure of the Luis Furuya-Kanamori (LFK) index, which has been shown to be more sensitive than the Egger test in detecting publication bias in a meta-analysis of a low number of studies [60]. An LFK index within ±1 represents no asymmetry, exceeding ±1 but within ±2 represents minor asymmetry, and exceeding ±2 involves major asymmetry. If there was significant asymmetry, we applied a small-study effect method to correct for publication bias using the Duval and Tweedie Trim and Fill Method [61].
3. Results
3.1. Characteristics of the Included Studies
A total of 58 RCTs were included [62,63,64,65,66,67,68,69,70,71,72,73,74,75,76,77,78,79,80,81,82,83,84,85,86,87,88,89,90,91,92,93,94,95,96,97,98,99,100,101,102,103,104,105,106,107,108,109,110,111,112,113,114,115,116,117]. We included a total of 8199 participants with a mean age ranging from 33.7 to 65.8 years. The patients were mostly women (N = 5764, 70.3%) diagnosed with chronic back pain [64,75,82,85,86,95,96], chronic low back pain [80,91,97,109,116,117], unspecific chronic pain [63,65,66,67,70,73,76,81,92,93,94,99,102,106,108,114,115,118,119], fibromyalgia [69,77,83,98,104,110,111,113], headache [79,100,101,107], rheumatic disorders [68,74,84,88,89,104,112], or others [71,72,78,87,90,105]. Details of the participant’s characteristics and studies are shown in Table 1.
Table 1.
Details of the studies included in the systematic review.
The studies compared online cognitive–behavioral therapy [64,65,66,67,68,69,73,75,85,90,91,94,95,96,99,104,116], acceptance and commitment therapy [76,81,92,98,102,119], self-management [83,93,99,103,106,108,109,111,113], mindfulness therapy [70,76,81,95,101,102,105], or other online behavioral techniques [62,63,71,72,74,77,78,79,80,82,84,86,87,88,89,97,100,107,110,112,114,115,117,118] against most frequently waiting list [65,66,69,70,74,79,81,85,90,92,95,96,100,102,103,108,110,112,113,116,118], usual care [68,73,75,77,82,83,84,86,91,93,94,98,99,101,104,106,107,109,111,117,119], or in-person intervention [67,70,76,78,88,89,104,109]. The intervention duration ranged between a single day [105] and 9 months [84]. The details of the interventions were described in Appendix C using the Behavior Change Technique Taxonomy (v1) [120].
3.2. Methodological Quality and Risk of Bias Results
The methodological quality of the studies was evaluated with the PEDro scale. The PEDro scores for each study are shown in Appendix D. In total, 36 were evaluated as having good quality [62,64,66,68,69,72,74,75,76,77,78,79,80,81,82,84,87,91,92,94,95,96,98,99,102,103,104,105,107,109,110,111,113,115,117,119] and 22 as having fair methodological quality [63,65,67,70,71,73,83,85,86,88,89,90,93,97,100,101,106,108,112,114,116,118]. The inter-rater reliability of the methodological quality assessment between assessors was high (κ = 0.901). The risk of bias of randomized trials was evaluated with the RoB2 tool. All the studies were rated as having a high risk of bias (100%). The risk of bias summary is shown in Appendix E. The inter-rater reliability of the risk of bias assessment between assessors was high (κ = 0.792).
3.3. Meta-Analysis Results
The overall strength of evidence for each variable and the reason it was downgraded is detailed in Table 2.
Table 2.
Summary of findings and quality of evidence (GRADE).
3.3.1. Pain Intensity (vs. Usual Care/Waiting List)
The influence analyses revealed that the study from Hedman-Lagerlof et al. and Dear et al. were outliers [66,110], so, we ran a sensitivity analysis without them (Appendix F). The sensitivity analysis showed a statistically significant trivial effect size (38 RCTs; n = 5337; SMD = −0.17; 95% CI −0.26, −0.09) of e-BMT on pain intensity, with a significant heterogeneity (Q = 67.4 (p < 0.01), I2 = 44% (18%, 62%), PI −0.48, 0.13) and a low strength of evidence (Figure 1). Since PI crosses zero, we cannot be confident that future studies will not find contradictory results. The drapery plot revealed that the statistically significance of the results is robust through different p-value functions (Appendix F). With respect to the presence of publication bias, the visual evaluation of the shape of the funnel and Doi plot shown an asymmetrical pattern, showing a minor asymmetry (LFK index = −1.79) (Appendix F). When the sensitivity analysis is adjusted for publication bias, there is not anymore statistically significant effect (Appendix F). Subgroup analyses are detailed in Table 3.
Figure 1.
Sensitivity analysis of the pain intensity variable for online behavioral techniques against usual care or waiting list. The forest plot summarizes the results of included studies (sample size, mean, standard deviation (SD), standardized mean differences (SMDs), and weight). The small boxes with the squares represent the point estimate of the effect size and sample size. The lines on either side of the box represent a 95% confidence interval (CI).
Table 3.
Subgroup analyses of the pain intensity, pain interference and self-efficacy outcomes.
3.3.2. Pain Intensity (vs. In-Person BMT)
The influence analyses revealed no presence of outliers (Appendix G). The statistical analysis showed a statistically significant small effect size (5 RCTs; n = 486; SMD = 0.21; 95% CI 0.15, 0.27) of in-person BMT on pain intensity, with no significant heterogeneity (Q = 0.23 (p < 0.99), I2 = 0% (0%, 79.2%), PI 0.14, 0.28)) and a moderate strength of evidence (Figure 2). Since PI does not cross zero, we can be confident that future studies will not find contradictory results. The drapery plot revealed that the statistically significance of the results is robust through different p-value functions (Appendix G). With respect to the presence of publication bias, the visual evaluation of the shape of the funnel and Doi plot shown an asymmetrical pattern, showing a major asymmetry (LFK index = −2.36) (Appendix G). However, the adjustment did not influence the results (Appendix G). When the sensitivity analysis is adjusted for publication bias, there is no influence of the results (Appendix G).
Figure 2.
Synthesis forest plot of pain intensity variable of online behavioral techniques against in-person behavioral techniques. The forest plot summarizes the results of included studies (sample size, mean, standard deviation (SD), standardized mean differences (SMDs), and weight). The small boxes with the squares represent the point estimate of the effect size and sample size. The lines on either side of the box represent a 95% confidence interval (CI).
3.3.3. Pain Interference (vs. Usual Care/Waiting List)
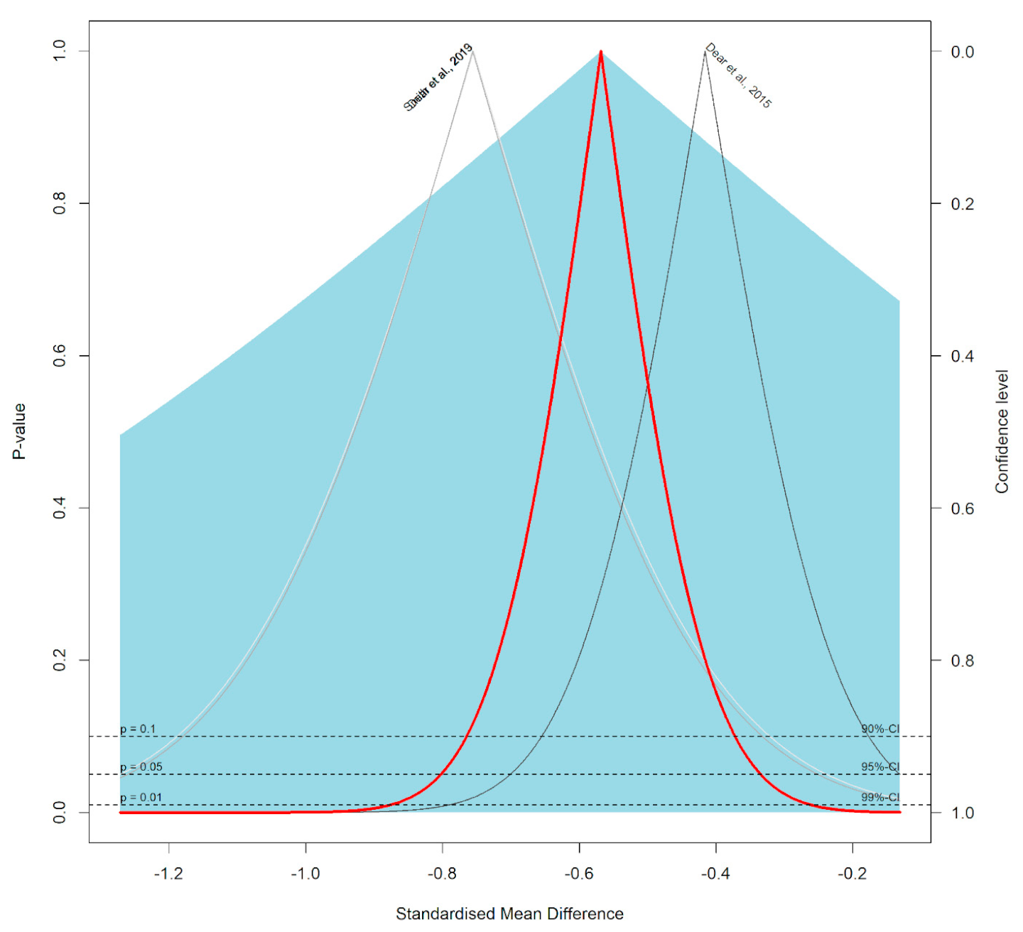
The influence analyses revealed no presence of outliers (Appendix H). The statistical analysis showed a statistically significant small effect size (13 RCTs; n = 1642; SMD = −0.24; 95% CI −0.44, −0.05) of e-BMT on pain interference, with a significant heterogeneity (Q = 28.78 (p < 0.01), I2 = 58% (23%, 77%), PI −0.79, 0.31) and a low strength of evidence (Figure 3). Since PI crosses zero, we cannot be confident that future studies will not find contradictory results. We cannot be confident of the significance of our results, the drapery plot revealed that the statistically significance of the results did not maintain at p = 0.01 (Appendix H). With respect to the presence of publication bias, the visual evaluation of the shape of the funnel and Doi plot showed a symmetrical pattern, showing no asymmetry (LFK index = −0.21) (Appendix H). Subgroup analyses are detailed in Table 3.
Figure 3.
Synthesis forest plot of pain interference variable for online behavioral techniques against usual care or waiting list. The forest plot summarizes the results of included studies (sample size, mean, standard deviation (SD), standardized mean differences (SMDs), and weight). The small boxes with the squares represent the point estimate of the effect size and sample size. The lines on either side of the box represent a 95% confidence interval (CI).
3.3.4. Kinesiophobia (vs. Usual Care/Waiting List)
The influence analyses revealed that the study from Friesen et al. was an outlier [69], so, we ran a sensitivity analysis without it (Appendix I). The sensitivity analysis showed a statistically significant small effect size (3 RCTs; n = 340; SMD = −0.57; 95% CI −1.08, −0.06) of e-BMT on kinesiophobia, with no significant heterogeneity (Q = 2.09 (p = 0.35), I2 = 4% (0%, 90%)) and a moderate strength of evidence (Figure 4). All the subscales of the pain catastrophizing scale were significantly improved. The drapery plot revealed that the statistically significance of the results is robust through different p-value functions (Appendix I). With respect to the presence of publication bias, the visual evaluation of the shape of the funnel and Doi plot showed an asymmetrical pattern, showing a major asymmetry (LFK index = −4.12) (Appendix G). When the sensitivity analysis was adjusted for publication bias, there still was a statistically significant small effect (Appendix I).
Figure 4.
Sensitivity analysis of the kinesiophobia variable for online behavioral techniques against usual care or waiting list. The forest plot summarizes the results of included studies (sample size, mean, standard deviation (SD), standardized mean differences (SMDs), and weight). The small boxes with the squares represent the point estimate of the effect size and sample size. The lines on either side of the box represent a 95% confidence interval (CI).
3.3.5. Catastrophizing (vs. Usual Care/Waiting List)
The influence analyses revealed that the studies from Ruehlman et al. and Trudeau et al. were outliers [93,103], so, we ran a sensitivity analysis without them (Appendix J). The sensitivity analysis showed a statistically significant small effect size (16 RCTs; n = 1613; SMD = −0.40; 95% CI −0.48, −0.32) of e-BMT on catastrophizing, with no significant heterogeneity (Q = 1.76 (p = 0.62) I2 = 31% (0%,56%)) and a moderate strength of evidence (Figure 5). All the subscales of the pain catastrophizing scale showed statistically significant improvements. The drapery plot revealed that the statistically significance of the results is robust through different p-value functions (Appendix J). With respect to the presence of publication bias, the visual evaluation of the shape of the funnel and Doi plot showed a symmetrical pattern, showing no asymmetry (LFK index = −0.34) (Appendix J).
Figure 5.
Sensitivity analysis of the catastrophizing variable and the subscales of the pain catastrophizing scale (Helplessness, Magnification and Rumination) for online behavioral techniques against usual care or waiting list. The forest plot summarizes the results of included studies (sample size, mean, standard deviation (SD), standardized mean differences (SMDs), and weight). The small boxes with the squares represent the point estimate of the effect size and sample size. The lines on either side of the box represent a 95% confidence interval (CI).
3.3.6. Self-Efficacy (vs. Usual Care/Waiting List)
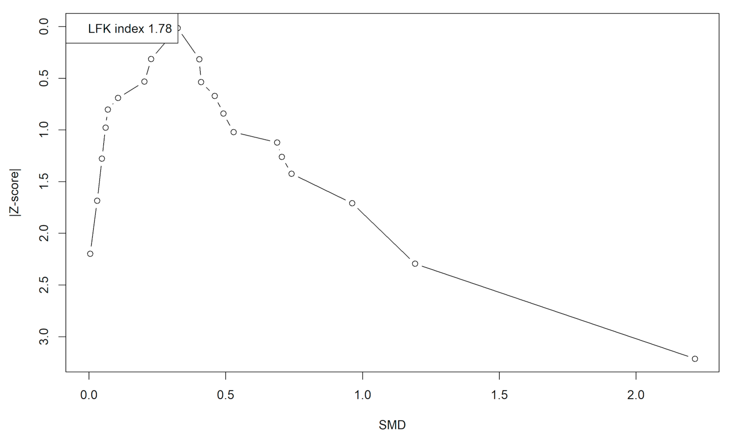
The influence analyses revealed that the study from Kleiboer et al. was an outlier [79] (Appendix K) so, we ran a sensitivity analysis without it. The sensitivity analysis showed a statistically significant small effect size (20 RCTs; n = 2811; SMD = 0.38; 95% CI 0.17, 0.60) of e-BMT on self-efficacy, with a significant heterogeneity (Q = 50.41 (p < 0.01), I2 = 62% (29%, 80%), PI −0.14, 0.91) and a low strength of evidence (Figure 6). Since PI crosses zero, we cannot be confident that future studies will not find contradictory results. The drapery plot revealed that the statistically significance of the results is robust through different p-value functions (Appendix K). With respect to the presence of publication bias, the visual evaluation of the shape of the funnel and Doi plot showed a symmetrical pattern, showing a minor asymmetry (LFK index = 1.78) (Appendix K). When the sensitivity analysis was adjusted for publication bias, there was still a statistically significant small effect (Appendix K). Subgroup analyses are detailed in Table 3.
Figure 6.
Sensitivity analysis of self-efficacy for online behavioral techniques against usual care or waiting list. The forest plot summarizes the results of included studies (sample size, mean, standard deviation (SD), standardized mean differences (SMDs), and weight). The small boxes with the squares represent the point estimate of the effect size and sample size. The lines on either side of the box represent a 95% confidence interval (CI).
4. Discussion
The aim of this systematic review was to assess the effectiveness of e-BMT in pain-related variables in patients with musculoskeletal chronic pain. We found a trivial effect of e-BMT on pain intensity when compared with usual care or waiting list. Subgroup analyses showed that e-BMT seems to be more effective in fibromyalgia, internet-based or an application of more than 1 month. However, e-BMT showed a statistically significant lower improvement in pain intensity than an equivalent in-person BMT. There was a small effect on pain interference, kinesiophobia, and self-efficacy when compared with usual care or waiting list. Subgroup analyses showed that e-BMT seems to be more effective in unspecified chronic pain, CBT or self-management intervention, or an intervention that lasts between 1 and 3 months. There was a small effect on catastrophizing when compared with usual care or waiting list, however, when analyzed per item, all the subscales (helplessness, rumination and magnification and the overall score) showed a small effect in favor of e-BMT.
Dario et al. reviewed the effect of e-BMT on chronic LBP patients and found no effect on pain intensity [27]. We found that e-BMT had an overall significant effect on pain intensity, however, our subgroup analysis revealed no statistically significant effect for chronic LBP which confirms their results. Unlike us, they included only four studies in their meta-analysis. Du et al. reviewed the effect of online self-management on chronic LBP [24]. Unlike us, they found that an online e-BMT has similar effect in pain intensity, nonetheless, in the present systematic review we add a quantitative analysis to confirm that in-person BMT is more effective. We want to emphasize that there are no systematic reviews that provide meta-analyses on the effect of e-BMT, exclusively in adults, compared to usual care/waiting list on different important variables of the chronic pain patient (e.g., catastrophizing, pain interference, kinesiophobia, self-efficacy), nor that provide a quantitative comparison with in-person BMT.
The COVID-19 pandemic has confronted us with an important barrier to the appropriate management of the patient with chronic pain: social distancing [13,14]. Their treatments were undermined by this situation, resulting in a worsening of their condition [13,14]. Despite a current improvement of the COVID-19 pandemic situation, it has not concluded and the future is uncertain [121,122]. This leaves us with a question from which we must learn to prepare ourselves for the future: how to provide an effective rehabilitation to chronic pain patients when it is impossible to be physically present? TR and the use of new technologies appear as a serious answer to this problem and have been recommended worldwide [14,123]. Patients with chronic pain highlight the importance of health professionals to give them the tools to cope with the burden of chronic pain [124]. e-BMT offers the possibility to give to the patient tools to self-manage its condition through the different BMT (e.g., CBT, ACT) whatever the patient’s situation: from geographic isolation to social distancing. In the present systematic review, we found that e-BMT is effective in the management of the patient with chronic pain.
We found that in-person BMT was superior to e-BMT in improving pain intensity. Lewis et al. studied how patients perceived the transition from in-person to online treatment and found that 40% of patients thought the transition to online treatment may have affected the effectiveness of the treatment, and even more, 68% said they would not want to continue online when it would be possible to do so in person [125]. Our results could be explained by some patients’ preference for face-to-face treatment and, therefore, some patients may have the worst expectations about their treatment. Future studies should evaluate patient expectations of e-BMT as a possible confounding factor. Finally, the data must be considered with caution due to the heterogeneity of the sample, although a subgroup analysis was carried out to assess the effect of each intervention within BMTs and also within each specific clinical population. One of the things that the authors reflect on the results obtained is whether they are generalizable to all patients with persistent pain of musculoskeletal origin. The answer would be that it depends. First, it would have to be seen whether or not they have the presence of psychosocial variables such as catastrophic thoughts, movement-related fear or lack of self-efficacy. If these variables are not present, it would make little sense to implement interventions aimed at improving them. However, if they are present and can have an impact on the lives of patients with persistent pain, these tools should be considered. However, future studies are necessary, especially in order to homogenize the sample, something that is always sought after in the treatment of patients with pain.
4.1. Practical implication
About clinical implications, the results showed good results in favor of e-BMT. This gives us an effective treatment window in the COVID-19 era, so we are going to have a greater impact on patients with persistent pain. In addition, there is a decentralization of interventions, which may have some positive effects such as improving and increasing adherence to treatments due to easier accessibility, as well as lowering barriers to access or facilitating follow-up. Future studies should also focus on longer follow-ups to see this effectiveness and evaluate variables such as motivation or adherence to chronic pain treatments. Finally, telemedicine rehabilitation may lead to lower costs for both patients and therapists, which may reduce waiting lists for clinical treatments.
4.2. Limitations
Despite the use of subgroup analyses to study the heterogeneity between studies, the difference between the protocols of e-BMT prevents us to offer to health professionals a specific intervention design to implement. After adjusting for publication bias, our results on pain intensity versus usual care were no more statistically significant, so our results should be interpreted with caution. Our results on pain intensity, pain interference and self-efficacy are supported by only very low to low quality of evidence, true effects might be or are probably different from our estimated effects [126]. No study showed a low risk of bias according to the RoB2 scale, future studies should improve their quality to improve the confidence we can have in their results.
5. Conclusions
Based on the results obtained, e-BMT seems to be an effective option for the management of patients with musculoskeletal conditions with chronic musculoskeletal pain, especially in the era of COVID-19 where social distancing must be privileged. However, it does not appear superior to in-person BMT in terms of improving pain intensity.
Author Contributions
Conceptualization, F.C.-M., L.L.-B. and C.V.-R.; methodology, F.C.-M., C.V.-R. and L.S.-M.; software, C.V.-R.; validation, J.C. (Joaquín Calatayud), M.R.-P., L.L.-B. and J.C. (José Casaña); formal analysis, F.C.-M. and C.V.-R.; investigation, F.C.-M., C.V.-R., L.S.-M., L.L.-B. and J.C. (José Casaña); resources, A.H.-G., J.C. (Joaquín Calatayud) and J.C. (José Casaña); data curation, F.C.-M., L.S.-M., A.H.-G., M.R.-P. and C.V.-R.; writing—original draft preparation, all authors; writing—review and editing, all authors; visualization, all authors; supervision, F.C.-M. and J.C. (José Casaña); project administration, J.C. (José Casaña). All authors have read and agreed to the published version of the manuscript.
Funding
This research received no external funding.
Institutional Review Board Statement
Not applicable.
Informed Consent Statement
Not applicable.
Data Availability Statement
Not applicable.
Conflicts of Interest
The authors declare no conflict of interest.
Appendix A. PRISMA 2020 Flow Diagram

Appendix B. Search Strategies in the Different Electronic Databases
Pubmed—350 results
((“Web”) OR (“ehealth”) OR (“mhealth”) OR (“remote treatment”) OR (“digital treatment”) OR (“Mobile Applications”[MesH]) OR (“Software”[Mesh]) OR (“Online”) OR (“Telephone”) OR (“Cell phone”[MesH]) OR (“eTherapy”) OR (“Internet”) OR (“Online”) OR (“Telerehabilitation”) OR (“Internet-Based Intervention”[MesH]) OR (“Telerehabilitation”[MesH]) OR (Telemedicine[MesH])) AND ((“Chronic Pain”) OR (“Chronic Pain”[Mesh])) AND (randomized controlled trial[pt] OR controlled clinical trial[pt] OR randomized[tiab] OR placebo[tiab] OR clinical trials as topic[mesh:noexp] OR randomly[tiab] OR trial[ti] NOT (animals[mh] NOT humans [mh]) NOT (“protocol”) NOT (“Review”))
CINAHL—173 results
(web or internet or online or mobile or remote treatment or digital treatment or Internet-Based Intervention or Telerehabilitation or Telemedicine) AND (chronic pain or persistent pain or long term pain or long-term pain) AND (randomized controlled trials or rct or randomised control trials) NOT (systematic review or meta-analysis or literature review or review of literature) NOT (pediatric or child or children or infant or adolescent)
Psychology and Behavioral Sciences Collection (EBSCO)—12 results
(web or internet or online or mobile or remote treatment or digital treatment or Internet-Based Intervention or Telerehabilitation or Telemedicine or) AND (chronic pain or persistent pain or long term pain or long-term pain) AND (randomized controlled trials or rct or randomised control trials) NOT (systematic review or meta-analysis or literature review or review of literature) NOT (pediatric)
APA PsychINFO—75 results
(web or websites or internet or online or Online Therapy or mobile or Mobile Applications or remote treatment or digital treatment or Digital Interventions or Internet-Based Intervention or Telerehabilitation or Telemedicine) AND (chronic pain or persistent pain or long term pain or long-term pain) AND (randomized controlled trials or rct or randomised control trials) NOT (systematic review or meta-analysis or literature review or review of literature) NOT (pediatric or child or children or infant or adolescent)
Web of science—49 studies
TI = (Web OR eearth OR melth OR remote treatment OR digital treatment OR Mobile Applications OR Software OR Online OR Telephone OR Cell phone OR estherapy OR Internet OR Online OR Telerehabilitation OR Internet-Based Intervention OR Telerehabilitation OR Telemedicine) AND TI = (Chronic pain) AND TI = (randomi?ed controlled trial* OR rct)
Google Scholar
(“web” OR “online” OR “internet” OR “mobile” OR “telerehabilitation” OR “telemedicine”) AND [allintitle:”chronic pain” OR “persistent pain”] AND (“randomized controlled trial” OR “randomised controlled trial OR “RCT”)-review
Appendix C. Details of the Interventions
| Authors, Year | Intervention | Comparator | ||||
|---|---|---|---|---|---|---|
| Format Equipment and Contact Form | Modality and Content | Duration and Frequency, Follow-Up | Format Equipment | Modality and Content | Duration and Frequency, Follow-Up | |
| Amorim et al., 2019 | Mobile application Written, pedometer Telephone call, message | Physical exercise, activity tracker, lessons
| 6 months 1 face-to-face interview andROMANIA2 calls/monthROMANIAFollow-up: N/A | Recommendations Written, brief advice |
| 6 months N/A Follow-up: N/A |
| Berman et al., 2009 | Internet-basedr Images, audio | Self-care. Mind-body exercises and lessons
| 6 weeks ≥ 1 session/week Follow-up: N/A | No intervention N/A | N/A | N/A N/A Follow-up: N/A |
| Boselie et al., 2018 | Internet-based Online platform Telephone call, email | Positive psychology exercises
| 8 weeks Call: weeks 1, 3, 5,7 Email: weeks 2, 4, 6, 8 Follow-up: N/A | Waiting list N/A | N/A | N/A N/A Follow-up: N/A |
| Bossen et al., 2013 | Internet-based Written, video | Behavior graded activity and exercises
| 9 weeks ≥ 1 session/week Follow-up: 12 weeks | Waiting list N/A | N/A | N/A N/A Follow-up: 12 weeks |
| Brattberg, 2008 | Internet-based Written Telephone call, email | Self-management. Emotional Freedom Techniques Self-monitoring of outcome of behavior | 8 weeks 1 time/day Follow-up: N/A | Waiting list | N/A | N/A N/A Follow-up: N/A |
| Bromberg et al., 2012 | Internet-based +usual care Written | Behavior change, physical activity, lessons
| 6 months ≥ 2 sessions/week (first 4 weeks) ≥ 1 sessions/month (final 5 month) Follow-up: N/A | Usual care N/A |
| N/A N/A Follow-up: N/A |
| Buhrman et al., 2004 | Internet-based Slideshow, audio Telephone call | CBT. Physical and psychological exercises, relaxation
| 6 weeks 1 call/week Follow-up: 3 months | Waiting list N/A | N/A | N/A N/A Follow-up: 3 months |
| Buhrman et al., 2011 | Internet-based Written | CBT. Physical exercise, relaxation, cognitive skills
| 8 weeks N/R Follow-up: 12 weeks | Waiting list N/A | N/A | N/A N/A Follow-up: 12 weeks |
| Calner et al., 2017 and Nordin et al., 2016 | Internet-based + multimodal rehabilitation Written, video No contact | Behavior, change, lessons, homework
| 6–8 weeks Internet-based: 1 lesson/week Multimodal: 2–3 sessions/week Follow-up: 12 months | Multimodal rehabilitation N/A |
| 6–8 weeks 2–3 session/week Follow-up: 12 months |
| Carpenter et al., 2012 | Internet-based Written, images, audio | CBT and pain education. Lessons, homework, relaxation
| 3 weeks 2 lessons/week Follow-up: 6 weeks | Waiting list N/A | N/A | N/A N/A Follow-up: 6 weeks |
| Chabbra et al., 2018 | Mobile application Written N/R | Self-management—Physical exercise
| 12 weeks N/R Follow-up: N/A | Usual care Written |
| 12 weeks N/A Follow-up: N/A |
| Chiauzzi et al., 2010 | Internet-based Written | CBT and self-management. Lessons, homework
| 4 weeks 2 sessions/week Follow-up: 6 months | Recommendations Written |
| 4 weeks N/A Follow-up: 6 months |
| Choi et al., 2019 | Mobile application + NSAIDs Video, audio N/R | Physical exercise, NSAIDs
| 2 months 2–3 times/day Follow-up: 3 months | Physical exercise, NSAIDs Images | Exercise
| 2 months 2–3 times/day Follow-up: 3 months |
| De Boer et al., 2014 | Internet-based Multimedia applications Telephone call, email | CBT. Lessons, homework and relaxation
| 7 weeks 1 session/week Email: after modules 2, 4, 7, 8 Follow-up: 2 months | Face-to-face Book |
| 7 weeks 1 session/week Follow-up: 2 months |
| Dear et al., 2013 | Internet-based Written Telephone call | CBT. Lessons, homework
| 8 weeks 1 lesson/7–10 days 1 call/week Follow-up: 3 months | Waiting list N/A | N/A | N/A N/A Follow-up: 3 months |
| Dear et al., 2015 | Internet-based
Telephone call, email | CBT. Lessons, homework
| 8 weeks 1 lesson/7–10 days G1: 1 call/week G2: as-needed calls G3: no contact Follow-up: 3 months | Waiting list N/A | N/A | N/A N/A Follow-up: 3 months |
| Ferwerda et al., 2017 | Internet-based Written | CBT. Lessons, homework
| 17 to 32 weeks 1 email/1–2 weeks Follow-up: 12 months | Usual care N/R |
| N/R N/R Follow-up: 12 months |
| Friesen et al., 2017 | Internet-based Slideshow Telephone call, email | CBT. Lessons, homework
| 8 weeks 1 email and call/week Follow-up: N/A | Waiting list N/A | N/A | N/A N/A Follow up: N/A |
| Gardner-Nix et al., 2008 | Videoconferencing N/R N/R | Mindfulness lessons
| 10 weeks 2 h/week Follow-up: N/A | G1: Face-to-face N/R G2: Waiting list N/A |
| G1: 10 weeks 2 h/week G2: N/A Follow-up: N/A |
| Gialanella et al., 2017 and 2020 | Telephone call Written, images Telephone call | Physical exercise
| 6 months ≥2 calls/month Follow-up: 12 months | Physical exercise + recommendations N/R |
| 6 months N/A Follow-up: 12 months |
| Guarino et al., 2018 | Internet-based + usual care Written, images, audio Telephone call, email | CBT. Lessons, relaxation
| 12 weeks 2 lessons/week Follow-up: 3 months | Usual care N/A |
| 12 weeks N/A Follow-up: 3 months |
| Heapy et al., 2017 | Interactive voice response Written, images, audio, pedometer Telephone call | CTB. Lessons, relaxation
| 10 weeks 1 call/day Follow-up: 9 months | Face-to-face Written, images, audio, pedometer | CBT. Lessons, relaxation
| 10 weeks 1 session/week Follow-up: 9 months |
| Hedman-Lagerlöf et al., 2018 | Internet-based Written Telephone call, message | Lessons, homework, mindfulness
| 10 weeks 1–3 contacts/week Follow-up: 12 months | Waiting list N/A | N/A | N/A N/A Follow-up: 12 months |
| Herbert et al., 2017 | Videoconferencing Written N/R | ACT. Mindfulness, lessons
| 8 weeks 1 session/week Follow-up: 6 months | Face-to-face Written | ACT. Mindfulness, lessons
| 8 weeks 1 session/week Follow-up: 6 months |
| Hernando-Garijo et al., 2021 | Videoconferencing + usual care Video Video call | Aerobic exercise
| 15 weeks 2 session/week Follow-up: N/A | Usual care N/A |
| 15 weeks N/A Follow-up: NA |
| Juhlin et al., 2021 | Internet-based Digital platform Message | Person-centered intervention. Physical and psychological exercises
| 6 months 1 contact/week Follow-up: N/A | Face-to-face (1 session) N/A |
| 6 months N/A Follow-up: N/A |
| Kleiboer et al., 2014 | Internet-based Written, audio, video | Behavioral training. Exercises, lessons, homework, relaxation
| 3.6 months on average 8 lessons, 1 lesson/7–10 days Follow-up: N/A | Waiting list N/A | N/A | N/A N/A Follow-up: N/A |
| Krein et al., 2013 | Internet-based + pedometer Written, imagen, digital platform Message, discussion group | E-community. Step-count, lessons
| N/R 1 upload data/week Follow-up: 12 month | Pedometer N/A |
| N/R 1 upload data/month Follow-up: 12 month |
| Lin et al., 2017 | Internet-based Written, audio, video Email, message | ACT. Lessons, mindfulness
| 9 weeks 1 session/week Follow-up: 6 months | Waiting list N/A | N/A | N/A N/A Follow-up: 6 months |
| Lorig et al., 2002 | Internet-based Written, video Email discussion group | E-community. Physical exercises, lessons
| 6 weeks Frequency determined by user interactions Follow-up: 12 months | Usual care N/A |
| 6 weeks N/A Follow-up: 12 months |
| Lorig et al., 2008 | Internet-based Written Email, internet chat | Self-management. Physical exercise, lessons, relaxation
| 6 weeks ≥3 sessions/week Follow-up: 12 months | Usual care N/A |
| 6 weeks N/A Follow-up: 12 months |
| Maisiak et al., 1996 | Telephone call Written Telephone call, email | Counseling strategy
| 9 months 2 contact/month (first 3 months) 1 contact/month (final 6 months) Follow-up: N/A | Usual care N/A |
| 9 months N/A Follow-up: N/A |
| Moessner et al., 2012 | Internet-based N/R Internet guided chat | Self-monitoring. Lessons
| 12–15 weeks 1 session/week Follow-up: 6 months | Usual care N/A | N/R | 12–15 weeks 1 session/week Follow-up: 6 months |
| Odole and Ojo, 2013 and 2014 | Telephone call N/R Telephone call | Physical therapy: exercises
| 6 weeks 3 calls/week Follow-up: N/A | Face-to-face N/A |
| 6 weeks 3 sessions/week Follow-up: N/A |
| Peters et al., 2017 | Internet-based Written Telephone call, email | G1: Positive psychology. Psychological exercises
| 8 weeks 1 lesson/week Call: weeks 1, 3, 5, 7 Email: weeks: 2, 4, 6, 8 Follow-up: 6 months | Waiting list N/A | N/A | N/A N/A Follow-up: 6 months |
| Petrozzi et al., 2019 | Internet-based + usual care Written Telephone call | CBT. Lessons, homework
| 8 weeks 1 lesson/week 1 call/week Follow-up: 12 months | Usual care N/A |
| 8 weeks 12 sessions (variable frequency) Follow-up: 12 months |
| Rickardsson et al., 2021 | Internet-based Written, image, audio Telephone call, message | ACT. Lessons
| 8 weeks 7 sessions/week ≥2 messages/week Follow-up: 12 months | Waiting list N/A |
| N/A N/A Follow-up: 12 months |
| Ruehlman et al., 2012 | Internet-based Written, image Email, message | Self-management + e-community. Physical exercise, lessons, homework, relaxation
| 6 weeks N/R Follow-up: 14 weeks | Usual care N/A | N/R | 6 weeks N/A Follow-up: 14 weeks |
| Sander et al., 2020 | Internet-based + usual care Written, audio, video Telephone call, email, message | CBT. Lessons, homework, relaxation
| 9 weeks 7 sessions/week Follow-up: 12 months | Usual care N/A |
| 9 weeks N/R Follow-up: 12 months |
| Schlickler et al., 2020 | Internet-based + mobile-based N/R Email, message | CBT. Lessons, mindfulness, relaxation
| 9 weeks 7 lessons/week Follow-up: 6 months | Waiting list N/A | N/A | N/A N/A Follow-up: 6 months |
| Schulz et al., 2007 | Internet-based Multimedia materials Email, forum | Physical exercise, lessons, homework
| 5 months N/R Follow-up: N/A | No treatment N/A | N/A | N/A N/A Follow-up: N/A |
| Scott et al., 2018 | Internet-based + usual care Video Telephone call, email | ACT. Lessons
| 5 weeks 2 lesson/week (first 3 weeks), 1 lesson/week (final 2 weeks) Follow-up: 9 months | Usual care N/A |
| 5 weeks N/A Follow-up: 9 months |
| Shigaki et al., 2013 | Internet-based Slideshow Telephone call, message, online chat | Lessons, homework
| 10 weeks 1 lesson/week 1 call/week Follow-up: N/A | Waiting list | N/A | N/A N/A Follow-up: N/A |
| Simister al., 2018 | Internet-based + usual care Written, audio, video | ACT. Lessons, homework
| 8 weeks N/R Follow-up: 3 months | Usual care N/A |
| 8 weeks N/A Follow-up: 3 months |
| Smith et al., 2019 | Internet-based Written, image, audio, video Telephone call, email | CBT and self-management. Multidisciplinary program with physical exercise, lessons, homework, relaxation
Physical therapy, psychologist | 4 months 2 lessons/month Follow-up: 7 months | Usual care N/A |
| 4 months N/A Follow-up: 7 months |
| Ström et al., 2000 | Internet-based Written | Lessons, relaxation
| 6 weeks 1 lesson/week Follow-up: N/A | Waiting list N/A | N/A | N/A N/A Follow-up: N/A |
| Tavallaei et al., 2018 | Internet-based Written N/R | Mindfulness-based stress reduction bibliotherapy
| 8 weeks 1 lesson/week Follow-up: N/A | Usual care N/A |
| 8 weeks N/A Follow-up: N/A |
| Trompetter et al., 2015 | Internet-based Written | ACT. Lessons, mindfulness
| 3 months ≥ 3 h/week Follow-up: 6 months | Waiting list N/A | N/A | N/A N/A Follow-up: 6 months |
| Trudeau et al., 2015 | Internet-based Multimedia materials Telephone call, email | Self-management. Lessons
| 6 months ≥2 sessions/week (1 month) 1 session/month (5 months) Follow-up: N/A | Waiting list N/A | N/A | N/A N/A Follow-up: N/A |
| Vallejo et al., 2015 | Internet-based + usual care Written, images, audio Message | CBT. Lessons, homework, relaxation
| 10 weeks 1 session/week Follow-up: 12 months | G1: Face-to-face + usual care Written, images, audio G2: Usual care N/A | G1: CBT. Lessons, homework, relaxation
| 10 weeks G1: 1 session/week G2: N/A Follow-up (only G1): 12 months |
| Westenberg et al., 2018 | Internet-based Written, video N/R | Mindfulness
| 60-s video N/R Follow-up: N/A | Attention control Written |
| 60-s read N/R Follow-up: N/A |
| Williams et al., 2010 | Internet-based + usual care Written, audio, video No contact | Self-management. Lessons, homework, relaxation
| 6 months N/R Follow-up: N/A | Usual care |
| 6 months N/A Follow-up: N/A |
| Wilson et al., 2015 | Internet-based N/R N/R | Self-management. Lessons, exercises, relaxation
| 8 weeks N/R Follow-up: N/A | Usual care N/A | N/A | 8 weeks N/R Follow-up: N/A |
| Wilson et al., 2018 | Internet-based Written Interactive activity | Self-management. Lessons, homework
| 8 weeks N/R Follow-up: N/A | Waiting list Written |
| 8 weeks 1 email/week Follow-up: N/A |
| Yang et al., 2019 | Mobile application + face-to-face N/R | Self-management. Physical exercise
| 4 weeks Exercises: 4 times/week Physiotherapy: N/R Follow-up: N/A | Face-to-face N/A |
| 4 weeks N/R Follow-up: N/A |
Abbreviatures: ACT: Acceptance and Commitment therapy; CBT: Cognitive-behavioral therapy; N/A: Not applicable; N/R: Not reported; NSAIDs: Nonsteroidal anti-inflammatory drugs.
Appendix D. Assessment of the Studies Quality Based on PEDro Scale
| Items | ||||||||||||
|---|---|---|---|---|---|---|---|---|---|---|---|---|
| Articles | 1 | 2 | 3 | 4 | 5 | 6 | 7 | 8 | 9 | 10 | 11 | Total |
| Amorim et al., 2019 | 1 | 1 | 1 | 0 | 0 | 1 | 0 | 1 | 1 | 1 | 7 | |
| Berman et al., 2009 | 1 | 0 | 1 | 0 | 0 | 0 | 1 | 0 | 1 | 1 | 5 | |
| Boselie et al., 2018 | 1 | 0 | 1 | 0 | 0 | 0 | 0 | 0 | 1 | 1 | 4 | |
| Bossen et al., 2013 | 1 | 1 | 1 | 0 | 0 | 0 | 0 | 1 | 1 | 1 | 6 | |
| Brattberg, 2008 | 1 | 1 | 1 | 0 | 0 | 0 | 1 | 1 | 1 | 1 | 7 | |
| Bromberg et al., 2012 | 1 | 0 | 1 | 0 | 0 | 0 | 1 | 1 | 1 | 1 | 6 | |
| Buhrman et al., 2004 | 1 | 0 | 1 | 0 | 0 | 0 | 1 | 0 | 1 | 1 | 5 | |
| Buhrman et al., 2011 | 1 | 1 | 1 | 0 | 0 | 0 | 1 | 1 | 1 | 1 | 7 | |
| Calner et al., 2017 | 1 | 1 | 1 | 0 | 0 | 0 | 0 | 0 | 1 | 1 | 5 | |
| Carpenter et al., 2012 | 1 | 0 | 1 | 0 | 0 | 0 | 1 | 0 | 1 | 1 | 5 | |
| Chhabra et al., 2018 | 1 | 1 | 1 | 0 | 0 | 1 | 1 | 1 | 1 | 1 | 8 | |
| Chiauzzi et al., 2010 | 1 | 0 | 1 | 0 | 0 | 0 | 1 | 1 | 1 | 1 | 6 | |
| Choi et al., 2019 | 1 | 1 | 1 | 0 | 0 | 0 | 1 | 1 | 1 | 1 | 7 | |
| De Boer et al., 2014 | 1 | 0 | 1 | 0 | 0 | 0 | 1 | 0 | 1 | 1 | 5 | |
| Dear et al., 2013 | 1 | 0 | 1 | 0 | 0 | 0 | 1 | 0 | 1 | 1 | 5 | |
| Dear et al., 2015 | 1 | 1 | 1 | 0 | 0 | 0 | 1 | 0 | 1 | 1 | 6 | |
| Ferwerda et al., 2017 | 1 | 1 | 1 | 0 | 0 | 0 | 1 | 1 | 1 | 1 | 7 | |
| Friesen et al., 2017 | 1 | 1 | 1 | 0 | 0 | 0 | 1 | 0 | 1 | 1 | 6 | |
| Gardner-Nix et al., 2008 | 1 | 0 | 1 | 0 | 0 | 0 | 1 | 0 | 1 | 1 | 5 | |
| Gialanella et al., 2017 | 1 | 0 | 1 | 0 | 0 | 0 | 1 | 0 | 1 | 1 | 5 | |
| Gialanella et al., 2020 | 1 | 1 | 1 | 0 | 0 | 0 | 1 | 0 | 1 | 1 | 6 | |
| Guarino et al., 2018 | 1 | 0 | 1 | 0 | 0 | 0 | 1 | 0 | 1 | 1 | 5 | |
| Heapy et al., 2017 | 1 | 1 | 1 | 0 | 0 | 0 | 0 | 1 | 1 | 1 | 6 | |
| Hedman-Lagerlöf et al., 2018 | 1 | 1 | 1 | 0 | 0 | 0 | 1 | 0 | 1 | 1 | 6 | |
| Herbert et al., 2017 | 1 | 0 | 1 | 0 | 0 | 1 | 1 | 1 | 1 | 1 | 7 | |
| Hernando-Garijo et al., 2021 | 1 | 0 | 1 | 0 | 0 | 1 | 1 | 1 | 1 | 1 | 7 | |
| Juhlin et al., 2021 | 1 | 1 | 1 | 0 | 0 | 0 | 0 | 1 | 1 | 1 | 6 | |
| Kleiboer et al., 2014 | 1 | 1 | 1 | 0 | 0 | 0 | 1 | 1 | 1 | 1 | 7 | |
| Krein et al., 2013 | 1 | 1 | 1 | 0 | 0 | 0 | 1 | 1 | 1 | 1 | 7 | |
| Lin et al., 2017 | 1 | 1 | 1 | 0 | 0 | 0 | 0 | 1 | 1 | 1 | 6 | |
| Lorig et al., 2002 | 1 | 0 | 1 | 0 | 0 | 0 | 1 | 1 | 1 | 1 | 6 | |
| Lorig et al., 2008 | 1 | 0 | 1 | 0 | 0 | 0 | 0 | 1 | 1 | 1 | 5 | |
| Maisiak et al., 1996 | 1 | 0 | 1 | 0 | 0 | 1 | 1 | 0 | 1 | 1 | 6 | |
| Moessner et al., 2012 | 1 | 0 | 1 | 0 | 0 | 0 | 0 | 1 | 1 | 1 | 5 | |
| Nordin et al., 2016 | 1 | 1 | 1 | 0 | 0 | 0 | 1 | 1 | 1 | 1 | 7 | |
| Odole and Ojo, 2013 | 1 | 0 | 1 | 0 | 0 | 0 | 1 | 0 | 1 | 1 | 5 | |
| Odole and Ojo, 2014 | 1 | 0 | 1 | 0 | 0 | 0 | 1 | 0 | 1 | 1 | 5 | |
| Peters et al., 2017 | 1 | 0 | 1 | 0 | 0 | 0 | 0 | 1 | 1 | 1 | 5 | |
| Petrozzi et al., 2019 | 1 | 1 | 1 | 0 | 0 | 0 | 1 | 1 | 1 | 1 | 7 | |
| Rickardsson et al., 2021 | 1 | 1 | 1 | 0 | 0 | 0 | 1 | 1 | 1 | 1 | 7 | |
| Ruehlman et al., 2012 | 1 | 0 | 1 | 0 | 0 | 0 | 0 | 1 | 1 | 1 | 5 | |
| Sander et al., 2020 | 1 | 1 | 1 | 0 | 0 | 1 | 0 | 1 | 1 | 1 | 7 | |
| Schlicker et al., 2020 | 1 | 0 | 1 | 0 | 0 | 0 | 1 | 1 | 1 | 1 | 6 | |
| Schulz et al., 2007 | 1 | 0 | 1 | 0 | 0 | 0 | 0 | 1 | 1 | 1 | 5 | |
| Scott et al., 2018 | 1 | 1 | 1 | 0 | 0 | 0 | 1 | 1 | 1 | 1 | 7 | |
| Shigaki et al., 2013 | 1 | 0 | 0 | 0 | 0 | 0 | 1 | 0 | 1 | 1 | 4 | |
| Simister et al., 2018 | 1 | 1 | 1 | 0 | 0 | 0 | 1 | 1 | 1 | 1 | 7 | |
| Smith et al., 2019 | 1 | 0 | 1 | 0 | 0 | 1 | 0 | 1 | 1 | 1 | 6 | |
| Ström et al., 2000 | 1 | 0 | 1 | 0 | 0 | 0 | 0 | 1 | 1 | 1 | 5 | |
| Tavallaei et al., 2018 | 1 | 0 | 0 | 0 | 0 | 0 | 1 | 0 | 1 | 1 | 4 | |
| Trompetter et al., 2015 | 1 | 0 | 1 | 0 | 0 | 0 | 1 | 1 | 1 | 1 | 6 | |
| Trudeau et al., 2015 | 1 | 1 | 1 | 0 | 0 | 0 | 1 | 1 | 1 | 1 | 7 | |
| Vallejo et al., 2015 | 1 | 0 | 1 | 0 | 0 | 0 | 1 | 1 | 1 | 1 | 6 | |
| Westenberg et al., 2018 | 1 | 0 | 1 | 1 | 0 | 0 | 1 | 1 | 1 | 1 | 7 | |
| Williams et al., 2010 | 1 | 1 | 1 | 0 | 0 | 0 | 1 | 1 | 1 | 1 | 7 | |
| Wilson et al., 2015 | 1 | 0 | 1 | 0 | 0 | 0 | 0 | 1 | 1 | 1 | 5 | |
| Wilson et al., 2018 | 1 | 0 | 1 | 0 | 0 | 0 | 0 | 0 | 1 | 1 | 4 | |
| Yang et al., 2019 | 1 | 1 | 1 | 0 | 0 | 0 | 0 | 1 | 1 | 1 | 6 | |
Notes: 1: subject choice criteria are specified; 2: random assignment of subjects to groups; 3: hidden assignment; 4: groups were similar at baseline; 5: all subjects were blinded; 6: all therapists were blinded; 7: all evaluators were blinded; 8: measures of at least one of the key outcomes were obtained from more than 85% of baseline subjects; 9: intention-to-treat analysis was performed; 10: results from statistical comparisons between groups were reported for at least one key outcome; 11: the study provides point and variability measures for at least one key outcome. 1: item 1 does not contribute to the final score.
Appendix E. Risk of Bias Summary according to the ROB2 Scale


Appendix F. Statistical Exploration of Heterogeneity, Outliers, Robustness and Publication Bias for the Pain Intensity Variable
Forest plot with all the studies

Influence analyses of all the studies

Leave-one-out figure of all the studies

Contour-enhanced funnel plot of the studies included in the sensitivity analysis

Doi plot and LFK index of the studies included in the sensitivity analysis

Drapery plot of the studies included in the sensitivity analysis

Contour-enhanced funnel plot of the studies included in the sensitivity analysis and the studies filled to adjust for publication bias

Forest plot of the studies included in the sensitivity analysis and the studies filled to adjust for publication bias

Appendix G. Statistical Exploration of Heterogeneity, Outliers, Robustness and Publication Bias for the Pain Intensity Variable (e-BMT vs. In-Person BMT)
Influence Analyses of all the studies

Leave-one-out figure of all the studies

Contour-enhanced funnel plot of all the studies

Doi plot and LFK index of all the studies

Drapery plot of all the studies

Contour-enhanced funnel plot of the studies included in the sensitivity analysis and the studies filled to adjust for publication bias. The Trim and Fill Method did not add any study.

Forest plot of the studies included in the sensitivity analysis and the studies filled to adjust for publication bias. The Trim and Fill Method did not add any study.

Appendix H. Statistical Exploration of Heterogeneity, Outliers, Robustness and Publication Bias for the Pain Interference Variable
Influence Analyses of all the studies

Leave-one-out figure of all the studies

Contour-enhanced funnel plot of all the studies

Doi plot and LFK index of all the studies

Drapery plot of all the studies

Appendix I. Statistical Exploration of Heterogeneity, Outliers, Robustness and Publication Bias for the Kinesiophobia Variable
Forest plot of all studies

Influence analyses of all studies

Leave-one-out figure of all studies

Contour-enhanced funnel plot of the studies included in the sensitivity analysis

Doi plot and LFK index of the studies included in the sensitivity analysis

Drapery plot of all studies of the studies included in the sensitivity analysis

Contour-enhanced funnel plot of the studies included in the sensitivity analysis and the studies filled to adjust for publication bias

Forest plot of the studies included in the sensitivity analysis and the studies filled to adjust for publication bias

Appendix J. Statistical Exploration of Heterogeneity, Outliers, Robustness and Publication Bias for the Catastrophizing Variable
Forest plot of all studies

Influence analyses of all the studies for the Overall score subgroup

Leave-one-out figure of all the studies for the Overall score subgroup

Influence Analyses of all the studies for the Helplessness score subgroup

Leave-one-out figure of all the studies for the Helplessness score subgroup

Influence analyses of all the studies for the Magnification score subgroup

Leave-one-out figure of all the studies for the Magnification score subgroup

Influence Analyses of all the studies for the Rumination score subgroup

Leave-one-out figure of all the studies for the Rumination score subgroup

Contour-enhanced funnel plot of the studies included in the sensitivity analysis

Doi plot and LFK index of the studies included in the sensitivity analysis

Drapery plot of the studies included in the sensitivity analysis

Appendix K. Statistical Exploration of Heterogeneity, Outliers, Robustness and Publication Bias for the Self-Efficacy
Forest plot of all studies

Influence analyses of all studies

Leave-one-out figure of all studies

Contour-enhanced funnel plot of the sensitivity analysis

Doi plot and LFK index of all studies

Drapery plot of all studies

Contour-enhanced funnel plot of the studies included in the sensitivity analysis and the studies filled to adjust for publication bias

Forest plot of the studies included in the sensitivity analysis and the studies filled to adjust for publication bias

References
- Wade, D.T. Rehabilitation after COVID-19: An evidence-based approach. Clin. Med. 2020, 20, 359. [Google Scholar] [CrossRef] [PubMed]
- Mechanic, O.J.; Persaud, Y.; Kimball, A.B. Telehealth Systems. In Treasure Island; StatPearls Publishing LLC: Treasure Island, FL, USA, 2021. [Google Scholar]
- Mead, N.; Bower, P. Patient-centredness: A conceptual framework and review of the empirical literature. Soc. Sci. Med. 2000, 51, 1087–1110. [Google Scholar] [CrossRef]
- Pear, J.J.; Martin, G.L. Behavior Modification, Behavior Therapy, Applied Behavior Analysis and Learning. In Encyclopedia of the Sciences of Learning; Seel, N.M., Ed.; Springer: Boston, MA, USA, 2012. [Google Scholar] [CrossRef]
- Moyer, R.; Ikert, K.; Long, K.; Marsh, J. The Value of Preoperative Exercise and Education for Patients Undergoing Total Hip and Knee Arthroplasty: A Systematic Review and Meta-Analysis. JBJS Rev. 2017, 5, e2. [Google Scholar] [CrossRef] [PubMed]
- Bunzli, S.; Gillham, D.; Esterman, A. Physiotherapy-provided operant conditioning in the management of low back pain disability: A systematic review. Physiother. Res. Int. 2011, 16, 4–19. [Google Scholar] [CrossRef]
- Willett, M.; Duda, J.; Fenton, S.; Gautrey, C.; Greig, C.; Rushton, A. Effectiveness of behaviour change techniques in physiotherapy interventions to promote physical activity adherence in lower limb osteoarthritis patients: A systematic review. PLoS ONE 2019, 14, e0219482. [Google Scholar] [CrossRef]
- Meade, L.B.; Bearne, L.M.; Sweeney, L.H.; Alageel, S.H.; Godfrey, E.L. Behaviour change techniques associated with adherence to prescribed exercise in patients with persistent musculoskeletal pain: Systematic review. Br. J. Health Psychol. 2019, 24, 10–30. [Google Scholar] [CrossRef]
- Marley, J.; Tully, M.A.; Porter-Armstrong, A.; Bunting, B.; O’Hanlon, J.; Atkins, L.; Howes, S.; McDonough, S.M. The effectiveness of interventions aimed at increasing physical activity in adults with persistent musculoskeletal pain: A systematic review and meta-analysis. BMC Musculoskelet. Disord. 2017, 18, 482. [Google Scholar] [CrossRef] [Green Version]
- Button, K.; Roos, P.E.; Spasić, I.; Adamson, P.; van Deursen, R.W.M. The clinical effectiveness of self-care interventions with an exercise component to manage knee conditions: A systematic review. Knee 2015, 22, 360–371. [Google Scholar] [CrossRef] [Green Version]
- Leite, H.; Hodgkinson, I.R.; Gruber, T. New development: ‘Healing at a distance’—Telemedicine and COVID-19. Public Money Manag. 2020, 40, 483–485. [Google Scholar] [CrossRef] [Green Version]
- Smith, A.C.; Thomas, E.; Snoswell, C.L.; Haydon, H.; Mehrotra, A.; Clemensen, J.; Caffery, L.J. Telehealth for global emergencies: Implications for coronavirus disease 2019 (COVID-19). J. Telemed. Telecare 2020, 26, 309–313. [Google Scholar] [CrossRef] [Green Version]
- Lacasse, A.; Pagé, M.G.; Dassieu, L.; Sourial, N.; Janelle-Montcalm, A.; Dorais, M.; Nguena Nguefack, H.L.; Godbout-Parent, M.; Hudspith, M.; Moor, G.; et al. Impact of the COVID-19 pandemic on the pharmacological, physical, and psychological treatments of pain: Findings from the Chronic Pain & COVID-19 Pan-Canadian Study. Pain Rep. 2021, 6, e891. [Google Scholar]
- Eccleston, C.; Blyth, F.M.; Dear, B.F.; Fisher, E.A.; Keefe, F.J.; Lynch, M.E.; Palermo, T.M.; Reid, M.C.; de C Williams, A.C. Managing patients with chronic pain during the COVID-19 outbreak: Considerations for the rapid introduction of remotely supported (eHealth) pain management services. Pain 2020, 161, 889–893. [Google Scholar] [CrossRef] [PubMed]
- Nieto, R.; Pardo, R.; Sora, B.; Feliu-Soler, A.; Luciano, J.V. Impact of COVID-19 Lockdown Measures on Spanish People with Chronic Pain: An Online Study Survey. J. Clin. Med. 2020, 9, 3558. [Google Scholar] [CrossRef] [PubMed]
- Karos, K.; McParland, J.L.; Bunzli, S.; Devan, H.; Hirsh, A.; Kapos, F.P.; Keogh, E.; Moore, D.; Tracy, L.M.; Ashton-James, C.E. The social threats of COVID-19 for people with chronic pain. Pain 2020, 161, 2229–2235. [Google Scholar] [CrossRef]
- Varangot-Reille, C.; Suso-Martí, L.; Romero-Palau, M.; Suárez-Pastor, P.; Cuenca-Martínez, F. Effects of Different Therapeutic Exercise Modalities on Migraine or Tension-Type Headache: A Systematic Review and Meta-Analysis with a Replicability Analysis. J. Pain 2021. [Google Scholar] [CrossRef]
- Coulter, I.D.; Crawford, C.; Hurwitz, E.L.; Vernon, H.; Khorsan, R.; Suttorp Booth, M.; Herman, P.M. Manipulation and mobilization for treating chronic low back pain: A systematic review and meta-analysis. Spine J. 2018, 18, 866–879. [Google Scholar] [CrossRef] [Green Version]
- Panunzio, A.; Tafuri, A.; Mazzucato, G.; Cerrato, C.; Orlando, R.; Pagliarulo, V.; Antonelli, A.; Cerruto, M.A. Botulinum Toxin-A Injection in Chronic Pelvic Pain Syndrome Treatment: A Systematic Review and Pooled Meta-Analysis. Toxins 2022, 14, 25. [Google Scholar] [CrossRef]
- Varangot-Reille, C.; Suso-Martí, L.; Dubuis, V.; Cuenca-Martínez, F.; Blanco-Díaz, M.; Salar-Andreu, C.; Casaña, J.; Calatayud, J. Exercise and Manual Therapy for the Treatment of Primary Headache: An Umbrella and Mapping Review. Phys. Ther. 2022. [Google Scholar] [CrossRef]
- Dupeyron, A.; Ribinik, P.; Gélis, A.; Genty, M.; Claus, D.; Hérisson, C.; Coudeyre, E. Education in the management of low back pain: Literature review and recall of key recommendations for practice. Ann. Phys. Rehabil. Med. 2011, 54, 319–335. [Google Scholar] [CrossRef] [Green Version]
- Wood, L.; Hendrick, P.A. A systematic review and meta-analysis of pain neuroscience education for chronic low back pain: Short-and long-term outcomes of pain and disability. Eur. J. Pain 2019, 23, 234–249. [Google Scholar] [CrossRef]
- Hall, M.; Dobson, F.; Plinsinga, M.; Mailloux, C.; Starkey, S.; Smits, E.; Hodges, P.; Vicenzino, B.; Schabrun, S.M.; Masse-Alarie, H. Effect of exercise on pain processing and motor output in people with knee osteoarthritis: A systematic review and meta-analysis. Osteoarthr. Cartil. 2020, 28, 1501–1513. [Google Scholar] [CrossRef] [PubMed]
- Du, S.; Hu, L.; Dong, J.; Xu, G.; Chen, X.; Jin, S.; Zhang, H.; Yin, H. Self-management program for chronic low back pain: A systematic review and meta-analysis. Patient Educ. Couns. 2017, 100, 37–49. [Google Scholar] [CrossRef] [PubMed]
- Ariza-Mateos, M.J.; Cabrera-Martos, I.; Prados-Román, E.; Granados-Santiago, M.; Rodríguez-Torres, J.; Carmen Valenza, M. A systematic review of internet-based interventions for women with chronic pain. Br. J. Occup. Ther. 2020, 84, 6–14. [Google Scholar] [CrossRef]
- White, V.; Linardon, J.; Stone, J.E.; Holmes-Truscott, E.; Olive, L.; Mikocka-Walus, A.; Hendrieckx, C.; Evans, S.; Speight, J. Online psychological interventions to reduce symptoms of depression, anxiety, and general distress in those with chronic health conditions: A systematic review and meta-analysis of randomized controlled trials. Psychol. Med. 2022, 52, 548–573. [Google Scholar] [CrossRef]
- Dario, A.B.; Moreti Cabral, A.; Almeida, L.; Ferreira, M.L.; Refshauge, K.; Simic, M.; Pappas, E.; Ferreira, P.H. Effectiveness of telehealth-based interventions in the management of non-specific low back pain: A systematic review with meta-analysis. Spine J. 2017, 17, 1342–1351. [Google Scholar] [CrossRef]
- Page, M.J.; McKenzie, J.E.; Bossuyt, P.M.; Boutron, I.; Hoffmann, T.C.; Mulrow, C.D.; Shamseer, L.; Tetzlaff, J.M.; Akl, E.A.; Brennan, S.E.; et al. The PRISMA 2020 statement: An updated guideline for reporting systematic reviews. BMJ 2021, 372, n71. [Google Scholar]
- Stone, P.W. Popping the (PICO) question in research and evidence-based practice. Appl. Nurs. Res. 2002, 15, 197–198. [Google Scholar] [CrossRef]
- Shariff, S.Z.; Bejaimal, S.A.; Sontrop, J.M.; Iansavichus, A.V.; Haynes, R.B.; Weir, M.A.; Garg, A.X. Retrieving clinical evidence: A comparison of PubMed and Google Scholar for quick clinical searches. J. Med. Internet Res. 2013, 15, e164. [Google Scholar] [CrossRef]
- Haddaway, N.R.; Collins, A.M.; Coughlin, D.; Kirk, S. The Role of Google Scholar in Evidence Reviews and Its Applicability to Grey Literature Searching. PLoS ONE 2015, 10, e0138237. [Google Scholar] [CrossRef] [Green Version]
- Moher, D.; Pham, B.; Jones, A.; Cook, D.J.; Jadad, A.R.; Moher, M.; Tugwell, P.; Klassen, T.P. Does quality of reports of randomised trials affect estimates of intervention efficacy reported in meta-analyses? Lancet 1998, 352, 609–613. [Google Scholar] [CrossRef]
- Ouzzani, M.; Hammady, H.; Fedorowicz, Z.; Elmagarmid, A. Rayyan—A web and mobile app for systematic reviews. Syst. Rev. 2016, 5, 210. [Google Scholar] [CrossRef] [PubMed] [Green Version]
- Furlan, A.D.; Pennick, V.; Bombardier, C.; van Tulder, M. 2009 updated method guidelines for systematic reviews in the Cochrane Back Review Group. Spine 2009, 34, 1929–1941. [Google Scholar] [CrossRef] [PubMed]
- Higgins, J.; Green, S. Cochrane Handbook for Systematic Reviews of Interventions; Version 5.1.0; The Cochrane Collaboration: London, UK, 2008. [Google Scholar]
- Sterne, J.A.C.; Savović, J.; Page, M.J.; Elbers, R.G.; Blencowe, N.S.; Boutron, I.; Cates, C.J.; Cheng, H.-Y.; Corbett, M.S.; Eldridge, S.M.; et al. RoB 2: A revised tool for assessing risk of bias in randomised trials. BMJ 2019, 366, l4898. [Google Scholar] [CrossRef] [PubMed] [Green Version]
- De Morton, N.A. The PEDro scale is a valid measure of the methodological quality of clinical trials: A demographic study. Aust. J. Physiother. 2009, 55, 129–133. [Google Scholar] [CrossRef] [Green Version]
- Hariohm, K.; Prakash, V.; Saravankumar, J. Quantity and quality of randomized controlled trials published by Indian physiotherapists. Perspect. Clin. Res. 2015, 6, 91. [Google Scholar] [CrossRef]
- Landis, J.R.; Koch, G.G. An Application of Hierarchical Kappa-type Statistics in the Assessment of Majority Agreement among Multiple Observers. Biometrics 1977, 33, 363. [Google Scholar] [CrossRef]
- Guyatt, G.H.; Oxman, A.D.; Vist, G.E.; Kunz, R.; Falck-Ytter, Y.; Alonso-Coello, P.; Schünemann, H.J. GRADE Working Group GRADE: An emerging consensus on rating quality of evidence and strength of recommendations. BMJ 2008, 336, 924–926. [Google Scholar] [CrossRef] [Green Version]
- Andrews, J.; Guyatt, G.; Oxman, A.D.; Alderson, P.; Dahm, P.; Falck-Ytter, Y.; Nasser, M.; Meerpohl, J.; Post, P.N.; Kunz, R.; et al. GRADE guidelines: 14. Going from evidence to recommendations: The significance and presentation of recommendations. J. Clin. Epidemiol. 2013, 66, 719–725. [Google Scholar] [CrossRef]
- Balshem, H.; Helfand, M.; Schünemann, H.J.; Oxman, A.D.; Kunz, R.; Brozek, J.; Vist, G.E.; Falck-Ytter, Y.; Meerpohl, J.; Norris, S.; et al. GRADE guidelines: 3. Rating the quality of evidence. J. Clin. Epidemiol. 2011, 64, 401–406. [Google Scholar] [CrossRef]
- Sanabria, A.J.; Rigau, D.; Rotaeche, R.; Selva, A.; Marzo-Castillejo, M.; Alonso-Coello, P. GRADE: Methodology for formulating and grading recommendations in clinical practice. Aten. Primaria 2015, 47, 48–55. [Google Scholar] [CrossRef] [Green Version]
- Harrer, M.; Cuijpers, P.; Furukawa, T.A.; Ebert, D.D. Doing Meta-Analysis with R: A Hands-On Guide, 1st ed.; Chapman & Hall/CRC Press: Boca Raton, FL, USA; London, UK, 2021; ISBN 978-0-367-61007-4. [Google Scholar]
- Hedges, L. Estimation of effect size from a series of independent experiments. Psychol. Bull. 1982, 92, 490–499. [Google Scholar] [CrossRef]
- Hopkins, W.G.; Marshall, S.W.; Batterham, A.M.; Hanin, J. Progressive statistics for studies in sports medicine and exercise science. Med. Sci. Sports Exerc. 2009, 41, 3–13. [Google Scholar] [CrossRef] [PubMed] [Green Version]
- Higgins, J.P.; Li, T.; Deeks, J.J. 6.5.2.3 Obtaining Standard Deviations from Standard Errors, Confidence Intervals, t Statistics and p Values for Differences in Means. Available online: https://handbook-5-1.cochrane.org/chapter_7/7_7_3_3_obtaining_standard_deviations_from_standard_errors.htm (accessed on 23 February 2022).
- Viechtbauer, W. Bias and Efficiency of Meta-Analytic Variance Estimators in the Random-Effects Model. J. Educ. Behav. Stat. 2005, 30, 261–293. [Google Scholar] [CrossRef]
- Veroniki, A.A.; Jackson, D.; Viechtbauer, W.; Bender, R.; Bowden, J.; Knapp, G.; Kuss, O.; Higgins, J.P.T.; Langan, D.; Salanti, G. Methods to estimate the between-study variance and its uncertainty in meta-analysis. Res. Synth. Methods 2016, 7, 55–79. [Google Scholar] [CrossRef] [PubMed] [Green Version]
- Knapp, G.; Hartung, J. Improved tests for a random effects meta-regression with a single covariate. Stat. Med. 2003, 22, 2693–2710. [Google Scholar] [CrossRef]
- Sidik, K.; Jonkman, J.N. A simple confidence interval for meta-analysis. Stat. Med. 2002, 21, 3153–3159. [Google Scholar] [CrossRef]
- Sullivan, M.J.L.; Bishop, S.R.; Pivik, J. The Pain Catastrophizing Scale: Development and validation. Psychol. Assess. 1995, 7, 524–532. [Google Scholar] [CrossRef]
- Borenstein, M.; Higgins, J.P.T. Meta-Analysis and Subgroups. Prev. Sci. 2013, 14, 134–143. [Google Scholar] [CrossRef]
- Hoaglin, D. Misunderstandings about Q and “Cochran’s Q test” in meta-analysis. Stat. Med. 2016, 35, 485–495. [Google Scholar] [CrossRef]
- Borenstein, M.; Higgins, J.P.T.; Hedges, L.V.; Rothstein, H.R. Basics of meta-analysis: I(2) is not an absolute measure of heterogeneity. Res. Synth. Methods 2017, 8, 5–18. [Google Scholar] [CrossRef] [Green Version]
- IntHout, J.; Ioannidis, J.P.A.; Rovers, M.M.; Goeman, J.J. Plea for routinely presenting prediction intervals in meta-analysis. BMJ Open 2016, 6, e010247. [Google Scholar] [CrossRef] [PubMed] [Green Version]
- Viechtbauer, W.; Cheung, M.W.-L. Outlier and influence diagnostics for meta-analysis. Res. Synth. Methods 2010, 1, 112–125. [Google Scholar] [CrossRef]
- Rücker, G.; Schwarzer, G. Beyond the forest plot: The drapery plot. Res. Synth. Methods 2021, 12, 13–19. [Google Scholar] [CrossRef] [PubMed]
- Doi, S.A. Rendering the Doi plot properly in meta-analysis. Int. J. Evid.-Based. Healthc. 2018, 16, 242–243. [Google Scholar] [CrossRef] [PubMed]
- Furuya-Kanamori, L.; Barendregt, J.J.; Doi, S.A.R. A new improved graphical and quantitative method for detecting bias in meta-analysis. Int. J. Evid. Based. Healthc. 2018, 16, 195–203. [Google Scholar] [CrossRef] [PubMed]
- Duval, S.; Tweedie, R. Trim and fill: A simple funnel-plot-based method of testing and adjusting for publication bias in meta-analysis. Biometrics 2000, 56, 455–463. [Google Scholar] [CrossRef] [PubMed]
- Amorim, A.B.; Pappas, E.; Simic, M.; Ferreira, M.L.; Jennings, M.; Tiedemann, A.; Carvalho-E-Silva, A.P.; Caputo, E.; Kongsted, A.; Ferreira, P.H. Integrating Mobile-health, health coaching, and physical activity to reduce the burden of chronic low back pain trial (IMPACT): A pilot randomised controlled trial. BMC Musculoskelet. Disord. 2019, 20, 71. [Google Scholar] [CrossRef] [Green Version]
- Berman, R.L.H.; Iris, M.A.; Bode, R.; Drengenberg, C. The Effectiveness of an Online Mind-Body Intervention for Older Adults with Chronic Pain. J. Pain 2009, 10, 68–79. [Google Scholar] [CrossRef]
- Chiauzzi, E.; Pujol, L.A.; Wood, M.; Bond, K.; Black, R.; Yiu, E.; Zacharoff, K. PainACTION-Back Pain: A self-management website for people with chronic back pain. Pain Med. 2010, 11, 1044–1058. [Google Scholar] [CrossRef]
- Dear, B.F.; Titov, N.; Perry, K.N.; Johnston, L.; Wootton, B.M.; Terides, M.D.; Rapee, R.M.; Hudson, J.L. The Pain Course: A randomised controlled trial of a clinician-guided Internet-delivered cognitive behaviour therapy program for managing chronic pain and emotional well-being. Pain 2013, 154, 942–950. [Google Scholar] [CrossRef]
- Dear, B.F.; Gandy, M.; Karin, E.; Staples, L.G.; Johnston, L.; Fogliati, V.J.; Wootton, B.M.; Terides, M.D.; Kayrouz, R.; Perry, K.N.; et al. The Pain Course: A randomised controlled trial examining an internet-delivered pain management program when provided with different levels of clinician support. Pain 2015, 156, 1920–1935. [Google Scholar] [CrossRef] [PubMed]
- De Boer, M.J.; Versteegen, G.J.; Vermeulen, K.M.; Sanderman, R.; Struys, M.M.R.F. A randomized controlled trial of an Internet-based cognitive-behavioural intervention for non-specific chronic pain: An effectiveness and cost-effectiveness study. Eur. J. Pain 2014, 18, 1440–1451. [Google Scholar] [CrossRef] [PubMed] [Green Version]
- Ferwerda, M.; Van Beugen, S.; Van Middendorp, H.; Spillekom-Van Koulil, S.; Donders, A.R.T.; Visser, H.; Taal, E.; Creemers, M.C.W.; Van Riel, P.C.L.M.; Evers, A.W.M. A tailored-guided internet-based cognitive-behavioral intervention for patients with rheumatoid arthritis as an adjunct to standard rheumatological care: Results of a randomized controlled trial. Pain 2017, 158, 868–878. [Google Scholar] [CrossRef] [PubMed]
- Friesen, L.N.; Hadjistavropoulos, H.D.; Schneider, L.H.; Alberts, N.M.; Titov, N.; Dear, B.F. Examination of an internet-delivered cognitive behavioural pain management course for adults with fibromyalgia: A randomized controlled trial. Pain 2017, 158, 593–604. [Google Scholar] [CrossRef] [PubMed]
- Gardner-Nix, J.; Backman, S.; Barbati, J.; Grummitt, J. Evaluating distance education of a mindfulness-based meditation programme for chronic pain management. J. Telemed. Telecare 2008, 14, 88–92. [Google Scholar] [CrossRef]
- Gialanella, B.; Ettori, T.; Faustini, S.; Baratti, D.; Bernocchi, P.; Comini, L.; Scalvini, S. Home-Based Telemedicine in Patients with Chronic Neck Pain. Am. J. Phys. Med. Rehabil. 2017, 96, 327–332. [Google Scholar] [CrossRef]
- Gialanella, B.; Comini, L.; Olivares, A.; Gelmini, E.; Ubertini, E.; Grioni, G. Pain, disability and adherence to home exercises in patients with chronic neck pain: Long term effects of phone surveillance. A randomized controlled study. Eur. J. Phys. Rehabil. Med. 2020, 56, 104–111. [Google Scholar] [CrossRef]
- Guarino, H.; Fong, C.; Marsch, L.A.; Acosta, M.C.; Syckes, C.; Moore, S.K.; Cruciani, R.A.; Portenoy, R.K.; Turk, D.C.; Rosenblum, A. Web-based cognitive behavior therapy for chronic pain patients with aberrant drug-related behavior: Outcomes from a randomized controlled trial. Pain Med. 2018, 19, 2423–2437. [Google Scholar] [CrossRef]
- Bossen, D.; Veenhof, C.; van Beek, K.E.; Spreeuwenberg, P.M.; Dekker, J.; de Bakker, D.H. Effectiveness of a web-based physical activity intervention in patients with knee and/or hip osteoarthritis: Randomized controlled trial. J. Med. Internet Res. 2013, 15, e257. [Google Scholar] [CrossRef]
- Heapy, A.A.; Higgins, D.M.; Goulet, J.L.; La Chappelle, K.M.; Driscoll, M.A.; Czlapinski, R.A.; Buta, E.; Piette, J.D.; Krein, S.L.; Kerns, R.D. Interactive voice response-based self-management for chronic back Pain: The Copes noninferiority randomized trial. JAMA Intern. Med. 2017, 177, 765–773. [Google Scholar] [CrossRef] [Green Version]
- Herbert, M.S.; Afari, N.; Liu, L.; Heppner, P.; Rutledge, T.; Williams, K.; Eraly, S.; VanBuskirk, K.; Nguyen, C.; Bondi, M.; et al. Telehealth Versus In-Person Acceptance and Commitment Therapy for Chronic Pain: A Randomized Noninferiority Trial. J. Pain 2017, 18, 200–211. [Google Scholar] [CrossRef] [PubMed]
- Hernando-Garijo, I.; Ceballos-Laita, L.; Mingo-Gómez, M.T.; Medrano-De-la-fuente, R.; Estébanez-De-miguel, E.; Martínez-Pérez, M.N.; Jiménez-Del-barrio, S. Immediate effects of a telerehabilitation program based on aerobic exercise in women with fibromyalgia. Int. J. Environ. Res. Public Health 2021, 18, 2075. [Google Scholar] [CrossRef] [PubMed]
- Juhlin, S.; Bergenheim, A.; Gjertsson, I.; Larsson, A.; Mannerkorpi, K. Physical activity with person-centred guidance supported by a digital platform for persons with chronic widespread pain: A randomized controlled trial. J. Rehabil. Med. 2021, 53, jrm00175. [Google Scholar] [CrossRef] [PubMed]
- Kleiboer, A.; Sorbi, M.; van Silfhout, M.; Kooistra, L.; Passchier, J. Short-term effectiveness of an online behavioral training in migraine self-management: A randomized controlled trial. Behav. Res. Ther. 2014, 61, 61–69. [Google Scholar] [CrossRef]
- Krein, S.L.; Kadri, R.; Hughes, M.; Kerr, E.A.; Piette, J.D.; Holleman, R.; Kim, H.M.; Richardson, C.R. Pedometer-based internet-mediated intervention for adults with chronic low back pain: Randomized controlled trial. J. Med. Internet Res. 2013, 15, e181. [Google Scholar] [CrossRef]
- Lin, J.; Paganini, S.; Sander, L.; Lüking, M.; Daniel Ebert, D.; Buhrman, M.; Andersson, G.; Baumeister, H. An Internet-based intervention for chronic pain—A three-arm randomized controlled study of the effectiveness of guided and unguided acceptance and commitment therapy. Dtsch. Arztebl. Int. 2017, 114, 681–688. [Google Scholar]
- Lorig, K.R.; Laurent, D.D.; Deyo, R.A.; Marnell, M.E.; Minor, M.A.; Ritter, P.L. Can a back pain e-mail discussion group improve health status and lower health care costs? A randomized study. Arch. Intern. Med. 2002, 162, 792–796. [Google Scholar] [CrossRef] [Green Version]
- Lorig, K.R.; Ritter, P.L.; Laurent, D.D.; Plant, K. The internet-based arthritis self-management program: A one-year randomized trial for patients with arthritis or fibromyalgia. Arthritis Care Res. 2008, 59, 1009–1017. [Google Scholar] [CrossRef]
- Maisiak, R.; Austin, J.; Heck, L. Health outcomes of two telephone interventions for patients with rheumatoid arthritis or osteoarthritis. Arthritis Rheum. 1996, 39, 1391–1399. [Google Scholar] [CrossRef]
- Buhrman, M.; Fältenhag, S.; Ström, L.; Andersson, G. Controlled trial of Internet-based treatment with telephone support for chronic back pain. Pain 2004, 111, 368–377. [Google Scholar] [CrossRef]
- Moessner, M.; Schiltenwolf, M.; Neubauer, E. Internet-based aftercare for patients with back pain—A pilot study. Telemed. e-Health 2012, 18, 413–419. [Google Scholar] [CrossRef] [PubMed]
- Choi, Y.; Nam, J.; Yang, D.; Jung, W.; Lee, H.R.; Kim, S.H. Effect of smartphone application-supported self-rehabilitation for frozen shoulder: A prospective randomized control study. Clin. Rehabil. 2019, 33, 653–660. [Google Scholar] [CrossRef] [PubMed]
- Odole, A.C.; Ojo, O.D. A Telephone-based Physiotherapy Intervention for Patients with Osteoarthritis of the Knee. Int. J. Telerehabilit. 2013, 5, 11–20. [Google Scholar] [CrossRef] [Green Version]
- Odole, A.C.; Ojo, O.D. Is telephysiotherapy an option for improved quality of life in patients with osteoarthritis of the knee? Int. J. Telemed. Appl. 2014, 2014, 903816. [Google Scholar] [CrossRef] [Green Version]
- Peters, M.L.; Smeets, E.; Feijge, M.; Van Breukelen, G.; Andersson, G.; Buhrman, M.; Linton, S.J. Happy Despite Pain: A Randomized Controlled Trial of an 8-Week Internet-delivered Positive Psychology Intervention for Enhancing Well-being in Patients with Chronic Pain. Clin. J. Pain 2017, 33, 962–975. [Google Scholar] [CrossRef] [PubMed] [Green Version]
- Petrozzi, M.J.; Leaver, A.; Ferreira, P.H.; Rubinstein, S.M.; Jones, M.K.; Mackey, M.G. Addition of MoodGYM to physical treatments for chronic low back pain: A randomized controlled trial. Chiropr. Man. Ther. 2019, 27, 1–12. [Google Scholar] [CrossRef] [Green Version]
- Rickardsson, J.; Gentili, C.; Holmström, L.; Zetterqvist, V.; Andersson, E.; Persson, J.; Lekander, M.; Ljótsson, B.; Wicksell, R.K. Internet-delivered acceptance and commitment therapy as microlearning for chronic pain: A randomized controlled trial with 1-year follow-up. Eur. J. Pain 2021, 25, 1012–1030. [Google Scholar] [CrossRef]
- Ruehlman, L.S.; Karoly, P.; Enders, C. A randomized controlled evaluation of an online chronic pain self management program. Pain 2012, 153, 319–330. [Google Scholar] [CrossRef] [Green Version]
- Sander, L.B.; Paganini, S.; Terhorst, Y.; Schlicker, S.; Lin, J.; Spanhel, K.; Buntrock, C.; Ebert, D.D.; Baumeister, H. Effectiveness of a Guided Web-Based Self-help Intervention to Prevent Depression in Patients with Persistent Back Pain: The PROD-BP Randomized Clinical Trial. JAMA Psychiatry 2020, 77, 1001–1011. [Google Scholar] [CrossRef]
- Schlicker, S.; Baumeister, H.; Buntrock, C.; Sander, L.; Paganini, S.; Lin, J.; Berking, M.; Lehr, D.; Ebert, D.D. A Web- and mobile-Based intervention for comorbid, recurrent depression in patients with chronic back pain on sick leave (get.back): Pilot randomized controlled trial on feasibility, user satisfaction, and effectiveness. JMIR Ment. Health 2020, 7, e16398. [Google Scholar] [CrossRef] [Green Version]
- Buhrman, M.; Nilsson-Ihrfelt, E.; Jannert, M.; Ström, L.; Andersson, G. Guided internet-based cognitive behavioural treatment for chronic back pain reduces pain catastrophizing: A randomized controlled trial. J. Rehabil. Med. 2011, 43, 500–505. [Google Scholar] [PubMed] [Green Version]
- Schulz, P.J.; Rubinell, S.; Hartung, U. An internet-based approach to enhance self-management of chronic low back pain in the Italian-speaking population of Switzerland: Results from a pilot study. Int. J. Public Health 2007, 52, 286–294. [Google Scholar] [CrossRef] [PubMed] [Green Version]
- Simister, H.D.; Tkachuk, G.A.; Shay, B.L.; Vincent, N.; Pear, J.J.; Skrabek, R.Q. Randomized Controlled Trial of Online Acceptance and Commitment Therapy for Fibromyalgia. J. Pain 2018, 19, 741–753. [Google Scholar] [CrossRef]
- Smith, J.; Faux, S.G.; Gardner, T.; Hobbs, M.J.; James, M.A.; Joubert, A.E.; Kladnitski, N.; Newby, J.M.; Schultz, R.; Shiner, C.T.; et al. Reboot Online: A Randomized Controlled Trial Comparing an Online Multidisciplinary Pain Management Program with Usual Care for Chronic Pain. Pain Med. 2019, 20, 2385–2396. [Google Scholar] [CrossRef] [PubMed]
- Ström, L.; Pettersson, R.; Andersson, G. A controlled trial of self-help treatment of recurrent headache conducted via the Internet. J. Consult. Clin. Psychol. 2000, 68, 722–727. [Google Scholar] [CrossRef]
- Tavallaei, V.; Rezapour-Mirsaleh, Y.; Rezaiemaram, P.; Saadat, S.H. Mindfulness for female outpatients with chronic primary headaches: An internet-based bibliotherapy. Eur. J. Transl. Myol. 2018, 28, 175–184. [Google Scholar] [CrossRef]
- Trompetter, H.R.; Bohlmeijer, E.T.; Veehof, M.M.; Schreurs, K.M.G. Internet-based guided self-help intervention for chronic pain based on Acceptance and Commitment Therapy: A randomized controlled trial. J. Behav. Med. 2015, 38, 66–80. [Google Scholar] [CrossRef]
- Trudeau, K.J.; Pujol, L.A.; DasMahapatra, P.; Wall, R.; Black, R.A.; Zacharoff, K. A randomized controlled trial of an online self-management program for adults with arthritis pain. J. Behav. Med. 2015, 38, 483–496. [Google Scholar] [CrossRef] [Green Version]
- Vallejo, M.A.; Ortega, J.; Rivera, J.; Comeche, M.I.; Vallejo-Slocker, L. Internet versus face-to-face group cognitive-behavioral therapy for fibromyalgia: A randomized control trial. J. Psychiatr. Res. 2015, 68, 106–113. [Google Scholar] [CrossRef]
- Westenberg, R.F.; Zale, E.L.; Heinhuis, T.J.; Ozkan, S.; Nazzal, A.; Lee, S.G.; Chen, N.C.; Vranceanu, A.M. Does a brief mindfulness exercise improve outcomes in upper extremity patients? A randomized controlled trial. Clin. Orthop. Relat. Res. 2018, 476, 790–798. [Google Scholar] [CrossRef]
- Wilson, M.; Roll, J.M.; Corbett, C.; Barbosa-Leiker, C. Empowering Patients with Persistent Pain Using an Internet-based Self-Management Program. Pain Manag. Nurs. 2015, 16, 503–514. [Google Scholar] [CrossRef] [Green Version]
- Bromberg, J.; Wood, M.E.; Black, R.A.; Surette, D.A.; Zacharoff, K.L.; Chiauzzi, E.J. A randomized trial of a web-based intervention to improve migraine self-management and coping. Headache 2012, 52, 244–261. [Google Scholar] [CrossRef]
- Wilson, M.; Finlay, M.; Orr, M.; Barbosa-Leiker, C.; Sherazi, N.; Roberts, M.L.A.; Layton, M.; Roll, J.M. Engagement in online pain self-management improves pain in adults on medication-assisted behavioral treatment for opioid use disorders. Addict. Behav. 2018, 86, 130–137. [Google Scholar] [CrossRef]
- Yang, J.; Wei, Q.; Ge, Y.; Meng, L.; Zhao, M. Smartphone-Based Remote Self-Management of Chronic Low Back Pain: A Preliminary Study. J. Healthc. Eng. 2019, 2019, 4632946. [Google Scholar] [CrossRef]
- Hedman-Lagerlöf, M.; Hedman-Lagerlöf, E.; Axelsson, E.; Ljotsson, B.; Engelbrektsson, J.; Hultkrantz, S.; Lundbäck, K.; Björkander, D.; Wicksell, R.K.; Flink, I.; et al. Internet-Delivered Exposure Therapy for Fibromyalgia a Randomized Controlled Trial. Clin. J. Pain 2018, 34, 532–542. [Google Scholar] [CrossRef]
- Williams, D.A.; Kuper, D.; Segar, M.; Mohan, N.; Sheth, M.; Clauw, D.J. Internet-enhanced management of fibromyalgia: A randomized controlled trial. Pain 2010, 151, 694–702. [Google Scholar] [CrossRef] [PubMed]
- Shigaki, C.L.; Smarr, K.L.; Siva, C.; Ge, B.; Musser, D.; Johnson, R. RAHelp: An online intervention for individuals with rheumatoid arthritis. Arthritis Care Res. 2013, 65, 1573–1581. [Google Scholar] [CrossRef] [PubMed]
- Brattberg, G. Self-administered EFT (Emotional Freedom Techniques) in individuals with fibromyalgia: A randomized trial. Integr. Med. 2008, 7, 30–35. [Google Scholar]
- Calner, T.; Nordin, C.; Eriksson, M.K.; Nyberg, L.; Gard, G.; Michaelson, P. Effects of a self-guided, web-based activity programme for patients with persistent musculoskeletal pain in primary healthcare: A randomized controlled trial. Eur. J. Pain 2017, 21, 1110–1120. [Google Scholar] [CrossRef] [PubMed]
- Nordin, C.A.; Michaelson, P.; Gard, G.; Eriksson, M.K. Effects of the web behavior change program for activity and multimodal pain rehabilitation: Randomized controlled trial. J. Med. Internet Res. 2016, 18, e265. [Google Scholar] [CrossRef] [PubMed]
- Carpenter, K.M.; Stoner, S.A.; Mundt, J.M.; Stoelbc, B. An online self-help CBT intervention for chronic lower back pain. Clin. J. Pain 2012, 28, 14–22. [Google Scholar] [CrossRef] [PubMed] [Green Version]
- Chhabra, H.S.; Sharma, S.; Verma, S. Smartphone app in self-management of chronic low back pain: A randomized controlled trial. Eur. Spine J. 2018, 27, 2862–2874. [Google Scholar] [CrossRef] [PubMed]
- Boselie, J.J.L.M.; Vancleef, L.M.G.; Peters, M.L. Filling the glass: Effects of a positive psychology intervention on executive task performance in chronic pain patients. Eur. J. Pain 2018, 22, 1268–1280. [Google Scholar] [CrossRef] [PubMed] [Green Version]
- Scott, W.; Chilcot, J.; Guildford, B.; Daly-Eichenhardt, A.; McCracken, L.M. Feasibility randomized-controlled trial of online Acceptance and Commitment Therapy for patients with complex chronic pain in the United Kingdom. Eur. J. Pain 2018, 22, 1473–1484. [Google Scholar] [CrossRef] [PubMed]
- Michie, S.; Richardson, M.; Johnston, M.; Abraham, C.; Francis, J.; Hardeman, W.; Eccles, M.P.; Cane, J.; Wood, C.E. The behavior change technique taxonomy (v1) of 93 hierarchically clustered techniques: Building an international consensus for the reporting of behavior change interventions. Ann. Behav. Med. 2013, 46, 81–95. [Google Scholar] [CrossRef]
- Murray, C.J.L.; Piot, P. The Potential Future of the COVID-19 Pandemic: Will SARS-CoV-2 Become a Recurrent Seasonal Infection? JAMA 2021, 325, 1249–1250. [Google Scholar] [CrossRef]
- Skegg, D.; Gluckman, P.; Boulton, G.; Hackmann, H.; Karim, S.S.A.; Piot, P.; Woopen, C. Future scenarios for the COVID-19 pandemic. Lancet 2021, 397, 777–778. [Google Scholar] [CrossRef]
- Shanthanna, H.; Strand, N.H.; Provenzano, D.A.; Lobo, C.A.; Eldabe, S.; Bhatia, A.; Wegener, J.; Curtis, K.; Cohen, S.P.; Narouze, S. Caring for patients with pain during the COVID-19 pandemic: Consensus recommendations from an international expert panel. Anaesthesia 2020, 75, 935–944. [Google Scholar] [CrossRef] [Green Version]
- Fu, Y.; Mcnichol, E.; Marczewski, K.; Closs, J. Patient—Professional partnerships and chronic back pain self-management: A qualitative systematic review and synthesis. Health Soc. Care Community 2016, 24, 247–259. [Google Scholar] [CrossRef]
- Lewis, Y.D.; Elran-barak, R.; Tov, R.G.; Zubery, E. The abrupt transition from face-to-face to online treatment for eating disorders: A pilot examination of patients’ perspectives during the COVID-19 lockdown. J. Eat. Disord. 2021, 9, 31. [Google Scholar] [CrossRef]
- Schünemann, H.; Brożek, J.; Guyatt, G.; Oxman, A. Manual GRADE para Calificar la Calidad de la Evidencia y la Fuerza de la Recomendación (1ª Ed. en Español). P.A Orrego & M.X. Rojas (Translator) March 2017. 2013. Available online: http://gdt.guidelinedevelopment.org/app/handbook/handbook.html (accessed on 23 February 2022).
Publisher’s Note: MDPI stays neutral with regard to jurisdictional claims in published maps and institutional affiliations. |
© 2022 by the authors. Licensee MDPI, Basel, Switzerland. This article is an open access article distributed under the terms and conditions of the Creative Commons Attribution (CC BY) license (https://creativecommons.org/licenses/by/4.0/).