Effects of Wolf Spiders’ Captive Environment on Their Locomotor and Exploratory Behaviours
Abstract
Simple Summary
Abstract
1. Introduction
2. Materials and Methods
2.1. Ethics Statement
2.2. Spider Collection and Rearing
2.3. Locomotor and Behaviour Activities of the Natural Spider Group in the Laboratory
2.4. Locomotor and Exploratory Activity in a Novel Environment
2.5. Statistical Analyses
3. Results
3.1. Body Mass
3.2. Behaviour and Locomotor Activity of NE Spiders
3.3. Behaviour in a Novel Environment (Open-Field Arena and Arm-Maze)
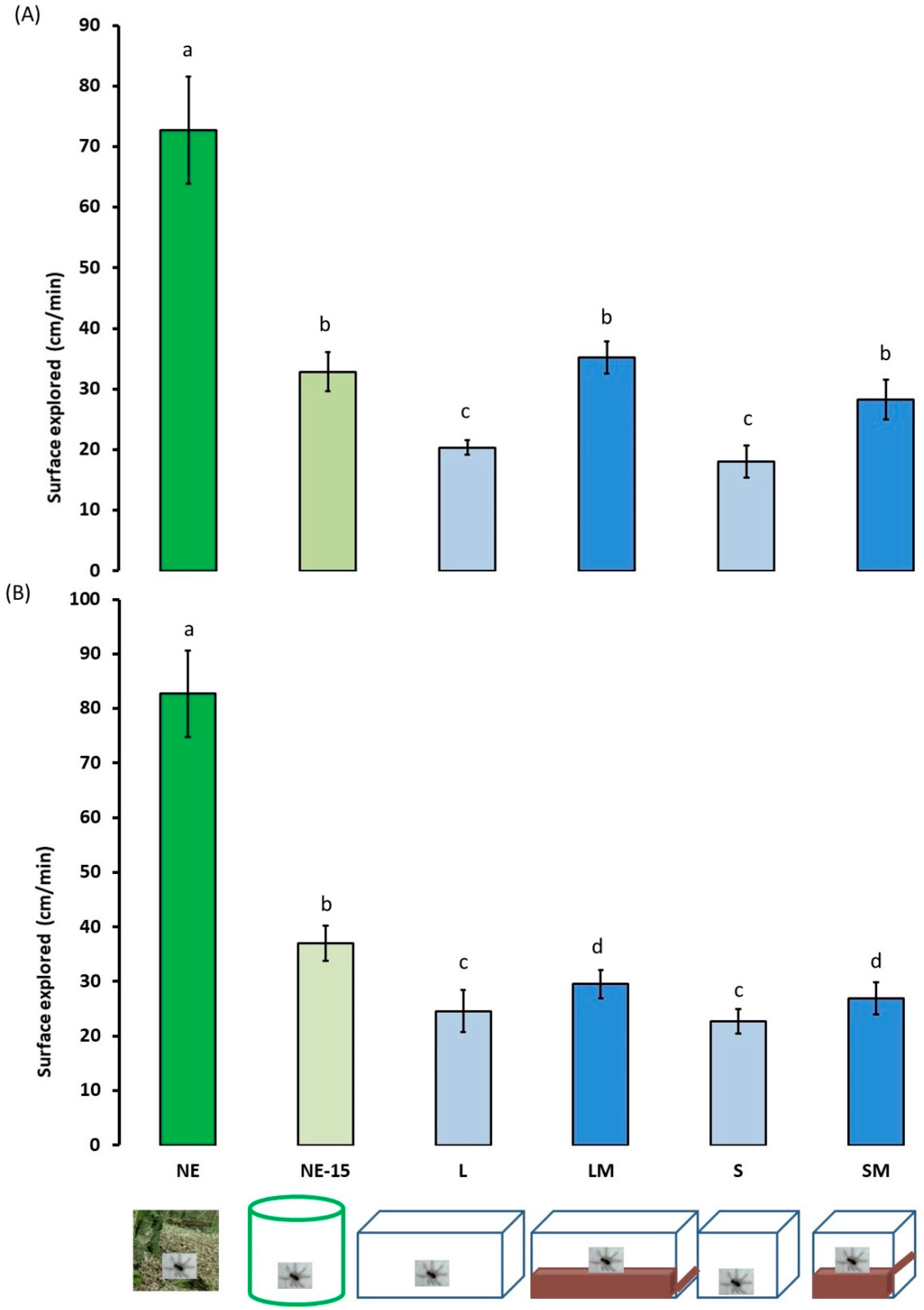
3.4. Locomotor and Exploratory Activities in a Novel Environment
4. Discussion
5. Conclusions
Funding
Institutional Review Board Statement
Data Availability Statement
Acknowledgments
Conflicts of Interest
References
- Baumans, V. Environmental enrichment for laboratory rodents and rabbits: Requirements of rodents, rabbits, and research. ILAR J. 2005, 46, 162–170. [Google Scholar] [CrossRef]
- Morgan, K.N.; Tromborg, C.T. Sources of stress in captivity. Appl. Anim. Behav. Sci. 2006, 102, 262–302. [Google Scholar] [CrossRef]
- Clubb, R.; Mason, G. Captivity effects on wide-ranging carnivores. Nature 2003, 425, 473–474. [Google Scholar] [CrossRef] [PubMed]
- Clubb, R.; Mason, G. Natural behavioural biology as a risk factor in carnivore welfare: How analysing species differences could help zoos improve enclosures. Appl. Anim. Behav. Sci. 2007, 102, 303–328. [Google Scholar] [CrossRef]
- Block, W.; Baust, J.G.; Franks, F.; Johnston, I.A.; Bale, J. Cold tolerance of insects and other arthropods and discussion. Phil. Trans. R. Soc. Lond. B 1990, 326, 613–633. [Google Scholar]
- Liedtke, J.; Redekop, D.; Schneider, J.M.; Schuett, W. Early environmental conditions shape personality types in a jumping spider. Front. Ecol. Evol. 2015, 3, 134. [Google Scholar] [CrossRef]
- Punzo, F.; Alvarez, J. Effects of early contact with maternal parent on locomotor activity and exploratory behavior in spiderlings of Hogna carolinensis (Araneae: Lycosidae). J. Insect Behav. 2002, 15, 455–465. [Google Scholar] [CrossRef]
- Persons, M.H. Hunger effects on foraging responses to perceptual cues in immature and adult wolf spiders (Lycosidae). Anim. Behav. 1999, 57, 81–88. [Google Scholar] [CrossRef][Green Version]
- Gerlach, A.; Voigtländer, K.; Heidger, C.M. Influences of the behaviour of epigenic arthropods (Diplopoda, Chilopoda, Carabidae) on the efficiency of pitfall trapping. Soil Org. 2009, 81, 773–790. [Google Scholar]
- Jensen, C.S.; Garsdal, L.; Baatrup, E. Acetylcholinesterase inhibition and altered locomotor behavior in the carabid beetle Pterostichus cupreus. A linkage between biomarkers at two levels of biological complexity. Environ. Toxicol. Chem. 1997, 16, 1727–1732. [Google Scholar] [CrossRef]
- Bayley, M. Prolonged effects of the insecticide dimethoate on locomotor behaviour in the woodlouse, Porcellio scaber Latr. (Isopoda). Ecotoxicology 1995, 4, 79–90. [Google Scholar] [CrossRef] [PubMed]
- Babu, K.S. Post embryonic development of the central nervous system of the spider Argiope aurantia (Lucas). J. Morphol. 1975, 146, 325–342. [Google Scholar] [CrossRef]
- Baatrup, E.; Bayley, M. Quantitative analysis of spider locomotion employing computer-automated video-tracking. Physiol. Behav. 1993, 54, 83–90. [Google Scholar] [CrossRef]
- Carere, C.; Wood, J.B.; Mather, J. Species differences in captivity: Where are the invertebrates? Trends Ecol. Evol. 2011, 26, 211. [Google Scholar] [CrossRef] [PubMed]
- Carducci, J.P.; Jakob, E.M. Rearing environment affects behaviour of jumping spiders. Anim. Behav. 2000, 59, 39–46. [Google Scholar] [CrossRef][Green Version]
- Gibson, J.S.; Uetz, G.W. Effect of rearing environment and food availability on seismic signalling in male wolf spiders (Araneae: Lycosidae). Anim. Behav. 2012, 84, 85–92. [Google Scholar] [CrossRef]
- Tarsitano, M.S.; Jackson, R.R. Jumping spiders make predatory detours requiring movement away from prey. Behaviour 1994, 131, 65–73. [Google Scholar] [CrossRef]
- Folz, H. Effects of Complexity of Rearing Environment on Activity Level and Foraging Behavior of Hogna helluo (Araneae, Lycosidae). Bachelor’s Thesis, Miami University, Oxford, OH, USA, 2005. [Google Scholar]
- Bengston, S.E.; Pruitt, J.N.; Riechert, S.E. Differences in environmental enrichment generate contrasting behavioural syndromes in a basal spider lineage. Anim. Behav. 2014, 93, 105–110. [Google Scholar] [CrossRef]
- Tarsitano, M. Route selection by a jumping spider (Portia labiata) during the locomotory phase of a detour. Anim. Behav. 2006, 72, 1437–1442. [Google Scholar] [CrossRef]
- Ruhland, F.; Chiara, V.; Trabalon, M. Age and egg-sac loss determine maternal behaviour and locomotor activity of wolf spiders (Araneae, Lycosidae). Behav. Process. 2016, 132, 57–65. [Google Scholar] [CrossRef]
- Töpfer-Hofmann, G.; Cordes, D.; von Helversen, O. Cryptic species and behavioural isolation in the Pardosa lugubris group (Araneae, Lycosidae), with description of two new species. Bull. Br. Arachnol. Soc. 2000, 11, 257–274. [Google Scholar]
- Gallo, N.D.; Jeffery, W.R. Evolution of space dependent growth in the teleost Astyanax mexicanus. PLoS ONE 2012, 7, e41443. [Google Scholar] [CrossRef] [PubMed]
- Aiken, D.E.; Waddy, S. Space, density and growth of the lobster (Homarus americanus). In Proceedings of the Annual Meeting—World Mariculture Society; Wiley-Blackwell: Oxford, UK, 1978; pp. 459–467. [Google Scholar]
- Schmitt, A.; Schuster, M.; Barth, F.G. Daily locomotor activity patterns in three species of Cupiennius (Araneae, Ctenidae): The males are the wandering spiders. J. Arachnol. 1990, 18, 249–255. [Google Scholar]
- Barth, F.G. Spider senses—Technical perfection and biology. Zoology 2002, 105, 271–285. [Google Scholar] [CrossRef] [PubMed]
- Trabalon, M. Chemical communication and contact cuticular compounds in spiders. In Spider Ecophysiology; Nentwig, W., Ed.; Spinger: Berlin/Heidelberg, Germany, 2013; pp. 125–140. [Google Scholar]
- Bennie, M.; Loaring, C.; Trim, S. Laboratory husbandry of arboreal tarantulas (Theraphosidae) and evaluation of environmental enrichment. Anim. Technol. 2011, 10, 163–169. [Google Scholar]
- Genaro, G.; Schmidek, W.; Franci, C.R. Social condition affects hormone secretion and exploratory behavior in rats. Braz. J. Med. Biol. Res. 2004, 37, 833–840. [Google Scholar] [CrossRef]
- Herskin, M.S.; Jensen, K.H. Effects of different degrees of social isolation on the behaviour of weaned piglets kept for experimental purposes. Anim. Welf. 2000, 9, 237–249. [Google Scholar]
- Patterson-Kane, E.G.; Hunt, M.; Harper, D. Rats demand social contact. Anim. Welf. 2002, 11, 327–332. [Google Scholar]
- Weiss, I.C.; Pryce, C.R.; Jongen-Relo, A.L.; Nanz-Bahr, N.I.; Feldon, J. Effect of social isolation on stress-related behavioural and neuroendocrine state in the rat. Behav. Brain Res. 2004, 152, 279–295. [Google Scholar] [CrossRef]
- Liedtk, J.; Schneider, J.M. Social makes smart: Rearing conditions affect learning and social behaviour in jumping spiders. Anim. Cogn. 2017, 20, 1093–1106. [Google Scholar] [CrossRef]
- Steinhoff, P.O.M.; Liedtke, J.; Sombke, A.; Schneider, J.M.; Uhl, G. Early environmental conditions affect the volume of higher-order brain centers in a jumping spider. J. Zool. 2018, 304, 182–192. [Google Scholar] [CrossRef]
- Anderson, J.F. Metabolic rates of spiders. Comp. Biochem. Physiol. 1970, 33, 51–72. [Google Scholar] [CrossRef]
- Rott, A.S.; Ponsonby, D.J. The effects of temperature, relative humidity and hostplant on the behaviour of Stethorus punctillum as apredator of the two-spotted spider mite, Tetranychus urticae. BioControl 2000, 45, 155–164. [Google Scholar] [CrossRef]
- Danks, H.V. The elements of seasonal adaptations in insects. Can. Entomol. 2007, 139, 1–44. [Google Scholar] [CrossRef]
- Hansen, L.T.; Berthelsen, H. The effect of environmental enrichment on the behaviour of caged rabbits (Oryctolagus cuniculus). Appl. Anim. Behav. Sci. 2000, 68, 163–178. [Google Scholar] [CrossRef]
- Patterson-Kane, E.G. Shelter enrichment for rats. J. Am. Assoc. Lab. Anim. Sci. 2003, 42, 46–48. [Google Scholar]








| Behavioural Events | Parameters Measured |
|---|---|
| Locomotor activity (Surface explored in cm/min) | Time of mobility Trajectory |
| Spontaneous activity without displacement (Frequency of behaviour) | “Inactivity” (total immobility) “Abdominal” (abdominal vibrations) “Grooming” (passing a leg or a pedipalp between their chelicereae) “Leg-waving” (raising and lowering a leg of their first pair) “Standing” (standing on hind legs vertically to a wall) “Drumming” (drumming the ground with their first pair of legs) |
| Exploratory activity Distance covered (cm/min) | Time of mobility Number of arms visited |
Publisher’s Note: MDPI stays neutral with regard to jurisdictional claims in published maps and institutional affiliations. |
© 2022 by the author. Licensee MDPI, Basel, Switzerland. This article is an open access article distributed under the terms and conditions of the Creative Commons Attribution (CC BY) license (https://creativecommons.org/licenses/by/4.0/).
Share and Cite
Trabalon, M. Effects of Wolf Spiders’ Captive Environment on Their Locomotor and Exploratory Behaviours. Insects 2022, 13, 135. https://doi.org/10.3390/insects13020135
Trabalon M. Effects of Wolf Spiders’ Captive Environment on Their Locomotor and Exploratory Behaviours. Insects. 2022; 13(2):135. https://doi.org/10.3390/insects13020135
Chicago/Turabian StyleTrabalon, Marie. 2022. "Effects of Wolf Spiders’ Captive Environment on Their Locomotor and Exploratory Behaviours" Insects 13, no. 2: 135. https://doi.org/10.3390/insects13020135
APA StyleTrabalon, M. (2022). Effects of Wolf Spiders’ Captive Environment on Their Locomotor and Exploratory Behaviours. Insects, 13(2), 135. https://doi.org/10.3390/insects13020135
