Predicting the Metastatic Potential of Papillary Thyroid Microcarcinoma Based on the Molecular Profile of Preoperative Cytology Specimens
Abstract
1. Introduction
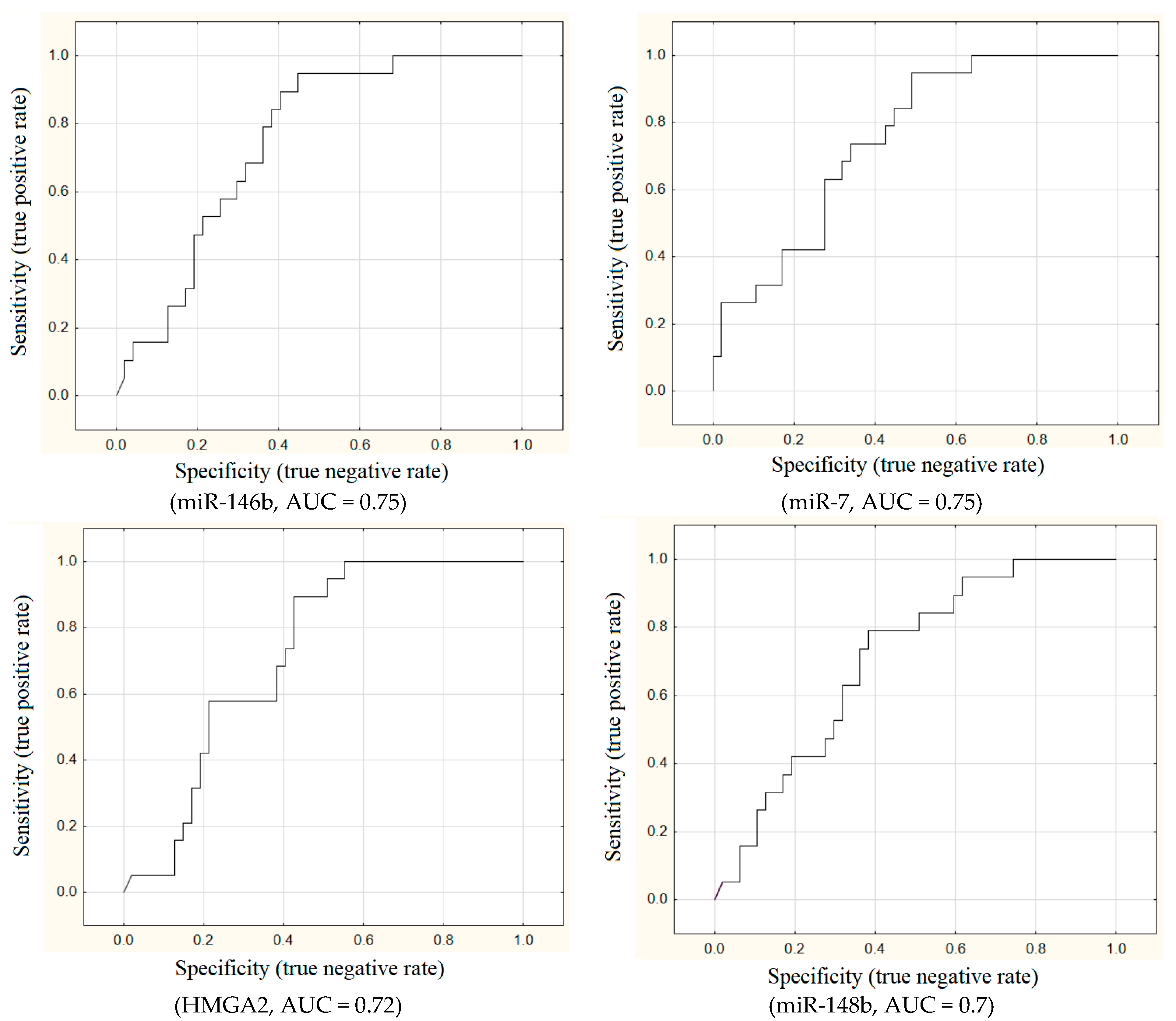
2. Results
3. Discussion
4. Materials and Methods
5. Conclusions
Author Contributions
Funding
Institutional Review Board Statement
Informed Consent Statement
Data Availability Statement
Acknowledgments
Conflicts of Interest
References
- Deng, Y.; Li, H.; Wang, M.; Li, N.; Tian, T.; Wu, Y.; Xu, P.; Yang, S.; Zhai, Z.; Zhou, L.; et al. Global Burden of Thyroid Cancer From 1990 to 2017. JAMA Netw. Open 2020, 3, e208759. [Google Scholar] [CrossRef] [PubMed]
- Sugitani, I. Active surveillance of low-risk papillary thyroid microcarcinoma. Best Pract. Res. Clin. Endocrinol. Metab. 2023, 37, 101630. [Google Scholar] [CrossRef] [PubMed]
- Jasim, S.; Dean, D.S.; Gharib, H. Fine-Needle Aspiration of the Thyroid Gland. In Endotext; Feingold, K.R., Anawalt, B., Blackman, M.R., Boyce, A., Chrousos, G., Corpas, E., de Herder, W.W., Dhatariya, K., Dungan, K., Hofland, J., et al., Eds.; MDText.com, Inc.: South Dartmouth, MA, USA, 2000. [Google Scholar] [PubMed]
- Bi, J.; Zhang, H. A meta-analysis of total thyroidectomy and lobectomy outcomes in papillary thyroid microcarcinoma. Medicine 2023, 102, e36647. [Google Scholar] [CrossRef] [PubMed]
- Haugen, B.R.; Alexander, E.K.; Bible, K.C.; Doherty, G.M.; Mandel, S.J.; Nikiforov, Y.E.; Pacini, F.; Randolph, G.W.; Sawka, A.M.; Schlumberger, M.; et al. 2015 American thyroid association management guidelines for adult patients with thyroid nodules and differentiated thyroid cancer: The American thyroid association guidelines task force on thyroid nodules and differentiated thyroid cancer. Thyroid 2016, 26, 1–133. [Google Scholar] [CrossRef]
- Miyauchi, A.; Ito, Y.; Fujishima, M.; Miya, A.; Onoda, N.; Kihara, M.; Higashiyama, T.; Masuoka, H.; Kawano, S.; Sasaki, T.; et al. Long-Term Outcomes of Active Surveillance and Immediate Surgery for Adult Patients with Low-Risk Papillary Thyroid Microcarcinoma: 30-Year Experience. Thyroid 2023, 33, 817–825. [Google Scholar] [CrossRef]
- Brito, J.P.; Ito, Y.; Miyauchi, A.; Tuttle, R.M. A Clinical Framework to Facilitate Risk Stratification When Considering an Active Surveillance Alternative to Immediate Biopsy and Surgery in Papillary Microcarcinoma. Thyroid 2016, 26, 144–149. [Google Scholar] [CrossRef]
- Kong, S.H.; Ryu, J.; Kim, M.J.; Cho, S.W.; Song, Y.S.; Yi, K.H.; Park, D.J.; Hwangbo, Y.; Lee, Y.J.; Lee, K.E.; et al. Longitudinal Assessment of Quality of Life According to Treatment Options in Low-Risk Papillary Thyroid Microcarcinoma Patients: Active Surveillance or Immediate Surgery (Interim Analysis of MAeSTro). Thyroid 2019, 29, 1089–1096. [Google Scholar] [CrossRef]
- Jin, L.; Zhou, L.; Wang, J.B.; Tao, L.; Lu, X.X.; Yan, N.; Chen, Q.M.; Cao, L.P.; Xie, L. Whether Detection of Gene Mutations Could Identify Low- or High-Risk Papillary Thyroid Microcarcinoma? Data from 393 Cases Using the Next-Generation Sequencing. Int. J. Endocrinol. 2024, 2024, 2470721. [Google Scholar] [CrossRef]
- Patel, S.G.; Carty, S.E.; McCoy, K.L.; Ohori, N.P.; LeBeau, S.O.; Seethala, R.R.; Nikiforova, M.N.; Nikiforov, Y.E.; Yip, L. Preoperative detection of RAS mutation may guide extent of thyroidectomy. Surgery 2017, 161, 168–175. [Google Scholar] [CrossRef]
- Yip, L.; Nikiforova, M.N.; Yoo, J.Y.; McCoy, K.L.; Stang, M.T.; Armstrong, M.J.; Nicholson, K.J.; Ohori, N.P.; Coyne, C.; Hodak, S.P.; et al. Tumor genotype determines phenotype and disease-related outcomes in thyroid cancer: A study of 1510 patients. Ann. Surg. 2015, 262, 519–525; discussion 524–525. [Google Scholar] [CrossRef]
- Song, Y.S.; Lim, J.A.; Choi, H.; Won, J.K.; Moon, J.H.; Cho, S.W.; Lee, K.E.; Park, Y.J.; Yi, K.H.; Park, D.J.; et al. Prognostic effects of TERT promoter mutations are enhanced by coexistence with BRAF or RAS mutations and strengthen the risk prediction by the ATA or TNM staging system in differentiated thyroid cancer patients. Cancer 2016, 122, 1370–1379. [Google Scholar] [CrossRef] [PubMed]
- Schumm, M.A.; Shu, M.L.; Hughes, E.G.; Nikiforov, Y.E.; Nikiforova, M.N.; Wald, A.I.; Lechner, M.G.; Tseng, C.H.; Sajed, D.P.; Wu, J.X.; et al. Prognostic Value of Preoperative Molecular Testing and Implications for Initial Surgical Management in Thyroid Nodules Harboring Suspected (Bethesda V) or Known (Bethesda VI) Papillary Thyroid Cancer. JAMA Otolaryngol. Head. Neck Surg. 2023, 149, 735–742. [Google Scholar] [CrossRef]
- Yip, L.; Gooding, W.E.; Nikitski, A.; Wald, A.I.; Carty, S.E.; Karslioglu-French, E.; Seethala, R.R.; Zandberg, D.P.; Ferris, R.L.; Nikiforova, M.N.; et al. Risk assessment for distant metastasis in differentiated thyroid cancer using molecular profiling: A matched case-control study. Cancer 2021, 127, 1779–1787. [Google Scholar] [CrossRef]
- Liu, J.B.; Baugh, K.A.; Ramonell, K.M.; McCoy, K.L.; Karslioglu-French, E.; Morariu, E.M.; Ohori, N.P.; Nikiforova, M.N.; Nikiforov, Y.E.; Carty, S.E.; et al. Molecular Testing Predicts Incomplete Response to Initial Therapy in Differentiated Thyroid Carcinoma Without Lateral Neck or Distant Metastasis at Presentation: Retrospective Cohort Study. Thyroid 2023, 33, 705–714. [Google Scholar] [CrossRef] [PubMed]
- Zafon, C.; Gil, J.; Pérez-González, B.; Jordà, M. DNA methylation in thyroid cancer. Endocr. Relat. Cancer 2019, 26, R415–R439. [Google Scholar] [CrossRef]
- Rogucki, M.; Buczyńska, A.; Krętowski, A.J.; Popławska-Kita, A. The Importance of miRNA in the Diagnosis and Prognosis of Papillary Thyroid Cancer. J. Clin. Med. 2021, 10, 4738. [Google Scholar] [CrossRef]
- Nieto, H.R.; Thornton, C.E.M.; Brookes, K.; Nobre de Menezes, A.; Fletcher, A.; Alshahrani, M.; Kocbiyik, M.; Sharma, N.; Boelaert, K.; Cazier, J.B.; et al. Recurrence of Papillary Thyroid Cancer: A Systematic Appraisal of Risk Factors. J. Clin. Endocrinol. Metab. 2022, 107, 1392–1406. [Google Scholar] [CrossRef]
- Wang, M.; Li, R.; Zou, X.; Wei, T.; Gong, R.; Zhu, J.; Li, Z. A miRNA-clinicopathological nomogram for the prediction of central lymph node metastasis in papillary thyroid carcinoma-analysis from TCGA database. Medicine 2020, 99, e21996. [Google Scholar] [CrossRef] [PubMed]
- Lukyanov, S.A.; Titov, S.E.; Kozorezova, E.S.; Demenkov, P.S.; Veryaskina, Y.A.; Korotovskii, D.V.; Ilyina, T.E.; Vorobyev, S.L.; Zhivotov, V.A.; Bondarev, N.S.; et al. Prediction of the Aggressive Clinical Course of Papillary Thyroid Carcinoma Based on Fine Needle Aspiration Biopsy Molecular Testing. Int. J. Mol. Sci. 2024, 25, 7090. [Google Scholar] [CrossRef]
- Lee, E.K.; Moon, J.H.; Hwangbo, Y.; Ryu, C.H.; Cho, S.W.; Choi, J.Y.; Chung, E.J.; Jeong, W.J.; Jung, Y.S.; Ryu, J.; et al. Progression of Low-Risk Papillary Thyroid Microcarcinoma During Active Surveillance: Interim Analysis of a Multicenter Prospective Cohort Study of Active Surveillance on Papillary Thyroid Microcarcinoma in Korea. Thyroid 2022, 32, 1328–1336. [Google Scholar] [CrossRef]
- Dimov, R.; Kostov, G.; Doykov, M.; Hristov, B. Papillary microcarcinoma of the thyroid gland—Does size matter? Acta Endocrinol. 2023, 19, 163–168. [Google Scholar] [CrossRef] [PubMed]
- Lee, E.; Terhaar, S.; McDaniel, L.; Gorelik, D.; Gerhard, E.; Chen, C.; Ma, Y.; Joshi, A.S.; Goodman, J.F.; Thakkar, P.G. Diagnostic performance of the second-generation molecular tests in the assessment of indeterminate thyroid nodules: A systematic review and meta-analysis. Am. J. Otolaryngol. 2022, 43, 103394. [Google Scholar] [CrossRef] [PubMed]
- Attia, A.S.; Hussein, M.; Issa, P.P.; Elnahla, A.; Farhoud, A.; Magazine, B.M.; Youssef, M.R.; Aboueisha, M.; Shama, M.; Toraih, E.; et al. Association of BRAFV600E Mutation with the Aggressive Behavior of Papillary Thyroid Microcarcinoma: A Meta-Analysis of 33 Studies. Int. J. Mol. Sci. 2022, 23, 15626. [Google Scholar] [CrossRef]
- Wang, T.; Xu, H.; Qi, M.; Yan, S.; Tian, X. miRNA dysregulation and the risk of metastasis and invasion in papillary thyroid cancer: A systematic review and meta-analysis. Oncotarget 2017, 9, 5473–5479. [Google Scholar] [CrossRef] [PubMed]
- Titov, S.E.; Ivanov, M.K.; Karpinskaya, E.V.; Tsivlikova, E.V.; Shevchenko, S.P.; Veryaskina, Y.A.; Akhmerova, L.G.; Poloz, T.L.; Klimova, O.A.; Gulyaeva, L.F.; et al. miRNA profiling, detection of BRAF V600E mutation and RET-PTC1 translocation in patients from Novosibirsk oblast (Russia) with different types of thyroid tumors. BMC Cancer 2016, 16, 201. [Google Scholar] [CrossRef]
- Livak, K.J.; Schmittgen, T.D. Analysis of relative gene expression data using real-time quantitative PCR and the 2(-Delta Delta C(T)) Method. Methods 2001, 25, 402–408. [Google Scholar] [CrossRef]
- Chen, C.; Ridzon, D.A.; Broomer, A.J.; Zhou, Z.; Lee, D.H.; Nguyen, J.T.; Barbisin, M.; Xu, N.L.; Mahuvakar, V.R.; Andersen, M.R.; et al. Real-time quantification of microRNAs by stem-loop RT-PCR. Nucleic Acids Res. 2005, 33, e179. [Google Scholar] [CrossRef]

| Parameter | M, ME (Q1–Q3) | p, Mann–Whitney U Test | |
|---|---|---|---|
| N1a-b | N0 | ||
| miRNA-146b | 10.6, 9.4 (7.4–13.1) | 6.1, 5.5 (1.3–9.1) | 0.0013 |
| miRNA-7 | 0.03, 0.05 (0.03–0.1) | 0.06, 0.12 (0.04–0.27) | 0.0044 |
| miRNA-148b | 0.39, 0.42 (0.29–0.52) | 0.7, 0.58 (0.38–0.96) | 0.0052 |
| FN1 | 80.6, 54.7 (32.6–110.7) | 64.4, 27.6 (1.6–103.1) | 0.049 |
| TIMP1 | 5.1, 3.3 (2.3–6.1) | 3.5, 1.9 (0.9–4.9) | 0.013 |
| TPO | 1.9, 0.6 (0.2–3.7) | 7.6, 1.3 (0.6–8.3) | 0.026 |
| SLC26A7 | 0.5, 0.3 (0.1–0.7) | 1.3, 0.5 (0.2–1.4) | 0.022 |
| HMGA2 | 0.5, 0.4 (0.2–0.6) | 0.3, 0.2 (0.1–0.4) | 0.002 |
| DIO1 | 0.01, 0.01 (0.002–0.02) | 0.11, 0.01 (0.005–0.08) | 0.018 |
| TFF3 | 0.12, 0.04 (0.01–0.11) | 1.0, 0.1 (0.03–0.3) | 0.017 |
| Parameter | Number of Observations; Parameter Value | ||||
|---|---|---|---|---|---|
| miRNA-146b | miRNA-7 | HMGA2 | miRNA-148b | BRAF | |
| FP | 30 | 31 | 32 | 35 | 34 |
| FN | 4 | 4 | 3 | 5 | 8 |
| TP | 28 | 28 | 29 | 27 | 24 |
| TN | 30 | 29 | 28 | 25 | 26 |
| SEN, % | 87.5 (71–96.5) | 87.5 (71–96.5) | 90.6 (75–98) | 84.5 (67.2–94.7) | 75 (56.6–88.5) |
| SPC, % | 50 (36.8–63.2) | 48.3 (35.2–61.6) | 46.7 (33.7–60) | 41.6 (29–55) | 43.3 (30.6–56.8) |
| PPV, % | 8.4 (6.5–10.9) | 8.2 (6.3–10.5) | 8.2 (6.4–10.4) | 7.1 (5.5–9) | 6.5 (4.9–8.6) |
| NPV, % | 98.7 (96.6–99.5) | 98.7 (96.6–99.5) | 98.9 (96.9–99.6) | 98 (95.6–99.2) | 97 (94.4–98.5) |
Disclaimer/Publisher’s Note: The statements, opinions and data contained in all publications are solely those of the individual author(s) and contributor(s) and not of MDPI and/or the editor(s). MDPI and/or the editor(s) disclaim responsibility for any injury to people or property resulting from any ideas, methods, instructions or products referred to in the content. |
© 2025 by the authors. Licensee MDPI, Basel, Switzerland. This article is an open access article distributed under the terms and conditions of the Creative Commons Attribution (CC BY) license (https://creativecommons.org/licenses/by/4.0/).
Share and Cite
Lukyanov, S.A.; Titov, S.E.; Dzodzaeva, A.V.; Vanushko, V.E.; Beltsevich, D.G.; Veryaskina, Y.A.; Kupriyanov, S.V.; Bondarenko, E.V.; Troshina, E.A.; Urusova, L.S.; et al. Predicting the Metastatic Potential of Papillary Thyroid Microcarcinoma Based on the Molecular Profile of Preoperative Cytology Specimens. Int. J. Mol. Sci. 2025, 26, 6418. https://doi.org/10.3390/ijms26136418
Lukyanov SA, Titov SE, Dzodzaeva AV, Vanushko VE, Beltsevich DG, Veryaskina YA, Kupriyanov SV, Bondarenko EV, Troshina EA, Urusova LS, et al. Predicting the Metastatic Potential of Papillary Thyroid Microcarcinoma Based on the Molecular Profile of Preoperative Cytology Specimens. International Journal of Molecular Sciences. 2025; 26(13):6418. https://doi.org/10.3390/ijms26136418
Chicago/Turabian StyleLukyanov, Sergei A., Sergei E. Titov, Aria V. Dzodzaeva, Vladimir E. Vanushko, Dmitry G. Beltsevich, Yuliya A. Veryaskina, Semyon V. Kupriyanov, Ekaterina V. Bondarenko, Ekaterina A. Troshina, Liliya S. Urusova, and et al. 2025. "Predicting the Metastatic Potential of Papillary Thyroid Microcarcinoma Based on the Molecular Profile of Preoperative Cytology Specimens" International Journal of Molecular Sciences 26, no. 13: 6418. https://doi.org/10.3390/ijms26136418
APA StyleLukyanov, S. A., Titov, S. E., Dzodzaeva, A. V., Vanushko, V. E., Beltsevich, D. G., Veryaskina, Y. A., Kupriyanov, S. V., Bondarenko, E. V., Troshina, E. A., Urusova, L. S., & Sergiyko, S. V. (2025). Predicting the Metastatic Potential of Papillary Thyroid Microcarcinoma Based on the Molecular Profile of Preoperative Cytology Specimens. International Journal of Molecular Sciences, 26(13), 6418. https://doi.org/10.3390/ijms26136418

