Evaluation of Short-Term Stability of Different Nitazenes Psychoactive Opioids in Dried Blood Spots by Liquid Chromatography-High-Resolution Mass Spectrometry
Abstract
1. Introduction
2. Results
2.1. Method Optimization and Validation
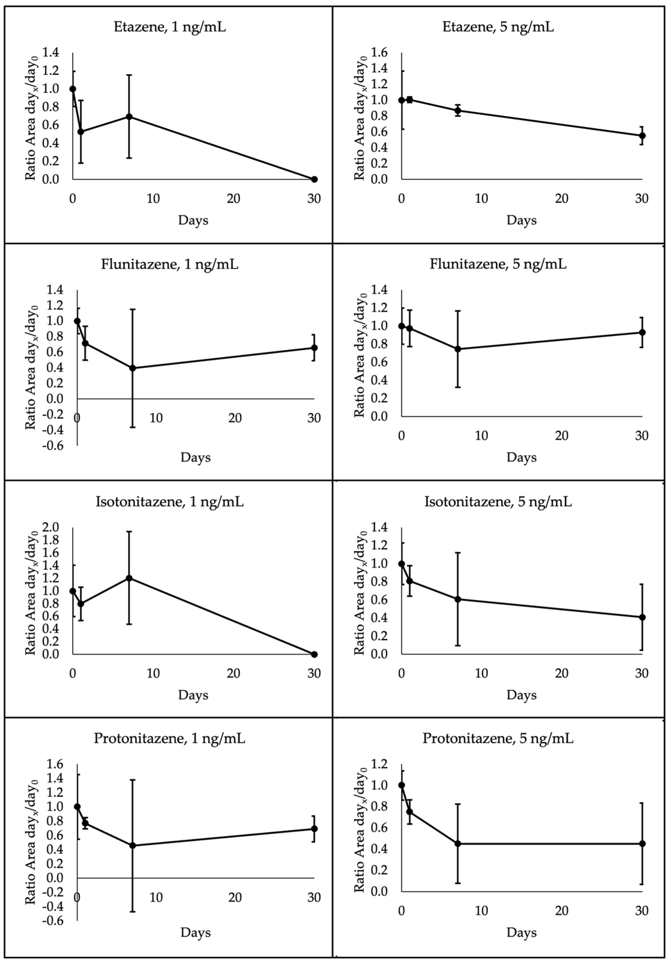
2.2. Nitazenes Stability
3. Discussion
4. Materials and Methods
4.1. Chemicals and Reagents
4.2. Calibrators and Quality Control (QC) Samples
4.3. Stability Study Design
4.4. Sample Preparation
4.5. Instrumental Analysis
4.6. Method Validation
4.6.1. Linearity
4.6.2. Bias
4.6.3. Precision
4.6.4. Sensitivity
4.6.5. Carryover
4.6.6. Recovery and Matrix Effect
4.7. Statistical Analysis
5. Conclusions
Author Contributions
Funding
Institutional Review Board Statement
Informed Consent Statement
Data Availability Statement
Acknowledgments
Conflicts of Interest
References
- Ujváry, I.; Christie, R.; Evans-Brown, M.; Gallegos, A.; Jorge, R.; De Morais, J.; Sedefov, R. DARK Classics in Chemical Neuroscience: Etonitazene and Related Benzimidazoles. ACS Chem. Neurosci. 2021, 12, 1072–1092. [Google Scholar] [CrossRef]
- National Center for Health Statistics U.S. Overdose Deaths Decrease in 2023, First Time Since 2018. Available online: https://www.cdc.gov/nchs/pressroom/nchs_press_releases/2024/20240515.htm (accessed on 1 September 2024).
- Di Trana, A.; Pichini, S.; Pacifici, R.; Giorgetti, R.; Busardò, F.P. Synthetic Benzimidazole Opioids: The Emerging Health Challenge for European Drug Users. Front. Psychiatry 2022, 13, 858234. [Google Scholar] [CrossRef] [PubMed]
- Schüller, M.; Lucic, I.; Øiestad, Å.M.L.; Pedersen-Bjergaard, S.; Øiestad, E.L. High-Throughput Quantification of Emerging “Nitazene” Benzimidazole Opioid Analogs by Microextraction and UHPLC-MS-MS. J. Anal. Toxicol. 2023, 47, 787–796. [Google Scholar] [CrossRef] [PubMed]
- European Monitoring Centre for Drugs and Drug Addiction. Isotonitazene. Report on the Risk Assessment of N,N-Diethyl-2-[[4-(1-Methylethoxy)Phenyl]Methyl]-5-Nitro-1Hbenzimidazole-1-Ethanamine (Isotonitazene) in Accordance with Article 5c of Regulation (EC) No 1920/2006 (as Amended); European Monitoring Centre for Drugs and Drug Addiction: Lisbon, Portugal, 2020. [Google Scholar]
- Schumann, J.L.; Syrjanen, R.; Alford, K.; Mashetty, S.; Castle, J.W.; Rotella, J.; Maplesden, J.; Greene, S.L. Intoxications in an Australian Emergency Department Involving ‘Nitazene’ Benzylbenzimidazole Synthetic Opioids (Etodesnitazene, Butonitazene and Protonitazene). J. Anal. Toxicol. 2023, 47, e6–e9. [Google Scholar] [CrossRef] [PubMed]
- Di Trana, A.; La Maida, N.; Froldi, R.; Scendoni, R.; Busardò, F.P.; Pichini, S. The New Synthetic Benzimidazole Opioid Etonitazepipne: An Emerging Fatal Harm and a Challenge for Laboratory Medicine. Clin. Chem. Lab. Med. (CCLM) 2023, 61, e200–e202. [Google Scholar] [CrossRef]
- United Nations Office on Drugs and Crime. Special Points of Interest. In The World Drug Report 2024; United Nations Office on Drugs and Crime: Vienna, Austria, 2024. [Google Scholar]
- Walton, S.E.; Krotulski, A.J.; Glatfelter, G.C.; Walther, D.; Logan, B.K.; Baumann, M.H. Plasma Pharmacokinetics and Pharmacodynamic Effects of the 2-Benzylbenzimidazole Synthetic Opioid, Isotonitazene, in Male Rats. Psychopharmacology 2023, 240, 185–198. [Google Scholar] [CrossRef]
- Walton, S.E.; Krotulski, A.J.; Logan, B.K. A Forward-Thinking Approach to Addressing the New Synthetic Opioid 2-Benzylbenzimidazole Nitazene Analogs by Liquid Chromatography–Tandem Quadrupole Mass Spectrometry (LC–QQQ-MS). J. Anal. Toxicol. 2022, 46, 221–231. [Google Scholar] [CrossRef]
- Ververi, C.; Galletto, M.; Massano, M.; Alladio, E.; Vincenti, M.; Salomone, A. Method Development for the Quantification of Nine Nitazene Analogs and Brorphine in Dried Blood Spots Utilizing Liquid Chromatography—Tandem Mass Spectrometry. J. Pharm. Biomed. Anal. 2024, 241, 115975. [Google Scholar] [CrossRef]
- Andrlova, L.; Kandar, R. The Dried Blood Spot Sampling Method in the Laboratory Medicine. Bratisl. Med. J. 2019, 120, 223–234. [Google Scholar] [CrossRef]
- Yuan, Y.; Xu, Y.; Lu, J. Dried Blood Spots in Doping Analysis. Bioanalysis 2021, 13, 587–604. [Google Scholar] [CrossRef]
- Palmquist, K.B.; Truver, M.T.; Shoff, E.N.; Krotulski, A.J.; Swortwood, M.J. Review of Analytical Methods for Screening and Quantification of Fentanyl Analogs and Novel Synthetic Opioids in Biological Specimens. J. Forensic Sci. 2023, 68, 1643–1661. [Google Scholar] [CrossRef] [PubMed]
- Vandeputte, M.M.; Krotulski, A.J.; Walther, D.; Glatfelter, G.C.; Papsun, D.; Walton, S.E.; Logan, B.K.; Baumann, M.H.; Stove, C.P. Pharmacological Evaluation and Forensic Case Series of N-Pyrrolidino Etonitazene (Etonitazepyne), a Newly Emerging 2-Benzylbenzimidazole ‘Nitazene’ Synthetic Opioid. Arch. Toxicol. 2022, 96, 1845–1863. [Google Scholar] [CrossRef] [PubMed]
- Krotulski, A.J.; Papsun, D.M.; Walton, S.E.; Logan, B.K. Metonitazene in the United States—Forensic Toxicology Assessment of a Potent New Synthetic Opioid Using Liquid Chromatography Mass Spectrometry. Drug Test. Anal. 2021, 13, 1697–1711. [Google Scholar] [CrossRef]
- Krotulski, A.J.; Papsun, D.M.; Kacinko, S.L.; Logan, B.K. Isotonitazene Quantitation and Metabolite Discovery in Authentic Forensic Casework. J. Anal. Toxicol. 2020, 44, 521–530. [Google Scholar] [CrossRef]
- Berardinelli, D.; Taoussi, O.; Carlier, J.; Tini, A.; Zaami, S.; Sundermann, T.; Busardò, F.P.; Auwärter, V. In Vitro, In Vivo Metabolism and Quantification of the Novel Synthetic Opioid N-Piperidinyl Etonitazene (Etonitazepipne). Clin. Chem. Lab. Med. (CCLM) 2024, 62, 1580–1590. [Google Scholar] [CrossRef]
- Kanamori, T.; Okada, Y.; Segawa, H.; Yamamuro, T.; Kuwayama, K.; Tsujikawa, K.; Iwata, Y.T. Analysis of Highly Potent Synthetic Opioid Nitazene Analogs and Their Positional Isomers. Drug Test. Anal. 2023, 15, 449–457. [Google Scholar] [CrossRef] [PubMed]
- Academy Standards Board. American Academy of Forensic Sciences Standard Practices for Method Validation in Forensic Toxicology. Available online: https://www.aafs.org/academy-standards-board (accessed on 1 September 2024).
- Van Loco, J.; Elskens, M.; Croux, C.; Beernaert, H. Linearity of Calibration Curves: Use and Misuse of the Correlation Coefficient. Accredit. Qual. Assur. 2002, 7, 281–285. [Google Scholar] [CrossRef]
- Müller, I.R.; Linden, G.; Charão, M.F.; Antunes, M.V.; Linden, R. Dried Blood Spot Sampling for Therapeutic Drug Monitoring: Challenges and Opportunities. Expert Rev. Clin. Pharmacol. 2023, 16, 691–701. [Google Scholar] [CrossRef] [PubMed]
- Abu-Rabie, P.; Denniff, P.; Spooner, N.; Chowdhry, B.Z.; Pullen, F.S. Investigation of Different Approaches to Incorporating Internal Standard in DBS Quantitative Bioanalytical Workflows and Their Effect on Nullifying Hematocrit-Based Assay Bias. Anal. Chem. 2015, 87, 4996–5003. [Google Scholar] [CrossRef]
- Mommers, J.; Mengerink, Y.; Ritzen, E.; Weusten, J.; Van Der Heijden, J.; Van Der Wal, S. Quantitative Analysis of Morphine in Dried Blood Spots by Using Morphine-D3 Pre-Impregnated Dried Blood Spot Cards. Anal. Chim. Acta 2013, 774, 26–32. [Google Scholar] [CrossRef]
- Capiau, S.; Veenhof, H.; Koster, R.A.; Bergqvist, Y.; Boettcher, M.; Halmingh, O.; Keevil, B.G.; Koch, B.C.P.; Linden, R.; Pistos, C.; et al. Official International Association for Therapeutic Drug Monitoring and Clinical Toxicology Guideline: Development and Validation of Dried Blood Spot–Based Methods for Therapeutic Drug Monitoring. Ther. Drug Monit. 2019, 41, 409–430. [Google Scholar] [CrossRef] [PubMed]
- Timmerman, P.; White, S.; Globig, S.; Lüdtke, S.; Brunet, L.; Smeraglia, J. EBF Recommendation on the Validation of Bioanalytical Methods for Dried Blood Spots. Bioanalysis 2011, 3, 1567–1575. [Google Scholar] [CrossRef] [PubMed]
- Deprez, S.; Stove, C. Application of a Fully Automated Dried Blood Spot Method for Therapeutic Drug Monitoring of Immunosuppressants: Another Step Toward Implementation of Dried Blood Spot Analysis. Arch. Pathol. Lab. Med. 2023, 147, 786–796. [Google Scholar] [CrossRef] [PubMed]
- Matuszewski, B.K.; Constanzer, M.L.; Chavez-Eng, C.M. Strategies for the Assessment of Matrix Effect in Quantitative Bioanalytical Methods Based on HPLC-MS/MS. Anal. Chem. 2003, 75, 3019–3030. [Google Scholar] [CrossRef]
- Dean, R.B.; Dixon, W.J. Simplified Statistics for Small Numbers of Observations. Anal. Chem. 1951, 23, 636–638. [Google Scholar] [CrossRef]






| Analyte | Linear Range (ng/mL) | r2 | LOD (ng/mL) | LOQ (ng/mL) | Accuracy (%CV) | Inter-Day Precision (%CV) | Intra-Day Precision (%CV) | Recovery (%) | Matrix Effect (%) | ||||||||||
|---|---|---|---|---|---|---|---|---|---|---|---|---|---|---|---|---|---|---|---|
| lQC | mQC | hQC | lQC | mQC | hQC | lQC | mQC | hQC | lQC | mQC | hQC | lQC | mQC | hQC | |||||
| Etazene | 1–20 | 0.995 | 0.25 | 0.5 | 8 | 21 | 11 | 12 | 18 | 4 | 15 | 7 | 13 | 99 | 89 | 84 | 88 | 108 | 97 |
| Flunitazene | 1–20 | 0.997 | 0.25 | 0.5 | 10 | 9 | 8 | 15 | 12 | 9 | 12 | 9 | 18 | 95 | 110 | 105 | 80 | 110 | 95 |
| Isotonitazene | 1–20 | 0.993 | 0.35 | 0.5 | 17 | 20 | 12 | 8 | 16 | 11 | 18 | 11 | 12 | 91 | 117 | 92 | 108 | 93 | 96 |
| Protonitazene | 1–20 | 0.992 | 0.35 | 0.5 | 18 | 15 | 16 | 3 | 5 | 2 | 11 | 12 | 16 | 93 | 92 | 99 | 112 | 108 | 101 |
| Analyte | [M+H]+ m/z | Acquisition Window (min) | Retention Time (min) |
|---|---|---|---|
| Etazene | 352.2385 | 2.5–4.5 | 3.91 |
| Flunitazene | 371.1871 | 3.1–5.1 | 4.69 |
| Isotonitazene | 411.2386 | 4.1–6.1 | 5.06 |
| Protonitazene | 5.18 | ||
| Fentanyl-d5 | 342.2588 | 4.83 |
Disclaimer/Publisher’s Note: The statements, opinions and data contained in all publications are solely those of the individual author(s) and contributor(s) and not of MDPI and/or the editor(s). MDPI and/or the editor(s) disclaim responsibility for any injury to people or property resulting from any ideas, methods, instructions or products referred to in the content. |
© 2024 by the authors. Licensee MDPI, Basel, Switzerland. This article is an open access article distributed under the terms and conditions of the Creative Commons Attribution (CC BY) license (https://creativecommons.org/licenses/by/4.0/).
Share and Cite
Vitrano, A.; Di Giorgi, A.; Abbate, V.; Basile, G.; La Maida, N.; Pichini, S.; Di Trana, A. Evaluation of Short-Term Stability of Different Nitazenes Psychoactive Opioids in Dried Blood Spots by Liquid Chromatography-High-Resolution Mass Spectrometry. Int. J. Mol. Sci. 2024, 25, 12332. https://doi.org/10.3390/ijms252212332
Vitrano A, Di Giorgi A, Abbate V, Basile G, La Maida N, Pichini S, Di Trana A. Evaluation of Short-Term Stability of Different Nitazenes Psychoactive Opioids in Dried Blood Spots by Liquid Chromatography-High-Resolution Mass Spectrometry. International Journal of Molecular Sciences. 2024; 25(22):12332. https://doi.org/10.3390/ijms252212332
Chicago/Turabian StyleVitrano, Alessandro, Alessandro Di Giorgi, Vincenzo Abbate, Giuseppe Basile, Nunzia La Maida, Simona Pichini, and Annagiulia Di Trana. 2024. "Evaluation of Short-Term Stability of Different Nitazenes Psychoactive Opioids in Dried Blood Spots by Liquid Chromatography-High-Resolution Mass Spectrometry" International Journal of Molecular Sciences 25, no. 22: 12332. https://doi.org/10.3390/ijms252212332
APA StyleVitrano, A., Di Giorgi, A., Abbate, V., Basile, G., La Maida, N., Pichini, S., & Di Trana, A. (2024). Evaluation of Short-Term Stability of Different Nitazenes Psychoactive Opioids in Dried Blood Spots by Liquid Chromatography-High-Resolution Mass Spectrometry. International Journal of Molecular Sciences, 25(22), 12332. https://doi.org/10.3390/ijms252212332

