Structural Investigation of Beta-Cyclodextrin Complexes with Cannabidiol and Delta-9-Tetrahydrocannabinol in 1:1 and 2:1 Host-Guest Stoichiometry: Molecular Docking and Density Functional Calculations
Abstract
1. Introduction
2. Results and Discussions
2.1. One-to-One Inclusion Complexes of β-CD with CBD and THC
2.2. Two-to-One Inclusion Complexes of β-CDs with CBD and THC
3. Materials and Methods
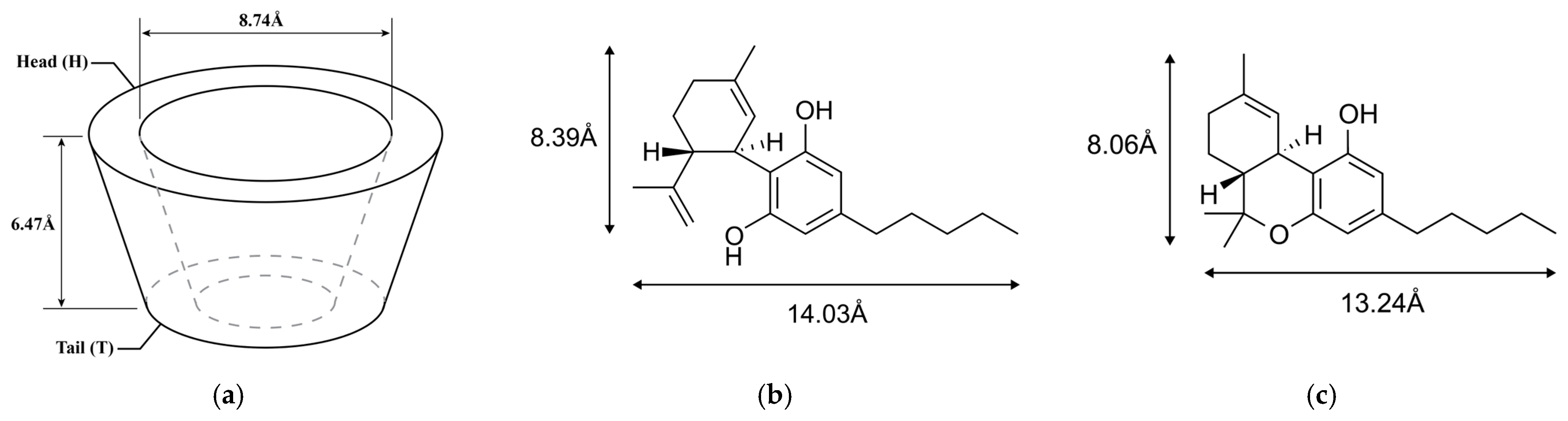
3.1. Molecular Structure Construction
3.2. Molecular Docking Calculation
3.3. Complexation Energy Calculation
4. Conclusions
Author Contributions
Funding
Institutional Review Board Statement
Informed Consent Statement
Data Availability Statement
Conflicts of Interest
References
- Mlost, J.; Bryk, M.; Starowicz, K. Cannabidiol for Pain Treatment: Focus on Pharmacology and Mechanism of Action. Int. J. Mol. Sci. 2020, 21, 8870. [Google Scholar] [CrossRef] [PubMed]
- Atalay, S.; Jarocka-Karpowicz, I.; Skrzydlewska, E. Antioxidative and Anti-Inflammatory Properties of Cannabidiol. Antioxidants 2020, 9, 21. [Google Scholar] [CrossRef] [PubMed]
- Henshaw, F.R.; Dewsbury, L.S.; Lim, C.K.; Steiner, G.Z. The Effects of Cannabinoids on Pro- and Anti-Inflammatory Cytokines: A Systematic Review of In Vivo Studies. Cannabis Cannabinoid Res. 2021, 6, 177–195. [Google Scholar] [CrossRef]
- Seltzer, E.S.; Watters, A.K.; MacKenzie, D., Jr.; Granat, L.M.; Zhang, D. Cannabidiol (CBD) as a Promising Anti-Cancer Drug. Cancers 2020, 12, 3203. [Google Scholar] [CrossRef]
- Elinav, E.; Nowarski, R.; Thaiss, C.A.; Hu, B.; Jin, C.; Flavell, R.A. Inflammation-Induced Cancer: Crosstalk between Tumours, Immune Cells and Microorganisms. Nat. Rev. Cancer 2013, 13, 759–771. [Google Scholar] [CrossRef]
- Porta, C.; Larghi, P.; Rimoldi, M.; Totaro, M.G.; Allavena, P.; Mantovani, A.; Sica, A. Cellular and Molecular Pathways Linking Inflammation and Cancer. Immunobiology 2009, 214, 761–777. [Google Scholar] [CrossRef]
- Mantovani, A.; Allavena, P.; Sica, A.; Balkwill, F. Cancer-related inflammation. Nature 2008, 454, 436–444. [Google Scholar] [CrossRef]
- Chen, J.W.; Borgelt, L.M.; Blackmer, A.B. Cannabidiol: A New Hope for Patients with Dravet or Lennox-Gastaut Syndromes. Ann. Pharmacother. 2019, 53, 603–611. [Google Scholar] [CrossRef] [PubMed]
- Koubeissi, M. Anticonvulsant Effects of Cannabidiol in Dravet Syndrome. Epilepsy Curr. 2017, 17, 281–282. [Google Scholar] [CrossRef]
- Pertwee, R.G. Cannabinoid pharmacology: The first 66 years. Br. J. Pharmacol. 2006, 147 (Suppl. S1), S163–S171. [Google Scholar] [CrossRef]
- Gaoni, Y.; Mechoulam, R. Isolation, Structure, and Partial Synthesis of an Active Constituent of Hashish. J. Am. Chem. Soc. 1964, 86, 1646–1647. [Google Scholar] [CrossRef]
- Almogi-Hazan, O.; Or, R. Cannabis, the Endocannabinoid System and Immunity-the Journey from the Bedside to the Bench and Back. Int. J. Mol. Sci. 2020, 21, 4448. [Google Scholar] [CrossRef]
- Freitas, H.R.; Ferreira, G.D.C.; Trevenzoli, I.H.; Oliveira, K.J.; de Melo Reis, R.A. Fatty Acids, Antioxidants and Physical Activity in Brain Aging. Nutrients 2017, 9, 1263. [Google Scholar] [CrossRef]
- Freitas, H.R.; Isaac, A.R.; Malcher-Lopes, R.; Diaz, B.L.; Trevenzoli, I.H.; De Melo Reis, R.A. Polyunsaturated Fatty Acids and Endocannabinoids in Health and Disease. Nutr. Neurosci. 2018, 21, 695–714. [Google Scholar] [CrossRef]
- Aizpurua-Olaizola, O.; Elezgarai, I.; Rico-Barrio, I.; Zarandona, I.; Etxebarria, N.; Usobiaga, A. Targeting the Endocannabinoid System: Future Therapeutic Strategies. Drug. Discov. Today 2017, 22, 105–110. [Google Scholar] [CrossRef]
- Donvito, G.; Nass, S.R.; Wilkerson, J.L.; Curry, Z.A.; Schurman, L.D.; Kinsey, S.G.; Lichtman, A.H. The Endogenous Cannabinoid System: A Budding Source of Targets for Treating Inflammatory and Neuropathic Pain. Neuropsychopharmacology 2018, 43, 52–79. [Google Scholar] [CrossRef]
- Chen, C.; Pan, Z. Cannabidiol and Terpenes from Hemp—Ingredients for Future Foods and Processing Technologies. J. Food Agric. Soc. 2021, 1, 113–127. [Google Scholar] [CrossRef]
- Koch, N.; Jennotte, O.; Gasparrini, Y.; Vandenbroucke, F.; Lechanteur, A.; Evrard, B. Cannabidiol Aqueous Solubility Enhancement: Comparison of Three Amorphous Formulations Strategies Using Different Type of Polymers. Int. J. Pharm. 2020, 589, 119812. [Google Scholar] [CrossRef]
- Chen, P.X.; Rogers, M.A. Opportunities and Challenges in Developing Orally Administered Cannabis Edibles. Curr. Opin. Food Sci. 2019, 28, 7–13. [Google Scholar] [CrossRef]
- Bragança, V.A.; França, T.G.; de Jesus, A.C.; Palheta, I.C.; Melo, F.P.; Neves, P.A.; Lima, A.B.; Borges, R.S. Impact of Conformational and Solubility Properties on Psycho-Activity of Cannabidiol (CBD) and Tetrahydrocannabinol (THC). Chem. Data Collect. 2020, 26, 100345. [Google Scholar] [CrossRef]
- Garrett, E.R.; Hunt, C.A. Physiochemical Properties, Solubility, and Protein Binding of Δ9-Tetrahydrocannabinol. J. Pharm. Sci. 1974, 63, 1056–1064. [Google Scholar] [CrossRef]
- Hatziagapiou, K.; Bethanis, K.; Koniari, E.; Christoforides, E.; Nikola, O.; Andreou, A.; Mantzou, A.; Chrousos, G.P.; Kanaka-Gantenbein, C.; Lambrou, G.I. Biophysical Studies and In Vitro Effects of Tumor Cell Lines of Cannabidiol and Its Cyclodextrin Inclusion Complexes. Pharmaceutics 2022, 14, 706. [Google Scholar] [CrossRef]
- Lv, P.; Zhang, D.; Guo, M.; Liu, J.; Chen, X.; Guo, R.; Xu, Y.; Zhang, Q.; Liu, Y.; Guo, H.; et al. Structural Analysis and Cytotoxicity of Host-Guest Inclusion Complexes of Cannabidiol with Three Native Cyclodextrins. J. Drug Deliv. Sci. Technol. 2019, 51, 337–344. [Google Scholar] [CrossRef]
- Li, H.; Zhao, Q.-S.; Chang, S.-L.; Chang, T.-R.; Tan, M.-H.; Zhao, B. Development of Cannabidiol Full-Spectrum Oil/2,6-Di-O-Methyl-β-Cyclodextrin Inclusion Complex with Enhanced Water Solubility, Bioactivity, and Thermal Stability. J. Mol. Liq. 2022, 347, 118318. [Google Scholar] [CrossRef]
- Mannila, J.; Järvinen, T.; Järvinen, K.; Tarvainen, M.; Jarho, P. Effects of RM-β-CD on Sublingual Bioavailability of Δ9-Tetrahydrocannabinol in Rabbits. Eur. J. Pharm. Sci. 2005, 26, 71–77. [Google Scholar] [CrossRef]
- Shoyama, Y.; Morimoto, S.; Nishioka, I. Cannabis. XV. Cannabis. XV. Preparation and Stability of Δ9-Tetrahydrocannabinol-β-Cyclodextrin Inclusion Complex. J. Nat. Prod. 1983, 46, 633–637. [Google Scholar] [CrossRef]
- Loftsson, T.; Jarho, P.; Másson, M.; Järvinen, T. Cyclodextrins in Drug Delivery. Expert Opin Drug Deliv 2005, 2, 335–351. [Google Scholar] [CrossRef]
- Petov, G.M.; Matrosov, E.I.; Kabachnik, M.I. Determination of dipole moments and stability constants for molecular complexex. Russ. Chem. Bull. 1978, 27, 2020–2024. [Google Scholar] [CrossRef]
- Steiner, T.; Koellner, G. Crystalline. β-Cyclodextrin Hydrate at Various Humidities: Fast, Continuous, and Reversible Dehydration Studied by X-ray Diffraction. J. Am. Chem. Soc. 1994, 116, 5122–5128. [Google Scholar] [CrossRef]
- Mayr, T.; Grassl, T.; Korber, N.; Christoffel, V.; Bodensteiner, M. Cannabidiol Revisited. IUCrData. 2017, 2, x170276. [Google Scholar] [CrossRef]
- Gul, W.; Carvalho, P.; Berberich, D.; Avery, M.A.; ElSohly, M.A. (6aR,10aR)-6,6,9-Trimethyl-3-pentyl6a,7,8,10a-tetrahydro-6H-benzo[c]chromen-1-yl 4-methylbenzenesulfonate. Acta Cryst. 2008, E64, o1686. [Google Scholar] [CrossRef]
- Makedonopoulou, S.; Mavridis, I.M. The Dimeric Complex of Cyclomaltoheptaose with 1,14-Tetradecanedioic Acid. Comparison with Related Complexe. Carbohydr. Res. 2002, 335, 213–220. [Google Scholar] [CrossRef]
- Grishina, A.; Stanchev, S.; Kumprecht, L.; Budesinsky, M.; Pojarova, M.; Dusek, M.; Rumlova, M.; Krizova, I.; Rulisek, L.; Kraus, T. β-Cyclodextrin Duplexes that are Connected through Two Disulfide Bonds: Potent Hosts for the Complexation of Organic Molecules. Chem. Eur. J. 2012, 18, 12292. [Google Scholar] [CrossRef]
- BIOVIA, Dassault Systèmes, Discovery Studio Visualizer, San Diego: Dassault Systèmes, 2020. Available online: https://discover.3ds.com/discovery-studio-visualizer-download (accessed on 12 May 2022).
- Morris, G.M.; Huey, R.; Lindstrom, W.; Sanner, M.F.; Belew, R.K.; Goodsell, D.S.; Olson, A.J. Autodock4 and AutoDockTools4: Automated Docking with Selective Receptor Flexiblity. J. Comput. Chem. 2009, 16, 2485–2791. [Google Scholar] [CrossRef]
- Morris, G.M.; Goodsell, D.S.; Halliday, R.S.; Huey, R.; Hart, W.E.; Belew, R.K.; Olson, A.J. Automated Docking Using a Lamarckian Genetic Algorithm and an Empirical Binding Free Energy Function. J. Comput. Chem. 1998, 19, 1639–1662. [Google Scholar] [CrossRef]
- Sinlikhitkul, N.; Toochinda, P.; Lawtrakul, L.; Kuropakornpong, P.; Itharat, A. Encapsulation of Plumbagin Using Cyclodextrins to Enhance Plumbagin Stability: Computational Simulation, Preparation, Characterization, and Application. J. Incl. Phenom. Macrocycl. Chem. 2019, 93, 229–243. [Google Scholar] [CrossRef]
- Jitapunkul, K.; Toochinda, P.; Lawtrakul, L. Molecular Dynamic Simulation Analysis on the Inclusion Complexation of Plumbagin with β-Cyclodextrin Derivatives in Aqueous Solution. Molecules 2021, 11, 6784. [Google Scholar] [CrossRef] [PubMed]
- Chulurks, S.; Jitapunkul, K.; Katanyutanon, S.; Toochinda, P.; Lawtrakul, L. Stability Enhancement and Skin Permeation Application of Nicotine by Forming Inclusion Complex with β-Cyclodextrin and Methyl-β-Cyclodextrin. Sci. Pharm. 2021, 9, 43. [Google Scholar] [CrossRef]
- Srihakulung, O.; Maezono, R.; Toochinda, P.; Kongprawechnon, W.; Intarapanich, A.; Lawtrakul, L. Host-Guest Interactions of Plumbagin with β-Cyclodextrin, Dimethyl-β-Cyclodextrin and Hydroxypropyl-β-Cyclodextrin: Semi-Empirical Quantum Mechanical PM6 and PM7 Methods. Sci. Pharm. 2018, 86, 20. [Google Scholar] [CrossRef]
- Zhao, Y.; Truhlar, D.G. The M06 Suite of Density Functionals for Main Group Thermochemistry, Thermochemical Kinetics, Noncovalent Interactions, Excited States, and Transition Elements: Two New Functionals and Systematic Testing of Four M06-Class Functionals and 12 Other Functionals. Theor. Chem. Account 2008, 120, 215–241. [Google Scholar] [CrossRef]
- Frisch, M.J.; Trucks, G.W.; Schlegel, H.B.; Scuseria, G.E.; Robb, M.A.; Cheeseman, J.R.; Scalmani, G.; Barone, V.; Petersson, G.A.; Nakatsuji, H.; et al. Gaussian 16, Revision C.01; Gaussian, Inc.: Wallingford, CT, USA, 2016. [Google Scholar]
- Cova, T.F.; Cruz, S.M.; Valente, A.J.; Abreu, P.; Marques, J.M.; Pais, A.A. Aggregation of Cyclodextrins: Fundamental Issues and Applications. In Cyclodextrin—A Versatile Ingredient [Internet]; Arora, P., Dhingra, N., Eds.; IntechOpen: London, UK, 2018. [Google Scholar] [CrossRef]






| Host/Guest | Cluster | Conformation | Frequency (%) | ΔG (kcal/mol) | |
|---|---|---|---|---|---|
| Lowest | Average | ||||
| β-CD/CBD | 1 | I | 41 | −6.87 | −6.57 |
| 2 | I | 46 | −6.81 | −6.62 | |
| 3 | I | 12 | −6.73 | −6.49 | |
| 4 | II | 1 | −6.07 | −6.07 | |
| β-CD/THC | 1 | II | 44 | −6.77 | −6.73 |
| 2 | II | 26 | −6.72 | −6.64 | |
| 3 | II | 25 | −6.71 | −6.68 | |
| 4 | II | 4 | −6.41 | −6.35 | |
| Inclusion Complex | Distance (Å) | |
|---|---|---|
| β-CD/CBD Conf. I | O4(β-CD)n ··· H(O1H-CBD) | 1.84 |
| O2(β-CD)n+1 ··· H(O3H-CBD) | 1.99 | |
| O4(β-CD)n+2 ··· H(O3H-CBD) | 2.50 | |
| β-CD/CBD Conf. II | O4(β-CD)n ··· H(O1H-CBD) | 1.90 |
| O4(β-CD)n+3 ··· H(O3H-CBD) | 1.92 | |
| β-CD/THC Conf. II | O4(β-CD)n ··· H(O1H-THC) | 2.04 |
| O2(β-CD)n+1 ··· H(O1H-THC) | 2.24 | |
| O(THC) ··· H(O3H-β-CD)n-2 | 2.85 |
| β-CD | CBD | THC | β-CD/CBD Conf. I | β-CD/CBD Conf. II | β-CD/THC Conf. II | |
|---|---|---|---|---|---|---|
| µ (debye) | 3.5332 | 1.7515 | 1.0617 | 4.7651 | 3.5766 | 3.1873 |
| µsp (guest) (debye) | 3.0744 | 3.3216 | 1.0512 | |||
| µsp (host) (debye) | 3.2881 | 3.4526 | 3.5170 | |||
| HOMO (eV) | −8.7310 | −6.9408 | −6.9302 | −7.2456 | −7.1514 | −7.1133 |
| LUMO (eV) | 2.2550 | 1.2640 | 1.2583 | 0.9625 | 0.8041 | 0.8041 |
| Δ|HOMO-LUMO| (eV) | 10.9860 | 8.2048 | 8.1884 | 8.2080 | 7.9555 | 7.9174 |
| Energy (hartree) a | −4273.8373 | −968.3414 | −968.3654 | −5242.2266 | −5242.2302 | −5242.2583 |
| ΔE (kcal/mol) | −29.9964 | −32.3017 | −34.9201 | |||
| (kcal/mol) | 12.0319 | 11.6836 | 2.9349 | |||
| (kcal/mol) | 8.6929 | 4.7126 | 3.4940 |
| Host/Guest | Cluster | Conformation | Frequency (%) | ΔG (kcal/mol) | |
|---|---|---|---|---|---|
| Lowest | Average | ||||
| HH/CBD | 1 | III | 55 | −8.97 | −8.63 |
| 2 | III | 16 | −8.69 | −8.48 | |
| 3 | III | 14 | −8.66 | −8.50 | |
| 4 | III | 10 | −8.64 | −8.44 | |
| 5 | III | 5 | −8.61 | −8.42 | |
| TT/CBD | 1 | IV | 38 | −8.98 | −8.72 |
| 2 | IV | 61 | −8.52 | −8.12 | |
| 3 | IV | 1 | −7.82 | −7.82 | |
| TH/CBD | 1 | V | 91 | −7.74 | −7.50 |
| 2 | V | 5 | −7.65 | −7.40 | |
| 3 | V | 4 | −7.57 | −7.38 | |
| HH/THC | 1 | III | 51 | −9.61 | −9.51 |
| 2 | III | 43 | −9.49 | −9.41 | |
| 3 | III | 6 | −9.12 | −9.04 | |
| TT/THC | 1 | IV | 59 | −8.77 | −8.70 |
| 2 | IV | 37 | −8.67 | −8.58 | |
| 3 | IV | 4 | −8.23 | −8.18 | |
| TH/THC | 1 | V | 41 | −8.32 | −8.12 |
| 2 | VI | 16 | −8.30 | −8.20 | |
| 3 | VII | 4 | −8.22 | −8.15 | |
| 4 | V | 33 | −8.11 | −8.02 | |
| 5 | V | 6 | −8.09 | −8.03 | |
| Inclusion Complex | Distance (Å) | |
|---|---|---|
| HH/CBD Conf. III | O3(β-CD-Top)n ··· H(O1H-CBD) | 1.99 |
| O4(β-CD-Top)n ··· H(O1H-CBD) | 3.10 | |
| TT/CBD Conf. IV | O4(β-CD-Top)n ··· H(O3H-CBD) | 1.86 |
| TH/CBD Conf. V | O4(β -CD-Top)n ··· H(O1H-CBD) | 1.82 |
| HH/THC Conf. III | O4(β -CD-Bottom)n ··· H(O1H-THC) | 2.78 |
| TT/THC Conf. IV | O4(β -CD-Top)n ··· H(O1H-THC) | 2.08 |
| TH/THC Conf. V | O4(β -CD-Top)n ··· H(O1H-THC) | 1.92 |
| TH/THC Conf. VI | O4(β -CD-Bottom)n ··· H(O1H-THC) | 2.42 |
| TH/THC Conf. VII | O4(β -CD-Bottom)n ··· H(O1H-THC) | 2.22 |
| HH/CBD Conf. III | TT/CBD Conf. IV | TH/CBD Conf. V | HH/THC Conf. III | TT/THC Conf. IV | TH/THC Conf. V | TH/THC Conf. VI | TH/THC Conf. VII | |
|---|---|---|---|---|---|---|---|---|
| µ (debye) | 4.9402 | 9.0612 | 3.8115 | 1.8504 | 8.4162 | 1.7925 | 2.2440 | 5.8098 |
| µsp (guest) (debye) | 2.4524 | 0.9196 | 2.6002 | 1.0526 | 1.0390 | 1.0210 | 3.0658 | 2.0765 |
| µsp (host) (debye) | 2.6626 | 9.3617 | 2.7540 | 3.0119 | 9.4903 | 2.5470 | 3.8716 | 3.4883 |
| HOMO (eV) | −7.3291 | −7.1884 | −7.4964 | −7.4328 | −7.1522 | −7.3013 | −7.6812 | −7.6439 |
| LUMO (eV) | 0.6705 | 0.8346 | 0.4991 | 0.4484 | 0.9094 | 0.6318 | 0.2392 | 0.2963 |
| Δ|HOMO-LUMO| (eV) | 7.9996 | 8.0230 | 7.9955 | 7.8812 | 8.0616 | 7.9332 | 7.9204 | 7.9403 |
| Energy (hartree) a | −9516.2118 | −9516.1492 | −9516.2214 | −9516.2239 | −9516.1777 | −9516.2558 | −9516.2402 | −9516.2290 |
| ΔE (kcal/mol) | −122.7734 | −83.5332 | −128.7802 | −115.3329 | −86.3642 | −135.3628 | −125.5592 | −118.542 |
| (kcal/mol) | 10.0163 | 8.2348 | 8.9426 | 7.4027 | 4.7377 | 2.2892 | 8.8366 | 12.7880 |
| (kcal/mol) | −70.2202 | −37.4730 | −95.2610 | −72.5865 | −38.3873 | −96.9119 | −88.7794 | −87.8827 |
Disclaimer/Publisher’s Note: The statements, opinions and data contained in all publications are solely those of the individual author(s) and contributor(s) and not of MDPI and/or the editor(s). MDPI and/or the editor(s) disclaim responsibility for any injury to people or property resulting from any ideas, methods, instructions or products referred to in the content. |
© 2023 by the authors. Licensee MDPI, Basel, Switzerland. This article is an open access article distributed under the terms and conditions of the Creative Commons Attribution (CC BY) license (https://creativecommons.org/licenses/by/4.0/).
Share and Cite
Triamchaisri, N.; Toochinda, P.; Lawtrakul, L. Structural Investigation of Beta-Cyclodextrin Complexes with Cannabidiol and Delta-9-Tetrahydrocannabinol in 1:1 and 2:1 Host-Guest Stoichiometry: Molecular Docking and Density Functional Calculations. Int. J. Mol. Sci. 2023, 24, 1525. https://doi.org/10.3390/ijms24021525
Triamchaisri N, Toochinda P, Lawtrakul L. Structural Investigation of Beta-Cyclodextrin Complexes with Cannabidiol and Delta-9-Tetrahydrocannabinol in 1:1 and 2:1 Host-Guest Stoichiometry: Molecular Docking and Density Functional Calculations. International Journal of Molecular Sciences. 2023; 24(2):1525. https://doi.org/10.3390/ijms24021525
Chicago/Turabian StyleTriamchaisri, Nat, Pisanu Toochinda, and Luckhana Lawtrakul. 2023. "Structural Investigation of Beta-Cyclodextrin Complexes with Cannabidiol and Delta-9-Tetrahydrocannabinol in 1:1 and 2:1 Host-Guest Stoichiometry: Molecular Docking and Density Functional Calculations" International Journal of Molecular Sciences 24, no. 2: 1525. https://doi.org/10.3390/ijms24021525
APA StyleTriamchaisri, N., Toochinda, P., & Lawtrakul, L. (2023). Structural Investigation of Beta-Cyclodextrin Complexes with Cannabidiol and Delta-9-Tetrahydrocannabinol in 1:1 and 2:1 Host-Guest Stoichiometry: Molecular Docking and Density Functional Calculations. International Journal of Molecular Sciences, 24(2), 1525. https://doi.org/10.3390/ijms24021525

