The Potential of a Saliva Test for Screening of Alveolar Bone Resorption
Abstract
1. Introduction
2. Materials and Methods
2.1. Study Population
2.2. Clinical Evaluation
2.3. Bacterial DNA Extraction
2.4. Real-Time Polymerase Chain Reaction
2.5. Statistical Analysis
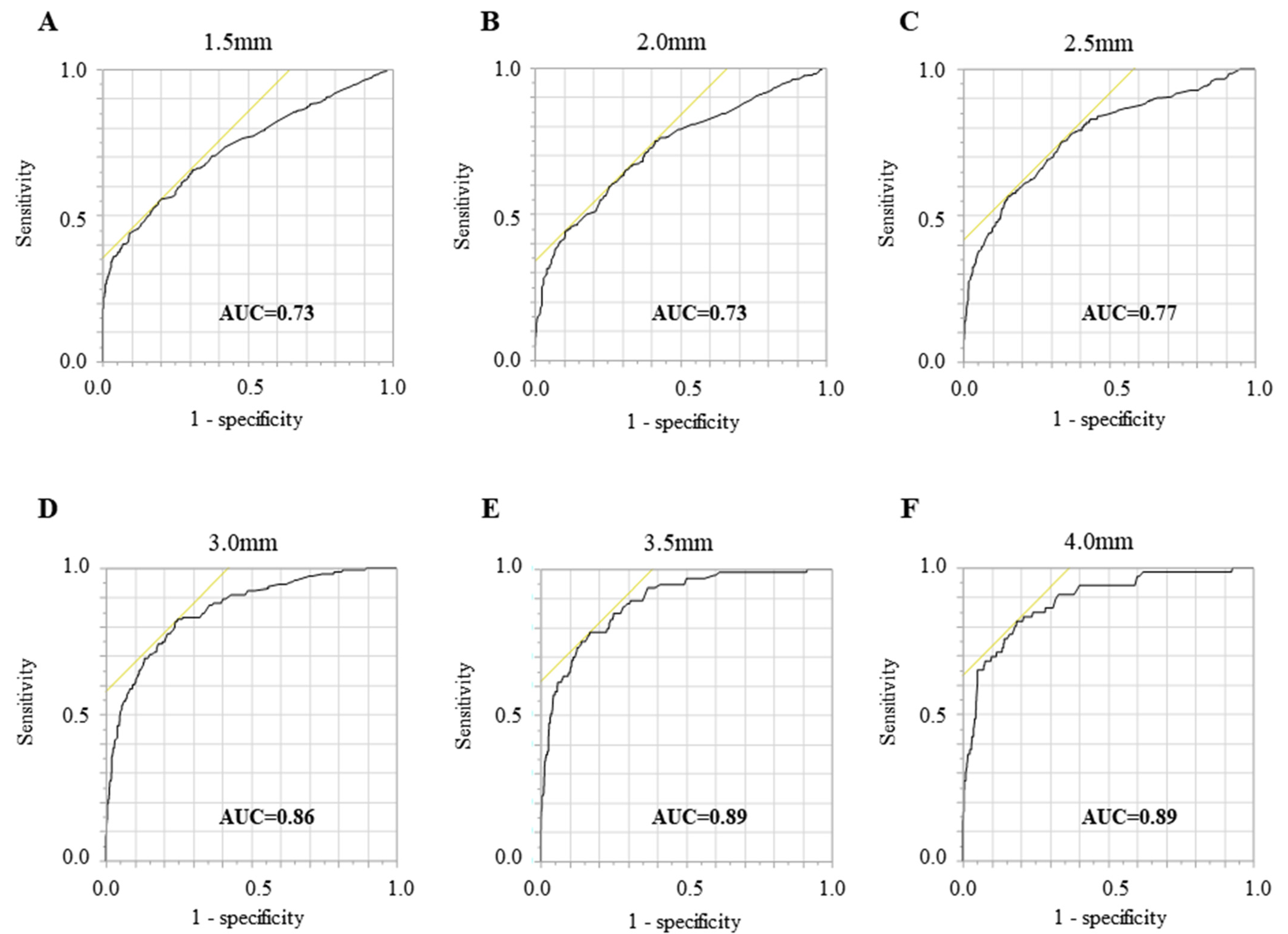
3. Results
3.1. Clinical Data of the Study Population
3.2. Multiple Logistic Regression Analysis for Estimating BCL Using Clinical Parameters
4. Discussion
5. Conclusions
Supplementary Materials
Author Contributions
Funding
Institutional Review Board Statement
Informed Consent Statement
Data Availability Statement
Acknowledgments
Conflicts of Interest
References
- Haag, D.G.; Peres, K.G.; Balasubramanian, M.; Brennan, D.S. Oral conditions and health-related quality of life: A systematic review. J. Dent. Res. 2017, 96, 864–874. [Google Scholar] [CrossRef] [PubMed]
- Chen, M.X.; Zhong, Y.J.; Dong, Q.Q.; Wong, H.M.; Wen, Y.F. Global, regional, and national burden of severe periodontitis, 1990–2019: An analysis of the Global Burden of Disease Study 2019. J. Clin. Periodontol. 2021, 48, 1165–1188. [Google Scholar] [CrossRef] [PubMed]
- Genco, R.J.; Sanz, M. Clinical and public health implications of periodontal and systemic diseases: An overview. Periodontology 2020, 83, 7–13. [Google Scholar] [CrossRef] [PubMed]
- Bui, F.Q.; Almeida-Da-Silva, C.L.C.; Huynh, B.; Trinh, A.; Liu, J.; Woodward, J.; Asadi, H.; Ojcius, D.M. Association between periodontal pathogens and systemic disease. Biomed. J. 2019, 42, 27–35. [Google Scholar] [CrossRef]
- Hujoel, P.; Loe, H.; Anerud, A.; Boysen, H.; Leroux, B. The informativeness of attachment loss on tooth mortality. J. Periodontol. 1999, 70, 44–48. [Google Scholar] [CrossRef]
- Machtei, E.E.; Hausmann, E.; Dunford, R.; Grossi, S.; Ho, A.; Davis, G.; Chandler, J.; Zambon, J.; Genco, R.J. Longitudinal study of predictive factors for periodontal disease and tooth loss. J. Clin. Periodontol. 1999, 26, 374–380. [Google Scholar] [CrossRef]
- World Health Organization. Oral Health Surveys: Basic Methods, 5th ed.; World Health Organization: Geneva, Switzerland, 2013. [Google Scholar]
- Commission on Chronic Illness. Chronic Illness in the United States, Vol 1.; Harvard University Press: Cambridge, MA, USA, 1957. [Google Scholar]
- Ainamo, J.; Barmes, D.; Beagrie, G.; Cutress, T.; Martin, J.; Sardo-Infirri, J. Development of the World Health Organization (WHO) community periodontal index of treatment needs (CPITN). Int. Dent. J. 1982, 32, 281–291. [Google Scholar]
- Recker, E.N.; Brogden, K.A.; Avila-Ortiz, G.; Fischer, C.L.; Pagan-Rivera, K.; Dawson, D.V.; Smith, K.M.; Elangovan, S. Novel biomarkers of periodontitis and/or obesity in saliva—An exploratory analysis. Arch. Oral Biol. 2015, 60, 1503–1509. [Google Scholar] [CrossRef]
- Kluknavská, J.; Krajcikova, K.; Bolerázska, B.; Maslankova, J.; Ohlasová, J.; Timková, S.; Drotarova, Z.; Vaskova, J. Possible prognostic biomarkers of periodontitis in saliva. Eur. Rev. Med. Pharmacol. Sci. 2021, 25, 3154–3161. [Google Scholar] [CrossRef]
- Ebersole, J.L.; Nagarajan, R.; Akers, D.; Miller, C.S. Targeted salivary biomarkers for discrimination of periodontal health and disease(s). Front. Cell. Infect. Microbiol. 2015, 5, 62. [Google Scholar] [CrossRef]
- Hendek, M.K.; Erdemir, E.O.; Kisa, U. Evaluation of salivary procalcitonin levels in different periodontal diseases. J. Periodontol. 2015, 86, 820–826. [Google Scholar] [CrossRef]
- Banu, S.; Jabir, N.R.; Mohan, R.; Manjunath, N.C.; Kamal, M.A.; Kumar, K.R.V.; Zaidi, S.K.; Khan, M.S.; Tabrez, S. Correlation of toll-like receptor 4, interleukin-18, transaminases, and uric acid in patients with chronic periodontitis and healthy adults. J. Periodontol. 2015, 86, 431–439. [Google Scholar] [CrossRef]
- Salminen, A.; Kopra, K.A.E.; Hyvärinen, K.; Paju, S.; Mäntylä, P.; Buhlin, K.; Nieminen, M.S.; Sinisalo, J.; Pussinen, P. Quantitative PCR analysis of salivary pathogen burden in periodontitis. Front. Cell. Infect. Microbiol. 2015, 5, 69. [Google Scholar] [CrossRef]
- Chigasaki, O.; Takeuchi, Y.; Aoki, A.; Sasaki, Y.; Mizutani, K.; Aoyama, N.; Ikeda, Y.; Gokyu, M.; Umeda, M.; Ishikawa, I.; et al. A cross-sectional study on the periodontal status and prevalence of red complex periodontal pathogens in a Japanese population. J. Oral Sci. 2018, 60, 293–303. [Google Scholar] [CrossRef]
- Chigasaki, O.; Aoyama, N.; Sasaki, Y.; Takeuchi, Y.; Mizutani, K.; Ikeda, Y.; Gokyu, M.; Umeda, M.; Izumi, Y.; Iwata, T.; et al. Porphyromonas gingivalis, the most influential pathogen in red-complex bacteria: A cross-sectional study on the relationship between bacterial count and clinical periodontal status in Japan. J. Periodontol. 2021, 92, 1719–1729. [Google Scholar] [CrossRef]
- Schei, O.; Waerhaug, J.; Lovdal, A.; Arno, A. Alveolar bone loss as related to oral hygiene and age. J. Periodontol. 1959, 30, 7–16. [Google Scholar] [CrossRef]
- Ashimoto, A.; Chen, C.; Bakker, I.; Slots, J. Polymerase chain reaction detection of 8 putative periodontal pathogens in subgingival plaque of gingivitis and advanced periodontitis lesions. Oral Microbiol. Immunol. 1996, 11, 266–273. [Google Scholar] [CrossRef]
- Raffe, A.E.; Mackie, A.; Gray, J.A.M. Screening Evidence and Practice, 2nd ed.; Oxford University Press: Oxford, UK, 2019; pp. 91–93. [Google Scholar]
- Oda, S.; Osada, Y.; Iida, M.; Taguchi, S.; Muraoka, Y.; Kowashi, Y.; Kinoshita, S. Study on root surface area. Nihon Shishubyo Gakkai Kaishi 1982, 24, 285–292. [Google Scholar] [CrossRef]
- Hajishengallis, G.; Chavakis, T. Local and systemic mechanisms linking periodontal disease and inflammatory comorbidities. Nat. Rev. Immunol. 2021, 21, 426–440. [Google Scholar] [CrossRef]
- Curtis, M.A.; Diaz, P.I.; Van Dyke, T.E. The role of the microbiota in periodontal disease. Periodontology 2000 2020, 83, 14–25. [Google Scholar] [CrossRef]
- Genco, R.J.; Borgnakke, W.S. Risk factors for periodontal disease. Periodontology 2000 2013, 62, 59–94. [Google Scholar] [CrossRef] [PubMed]
- Kamer, A.R.; Craig, R.G.; Niederman, R.; Fortea, J.; de Leon, M.J. Periodontal disease as a possible cause for Alzheimer’s disease. Periodontology 2000 2020, 83, 242–271. [Google Scholar] [CrossRef] [PubMed]
- Bartold, P.M.; Lopez-Oliva, I. Periodontitis and rheumatoid arthritis: An update 2012–2017. Periodontology 2000 2020, 83, 189–212. [Google Scholar] [CrossRef] [PubMed]
- Nwizu, N.; Wactawski-Wende, J.; Genco, R.J. Periodontal disease and cancer: Epidemiologic studies and possible mechanisms. Periodontology 2000 2020, 83, 213–233. [Google Scholar] [CrossRef] [PubMed]
- Kawasaki, M.; Ikeda, Y.; Ikeda, E.; Takahashi, M.; Tanaka, D.; Nakajima, Y.; Arakawa, S.; Izumi, Y.; Miyake, S. Oral infectious bacteria in dental plaque and saliva as risk factors in patients with esophageal cancer. Cancer 2021, 127, 512–519. [Google Scholar] [CrossRef]
- Yamamoto, T.; Koyama, R.; Tamaki, N.; Maruyama, T.; Tomofuji, T.; Ekuni, D.; Yamanaka, R.; Azuma, T.; Morita, M. Validity of a Questionnaire for periodontitis screening of Japanese employees. J. Occup. Health 2009, 51, 137–143. [Google Scholar] [CrossRef]
- Renatus, A.; Kottmann, T.; Schwarzenberger, F.; Jentsch, H. Evaluation of a new self-reported tool for periodontitis screening. J. Clin. Diagn. Res. 2016, 10, ZC107–ZC112. [Google Scholar] [CrossRef]
- Martí, G.A.V.; Friedman, S.M.; Cabrini, R.L.; Costa, O.R. Role of crevice in the occurrence of hemoglobin in saliva. Acta Odontol Latinoam 2002, 15, 11–13. [Google Scholar]
- Shimazaki, Y.; Akifusa, S.; Takeshita, T.; Shibata, Y.; Doi, Y.; Hata, J.; Ninomiya, T.; Hirakawa, Y.; Kiyohara, Y.; Yamashita, Y. Effectiveness of the Salivary Occult Blood Test as a Screening Method for Periodontal Status. J. Periodontol. 2011, 82, 581–587. [Google Scholar] [CrossRef]
- Nomura, Y.; Tamaki, Y.; Tanaka, T.; Arakawa, H.; Tsurumoto, A.; Kirimura, K.; Sato, T.; Hanada, N.; Kamoi, K. Screening of periodontitis with salivary enzyme tests. J. Oral Sci. 2006, 48, 177–183. [Google Scholar] [CrossRef]
- Suzuki, S.; Aoki, A.; Katagiri, S.; Maekawa, S.; Ejiri, K.; Kong, S.; Nagata, M.; Yamaguchi, Y.; Ohshima, M.; Izumi, Y. Detection of hepatocyte growth factor in oral rinses using water for possible periodontal diagnosis. J. Oral Sci. 2020, 62, 250–255. [Google Scholar] [CrossRef]
- Ji, S.; Kook, J.K.; Park, S.N.; Lim, Y.K.; Choi, G.H.; Jung, J.S. Characteristics of the salivary microbiota in periodontal diseases and potential roles of individual bacterial species to predict the severity of periodontal disease. Microbiol. Spectr. 2023, 11, e0432722. [Google Scholar] [CrossRef]
- Khemwong, T.; Kobayashi, H.; Ikeda, Y.; Matsuura, T.; Sudo, T.; Kano, C.; Mikami, R.; Izumi, Y. Fretibacterium sp. human oral taxon 360 is a novel biomarker for periodontitis screening in the Japanese population. PLoS ONE 2019, 14, e0218266. [Google Scholar] [CrossRef]
- Hirai, K.; Yamaguchi-Tomikawa, T.; Eguchi, T.; Maeda, H.; Takashiba, S. Identification and modification of Porphyromonas gingivalis cysteine protease, gingipain, ideal for sreening periodontitis. Front. Immunol. 2020, 11, 1017. [Google Scholar] [CrossRef]
- Kakizaki, S.; Aoki, A.; Tsubokawa, M.; Lin, T.; Mizutani, K.; Koshy, G.; Sadr, A.; Oda, S.; Sumi, Y.; Izumi, Y. Observation and determination of periodontal tissue profile using optical coherence tomography. J. Periodontal Res. 2018, 53, 188–199. [Google Scholar] [CrossRef]
- Salmon, B.; Le Denmat, D. Intraoral ultrasonography: Development of a specific high-frequency probe and clinical pilot study. Clin. Oral Investig. 2011, 16, 643–649. [Google Scholar] [CrossRef]
- Eke, P.I.; Page, R.C.; Wei, L.; Thornton-Evans, G.; Genco, R.J. Update of the Case Definitions for Population-Based Surveillance of Periodontitis. J. Periodontol. 2012, 83, 1449–1454. [Google Scholar] [CrossRef]
- Buduneli, N.; Kinane, D.F. Host-derived diagnostic markers related to soft tissue destruction and bone degradation in periodontitis. J. Clin. Periodontol. 2011, 38, 85–105. [Google Scholar] [CrossRef]
- Office of Nutrition, Health Service Division, Health Service Bureau, Ministry of Health, Labour and Welfare, Japan. The National Health and Nutrition Survey in Japan, 2016; Ministry of Health, Labour and Welfare of Japan: Tokyo, Japan, 2017. [Google Scholar]
- Cortelli, S.C.; Cortelli, J.R.; Romeiro, R.L.; Costa, F.O.; Aquino, D.R.; Orzechowski, P.R.; Araújo, V.; Duarte, P.M. Frequency of periodontal pathogens in equivalent peri-implant and periodontal clinical statuses. Arch. Oral Biol. 2012, 58, 67–74. [Google Scholar] [CrossRef]
- Shibli, J.A.; Melo, L.; Ferrari, D.S.; Figueiredo, L.C.; Faveri, M.; Feres, M. Composition of supra- and subgingival biofilm of subjects with healthy and diseased implants. Clin. Oral Implant. Res. 2008, 19, 975–982. [Google Scholar] [CrossRef]
- Máximo, M.B.; de Mendonça, A.C.; Santos, V.R.; Figueiredo, L.C.; Feres, M.; Duarte, P.M. Short-term clinical and microbiological evaluations of peri-implant diseases before and after mechanical anti-infective therapies. Clin. Oral Implant. Res. 2009, 20, 99–108. [Google Scholar] [CrossRef] [PubMed]
- Gherlone, E.F.; Capparé, P.; Pasciuta, R.; Grusovin, M.G.; Mancini, N.; Burioni, R. Evaluation of resistance against bacterial microleakage of a new conical implant-abutment connection versus conventional connections: An in vitro study. New Microbiol. 2016, 39, 49–56. [Google Scholar] [PubMed]
- Candotto, V.; Gabrione, F.; Oberti, L.; Lento, D.; Severino, M. The role of implant-abutment connection in preventing bacterial leakage: A review. J. Biol. Regul. Homeost. Agents 2019, 33 (Suppl. 1), 129–134. [Google Scholar] [PubMed]
- D’orto, B.; Polizzi, E.; Nagni, M.; Tetè, G.; Capparè, P. Full arch implant-prosthetic rehabilitation in patients with type I diabetes mellitus: Retrospective clinical study with 10 year follow-up. Int. J. Environ. Res. Public Health 2022, 19, 11735. [Google Scholar] [CrossRef]

| Total | <30 Years | 30–39 Years | 40–49 Years | >50 | p-Value | |
|---|---|---|---|---|---|---|
| Number of patients | 977 | 193 | 441 | 196 | 147 | |
| Sex | 0.356 | |||||
| Male | 324 | 65 | 149 | 64 | 46 | |
| Female | 653 | 128 | 292 | 132 | 101 | |
| Smoking status | 0.179 | |||||
| Current smoker | 162 | 41 | 73 | 29 | 19 | |
| Non-smoker | 815 | 152 | 368 | 167 | 128 | |
| Number of teeth | 26.7 ± 2.3 | 27.6 ± 1.0 | 27.2 ± 1.4 | 26.2 ± 2.3 | 24.5 ± 4.0 | <0.001 |
| Bone crest level (mm) | 2.1 ± 1.2 | 1.6 ± 0.7 | 1.9 ± 0.9 | 2.4 ± 1.3 | 3.1 ± 1.4 | <0.001 |
| BOP (%) | 24.3 ± 21.8 | 20.2 ± 21.0 | 22.9 ± 20.7 | 26.2 ± 23.2 | 31.3 ± 22.7 | <0.001 |
| Site with PD ≥4 mm (%) | 15.2 ± 16.7 | 8.7 ± 12.1 | 13.4 ± 15.0 | 17.7 ± 18.4 | 25.9 ± 18.9 | <0.001 |
| BCL | 1.5 mm | 2.0 mm | 2.5 mm | 3.0 mm | 3.5 mm | 4.0 mm | ||||||
|---|---|---|---|---|---|---|---|---|---|---|---|---|
| Pos. | Neg. | Pos. | Neg. | Pos. | Neg. | Pos. | Neg. | Pos. | Neg. | Pos. | Neg. | |
| True | 375 | 241 | 293 | 362 | 197 | 474 | 117 | 634 | 73 | 734 | 54 | 742 |
| False | 61 | 300 | 163 | 153 | 241 | 65 | 200 | 26 | 150 | 20 | 169 | 12 |
| Sn | 0.56 | 0.65 | 0.75 | 0.82 | 0.78 | 0.82 | ||||||
| Sp | 0.80 | 0.69 | 0.66 | 0.76 | 0.83 | 0.81 | ||||||
| LR+ | 2.75 | 2.09 | 2.23 | 3.41 | 4.63 | 4.41 | ||||||
| LR− | 0.56 | 0.51 | 0.37 | 0.24 | 0.26 | 0.22 | ||||||
| Notes | - | - | - | - | Overfitting | Overfitting | ||||||
| Explanatory Variables | 1.5 mm | 2.0 mm | 2.5 mm | 3.0 mm | 3.5 mm | 4.0 mm | ||||||
|---|---|---|---|---|---|---|---|---|---|---|---|---|
| χ2 for LR | p-Value | χ2 for LR | p-Value | χ2 for LR | p-Value | χ2 for LR | p-Value | χ2 for LR | p-Value | χ2 for LR | p-Value | |
| Age | 90.40 | <0.001 * | 74.37 | <0.001 * | 81.84 | <0.001 * | 59.69 | <0.001 * | 39.07 | <0.001 * | 25.67 | <0.001 * |
| Sex | 0.05 | 0.822 | 0.01 | 0.915 | 0.01 | 0.918 | 0.72 | 0.395 | 1.25 | 0.263 | 2.21 | 0.137 |
| Number of teeth | 10.44 | 0.001 * | 15.20 | <0.001 * | 17.62 | <0.001 * | 33.27 | <0.001 * | 35.64 | <0.001 * | 30.96 | <0.001 * |
| Stimulated saliva volume | 1.80 | 0.407 | 1.16 | 0.561 | 1.51 | 0.470 | 16.27 | <0.001 * | 6.64 | 0.036 * | 2.92 | 0.232 |
| Smoking habit | 7.16 | 0.008 * | 9.31 | 0.003 * | 6.76 | 0.009 * | 14.64 | <0.001 * | 8.87 | 0.003 * | 8.63 | 0.003 * |
| Log (bacterial count of P.g + 1) | 28.96 | <0.001 * | 29.20 | <0.001 * | 30.42 | <0.001 * | 18.58 | <0.001 * | 26.80 | <0.001 * | 16.06 | <0.001 * |
| Log (bacterial count of T.d + 1) | 2.52 | 0.284 | 0.01 | 0.995 | 1.42 | 0.491 | 4.64 | 0.098 | 4.00 | 0.135 | 3.07 | 0.215 |
| Log (bacterial count of T.f + 1) | 1.14 | 0.567 | 0.13 | 0.935 | 0.09 | 0.955 | 1.84 | 0.398 | 0.04 | 0.983 | 0.51 | 0.774 |
| Variable | ORs | 95% CI | p-Value | |
|---|---|---|---|---|
| Lower | Upper | |||
| Age | ||||
| Less than 30 | 1.00 (reference) | |||
| 30 to 39 | 4.68 | 1.79 | 16.15 | 0.001 * |
| 40 to 49 | 9.78 | 3.64 | 34.24 | <0.001 * |
| Be equal to or more than 50 | 22.85 | 8.47 | 80.39 | <0.001 * |
| Sex | ||||
| Male | 1.00 (reference) | |||
| Female | 0.82 | 0.51 | 1.31 | 0.395 |
| Number of teeth | ||||
| Equal to or more than 23 | 1.00 (reference) | |||
| Less than 23 | 8.38 | 3.99 | 18.55 | <0.001 * |
| Stimulated saliva volume | ||||
| Equal to or more than 15 mL | 1.00 (reference) | |||
| 5 to 15 mL | 13.66 | 2.75 | 249.88 | <0.001 * |
| Less than 5 mL | 18.92 | 3.53 | 355.31 | <0.001 * |
| Smoking habit | ||||
| Nonsmoker | 1.00 (reference) | |||
| Current smoker | 2.99 | 1.72 | 5.16 | <0.001 * |
| Log (bacterial count of P.g + 1) | ||||
| Less than 5 | 1.00 (reference) | |||
| 5 to 7 | 2.03 | 1.28 | 3.23 | 0.003 * |
| Equal to or more than 7 | 5.20 | 2.22 | 12.17 | <0.001 * |
| Log (bacterial count of T.d + 1) | ||||
| Less than 5 | 1.00 (reference) | |||
| 5 to 7 | 1.57 | 0.96 | 2.65 | 0.075 |
| Equal to or more than 7 | 2.37 | 0.93 | 5.86 | 0.069 |
| Log (bacterial count of T.f + 1) | ||||
| Less than 5 | 1.00 (reference) | |||
| 5 to 7 | 0.91 | 0.56 | 1.46 | 0.689 |
| Equal to or more than 7 | 1.44 | 0.74 | 2.72 | 0.278 |
Disclaimer/Publisher’s Note: The statements, opinions and data contained in all publications are solely those of the individual author(s) and contributor(s) and not of MDPI and/or the editor(s). MDPI and/or the editor(s) disclaim responsibility for any injury to people or property resulting from any ideas, methods, instructions or products referred to in the content. |
© 2023 by the authors. Licensee MDPI, Basel, Switzerland. This article is an open access article distributed under the terms and conditions of the Creative Commons Attribution (CC BY) license (https://creativecommons.org/licenses/by/4.0/).
Share and Cite
Ikeda, Y.; Chigasaki, O.; Mizutani, K.; Sasaki, Y.; Aoyama, N.; Mikami, R.; Gokyu, M.; Umeda, M.; Izumi, Y.; Aoki, A.; et al. The Potential of a Saliva Test for Screening of Alveolar Bone Resorption. Healthcare 2023, 11, 1822. https://doi.org/10.3390/healthcare11131822
Ikeda Y, Chigasaki O, Mizutani K, Sasaki Y, Aoyama N, Mikami R, Gokyu M, Umeda M, Izumi Y, Aoki A, et al. The Potential of a Saliva Test for Screening of Alveolar Bone Resorption. Healthcare. 2023; 11(13):1822. https://doi.org/10.3390/healthcare11131822
Chicago/Turabian StyleIkeda, Yuichi, Otofumi Chigasaki, Koji Mizutani, Yoshiyuki Sasaki, Norio Aoyama, Risako Mikami, Misa Gokyu, Makoto Umeda, Yuichi Izumi, Akira Aoki, and et al. 2023. "The Potential of a Saliva Test for Screening of Alveolar Bone Resorption" Healthcare 11, no. 13: 1822. https://doi.org/10.3390/healthcare11131822
APA StyleIkeda, Y., Chigasaki, O., Mizutani, K., Sasaki, Y., Aoyama, N., Mikami, R., Gokyu, M., Umeda, M., Izumi, Y., Aoki, A., & Takeuchi, Y. (2023). The Potential of a Saliva Test for Screening of Alveolar Bone Resorption. Healthcare, 11(13), 1822. https://doi.org/10.3390/healthcare11131822

