Viral Response among Early Treated HIV Perinatally Infected Infants: Description of a Cohort in Southern Mozambique
Abstract
1. Introduction
2. Materials and Methods
2.1. Statistical Analysis
2.2. Ethical Considerations
3. Results
3.1. Characteristics of the Cohort
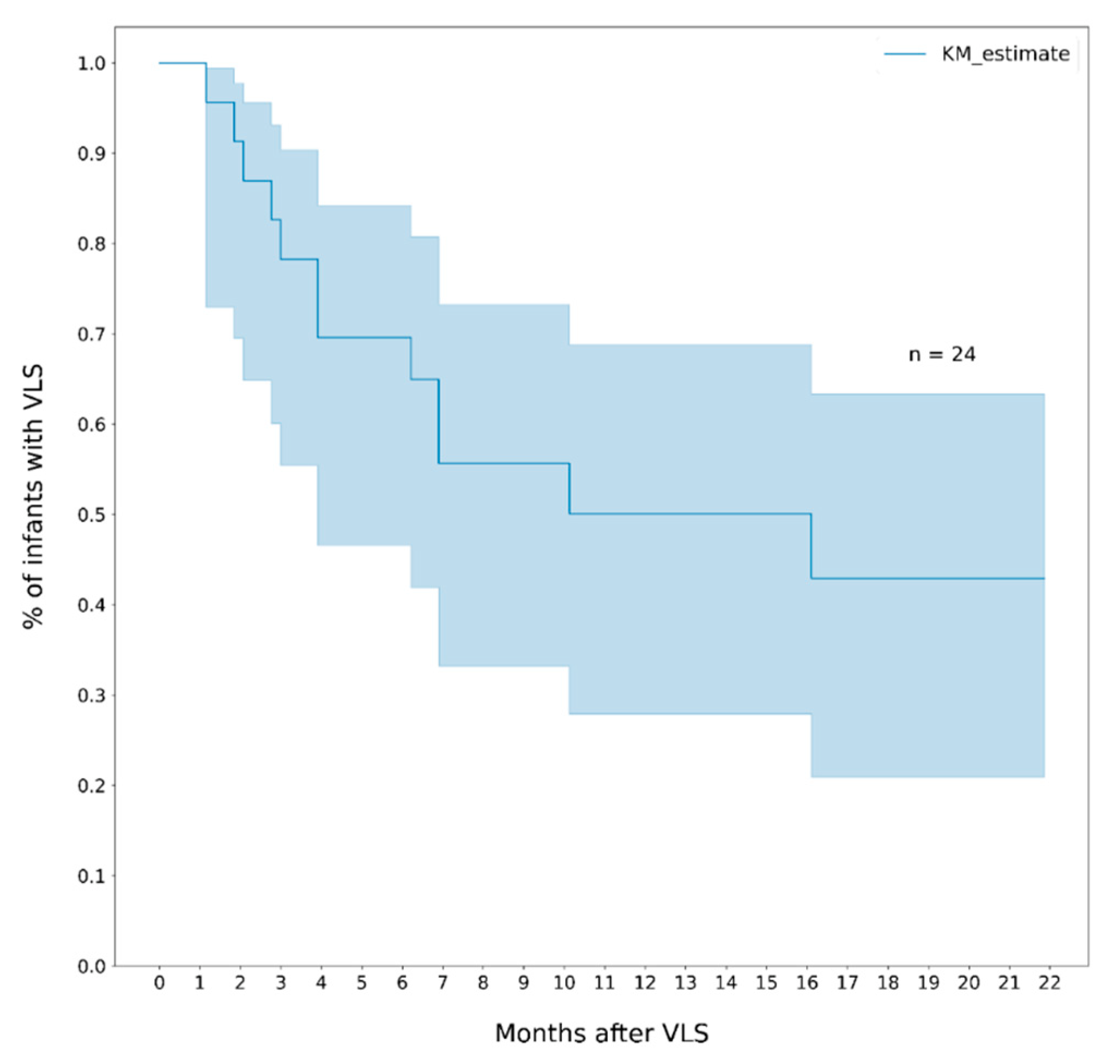
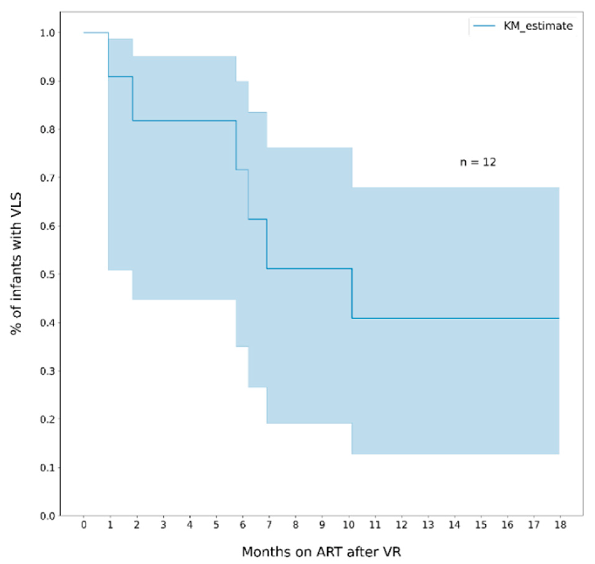
3.2. Virologic Response to ART
3.3. Characteristics of Infants with and without VLS and Their Mothers
3.4. Resistance Test Results
4. Discussion
5. Conclusions
Author Contributions
Funding
Institutional Review Board Statement
Informed Consent Statement
Data Availability Statement
Acknowledgments
Conflicts of Interest
References
- UNAIDS. Countdown to Zero: Global Plan towards the Elimination of New HIV Infections among Children by 2015 and Keeping Their Mothers Alive, 2011–2015; UNAIDS: Geneva, Switzerland, 2011. [Google Scholar]
- UNAIDS. Start Free Stay Free AIDS Free—2019 report [Internet]. 2019. Available online: https://www.unaids.org/en/resources/documents/2019/20190722_UNAIDS_SFSFAF_2019 (accessed on 17 September 2019).
- UNAIDS Data 2021 [Internet]. Available online: https://www.unaids.org/en/resources/documents/2021/2021_unaids_data (accessed on 5 June 2022).
- Bianchi, F.; Cohn, J.; Sacks, E.; Bailey, R.; Lemaire, J.-F.; Machekano, R.; Nzima, V.N.; Ekouévi, P.F.; Makone, M.; Odhiambo, C.O.; et al. Evaluation of a routine point-of-care intervention for early infant diagnosis of HIV: An observational study in eight African countries. Lancet HIV 2019, 6, e373–e381. [Google Scholar] [CrossRef]
- Jani, I.V.; Meggi, B.; Loquiha, O.; Tobaiwa, O.; Mudenyanga, C.; Zitha, A.; Dadirayi, M.; Nedio, M.; Adolfo, V.; Timothy, B.; et al. Effect of point-of-care early infant diagnosis on antiretroviral therapy initiation and retention of patients. AIDS 2018, 32, 1453. [Google Scholar] [CrossRef] [PubMed]
- Hsiao, N.-Y.; Stinson, K.; Myer, L. Linkage of HIV-Infected Infants from Diagnosis to Antiretroviral Therapy Services across the Western Cape, South Africa. PLoS ONE 2013, 8, e55308. [Google Scholar] [CrossRef] [PubMed]
- Penazzato, M.; Revill, P.; Prendergast, A.J.; Collins, I.J.; Walker, S.; Elyanu, P.J.; Sculpher, M.; Gibb, D.M. Early infant diagnosis of HIV infection in low-income and middle-income countries: Does one size fit all? Lancet Infect. Dis. 2014, 14, 650–655. [Google Scholar] [CrossRef]
- Essajee, S.; Vojnov, L.; Penazzato, M.; Jani, I.; Siberry, G.K.; A Fiscus, S.; Markby, J. Reducing mortality in HIV-infected infants and achieving the 90-90-90 target through innovative diagnosis approaches. J. Int. AIDS Soc. 2015, 18, 20299. [Google Scholar] [CrossRef]
- Violari, A.; Cotton, M.F.; Gibb, D.M.; Babiker, A.G.; Steyn, J.; Madhi, S.A.; Jean-Philippe, P.; McIntyre, J.A. Early Antiretroviral Therapy and Mortality among HIV-Infected Infants. N. Engl. J. Med. 2008, 359, 2233–2244. [Google Scholar] [CrossRef]
- Collins, I.J.; Jourdain, G.; Hansudewechakul, R.; Kanjanavanit, S.; Hongsiriwon, S.; Ngampiyasakul, C.; Sriminiphant, S.; Technakunakorn, P.; Ngo-Giang-Huong, N.; Duong, T.; et al. Long-Term Survival of HIV-Infected Children Receiving Antiretroviral Therapy in Thailand: A 5-Year Observational Cohort Study. Clin. Infect. Dis. 2010, 51, 1449–1457. [Google Scholar] [CrossRef]
- Innes, S.; Lazarus, E.; Otwombe, K.; Liberty, A.; Germanus, R.; Van Rensburg, A.J.; Grobbelaar, N.; Hurter, T.; Eley, B.; Violari, A.; et al. Early severe HIV disease precedes early antiretroviral therapy in infants: Are we too late? J. Int. AIDS Soc. 2014, 17, 18914. [Google Scholar] [CrossRef]
- Goetghebuer, T.; Haelterman, E.; Le Chenadec, J.; Dollfus, C.; Gibb, D.; Judd, A.; Green, H.; Galli, L.; Ramos, J.T.; Gia-quinto, C.; et al. Effect of early antiretroviral therapy on the risk of AIDS/death in HIV-infected infants. AIDS 2009, 23, 597–604. [Google Scholar] [CrossRef]
- Chiappini, E.; Galli, L.; Tovo, P.A.; Gabiano, C.; Gattinara, G.C.; Guarino, A.; Baddato, R.; Giaquinto, C.; Lisi, C.; de Martino, M.; et al. Virologic, immunologic, and clinical benefits from early combined antiretroviral therapy in infants with perinatal HIV-1 infection. AIDS 2006, 20, 207–215. [Google Scholar] [CrossRef]
- Szubert, A.J.; Prendergast, A.J.; Spyer, M.J.; Musiime, V.; Musoke, P.; Bwakura-Dangarembizi, M.; Nahirya-Ntege, P.; Thomason, M.J.; Ndashimye, E.; Nkanya, I.; et al. Virological response and resistance among HIV-infected children receiving long-term antiretroviral therapy without virological monitoring in Uganda and Zimbabwe: Observational analyses within the randomised ARROW trial. PLOS Med. 2017, 14, e1002432. [Google Scholar] [CrossRef]
- Delaugerre, C.; Teglas, J.P.; Treluyer, J.M.; Vaz, P.; Jullien, V.; Veber, F.; Rouzioux, C.P.; Chaix, M.-L.; Blanche, S. Predictive Factors of Virologic Success in HIV-1—Infected Children Treated with Lopinavir/Ritonavir. JAIDS J. Acquir. Immune Defic. Syndr. 2004, 37, 1269–1275. [Google Scholar] [CrossRef]
- Barth, R.E.; Tempelman, H.A.; Smelt, E.; Wensing, A.M.J.; Hoepelman, A.I.; Geelen, S.P. Long-term Outcome of Children Receiving Antiretroviral Treatment in Rural South Africa: Substantial Virologic Failure on First-line Treatment. Pediatr. Infect. Dis. J. 2011, 30, 52–56. [Google Scholar] [CrossRef]
- PENPACT-1 (PENTA 9/PACTG 390) Study Team; Babiker, A.; Castro nee Green, H.; Compagnucci, A.; Fiscus, S.; Giaquinto, C. First-line antiretroviral therapy with a protease inhibitor versus non-nucleoside reverse transcriptase inhibitor and switch at higher versus low viral load in HIV-infected children: An open-label, randomised phase 2/3 trial. Lancet Infect. Dis. 2011, 11, 273–283. [Google Scholar]
- Penazzato, M.; Gnanashanmugam, D.; Rojo, P.; Lallemant, M.; Lewis, L.L.; Rocchi, F.; Raymond, A.S.; Ford, N.; Hazra, R.; Giaquinto, C.; et al. Optimizing Research to Speed Up Availability of Pediatric Antiretroviral Drugs and Formulations. Clin. Infect. Dis. 2017, 64, 1597–1603. [Google Scholar] [CrossRef]
- WHO. Update of Recommendations on First- and Second-Line Antiretroviral Regimens; [Internet]; WHO: Geneva, Switzerland, 2019; Available online: http://www.who.int/hiv/pub/arv/en/ (accessed on 26 September 2019).
- Boerma, R.S.; Boender, T.S.; Bussink, A.P.; Calis, J.C.J.; Bertagnolio, S.; de Wit, T.F.R.; van Hensbroek, M.B.; Sigaloff, K.C. Suboptimal Viral Suppression Rates Among HIV-Infected Children in Low- and Middle-Income Countries: A Meta-analysis. Clin. Infect. Dis. 2016, 63, 1645–1654. [Google Scholar] [CrossRef]
- Shiau, S.; Abrams, E.J.; Arpadi, S.M.; Kuhn, L. Early antiretroviral therapy in HIV-infected infants: Can it lead to HIV remission? Lancet HIV 2018, 5, e250–e258. [Google Scholar] [CrossRef]
- Teasdale, C.A.; Sogaula, N.; A Yuengling, K.; Wang, C.; Mutiti, A.; Arpadi, S.; Nxele, M.; Pepeta, L.; Mogashoa, M.; Rivadeneira, E.D.; et al. HIV viral suppression and longevity among a cohort of children initiating antiretroviral therapy in Eastern Cape, South Africa. J. Int. AIDS Soc. 2018, 21, e25168. [Google Scholar] [CrossRef]
- Kuhn, L.; Strehlau, R.; Shiau, S.; Patel, F.; Shen, Y.; Technau, K.-G.; Burke, M.; Sherman, G.; Coovadia, A.; Aldrovandi, G.M.; et al. Early antiretroviral treatment of infants to attain HIV remission. EClinicalMedicine 2020, 18, 100241. [Google Scholar] [CrossRef]
- Millar, J.R.; Bengu, N.; Fillis, R.; Sprenger, K.; Ntlantsana, V.; Vieira, V.A.; Khambati, N.; Archary, M.; Muenchhoff, M.; Groll, A.; et al. HIGH-FREQUENCY failure of combination antiretroviral therapy in paediatric HIV infection is associated with unmet maternal needs causing maternal NON-ADHERENCE. EClinicalMedicine 2020, 22, 100344. [Google Scholar] [CrossRef]
- Teasdale, C.A.; Abrams, E.J.; Coovadia, A.; Strehlau, R.; Martens, L.; Kuhn, L. Adherence and Viral Suppression among Infants and Young Children Initiating Protease Inhibitor-based Antiretroviral Therapy. Pediatr. Infect. Dis. J. 2013, 32, 489–494. [Google Scholar] [CrossRef] [PubMed]
- Haberer, J.E.; Cook, A.; Walker, A.S.; Ngambi, M.; Ferrier, A.; Mulenga, V.; Kityo, C.; Thomason, M.; Kabamba, D.; Chintu, C.; et al. Excellent Adherence to Antiretrovirals in HIV+ Zambian Children Is Compromised by Disrupted Routine, HIV Nondisclosure, and Paradoxical Income Effects. PLoS ONE 2011, 6, e18505. [Google Scholar] [CrossRef] [PubMed]
- Haberer, J.E.; Kiwanuka, J.; Nansera, D.; Ragland, K.; Mellins, C.; Bangsberg, D.R. Multiple Measures Reveal Antiretroviral Adherence Successes and Challenges in HIV-Infected Ugandan Children. PLoS ONE 2012, 7, e36737. [Google Scholar] [CrossRef]
- Vreeman, R.C.; Wiehe, S.; Pearce, E.C.; Nyandiko, W.M. A Systematic Review of Pediatric Adherence to Antiretroviral Therapy in Low- and Middle-Income Countries. Pediatr. Infect. Dis. J. 2008, 27, 686. [Google Scholar] [CrossRef] [PubMed]
- Sengayi, M.; Dwane, N.; Marinda, E.; Sipambo, N.; Fairlie, L.; Moultrie, H. Predictors of loss to follow-up among children in the first and second years of antiretroviral treatment in Johannesburg, South Africa. Glob. Health Action 2013, 6, 19248. [Google Scholar] [CrossRef] [PubMed]
- MISAU-MOH. Relatorio Anual 2019 das Actividades Relacionadas ao HIV/SIDA—HIV/AIDS Annual Report 2019; [Internet]. 2020. Available online: https://www.misau.gov.mz/index.php/relatorios-anuais# (accessed on 26 September 2019).
- MISAU-MOH. Guidelines on Antiretroviral Treatment and Opportunistic Infections in Adults, Adolescents, Pregnant Women and Children. 2013 (Guia de Tratamento Antiretroviral e Infecções Oportunistas no Adulto, Criança, Adolescente e Grávida. 2013) [Internet]. 2014. Available online: https://www.misau.gov.mz/index.php/guioes-de-prevencao-e-de-cuidados-e-tratamento (accessed on 14 October 2022).
- Yang, C.; McNulty, A.; Diallo, K.; Zhang, J.; Titanji, B.; Kassim, S.; Wadonda-Kabondo, N.; Aberle-Grasse, J.; Kibuka, T.; Ndumbe, P.M.; et al. Development and Application of a Broadly Sensitive Dried-Blood-Spot-Based Genotyping Assay for Global Surveillance of HIV-1 Drug Resistance. J. Clin. Microbiol. 2010, 48, 3158–3164. [Google Scholar] [CrossRef]
- WHO. WHO|What’s New in Treatment Monitoring: Viral Load and CD4 Testing [Internet]. 2017. Available online: http://www.who.int/hiv/pub/arv/treatment-monitoring-info-2017/en/ (accessed on 18 July 2019).
- MISAU. Directriz, Implementação da Carga Viral de HIV em Moçambique. [Guidelines for HIV Viral Load Implementation in Mozambique] [Internet]. 2015. Available online: http://www.misau.gov.mz/index.php/directrizes-nacionais (accessed on 21 July 2019).
- Davidson-Pilon, C. lifelines: Survival analysis in Python. J. Open Source Softw. 2019, 4, 1317. [Google Scholar] [CrossRef]
- Kaplan, E.L.; Meier, P. Nonparametric Estimation from Incomplete Observations. J. Am. Stat. Assoc. 1958, 53, 457–481. [Google Scholar] [CrossRef]
- Python.org [Internet]. Python.org. Available online: https://www.python.org/ (accessed on 14 October 2022).
- MISAU-MOH. Relatório Anual 2020 das Actividades Relacionadas ao HIV/SIDA [Internet]. Available online: https://www.misau.gov.mz/index.php/relatorios-anuais (accessed on 12 July 2022).
- Ismael, N.; Bila, D.; Mabunda, N.; Penazzato, M.; Vubil, A. A16 Primary drug resistance among children infected with HIV-1 in Mozambique: Impact of maternal and neonatal prophylaxis. Virus Evol. 2018, 4 (Suppl. S1), vey010-015. [Google Scholar] [CrossRef][Green Version]
- Koay, W.L.A.; Kose-Otieno, J.; Rakhmanina, N. HIV Drug Resistance in Children and Adolescents: Always a Challenge? Curr. Epidemiol. Rep. 2021, 8, 97–107. [Google Scholar] [CrossRef]
- Patel, R.C.; Oyaro, P.; Thomas, K.K.; Wagude, J.; Mukui, I.; Brown, E.; A Hassan, S.; Kinywa, E.; Oluoch, F.; Odhiambo, F.; et al. Point-of-care HIV viral load and targeted drug resistance mutation testing versus standard care for Kenyan children on antiretroviral therapy (Opt4Kids): An open-label, randomised controlled trial. Lancet Child Adolesc. Health 2022, 6, 681–691. [Google Scholar] [CrossRef]
- Judd, A. Early antiretroviral therapy in HIV-1-infected infants, 1996–2008: Treatment response and duration of first-line regimens. AIDS 2011, 25, 2279–2287. [Google Scholar]
- Shiau, S.; Strehlau, R.; Technau, K.-G.; Patel, F.; Arpadi, S.M.; Coovadia, A.; Abrams, E.J.; Kuhn, L. Early age at start of antiretroviral therapy associated with better virologic control after initial suppression in HIV-infected infants. AIDS 2017, 31, 355–364. [Google Scholar] [CrossRef]
- Asbjornsdottir, K.H.; Hughes, J.P.; Wamalwa, D.; Langat, A.; Slyker, J.A.; Okinyi, H.M.; Overbaugh, J.; Benki-Nugent, S.; Tapia, K.; Maleche-Obimbo, E.; et al. Differences in virologic and immunologic response to antiretroviral therapy among HIV-1 infected infants and children. AIDS 2016, 30, 2835–2843. [Google Scholar] [CrossRef]
- Tukei, V.J.; Murungi, M.; Asiimwe, A.R.; Migisha, D.; Maganda, A.; Bakeera-Kitaka, S.; Kalyesubula, I.; Musoke, P.; Kekitiinwa, A. Virologic, immunologic and clinical response of infants to antiretroviral therapy in Kampala, Uganda. BMC Pediatr. 2013, 13, 42. [Google Scholar] [CrossRef]
- Luzuriaga, K.; McManus, M.; Mofenson, L.; Britto, P.; Graham, B.; Sullivan, J.L. A Trial of Three Antiretroviral Regimens in HIV-1–Infected Children. N. Engl. J. Med. 2004, 350, 2471–2480. [Google Scholar] [CrossRef]
- Prendergast, A.; Mphatswe, W.; Tudor-Williams, G.; Rakgotho, M.; Pillay, V.; Thobakgale, C.; McCarthy, N.; Morris, L.; Walker, B.D.; Goulder, P. Early virological suppression with three-class antiretroviral therapy in HIV-infected African infants. AIDS 2008, 22, 1333. [Google Scholar] [CrossRef]
- Reitz, C.; Coovadia, A.; Ko, S.; Meyers, T.; Strehlau, R.; Sherman, G.; Kuhn, L.; Abrams, E.J. Initial Response to Protease-Inhibitor-Based Antiretroviral Therapy among Children Less than 2 Years of Age in South Africa: Effect of Cotreatment for Tuberculosis. J. Infect. Dis. 2010, 201, 1121–1131. [Google Scholar] [CrossRef]
- Chan, M.K.; Goodall, R.; Judd, A.; Klein, N.; Chiappini, E.; Klimkait, T. Predictors of faster virological suppression in early treated infants with perinatal HIV from Europe and Thailand. AIDS 2019, 33, 1155–1165. [Google Scholar] [CrossRef]
- Tagarro, A.; Chan, M.; Zangari, P.; Ferns, B.; Foster, C.; De Rossi, A.; Nastouli, E.; Muñoz-Fernández, M.; Gibb, D.; Rossi, P.; et al. Early and Highly Suppressive Antiretroviral Therapy Are Main Factors Associated With Low Viral Reservoir in European Perinatally HIV-Infected Children. JAIDS J. Acquir. Immune Defic. Syndr. 2018, 79, 269–276. [Google Scholar] [CrossRef]
- Meyers, T.M.; Yotebieng, M.; Kuhn, L.; Moultrie, H. Antiretroviral Therapy Responses Among Children Attending a Large Public Clinic in Soweto, South Africa. Pediatr. Infect. Dis. J. 2011, 30, 974–979. [Google Scholar] [CrossRef] [PubMed]
- Mulato, A.; Acosta, R.; Chang, S.; Martin, R.; Yant, S.R.; Cihlar, T.; White, K. Simulating HIV Breakthrough and Resistance Development During Variable Adherence to Antiretroviral Treatment. JAIDS J. Acquir. Immune Defic. Syndr. 2020, 86, 369–377. [Google Scholar] [CrossRef] [PubMed]
- Archary, M.; Van Zyl, R.; Sipambo, N.; Sorour, G. Optimised paediatric antiretroviral treatment to achieve the 95-95-95 goals. S. Afr. J. HIV Med. 2021, 22, 1–4. [Google Scholar] [CrossRef] [PubMed]
- Lain, M.G.; Chicumbe, S.; Cantarutti, A.; Porcu, G.; Cardoso, L.; Cotugno, N.; Palma, P.; Pahwa, R.; Pallikkuth, S.; Rinaldi, S.; et al. Caregivers’ psychosocial assessment for identifying HIV-infected infants at risk of poor treatment adherence: An exploratory study in southern Mozambique. AIDS Care 2022, 1–10. [Google Scholar] [CrossRef] [PubMed]
- Humphrey, J.M.; Genberg, B.L.; Keter, A.; Musick, B.; Apondi, E.; Gardner, A.; Hogan, J.W.; Wools-Kaloustian, K. Viral suppression among children and their caregivers living with HIV in western Kenya. J. Int. AIDS Soc. 2019, 22, e25272. [Google Scholar] [CrossRef]
- Wilson, D.; Keiluhu, A.K.; Kogrum, S.; Reid, T.; Seriratana, N.; Ford, N.; Kyawkyaw, M.; Talangsri, P.; Taochalee, N. HIV-1 viral load monitoring: An opportunity to reinforce treatment adherence in a resource-limited setting in Thailand. Trans. R. Soc. Trop. Med. Hyg. 2009, 103, 601–606. [Google Scholar] [CrossRef]
- Simoni, J.M.; Montgomery, A.; Martin, E.; New, M.; Demas, P.A.; Rana, S. Adherence to Antiretroviral Therapy for Pediatric HIV Infection: A Qualitative Systematic Review with Recommendations for Research and Clinical Management. Pediatrics 2007, 119, e1371–e1383. [Google Scholar] [CrossRef]
- Haberer, J.; Mellins, C. Pediatric adherence to HIV antiretroviral therapy. Curr. HIV/AIDS Rep. 2009, 6, 194–200. [Google Scholar] [CrossRef]
- Teasdale, C.A.; Besser, M.J. Enhancing PMTCT programmes through psychosocial support and empowerment of women: The mothers2mothers model of care. S. Afr. J. HIV Med. 2008, 9, 60–64. [Google Scholar]
- MISAU. Directrizes Para Engajamento Do Homen nos Cuidados de Saúde [Guidelines for Male Engagement in Health Care] [Internet]. 2018. Available online: http://www.misau.gov.mz/index.php/directrizes-nacionais (accessed on 3 September 2019).
- Moore, C.L.; Odyssey Trial the ODYSSEY Trial Team; Turkova, A.; Mujuru, H.; Kekitiinwa, A.; Lugemwa, A.; Kityo, C.M.; Barlow-Mosha, L.N.; Cressey, T.R.; Violari, A.; et al. ODYSSEY clinical trial design: A randomised global study to evaluate the efficacy and safety of dolutegravir-based antiretroviral therapy in HIV-positive children, with nested pharmacokinetic sub-studies to evaluate pragmatic WHO-weight-band based dolutegravir dosing. BMC Infect. Dis. 2021, 21, 5. [Google Scholar]
- Waalewijn, H.; Chan, M.K.; Bollen, P.D.J.; A Mujuru, H.; Makumbi, S.; Kekitiinwa, A.R.; Kaudha, E.; Sarfati, T.; Musoro, G.; Nanduudu, A.; et al. Dolutegravir dosing for children with HIV weighing less than 20 kg: Pharmacokinetic and safety substudies nested in the open-label, multicentre, randomised, non-inferiority ODYSSEY trial. Lancet HIV 2022, 9, e341–e352. [Google Scholar] [CrossRef]
- McCluskey, S.M.; Pepperrell, T.; Hill, A.; Venter, W.D.; Gupta, R.K.; Siedner, M.J. Adherence, resistance, and viral suppression on dolutegravir in sub-Saharan Africa: Implications for the TLD era. AIDS 2021, 35, S127. [Google Scholar] [CrossRef] [PubMed]





| Characteristics at Enrollment | HIV Perinatally Infected Infants n = 39 (%) |
|---|---|
| Sex | |
| Male | 15 (38.46) |
| Female | 24 (61.54) |
| Age at HIV diagnosis (days) | |
| Median [IQR] | 34 [12.5] |
| Age at ART initiation (days) | |
| Median [IQR] | 34 [11.5] |
| Time from diagnosis to ART (days) | |
| Mean [Min, Max] | 1 [0, 14] |
| Post-natal prophylaxis, n (%) | |
| No | 3 (7.69) |
| Yes | 32 (82.05) |
| Missing | 4 (10.26) |
| Weight (Kg) | |
| Median [IQR] | 4.1 [0.85] |
| Weight for Height Z -score (WHZ), n (%) | |
| ≥−1 SD | 34 (87.18) |
| ≥2 SD to <−1 SD | 5 (12.82) |
| ≥−3 SD to <−2 SD | 0 (0) |
| Feeding practice at enrollment, n (%) | |
| Exclusive breast feeding | 31 (79.49) |
| Mixed feeding | 5 (12.82) |
| Formula feeding | 3 (7.69) |
| WHO stage, n (%) | |
| I | 36 (92.31) |
| II | 2 (5.13) |
| III | 0 (0) |
| IV | 1 (2.56) |
| CD4 count (cell/mm3) | |
| Median [IQR] | 1956 [950.25] |
| CD4 percentage (%) | |
| Median [IQR] | 32 [13.95] |
| Hemoglobin (g/dl) | |
| Median [IQR] | 10.6 [2.51] |
| Missing—n (%) | 21 (53.84) |
| Pre-ART VL | |
| Median (copies/mL) [IQR] | 656,769 [3, 198, 839] |
| Mean log10 (SD) | 5.75 (1.10) |
| VL (copies/mL) n (%) | |
| VL ≤ 100,000 | 5 (12.82) |
| 100,000 < VL ≤ 500,000 | 12 (30.77) |
| 500,000 < VL ≤ 1,000,000 | 4 (10.26) |
| 1,000,000 < VL < 6,000,000 | 11 (28.20) |
| VL ≥ 6,000,000 | 7 (17.95) |
| Characteristics of Infants | Virologically Suppressed (VLS) | Non Virologically Suppressed (Non VLS) | p-Value |
|---|---|---|---|
| n = 24 | n = 15 | ||
| Sex, n (%) | |||
| Male | 11 (45.83) | 4 (26.67) | |
| Female | 13 (54.17) | 11 (73.33) | 0.32 1 |
| Age at ART initiation (days) | |||
| Median [IQR] | 33.5 [9.75] | 35 [19.00] | 0.43 2 |
| Post-natal prophylaxis, n (%) | |||
| No | 3 (12.5) | 0 | |
| Yes | 20 (83.33) | 12 (80.00) | 0.54 1 |
| Missing | 1 (4.17) | 3 (20.00) | |
| WHZ score at baseline, n (%) | |||
| ≥−1 SD | 20 (72.22) | 14 (93.33) | 0.63 1 |
| ≥2 SD to <−1 SD | 4 (27.78) | 1 (6.67) | |
| ≥−3 SD to <−2 SD | 0 | 0 | |
| WHO stage at baseline, n (%) | |||
| I | 23 (95.83) | 13 (86.66) | |
| II | 1 (4.17) | 1 (6.67) | 0.40 4 |
| III | 0 | 0 | |
| IV | 0 | 1 (6.67) | |
| CD4 at baseline, Median [IQR] | |||
| CD4 (cell/mm3) | 2.081 [1184.5] | 1.731 [589.50] | 0.13 3 |
| CD4 (%) | 38.2 [11.3] | 26 [12.5] | 0.025 3 |
| Hemoglobin (g/dl) at baseline | |||
| Median [IQR] | 10.6 [2.85] | 10.45 [2.27] | 0.39 3 |
| Missing (%) | 11 (16.67) | 10 (66.67) | |
| Infant pre-ART VL | |||
| Median [IQR] | 523.995 [3.099.998] | 1.462.574 [3.067.486] | 0.33 2 |
| Mean log10 (SD) | 5.54 (1.27) | 6.15 (0.66) | |
| Mode of delivery, n (%) | |||
| Vaginal | 24 (61.5) | 15 (38.5%) | - |
| Caesarian Section | 0 | 0 | |
| Mother VL during follow up, n (%) | |||
| Detectable (≥1000 copies/mL) | 8 (33.33) | 7 (46.67) | 0.29 1 |
| Undetectable (<1000 copies/mL) | 14 (58.33) | 5 (33.33) | |
| Missing | 2 (8.33) | 3 (20.00) | |
| Mother ART interruption before delivery, n (%) | |||
| No | 14 (58.33) | 6 (40.00) | |
| Yes | 10 (41.67) | 7 (46.67) | 1.00 1 |
| Missing | 0 | 2 (13.33) | |
| Mother time on ART at delivery (days) | |||
| Median [IQR] | 154.0 [268.5] | 168 [433.50] | 0.77 2 |
| Mother time on ART at delivery, n (%) | |||
| <3 months | 4 (16.67) | 1 (6.67) | 0.63 4 |
| 3–9 months | 11 (45.83) | 7 (46.67) | |
| >9 months | 8 (33.33) | 5 (33.33) | |
| Not on ART Missing | 1 (4.17) 0 | 0 2 (13.33) | |
| Mother self-disclosure within family, n (%) | |||
| Yes | 20 (83.33) | 13 (86.67) | 1.00 1 |
| No | 4 (16.67) | 2 (13.33) | |
| Missing | 0 | 0 |
Publisher’s Note: MDPI stays neutral with regard to jurisdictional claims in published maps and institutional affiliations. |
© 2022 by the authors. Licensee MDPI, Basel, Switzerland. This article is an open access article distributed under the terms and conditions of the Creative Commons Attribution (CC BY) license (https://creativecommons.org/licenses/by/4.0/).
Share and Cite
Lain, M.G.; Vaz, P.; Sanna, M.; Ismael, N.; Chicumbe, S.; Simione, T.B.; Cantarutti, A.; Porcu, G.; Rinaldi, S.; de Armas, L.; et al. Viral Response among Early Treated HIV Perinatally Infected Infants: Description of a Cohort in Southern Mozambique. Healthcare 2022, 10, 2156. https://doi.org/10.3390/healthcare10112156
Lain MG, Vaz P, Sanna M, Ismael N, Chicumbe S, Simione TB, Cantarutti A, Porcu G, Rinaldi S, de Armas L, et al. Viral Response among Early Treated HIV Perinatally Infected Infants: Description of a Cohort in Southern Mozambique. Healthcare. 2022; 10(11):2156. https://doi.org/10.3390/healthcare10112156
Chicago/Turabian StyleLain, Maria Grazia, Paula Vaz, Marco Sanna, Nalia Ismael, Sérgio Chicumbe, Teresa Beatriz Simione, Anna Cantarutti, Gloria Porcu, Stefano Rinaldi, Lesley de Armas, and et al. 2022. "Viral Response among Early Treated HIV Perinatally Infected Infants: Description of a Cohort in Southern Mozambique" Healthcare 10, no. 11: 2156. https://doi.org/10.3390/healthcare10112156
APA StyleLain, M. G., Vaz, P., Sanna, M., Ismael, N., Chicumbe, S., Simione, T. B., Cantarutti, A., Porcu, G., Rinaldi, S., de Armas, L., Dinh, V., Pallikkuth, S., Pahwa, R., Palma, P., Cotugno, N., & Pahwa, S. (2022). Viral Response among Early Treated HIV Perinatally Infected Infants: Description of a Cohort in Southern Mozambique. Healthcare, 10(11), 2156. https://doi.org/10.3390/healthcare10112156

