Utility of Machine Learning Models to Predict Lymph Node Metastasis of Japanese Localized Prostate Cancer
Simple Summary
Abstract
1. Introduction
- ●
- We developed ML models specifically tailored for Japanese patients to address the lack of existing ML models tailored for this population, enabling more accurate and personalized predictions for LNI.
- ●
- The predictive performance of ML models was systematically evaluated in comparison to widely used nomograms, highlighting their potential to improve LNI prediction.
- ●
- The capability of ML models to handle complex, non-linear relationships among clinical variables was demonstrated, offering a significant advantage over traditional regression-based approaches.
- ●
- Key predictive features for LNI were identified, which may serve as a foundation for further advancements in prostate cancer research and clinical practice.
2. Materials and Methods
2.1. Study Population
2.2. Choice of ML Methods
2.3. Development of ML Models
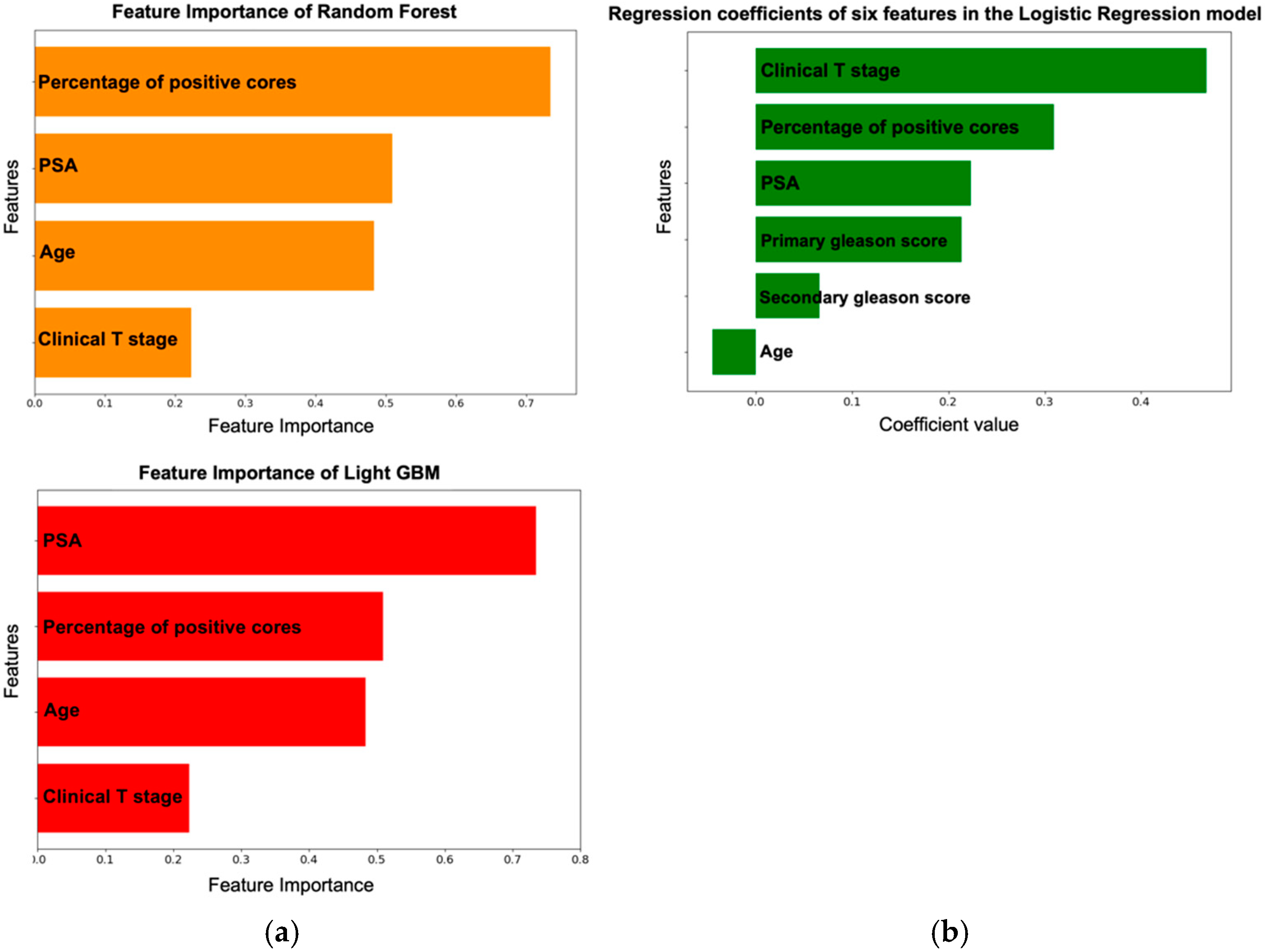
2.4. Feature Importance Measurement
2.5. Statistical Analysis
3. Results
3.1. Study Participants
3.2. Final Features of Each Model
3.3. Comparison of ML Models with Conventional Nomograms
4. Discussion
5. Conclusions
Supplementary Materials
Author Contributions
Funding
Institutional Review Board Statement
Informed Consent Statement
Data Availability Statement
Acknowledgments
Conflicts of Interest
References
- Sanda, M.G.; Cadeddu, J.A.; Kirkby, E.; Chen, R.C.; Crispino, T.; Fontanarosa, J.; Freedland, S.J.; Greene, K.; Klotz, L.H.; Makarov, D.V.; et al. Clinically Localized Prostate Cancer: AUA/ASTRO/SUO Guideline. Part II: Recommended Approaches and Details of Specific Care Options. J. Urol. 2018, 199, 990–997. [Google Scholar] [CrossRef] [PubMed]
- Mottet, N.; van den Bergh, R.C.N.; Briers, E.; Van den Broeck, T.; Cumberbatch, M.G.; De Santis, M.; Fanti, S.; Fossati, N.; Gandaglia, G.; Gillessen, S.; et al. EAU-EANM-ESTRO-ESUR-SIOG Guidelines on Prostate Cancer-2020 Update. Part 1: Screening, Diagnosis, and Local Treatment with Curative Intent. Eur. Urol. 2021, 79, 243–262. [Google Scholar] [CrossRef] [PubMed]
- Mottet, N.; Bellmunt, J.; Bolla, M.; Briers, E.; Cumberbatch, M.G.; De Santis, M.; Fossati, N.; Gross, T.; Henry, A.M.; Joniau, S.; et al. EAU-ESTRO-SIOG Guidelines on Prostate Cancer. Part 1: Screening, Diagnosis, and Local Treatment with Curative Intent. Eur. Urol. 2017, 71, 618–629. [Google Scholar] [CrossRef]
- Gandaglia, G.; Fossati, N.; Zaffuto, E.; Bandini, M.; Dell’Oglio, P.; Bravi, C.A.; Fallara, G.; Pellegrino, F.; Nocera, L.; Karakiewicz, P.I.; et al. Development and Internal Validation of a Novel Model to Identify the Candidates for Extended Pelvic Lymph Node Dissection in Prostate Cancer. Eur. Urol. 2017, 72, 632–640. [Google Scholar] [CrossRef] [PubMed]
- Briganti, A.; Larcher, A.; Abdollah, F.; Capitanio, U.; Gallina, A.; Suardi, N.; Bianchi, M.; Sun, M.; Freschi, M.; Salonia, A.; et al. Updated Nomogram Predicting Lymph Node Invasion in Patients with Prostate Cancer Undergoing Extended Pelvic Lymph Node Dissection: The Essential Importance of Percentage of Positive Cores. Eur. Urol. 2012, 61, 480–487. [Google Scholar] [CrossRef] [PubMed]
- Chen, J.; Ni, Y.; Sun, G.; Zhu, S.; Zhao, J.; Wang, Z.; Zhang, H.; Zhu, X.; Zhang, X.; Dai, J.; et al. Survival Outcomes of Radical Prostatectomy + Extended Pelvic Lymph Node Dissection and Radiotherapy in Prostate Cancer Patients with a Risk of Lymph Node Invasion over 5%: A Population-Based Analysis. Front. Oncol. 2020, 10, 607576. [Google Scholar] [CrossRef]
- Dynamic Prostate Cancer Nomogram: Coefficients. Available online: https://www.mskcc.org/nomograms/prostate/pre_op/coefficients (accessed on 24 November 2023).
- Lestingi, J.F.P.; Guglielmetti, G.B.; Trinh, Q.-D.; Coelho, R.F.; Pontes, J., Jr.; Bastos, D.A.; Cordeiro, M.D.; Sarkis, A.S.; Faraj, S.F.; Mitre, A.I.; et al. Extended Versus Limited Pelvic Lymph Node Dissection During Radical Prostatectomy for Intermediate- and High-Risk Prostate Cancer: Early Oncological Outcomes from a Randomized Phase 3 Trial. Eur. Urol. 2021, 79, 595–604. [Google Scholar] [CrossRef] [PubMed]
- Kong, J.; Lichtbroun, B.; Sterling, J.; Wang, Y.; Wang, Q.; Singer, E.A.; Jang, T.L.; Ghodoussipour, S.; Kim, I.Y. Comparison of Perioperative Complications for Extended vs Standard Pelvic Lymph Node Dissection in Patients Undergoing Radical Prostatectomy for Prostate Cancer: A Meta-Analysis. Am. J. Clin. Exp. Urol. 2022, 10, 73–81. [Google Scholar] [PubMed]
- Mirza, B.; Wang, W.; Wang, J.; Choi, H.; Chung, N.C.; Ping, P. Machine Learning and Integrative Analysis of Biomedical Big Data. Genes 2019, 10, 87. [Google Scholar] [CrossRef] [PubMed]
- Bi, Q.; Goodman, K.E.; Kaminsky, J.; Lessler, J. What Is Machine Learning? A Primer for the Epidemiologist. Am. J. Epidemiol. 2019, 188, 2222–2239. [Google Scholar] [CrossRef] [PubMed]
- Semwal, H.; Ladbury, C.; Sabbagh, A.; Mohamad, O.; Tilki, D.; Amini, A.; Wong, J.; Li, Y.R.; Glaser, S.; Yuh, B.; et al. Machine Learning and Explainable Artificial Intelligence to Predict Pathologic Stage in Men with Localized Prostate Cancer. Prostate 2024, 85, 3–12. [Google Scholar] [CrossRef]
- Wang, Z.; Li, H.; Carpenter, C.; Guan, Y. Challenge-Enabled Machine Learning to Drug-Response Prediction. AAPS J. 2020, 22, 106. [Google Scholar] [CrossRef] [PubMed]
- Gettman, M.T.; Neururer, R.; Bartsch, G.; Peschel, R. Anderson-Hynes Dismembered Pyeloplasty Performed Using the Da Vinci Robotic System. Urology 2002, 60, 509–513. [Google Scholar] [CrossRef]
- Miyake, H.; Fujisawa, M. Early Experience and Future Prospects Regarding Use of Newly Developed Surgical Robot System, Hinotori, in the Field of Urologic Cancer Surgery. Int. J. Clin. Oncol. 2024, 29, 640–646. [Google Scholar] [CrossRef]
- Tibshirani, R. Regression Shrinkage and Selection via the Lasso. J. R. Stat. Soc. Ser. B Stat. Methodol. 1996, 58, 267–288. [Google Scholar] [CrossRef]
- Breiman, L. Random Forests. Mach. Learn. 2001, 45, 5–32. [Google Scholar] [CrossRef]
- Ke, G.; Meng, Q.; Finley, T.; Wang, T.; Chen, W.; Ma, W.; Ye, Q.; Liu, T.-Y. LightGBM: A Highly Efficient Gradient Boosting Decision Tree. In Advances in Neural Information Processing Systems; MIT Press: Cambridge, MA, USA, 2017; Volume 30. [Google Scholar]
- Kasula, B.Y. Enhancing Classification Precision: Exploring the Power of Support-Vector Networks in Machine Learning. Int. Sci. J. Res. 2019, 1. [Google Scholar]
- Moons, K.G.M.; Altman, D.G.; Reitsma, J.B.; Ioannidis, J.P.A.; Macaskill, P.; Steyerberg, E.W.; Vickers, A.J.; Ransohoff, D.F.; Collins, G.S. Transparent Reporting of a Multivariable Prediction Model for Individual Prognosis or Diagnosis (TRIPOD): Explanation and Elaboration. Ann. Intern. Med. 2015, 162, W1–W73. [Google Scholar] [CrossRef] [PubMed]
- Blas, L.; Shiota, M.; Nagakawa, S.; Tsukahara, S.; Matsumoto, T.; Monji, K.; Kashiwagi, E.; Takeuchi, A.; Inokuchi, J.; Eto, M. Validation of Models Predicting Lymph Node Involvement Probability in Patients with Prostate Cancer. Int. J. Urol. 2022, 29, 428–434. [Google Scholar] [CrossRef]
- Fukagawa, E.; Yamamoto, S.; Ohde, S.; Yoshitomi, K.K.; Hamada, K.; Yoneoka, Y.; Fujiwara, M.; Fujiwara, R.; Oguchi, T.; Komai, Y.; et al. External Validation of the Briganti 2019 Nomogram to Identify Candidates for Extended Pelvic Lymph Node Dissection among Patients with High-Risk Clinically Localized Prostate Cancer. Int. J. Clin. Oncol. 2021, 26, 1736–1744. [Google Scholar] [CrossRef]
- Goto, Y.; Utsumi, T.; Maruo, M.; Kurozumi, A.; Noro, T.; Tanaka, S.; Sugawara, S.; Chiba, K.; Miyazaki, K.; Inoue, A.; et al. Development and Validation of Novel Nomogram to Identify the Candidates for Extended Pelvic Lymph Node Dissection for Prostate Cancer Patients in the Robotic Era. Int. J. Urol. 2023, 30, 659–665. [Google Scholar] [CrossRef] [PubMed]
- Kawase, M.; Ebara, S.; Tatenuma, T.; Sasaki, T.; Ikehata, Y.; Nakayama, A.; Toide, M.; Yoneda, T.; Sakaguchi, K.; Ishihara, T.; et al. A Nomogram for Predicting Prostate Cancer with Lymph Node Involvement in Robot-Assisted Radical Prostatectomy Era: A Retrospective Multicenter Cohort Study in Japan (the MSUG94 Group). Diagnostics 2022, 12, 2545. [Google Scholar] [CrossRef]
- Brembilla, G.; Dell’Oglio, P.; Stabile, A.; Ambrosi, A.; Cristel, G.; Brunetti, L.; Damascelli, A.; Freschi, M.; Esposito, A.; Briganti, A.; et al. Preoperative Multiparametric MRI of the Prostate for the Prediction of Lymph Node Metastases in Prostate Cancer Patients Treated with Extended Pelvic Lymph Node Dissection. Eur. Radiol. 2018, 28, 1969–1976. [Google Scholar] [CrossRef]
- Di Trapani, E.; Luzzago, S.; Peveri, G.; Catellani, M.; Ferro, M.; Cordima, G.; Mistretta, F.A.; Bianchi, R.; Cozzi, G.; Alessi, S.; et al. A Novel Nomogram Predicting Lymph Node Invasion among Patients with Prostate Cancer: The Importance of Extracapsular Extension at Multiparametric Magnetic Resonance Imaging. Urol. Oncol. 2021, 39, e15–e431. [Google Scholar] [CrossRef]
- Soeterik, T.F.W.; Hueting, T.A.; Israel, B.; van Melick, H.H.E.; Dijksman, L.M.; Stomps, S.; Biesma, D.H.; Koffijberg, H.; Sedelaar, M.; Witjes, J.A.; et al. External Validation of the Memorial Sloan Kettering Cancer Centre and Briganti Nomograms for the Prediction of Lymph Node Involvement of Prostate Cancer Using Clinical Stage Assessed by Magnetic Resonance Imaging. BJU Int. 2021, 128, 236–243. [Google Scholar] [CrossRef] [PubMed]
- Frego, N.; Marco, P.; Maffei, D.; Avolio, P.P.; Contieri, R.; Uleri, A.; Lazzeri, M.; Saita, A.; Casale, P.; Buffi, N.M.; et al. MP57-06 External Validation and Comparison of Two Nomograms Predicting the Probability of Lymph Node Involvement in Patients subjected to Robot-Assisted Radical Prostatectomy and Concomitant Lymph Node Dissection: A Single Tertiary Center Experience in the MRI-Era. J. Urol. 2022, 27, e983. [Google Scholar] [CrossRef]
- Oderda, M.; Diamand, R.; Albisinni, S.; Calleris, G.; Carbone, A.; Falcone, M.; Fiard, G.; Gandaglia, G.; Marquis, A.; Marra, G.; et al. Indications for and Complications of Pelvic Lymph Node Dissection in Prostate Cancer: Accuracy of Available Nomograms for the Prediction of Lymph Node Invasion: Nomograms for PLND in Prostate Cancer. BJU Int. 2021, 127, 318–325. [Google Scholar] [CrossRef] [PubMed]
- Meijer, D.; van Leeuwen, P.J.; Roberts, M.J.; Siriwardana, A.R.; Morton, A.; Yaxley, J.W.; Samaratunga, H.; Emmett, L.; van de Ven, P.M.; van der Poel, H.G.; et al. External Validation and Addition of Prostate-Specific Membrane Antigen Positron Emission Tomography to the Most Frequently Used Nomograms for the Prediction of Pelvic Lymph-Node Metastases: An International Multicenter Study. Eur. Urol. 2021, 80, 234–242. [Google Scholar] [CrossRef]
- Huebner, N.A.; Wasinger, G.; Rajwa, P.; Resch, I.; Korn, S.; Rasul, S.; Baltzer, P.; Prüger, L.; Rauschmeier, A.; Seitz, C.; et al. Clinical Parameters for the Prediction of Occult Lymph Node Metastasis in Patients with Negative PSMA-PET. Urol. Oncol. 2024, 42, e9–e115. [Google Scholar] [CrossRef]
- Vis, A.N.; Meijer, D.; Roberts, M.J.; Siriwardana, A.R.; Morton, A.; Yaxley, J.W.; Samaratunga, H.; Emmett, L.; van de Ven, P.M.; Heymans, M.W.; et al. Development and External Validation of a Novel Nomogram to Predict the Probability of Pelvic Lymph-Node Metastases in Prostate Cancer Patients Using Magnetic Resonance Imaging and Molecular Imaging with Prostate-Specific Membrane Antigen Positron Emission Tomography. Eur. Urol. Oncol. 2023, 6, 553–563. [Google Scholar]
- Muehlematter, U.J.; Schweiger, L.; Ferraro, D.A.; Hermanns, T.; Maurer, T.; Heck, M.M.; Rupp, N.J.; Eiber, M.; Rauscher, I.; Burger, I.A. Development and External Validation of a Multivariable [68Ga]Ga-PSMA-11 PET-Based Prediction Model for Lymph Node Involvement in Men with Intermediate or High-Risk Prostate Cancer. Eur. J. Nucl. Med. Mol. Imaging 2023, 50, 3137–3146. [Google Scholar] [CrossRef] [PubMed]
- Marouf, A.A.; Hasan, M.K.; Mahmud, H. Comparative Analysis of Feature Selection Algorithms for Computational Personality Prediction from Social Media. IEEE Trans. Comput. Soc. Syst. 2020, 7, 587–599. [Google Scholar] [CrossRef]
- Kraujalis, V.; Ruzgas, T.; Milonas, D. Mortality Rate Estimation Models for Patients with Prostate Cancer Diagnosis. Balt. J. Mod. Comput. 2022, 10, 170–184. [Google Scholar] [CrossRef]
- Subrahmanya, S.V.G.; Shetty, D.K.; Patil, V.; Hameed, B.M.Z.; Paul, R.; Smriti, K.; Naik, N.; Somani, B.K. The Role of Data Science in Healthcare Advancements: Applications, Benefits, and Future Prospects. Ir. J. Med. Sci. 2022, 191, 1473–1483. [Google Scholar] [CrossRef]
- Saurav, M.; Tapas, B.; Ujjwal, M. Identifying Epigenetic Biomarkers Using Maximal Relevance and Minimal Redundancy Based Feature Selection for Multi-Omics Data. IEEE Trans. Nanobiosci. 2017, 16, 3–10. [Google Scholar]
- Mallik, S.; Zhao, Z. ConGEMs: Condensed Gene Co-Expression Module Discovery through Rule-Based Clustering and Its Application to Carcinogenesis. Genes 2017, 9, 7. [Google Scholar] [CrossRef] [PubMed]
- Sabbagh, A.; Washington, S.L., 3rd; Tilki, D.; Hong, J.C.; Feng, J.; Valdes, G.; Chen, M.-H.; Wu, J.; Huland, H.; Graefen, M.; et al. Development and External Validation of a Machine Learning Model for Prediction of Lymph Node Metastasis in Patients with Prostate Cancer. Eur. Urol. Oncol. 2023, 6, 501–507. [Google Scholar] [CrossRef] [PubMed]
- Wei, L.; Huang, Y.; Chen, Z.; Lei, H.; Qin, X.; Cui, L.; Zhuo, Y. Artificial Intelligence Combined With Big Data to Predict Lymph Node Involvement in Prostate Cancer: A Population-Based Study. Front. Oncol. 2021, 11, 763381. [Google Scholar] [CrossRef]
- Hou, Y.; Bao, M.-L.; Wu, C.-J.; Zhang, J.; Zhang, Y.-D.; Shi, H.-B. A Machine Learning-Assisted Decision-Support Model to Better Identify Patients with Prostate Cancer Requiring an Extended Pelvic Lymph Node Dissection. BJU Int. 2019, 124, 972–983. [Google Scholar] [CrossRef]




| pN0 n = 591 (94.6%) | pN1 n = 34 (5.4%) | p-Value | |
|---|---|---|---|
| Median age, yr (IQR) | 68.3 (64.0–72.4) | 70.5 (65.1–73.1) | 0.35 |
| Median BMI (IQR) | 24.0 (22.0–25.0) | 24.0 (22.0–26.0) | 0.528 |
| PSA, ng/ml (IQR) | 8.0 (5.6–11.7) | 12.0 (7.0–19.0) | 0.002 |
| cT stage, n (%) | <0.001 | ||
| cT2a | 294 (49.8%) | 11 (32.4%) | |
| cT2b | 20 (3.4%) | 0 | |
| cT2c | 126 (21.3%) | 5 (14.7%) | |
| cT3a | 83 (14.0%) | 14 (41.2%) | |
| cT3b | 10 (1.7%) | 3 (8.82%) | |
| cT4 | 0 | 1 (2.94%) | |
| Median P-volume, ml (IQR) | 27.0 (20.0–37.0) | 30.0 (21.5–43.0) | 0.223 |
| Median cores, n (IQR) | 12 (10–12) | 12 (11–12) | |
| Median positive cores overall, n (IQR) | 3.0 (2.0–5.0) | 5.0 (3.3–7.8) | <0.001 |
| Median percentage of positive cores overall, % (IQR) | 30.0 (17.0–50.0) | 48.0 (33.0–67.0) | <0.001 |
| ISUP overall, n (%) | 0.016 | ||
| 1 | 62 (10.9%) | 3 (8.82%) | |
| 2 | 178 (30.1%) | 3 (8.82%) | |
| 3 | 125 (21.2%) | 6 (17.7%) | |
| 4 | 182 (30.8%) | 16 (47.1%) | |
| 5 | 44 (7.45%) | 6 (17.7%) | |
| pT, n (%) | <0.001 | ||
| pT0 | 1 (0.2%) | 0 | |
| pT2a | 192 (32.5%) | 2 (5.9%) | |
| pT2b | 23 (3.9%) | 2 (5.9%) | |
| pT2c | 197 (33.3%) | 4 (11.8%) | |
| pT3a | 131 (22.2%) | 13 (38.2%) | |
| pT3b | 36 (6.1%) | 13 (38.2%) | |
| pT4 | 2 (0.3%) | 0 | |
| N/A | 9 (1.5%) | 0 | |
| Resection margin, n (%) | 47 (8.0%) | 11 (32.4%) | <0.001 |
| Model | Features | AUC | 95%CI |
|---|---|---|---|
| Light GBM | cT stage, PSA, Positive cores %, Age | 0.924 | [0.850, 0.982] |
| Random Forest | cT stage, PSA, Positive cores %, Age | 0.894 | [0.815, 0.974] |
| Support Vector Machine | cT stage, PSA, Positive cores %, Age, Primary GS, Secondary GS | 0.794 | [0.513, 0.957] |
| MSKCC | cT stage, PSA, Positive cores %, Age, Primary GS, Secondary GS | 0.771 | [0.615, 0.895] |
| Logistic Regression | cT stage, PSA, Positive cores %, Age, Primary GS, Secondary GS | 0.764 | [0.561, 0.930] |
| Briganti, 2012 | cT stage, PSA, Positive cores %, Primary GS, Secondary GS | 0.759 | [0.597, 0.897] |
| Treatment Option | Accuracy (%) | F1 Score | Specificity (%) | PPV (%) | NPV (%) |
|---|---|---|---|---|---|
| 5% Cutoff | |||||
| MSKCC | 21.9 | 16.6 | 18.6 | 9.1 | 97.0 |
| Briganti 2012 | 35.3 | 17.7 | 30.6 | 9.8 | 98.2 |
| Random Forest | 75.6 | 21.4 | 74.7 | 12.0 | 100.0 |
| Light GBM | 92.2 | 36.4 | 93.1 | 25.0 | 98.8 |
| Logistic Regression | 68.9 | 30.8 | 69.0 | 6.9 | 98.4 |
| Support Vector Classifier | 3.3 | 6.5 | 0.0 | 3.3 | N/A |
| 10% Cutoff | |||||
| MSKCC | 34.8 | 20.1 | 36.0 | 11.3 | 98.4 |
| Briganti 2012 | 55.1 | 20.8 | 53.2 | 12.0 | 96.8 |
| Random Forest | 83.3 | 21.1 | 83.9 | 12.5 | 98.7 |
| Light GBM | 93.9 | 26.7 | 96.0 | 22.2 | 97.7 |
| Logistic Regression | 89.4 | 12.5 | 91.4 | 11.8 | 97.6 |
| Support Vector Classifier | 12.8 | 7.1 | 9.8 | 3.7 | 100.0 |
| 15% Cutoff | |||||
| MSKCC | 45.5 | 23.0 | 50.6 | 13.3 | 97.8 |
| Briganti 2012 | 70.1 | 26.3 | 69.9 | 16.1 | 96.8 |
| Random Forest | 89.4 | 24.0 | 90.8 | 15.8 | 98.1 |
| Light GBM | 95.0 | 30.8 | 97.1 | 28.6 | 97.7 |
| Logistic Regression | 95.0 | 17.4 | 97.7 | 20.0 | 97.1 |
| Support Vector Classifier | 59.4 | 12.1 | 58.6 | 6.5 | 99.0 |
Disclaimer/Publisher’s Note: The statements, opinions and data contained in all publications are solely those of the individual author(s) and contributor(s) and not of MDPI and/or the editor(s). MDPI and/or the editor(s) disclaim responsibility for any injury to people or property resulting from any ideas, methods, instructions or products referred to in the content. |
© 2024 by the authors. Licensee MDPI, Basel, Switzerland. This article is an open access article distributed under the terms and conditions of the Creative Commons Attribution (CC BY) license (https://creativecommons.org/licenses/by/4.0/).
Share and Cite
Ueki, H.; Terakawa, T.; Hara, T.; Uemura, M.; Okamura, Y.; Suzuki, K.; Bando, Y.; Teishima, J.; Nakano, Y.; Yamaguchi, R.; et al. Utility of Machine Learning Models to Predict Lymph Node Metastasis of Japanese Localized Prostate Cancer. Cancers 2024, 16, 4073. https://doi.org/10.3390/cancers16234073
Ueki H, Terakawa T, Hara T, Uemura M, Okamura Y, Suzuki K, Bando Y, Teishima J, Nakano Y, Yamaguchi R, et al. Utility of Machine Learning Models to Predict Lymph Node Metastasis of Japanese Localized Prostate Cancer. Cancers. 2024; 16(23):4073. https://doi.org/10.3390/cancers16234073
Chicago/Turabian StyleUeki, Hideto, Tomoaki Terakawa, Takuto Hara, Munenori Uemura, Yasuyoshi Okamura, Kotaro Suzuki, Yukari Bando, Jun Teishima, Yuzo Nakano, Raizo Yamaguchi, and et al. 2024. "Utility of Machine Learning Models to Predict Lymph Node Metastasis of Japanese Localized Prostate Cancer" Cancers 16, no. 23: 4073. https://doi.org/10.3390/cancers16234073
APA StyleUeki, H., Terakawa, T., Hara, T., Uemura, M., Okamura, Y., Suzuki, K., Bando, Y., Teishima, J., Nakano, Y., Yamaguchi, R., & Miyake, H. (2024). Utility of Machine Learning Models to Predict Lymph Node Metastasis of Japanese Localized Prostate Cancer. Cancers, 16(23), 4073. https://doi.org/10.3390/cancers16234073

