Synthesis and Photophysics Characterization of Boronic Styril and Distyryl BODIPYs for Water-Based Dye-Sensitized Solar Cells
Abstract
:1. Introduction
2. Results and Discussion
3. Materials and Methods
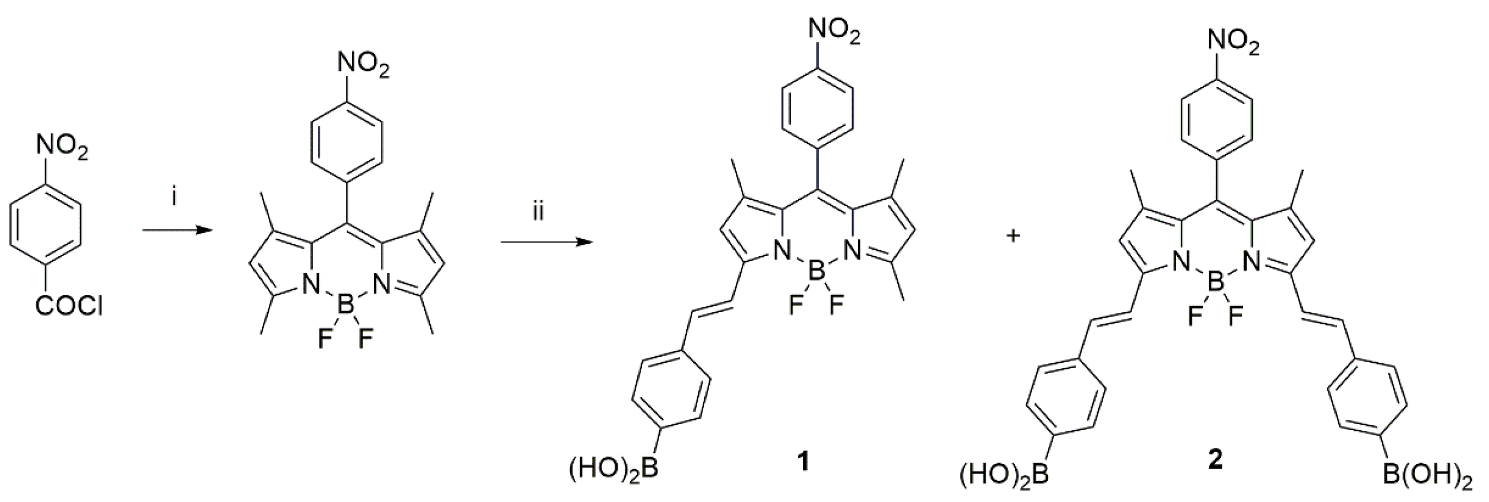
3.1. Synthesis of 8-(4-Nitrophenyl)-3,5,7,9-Tetramethyl BODIPY
3.2. Synthesis of Boronic Acid BODIPY Derivatives 1,2
3.2.1. Styryl Boronic Acid BODIPY 1
3.2.2. Distyryl Boronic Acid BODIPY 2
3.3. Preparation of TiO2 Anodes
4. Conclusions
Supplementary Materials
Author Contributions
Funding
Institutional Review Board Statement
Informed Consent Statement
Data Availability Statement
Acknowledgments
Conflicts of Interest
Sample Availability
References
- Muñoz-Garcìa, A.B.; Benesperi, I.; Boschloo, G.; Concepcion, J.J.; Delcamp, J.H.; Gibson, E.A.; Meyer, G.J.; Pavone, M.; Pettersson, H.; Hagfeldt, A.; et al. Dye-sensitized solar cells strike back. Chem. Soc. Rev. 2021, 50, 12450. [Google Scholar] [CrossRef] [PubMed]
- O’Regan, B.; Gratzel, M. A low-cost, high-efficiency solar cell based on dye-sensitized colloidal TiO2 films. Nature 1991, 353, 737–740. [Google Scholar] [CrossRef]
- De Haro, J.C.; Tatsi, E.; Fagiolari, L.; Bonomo, M.; Barolo, C.; Turri, S.; Bella, F.; Griffini, G. Lignin-Based Polymer Electrolyte Membranes for Sustainable Aqueous Dye-Sensitized Solar Cells. ACS Sustain. Chem. Eng. 2021, 9, 8550–8560. [Google Scholar] [CrossRef]
- Barichello, J.; Mariani, P.; Matteocci, F.; Vesce, L.; Reale, A.; Di Carlo, A.; Lanza, M.; Di Marco, G.; Polizzi, S.; Calogero, G. The Golden Fig: A Plasmonic Effect Study of Organic-Based Solar Cells. Nanomaterials 2022, 12, 267. [Google Scholar] [CrossRef] [PubMed]
- Yadav, V.; Negi, C.M.H.; Kumar, D.K.; Gupta, S.K. Fabrication of eco-friendly, low-cost dye sensitized solar cells using harda fruit-based natural dye. Opt. Mater. 2021, 122, 111800. [Google Scholar] [CrossRef]
- Louwen, A.; van Sark, W.; Schropp, R.; Faaij, A. A cost roadmap for silicon heterojunction solar cells. Sol. Energy Mater. Sol. Cells 2016, 147, 295–314. [Google Scholar] [CrossRef] [Green Version]
- Freitag, M.; Teuscher, J.; Saygili, Y.; Zhang, X.; Giordano, F.; Liska, P.; Hua, J.; Zakeeruddin, S.M.; Moser, J.-E.; Grätzel, M.; et al. Dye-sensitized solar cells for efficient power generation under ambient lighting. Nat. Photonics 2017, 11, 372–378. [Google Scholar] [CrossRef]
- Devadiga, D.; Selvakumar, M.; Shetty, P.; Santosh, M.S. Dye-Sensitized Solar Cell for Indoor Applications: A Mini-Review. J. Electron. Mater. 2021, 50, 3187–3206. [Google Scholar] [CrossRef]
- Michaels, H.; Benesperi, I.; Freitag, M. Challenges and prospects of ambient hybrid solar cell applications. Chem. Sci. 2021, 12, 5002. [Google Scholar] [CrossRef]
- Dias, L.D.; Mfouo-Tynga, I.S. Learning from Nature: Bioinspired Chlorin-Based Photosensitizers Immobilized on Carbon Materials for Combined Photodynamic and Photothermal Therapy. Biomimetics 2020, 5, 53. [Google Scholar] [CrossRef]
- Bella, F.; Gervaldi, C.; Barolo, C.; Gratzel, M. Aqueous Dye-Sensitized Solar Cells. Chem. Soc. Rev. 2015, 44, 3431–3473. [Google Scholar] [CrossRef] [PubMed] [Green Version]
- Liu, Y.; Hagfeldt, A.; Xiao, X.-R.; Lindquist, S.-E. Investigation of influence of redox species on the interfacial energetics of a Dye- Sensitized nanoporous TiO2 solar cell. Sol. Energy Mater. Sol. Cells 1998, 55, 267–281. [Google Scholar] [CrossRef]
- Romero-Contreras, A.; Lezama Pacheco, J.S.; Alvarado, J.; Pal, U.; Villanueva-Cab, J. Water-Induced Fine-Structure Disorder and Its Effect on the Performance of Photoelectrodes in Dye-Sensitized Solar Cells. ACS Appl. Energy Mater. 2022, 5, 4817–4828. [Google Scholar]
- Albulescu, D.; Ursu, D.; Rusnac, L.-M.; Nitu, S.; Miclau, M.; Vajda, M. Investigation of UV Dye-Sensitized Solar Cells Based on Water Electrolyte: A New Insight for Wavelength-Selective Greenhouse. Crystals 2022, 12, 98. [Google Scholar] [CrossRef]
- Vajda, M.; Albulescu, D.; Ursu, D.; Ilieş, E.; Marinca, M.; Gontean, A.; Miclău, N.; Miclău, M.; Duţeanu, N. Effect of water on the photovoltaic performance of TiO2 based dye-sensitized solar cells using I−/I3− Redox couple. In Proceedings of the 2021 IEEE 27th International Symposium for Design and Technology in Electronic Packaging (SIITME), Timisoara, Romania, 27–30 October 2021; pp. 181–184. [Google Scholar] [CrossRef]
- Galliano, S.; Bella, F.; Bonomo, M.; Giordano, F.; Grätzel, M.; Viscardi, G.; Hagfeldt, A.; Gerbaldi, C.; Barolo, C. Xanthan-Based Hydrogel for Stable and Efficient Quasi-Solid Truly Aqueous Dye-Sensitized Solar Cell with Cobalt Mediator. RRL Sol. 2021, 5, 2000823. [Google Scholar] [CrossRef]
- Kim, J.-H.; Park, S.-Y.; Lim, D.-H.; Lim, S.-Y.; Choi, J.; Koo, H.-J. Eco-Friendly Dye-Sensitized Solar Cells Based on Water-Electrolytes and Chlorophyll. Materials 2021, 14, 2150. [Google Scholar] [CrossRef]
- Mariotti, N.; Bonomo, M.; Fagiolari, L.; Barbero, N.; Gerbaldi, C.; Bella, F.; Barolo, C. Recent advances in eco-friendly and cost-effective materials towards sustainable dye-sensitized solar cells. Green Chem. 2020, 22, 7168. [Google Scholar] [CrossRef]
- Martini, L.A.; Moore, G.F.; Milot, R.L.; Cai, L.Z.; Sheehan, S.W.; Schmuttenmaer, C.A.; Brudvig, G.W.; Crabtree, R.H. Modular Assembly of High-Potential Zinc Porphyrin Photosensitizers Attached to TiO2 with a Series of Anchoring Groups. J. Phys. Chem. C 2013, 117, 14526–14533. [Google Scholar] [CrossRef]
- Ernstorfer, R.; Gundlach, L.; Felber, S.; Storck, W.; Eichberger, R.; Willig, F. Role of Molecular Anchor Groups in Molecule-To- Semiconductor Electron Transfer. J. Phys. Chem. B 2006, 110, 25383–25391. [Google Scholar] [CrossRef]
- She, C.X.; Guo, J.C.; Irle, S.; Morokuma, K.; Mohler, D.L.; Zabri, H.; Odobel, F.; Youm, K.T.; Liu, F.; Hupp, J.T.; et al. Comparison of Interfacial Electron Transfer Through Carboxylate and Phosphonate Anchoring Groups. J. Phys. Chem. A 2007, 111, 6832–6842. [Google Scholar] [CrossRef] [Green Version]
- Zhang, L.; Cole, J.M. Anchoring Groups for Dye-Sensitized Solar Cells. ACS Appl. Mater. Interfaces 2015, 7, 3427–3455. [Google Scholar] [CrossRef] [PubMed]
- O’Rourke, C.; Bowler, D.R. DSSC anchoring groups: A surface dependent decision. J. Phys. Condens. Matter. 2014, 26, 195302. [Google Scholar] [CrossRef] [PubMed] [Green Version]
- António, J.P.M.; Russo, R.; Carvalho, C.P.; Cal, P.M.S.D.; Gois, P.M.P. Boronic acids as building blocks for the construction of therapeutically useful bioconjugates. Chem. Soc. Rev. 2019, 48, 3513–3536. [Google Scholar] [CrossRef] [Green Version]
- Cromwell, O.R.; Chung, J.; Guan, Z. Malleable and Self-Healing Covalent Polymer Networks through Tunable Dynamic Boronic Ester Bonds. J. Am. Chem. Soc. 2015, 137, 6492–6495. [Google Scholar] [CrossRef]
- Marco-Dufort, B.; Tibbitt, M.W. Design of moldable hydrogels for biomedical applications using dynamic covalent boronic esters. Mater. Today Chem. 2019, 12, 16–33. [Google Scholar] [CrossRef]
- Brooks, W.L.A.; Sumerlin, B.S. Synthesis and Applications of Boronic Acid-Containing Polymers: From Materials to Medicine. Chem. Rev. 2016, 116, 1375–1397. [Google Scholar] [CrossRef]
- Cordaro, M.; Mineo, P.; Nastasi, F.; Magazzù, G. Facile synthesis of boronic acids on a BODIPY core with promising sensitivity towards polyols. RSC Adv. 2014, 4, 43931–43933. [Google Scholar] [CrossRef]
- Ramsay, W.J.; Bayley, H. Single-Molecule Determination of the Isomers of d-Glucose and d-Fructose that Bind to Boronic Acids. Angew. Chem. Int. Ed. 2018, 57, 2841–2845. [Google Scholar] [CrossRef]
- Hagfeldt, A.; Boschloo, G.; Sun, L.; Kloo, L.; Pettersson, H. Dye-Sensitized Solar Cells. Chem. Rev. 2010, 110, 6595–6663. [Google Scholar]
- Chao, T.; Xichuan, Y.; Chao, Y.; Shifeng, L.; Ming, C.; Anders, H.; Licheng, S. Molecular Design of Anthracene-Bridged Metal-Free Organic Dyes for Efficient Dye-Sensitized Solar Cells. J. Phys. Chem. C 2010, 114, 9101–9110. [Google Scholar]
- Peng, Q.; Hongjun, Z.; Tomas, E.; Gerrit, B.; Anders, H.; Licheng, S. Design of an Organic Chromophore for p-Type Dye-Sensitized Solar Cells. J. Am. Chem. Soc. 2008, 130, 8570–8571. [Google Scholar]
- Fresch, E.; Peruffo, N.; Trapani, M.; Cordaro, M.; Bella, G.; Castriciano, M.A.; Collini, E. The effect of hydrogen bonds on the ultrafast relaxation dynamics of a BODIPY dimer. J. Chem. Phys. 2021, 154, 084201. [Google Scholar] [CrossRef] [PubMed]
- Trapani, M.; Elemans, H.; Castriciano, M.A.; Nicosia, A.; Mineo, P.G.; Cordaro, M. A convenient synthetic approach to obtain meso-Uracil-BODIPY. Synlett 2021, 32, 1714–1718. [Google Scholar] [CrossRef]
- Qiu, J.; Jiang, S.; Guo, H.; Yang, F. An AIE and FRET-based BODIPY sensor with large Stoke shift: Novel pH probe exhibiting application in CO32−detection and living cell imaging. Dye. Pigment. 2018, 157, 351–358. [Google Scholar] [CrossRef]
- Xu, W.; Ren, C.; Teoh, C.L.; Peng, J.; Gadre, S.H.; Rhee, H.W.; Lee, C.L.K.; Chang, Y.T. An Artificial Tongue Fluorescent Sensor Array for Identification and Quantitation of Various Heavy Metal Ions. Anal. Chem. 2014, 86, 8763–8769. [Google Scholar] [CrossRef]
- Gu, Z.; Cheng, H.; Shen, X.; He, T.; Jiang, K.; Qiu, H.; Zhang, Q.; Yin, S. A BODIPY derivative for colorimetric fluorescence sensing of Hg2+, Pb2+ and Cu2+ ions and its application in logic gates. Spectrochim. Acta A Mol. Biomol. Spectrosc. 2018, 203, 315–323. [Google Scholar] [CrossRef]
- Yesilgul, N.; Seven, O.; Guliyev, R.; Akkaya, E.U. Energy Harvesting in a Bodipy-Functionalized Rotaxane. J. Org. Chem. 2018, 83, 13228–13232. [Google Scholar] [CrossRef]
- Hu, G.; Liu, R.; Alexy, E.; Mandal, A.K.; Bocian, D.F.; Holten, D.; Lindsey, J.S. Panchromatic chromophore–tetrapyrrole light-harvesting arrays constructed from Bodipy, perylene, terrylene, porphyrin, chlorin, and bacteriochlorin building blocks. New J. Chem. 2016, 40, 8032–8052. [Google Scholar] [CrossRef]
- Spiegel, D.; Lyskov, I.; Kleinschmidt, M.; Marian, C.M. Charge-transfer contributions to the excitonic coupling matrix element in BODIPY-based energy transfer cassettes. Chem. Phys. 2017, 48, 2265–2276. [Google Scholar] [CrossRef]
- Armin, B.; Lars, H.T.; Jiong, C.; Kevin, B.; Fredrik, B.; Lennart, J.B.-Å. Energy transfer cassettes based on BODIPY dyes. Chem. Commun. 2000, 22, 2203–2204. [Google Scholar]
- Xiaofei, M.; Wenbo, H.; Tingchao, H.; Haojie, T.; Qi, W.; Runfeng, C.; Lu, J.; Hui, Z.; Xiaomei, L.; Quli, F. Deciphering the intersystem crossing in near-infrared BODIPY photosensitizers for highly efficient photodynamic therapy. Chem. Sci. 2019, 10, 3096–3102. [Google Scholar]
- Kamkaew, A.; Lim, S.H.; Lee, H.B.; Kiew, L.V.; Chung, L.Y.; Burgess, K. BODIPY dyes in photodynamic therapy. Chem. Soc. Rev. 2013, 42, 77–88. [Google Scholar] [CrossRef] [PubMed]
- Striccoli, M.; Panniello, A.; Trapani, M.; Cordaro, M.; Dibenedetto, C.N.; Tommasi, R.; Ingrosso, C.; Fanizza, E.; Grisorio, R.; Collini, E.; et al. High-Efficiency FRET Processes in BODIPY-Functionalized Quantum Dot Architectures. Chem. Eur. J. 2021, 27, 2371–2380. [Google Scholar]
- Hattori, S.; Ohkubo, K.; Urano, Y.; Sunahara, H.; Nagano, T.; Wada, Y.; Tkachenko, N.V.; Lemmetyinen, H.; Fukuzumi, S. Charge Separation in a Nonfluorescent Donor-Acceptor Dyad Derived from Boron Dipyrromethene Dye, Leading to Photocurrent Generation. J. Phys. Chem. B 2005, 109, 15368–15375. [Google Scholar] [CrossRef] [PubMed]
- Erten-Ela, S.; Yilmaz, M.D.; Icli, B.; Dede, Y.; Icli, S.; Akkaya, E.U. A Panchromatic Boradiazaindacene (BODIPY) Sensitizer for Dye-Sensitized Solar Cells. Org. Lett. 2008, 10, 3299–3302. [Google Scholar] [CrossRef] [PubMed]
- Vedamalai, M.; Krishnakumar, V.G.; Gupta, S.; Mori, S.; Gupta, I. Synthesis and characterization of styryl-BODIPY derivatives for monitoring in vitro Tau aggregation. Sens. Actuators B Chem. 2017, 244, 673–683. [Google Scholar]
- Kalyanasundaram, K.; Grätzel, M. Applications of functionalized transition metal complexes in photonic and optoelectronic devices. Coord. Chem. Rev. 1998, 77, 347–414. [Google Scholar] [CrossRef]
- Bartholomeyzik, T.; Pendrill, R.; Lihammar, R.; Jiang, T.; Widmalm, G.; Bäckvall, J.-E. Kinetics and Mechanism of the Palladium-Catalyzed Oxidative Arylating Carbocyclization of Allenynes. J. Am. Chem. Soc. 2018, 140, 298–309. [Google Scholar] [CrossRef] [Green Version]
- Arrigo, A.; La Ganga, G.; Nastasi, F.; Serroni, S.; Santoro, A.; Santoni, M.P.; Galletta, M.; Campagna, S.; Puntoriero, F. Artificial, molecular-based light-harvesting antenna systems made of metal dendrimers and multibodipy species. C. R. Chim. 2017, 20, 209–220. [Google Scholar] [CrossRef]
- Esnal, I.; Bañuelos, J.; Arbelo, I.L.; Costela, A.; Garcia-Moreno, I.; Garzón, M.; Agarrabeitia, A.R.; Ortiz, M.J. Nitro and amino BODIPYS: Crucial substituents to modulate their photonic behavior. RSC Adv. 2013, 3, 1547–1556. [Google Scholar] [CrossRef] [Green Version]
- Ueno, T.; Urano, Y.; Kojima, H.; Nagano, T. Mechanism-Based Molecular Design of Highly Selective Fluorescence Probes for Nitrative Stress. J. Am. Chem. Soc. 2006, 128, 10640–10641. [Google Scholar] [CrossRef] [PubMed]
- Choi, S.; Bouffard, J.; Kim, Y. Aggregation-induced emission enhancement of a meso-trifluoromethyl BODIPY via J-aggregation. Chem. Sci. 2014, 5, 751–755. [Google Scholar] [CrossRef]
- Grätzel, M. Solar Energy Conversion by Dye-Sensitized Photovoltaic Cells. Inorg. Chem. 2005, 44, 6841–6851. [Google Scholar] [CrossRef] [PubMed]
- Grätzel, M. Recent Advances in Sensitized Mesoscopic Solar Cells. Acc. Chem. Res. 2009, 42, 1788–1798. [Google Scholar] [CrossRef]
- Demas, J.N.; Crosby, G.A. Measurement of Photoluminescence Quantum Yields. Review. J. Phys. Chem. 1971, 75, 991–1024. [Google Scholar]
- Gao, F.G.; Bard, A.J.; Kispert, L.D. Photocurrent generated on a carotenoid-sensitized TiO2 nanocrystalline mesoporous electrode. J. Photochem. Photobiol. 2000, 130, 49–56. [Google Scholar] [CrossRef]
- Hui, Z.; Xiong, Y.; Heng, L.; Yuan, L.; Yu-Xiang, W. Explanation of Effect of Added Water on Dye-Sensitized Nanocrystalline TiO2 Solar Cell: Correlation between Performance and Carrier Relaxation Kinetics. Chin. Phys. Lett. 2007, 24, 3272–3275. [Google Scholar] [CrossRef]
- Zhu, S.; Zhang, J.; Vegesna, G.; Luo, F.-T.; Green, S.; Liu, H. Highly Water-soluble Neutral BODIPY Dyes with Controllable Fluorescence Quantum Yields. Org Lett. 2011, 13, 438–441. [Google Scholar] [CrossRef] [Green Version]
- Guan, Q.; Zhou, L.L.; Li, Y.A.; Dong, Y.B. Diiodo-Bodipy-Encapsulated Nanoscale Metal–Organic Framework for pH-Driven Selective and Mitochondria Targeted Photodynamic Therapy. Inorg. Chem. 2018, 57, 10137–10145. [Google Scholar] [CrossRef]






| Absorption a | Luminescence | ||||||
|---|---|---|---|---|---|---|---|
| Sample | 289 K a | 77 K b | |||||
| λmax (nm) | ε (M−1cm−1) | λmax (nm) | τ (ns) | Φ | λmax (nm) | τ (ns) | |
| BODIPY 1 | 328 526 564 | 29,000 20,000 68,000 | 580 | 0.8 | 0.008 | 575 | 4.3 |
| BODIPY 2 | 351 585 633 | 112,000 43,000 116,000 | 650 | 1.8 | 0.10 | 645 | 4.0 |
| Sample | Erid/V vs. SCE | Eox/V vs. SCE |
|---|---|---|
| BODIPY 1 | −0.903 | 1.04 |
| BODIPY 2 | −0.857 | 0.959 |
| VOC (V) | JSC (mA/cm2) | FF (%) | PCE (%) | IPCE (%) | I-Jsc | |
|---|---|---|---|---|---|---|
| BODIPY 1 | 0.267 | 0.73 | 55 | 0.11 | 4 | 0.78 |
| BODIPY 2 | 0.377 | 3.10 | 54.9 | 0.63 | 24 | 2.7 |
| VOC (V) | JSC (mA/cm2) | FF (%) | PCE (%) | |
|---|---|---|---|---|
| BODIPY 1 | 0.057 | 0.0237 | 28.4 | 0.0004 |
| BODIPY 2 | 0.128 | 0.0195 | 38.8 | 0.0010 |
Publisher’s Note: MDPI stays neutral with regard to jurisdictional claims in published maps and institutional affiliations. |
© 2022 by the authors. Licensee MDPI, Basel, Switzerland. This article is an open access article distributed under the terms and conditions of the Creative Commons Attribution (CC BY) license (https://creativecommons.org/licenses/by/4.0/).
Share and Cite
Nastasi, F.; Mineo, P.G.; Barichello, J.; La Ganga, G.; Di Marco, G.; Calogero, G.; Cordaro, M. Synthesis and Photophysics Characterization of Boronic Styril and Distyryl BODIPYs for Water-Based Dye-Sensitized Solar Cells. Biomimetics 2022, 7, 110. https://doi.org/10.3390/biomimetics7030110
Nastasi F, Mineo PG, Barichello J, La Ganga G, Di Marco G, Calogero G, Cordaro M. Synthesis and Photophysics Characterization of Boronic Styril and Distyryl BODIPYs for Water-Based Dye-Sensitized Solar Cells. Biomimetics. 2022; 7(3):110. https://doi.org/10.3390/biomimetics7030110
Chicago/Turabian StyleNastasi, Francesco, Placido Giuseppe Mineo, Jessica Barichello, Giuseppina La Ganga, Gaetano Di Marco, Giuseppe Calogero, and Massimiliano Cordaro. 2022. "Synthesis and Photophysics Characterization of Boronic Styril and Distyryl BODIPYs for Water-Based Dye-Sensitized Solar Cells" Biomimetics 7, no. 3: 110. https://doi.org/10.3390/biomimetics7030110
APA StyleNastasi, F., Mineo, P. G., Barichello, J., La Ganga, G., Di Marco, G., Calogero, G., & Cordaro, M. (2022). Synthesis and Photophysics Characterization of Boronic Styril and Distyryl BODIPYs for Water-Based Dye-Sensitized Solar Cells. Biomimetics, 7(3), 110. https://doi.org/10.3390/biomimetics7030110

