Chemical Constituents of Hedyotis diffusa and Their Anti-Inflammatory Bioactivities
Abstract
:1. Introduction
2. Materials and Methods
2.1. General Experimental Procedures
2.2. Plant Material
2.3. Extraction and Isolation
2.4. Spectral and Physical Data of 1–7
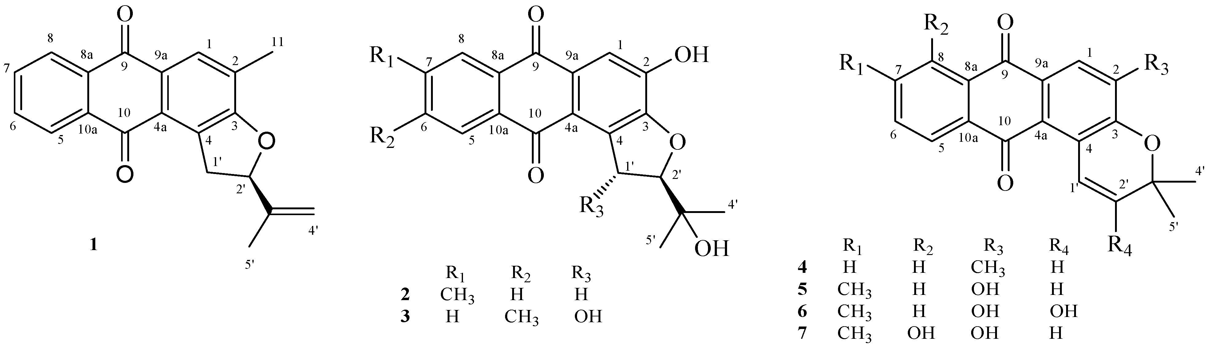
2.4.1. Diffusaquinone A (1)
2.4.2. Diffusaquinone B (2)
2.4.3. Diffusaquinone C (3)
2.4.4. Diffusaquinone D (4)
2.4.5. Diffusaquinone E (5)
2.4.6. Diffusaquinone F (6)
2.4.7. Diffusaquinone G (7)
2.5. Anti-Inflammatory Bioactivity Examination
2.5.1. Human Neutrophil Preparation
2.5.2. Superoxide Anion Generation Measurement
2.5.3. Elastase Release Assay
2.5.4. Statistical Analysis
2.6. Molecular Docking Study
3. Results and Discussion
3.1. Structural Elucidation of Compounds 1–7
3.2. Anti-Inflammatory Activity
3.3. Molecular Docking Study
4. Conclusions
Supplementary Materials
Author Contributions
Funding
Institutional Review Board Statement
Informed Consent Statement
Data Availability Statement
Acknowledgments
Conflicts of Interest
Appendix A
References
- Flora of Taiwan, 2nd ed.; Editorial Committee of the Flora of Taiwan: Taipei, Taiwan, 1998; Volume 4, p. 267.
- Medicinal Plant Images Database, Hong Kong Baptist University. Available online: https://libproject.hkbu.edu.hk/was40/detail?channelid=1288&searchword=herb_id=D01227 (accessed on 21 September 2021).
- Chen, R.; He, J.; Tong, X.; Tang, L.; Liu, M. The Hedyotis diffusa Willd. (Rubiaceae): A Review on Phytochemistry, Pharmacology, Quality Control and Pharmacokinetics. Molecules 2016, 21, 710. [Google Scholar] [CrossRef]
- Wang, C.; Xin, P.; Wang, Y.; Zhou, X.; Wei, D.; Deng, C.; Sun, S. Iridoids and sfingolipids from Hedyotis diffusa. Fitoterapia 2018, 124, 152–159. [Google Scholar] [CrossRef]
- Huang, W.H.; Yu, S.H.; Li, Y.B.; Jiang, J.Q. Four anthraquinones from Hedyotis diffusa. J. Asian Nat. Prod. Res. 2008, 10, 887–889. [Google Scholar] [CrossRef]
- Li, C.; Zhao, Y.; Guo, Z.; Zhang, X.; Xue, X.; Liang, X. Effective 2D-RPLC/RPLC enrichment and separation of micro-components from Hedyotis diffusa Willd. and characterization by using ultra-performance liquid chromatography/quadrupole time-of-flight mass spectrometry. J. Pharm. Biomed. Anal. 2014, 99, 35–44. [Google Scholar] [CrossRef]
- Huang, W.; Li, Y.; Jiang, J. Chemical constituents from Hedyotis diffusa. Zhongguo Zhong Yao Za Zhi 2009, 34, 712–724. [Google Scholar]
- Yan, C.; Kong, F.; Ou, X. Antioxidant and anti-glycated activities of polysaccharides in vitro isolated from Hedyotis diffusa Wild. J. Med. Plant Res. 2012, 6, 2895–2900. [Google Scholar]
- Lin, C.C.; Ng, L.T.; Yang, J.J.; Hsu, Y.F. Anti-inflammatory and hepatoprotective activity of Peh-Hue-Juwa-Chi-Cao in male rats. Am. J. Chin. Med. 2002, 30, 225–234. [Google Scholar] [CrossRef]
- Shi, Y.; Wang, C.H.; Gong, X.G. Apoptosis-inducing effects of two anthraquinones from Hedyotis diffusa WILLD. Biol. Pharm. Bull. 2008, 31, 1075–1078. [Google Scholar] [CrossRef] [Green Version]
- Lin, J.; Wei, L.; Shen, A.; Cai, Q.; Xu, W.; Li, H.; Zhan, Y.; Hong, Z.; Peng, J. Hedyotis diffusa Willd extract suppresses Sonic hedgehog signaling leading to the inhibition of colorectal cancer angiogenesis. Int. J. Oncol. 2013, 42, 651–656. [Google Scholar] [CrossRef] [Green Version]
- Wei, L.; Lin, J.; Xu, W.; Cai, Q.; Shen, A.; Hong, Z.; Peng, J. Scutellaria barbata D. Don inhibits tumor angiogenesis via suppression of Hedgehog pathway in a mouse model of colorectal cancer. Int. J. Mol. Sci. 2012, 13, 9419–9430. [Google Scholar] [CrossRef] [Green Version]
- Cai, Q.; Lin, J.; Wei, L.; Zhang, L.; Wang, L.; Zhan, Y.; Zeng, J.; Xu, W.; Shen, A.; Hong, Z.; et al. Hedyotis diffusa Willd inhibits colorectal cancer growth in vivo via inhibition of STAT3 signaling pathway. Int. J. Mol. Sci. 2012, 13, 6117–6128. [Google Scholar] [CrossRef] [Green Version]
- Lin, C.C.; Kuo, C.L.; Lee, M.H.; Hsu, S.C.; Huang, A.C.; Tang, N.Y.; Lin, J.P.; Yang, J.S.; Lu, C.C.; Chiang, J.H.; et al. Extract of Hedyotis diffusa Willd influences murine leukemia WEHI-3 cells in vivo as well as promoting T- and B-cell proliferation in leukemic mice. In Vivo 2011, 25, 633–640. [Google Scholar]
- Hu, E.; Wang, D.G.; Chen, J.Y.; Tao, X.L. Novel cyclotides from Hedyotis diffusa induce apoptosis and inhibit proliferation and migration of prostate cancer cells. Int. J. Clin. Exp. Med. 2015, 8, 4059–4065. [Google Scholar]
- Yang, X.Z.; Hao, Z.Y.; Zhu, Y.C.; Dong, Y. Effects of different solvents and extraction methods on antioxidant activity of Hedyotis diffusa Extract. Guizhou Agric. Sci. 2014, 42, 43–45. [Google Scholar]
- Lee, H.Z.; Bau, D.T.; Kuo, C.L.; Tsai, R.Y.; Chen, C.Y.; Chang, Y.H. Clarification of the phenotypic characteristics and anti-tumor activity of Hedyotis diffusa. Am. J. Chin. Med. 2011, 39, 201–213. [Google Scholar] [CrossRef]
- Wang, J.H.; Shu, L.H.; Yang, L.L.; Zhang, M.; He, P. 2-Hydroxy-3-methylanthraquinone from Hedyotis diffusa Willd. Induces apotosis via alteration of Fas/FasL and activation of caspase-8 in human leukemic THP-1 cells. Arch. Med. Res. 2011, 42, 577–583. [Google Scholar] [CrossRef]
- Liu, Z.; Liu, M.; Liu, M.; Li, J.C. Methylanthraquinone from Hedyotis diffusa Willd. Induces Ca2+-medicated apoptosis in human breast cancer cells. Toxicol. In Vitro 2010, 24, 142–147. [Google Scholar] [CrossRef]
- Wang, N.; Li, D.Y.; Niu, H.Y.; Zhang, Y.; He, P.; Wang, J.H. 2-Hydroxy-3-methylanthraquinone from Hedyotis diffusa Willd induces apoptosis in human leukemic U937 cells through modulation of MAPK pathways. Arch. Pharm. Res. 2013, 36, 752–758. [Google Scholar] [CrossRef]
- Xu, G.H.; Kim, Y.H.; Chi, S.W.; Choo, S.J.; Ryoo, I.J.; Ahn, J.S.; Yoo, I.D. Evaluation of human neutrophil elastase inhibitory effect of iridoid glycosides from Hedyotis diffusa. Bioorg. Med. Chem. Lett. 2010, 20, 513–515. [Google Scholar] [CrossRef]
- Luo, S.Y.; Zhong, Z.G.; Zhou, L. Experimental study of the total flavonoids of Oldenlandia diffusa on ulcerative colitis in the rats. Chin. J. Hosp. Pharm. 2011, 31, 437–440. [Google Scholar]
- Lin, L.; Cheng, K.; Xie, Z.; Chen, C.; Chen, L.; Huang, Y.; Liang, Z. Purification and characterization a polysaccharide from Hedyotis diffusa and its apoptosis inducing activity toward human lung cancer cell line A549. Int. J. Biol. Macromol. 2019, 122, 64–71. [Google Scholar] [CrossRef]
- Coussens, L.M.; Werb, Z. Inflammation and cancer. Nature 2002, 420, 860–867. [Google Scholar] [CrossRef]
- Malech, H.L.; Gallin, J.I. Current concepts: Immunology. Neutrophils in human diseases. N. Engl. J. Med. 1987, 317, 687–694. [Google Scholar] [CrossRef]
- Van Eeden, S.F.; Klut, M.E.; Walker, B.A.M.; Hogg, J.C. The use of flow cytometry to measure neutrophil function. J. Immunol. Methods 1999, 232, 23–43. [Google Scholar] [CrossRef]
- Yang, S.C.; Chung, P.J.; Ho, C.M.; Kuo, C.Y.; Hung, M.F.; Huang, Y.T.; Chang, W.Y.; Chang, Y.W.; Chan, K.H.; Hwang, T.L. Propofol Inhibits Superoxide Production, Elastase Release, and Chemotaxis in Formyl Peptide–Activated Human Neutrophils by Blocking Formyl Peptide Receptor 1. J. Immunol. 2013, 190, 6511–6519. [Google Scholar] [CrossRef] [Green Version]
- Kuo, P.C.; Tai, S.H.; Hung, C.C.; Hwang, T.L.; Kuo, L.M.; Lam, S.H.; Cheng, K.C.; Kuo, D.H.; Hung, H.Y.; Wu, T.S. Antiinflammatory triterpenoids from the fruiting bodies of Fomitopsis pinicola. Bioorg. Chem. 2021, 108, 104562. [Google Scholar] [CrossRef]
- Trott, O.; Olson, A.J. AutoDock Vina: Improving the speed and accuracy of docking with a new scoring function, efficient optimization, and multithreading. J. Comput. Chem. 2010, 31, 455–461. [Google Scholar] [CrossRef] [Green Version]
- BIOVIA; Dassault Systèmes. Discovery Studio Client 2020, v.20.1.0.19295; Dassault Systèmes: San Diego, CA, USA, 2019. [Google Scholar]
- Thomson, R.H. Naturally Occuring Quinones, 2nd ed.; Academic Press: London, UK; New York, NY, USA, 1971. [Google Scholar]
- Ishii, H.; Sekiguchi, F.; Ishikawa, T. Studies on the chemical constituents of Rutaceous plants-XLI: Absolute configuration of rutaretin methyl ether. Tetrahedron 1981, 37, 285–290. [Google Scholar] [CrossRef]
- Brooijmans, N.; Kuntz, I.D. Molecular recognition and docking algorithms. Annu. Rev. Biophys. Biomol. Struct. 2003, 32, 335–373. [Google Scholar] [CrossRef]
- Muegge, I.; Rarey, M. Small molecule docking and scoring. In Reviews in Computational Chemistry; Lipkowitz, K.B., Boyd, D.B., Eds.; Wiley: Hoboken, NJ, USA, 2001; Volume 17, pp. 1–60. [Google Scholar]
- Halperin, I.; Ma, B.; Wolfson, H.; Nussinov, R. Principles of docking: An overview of search algorithms and a guide to scoring functions. Proteins 2002, 47, 409–443. [Google Scholar] [CrossRef]
- Macdonald, S.J.; Dowle, M.D.; Harrison, L.A.; Clarke, G.D.; Inglis, G.G.; Johnson, M.R.; Shah, P.; Smith, R.A.; Amour, A.; Fleetwood, G.; et al. Discovery of further pyrrolidine trans-lactams as inhibitors of human neutrophil elastase (HNE) with potential as development candidates and the crystal structure of HNE complexed with an inhibitor (GW475151). J. Med. Chem. 2002, 45, 3878–3890. [Google Scholar] [CrossRef]




| 1 a | 2 b | 3 c | 4 a | 5 a | 6 d | 7 a | |
|---|---|---|---|---|---|---|---|
| Position | δH (ppm, multi, J in Hz) | ||||||
| 1 | 8.05 (s) | 7.60 (s) | 7.45 (s) | 8.07 (s) | 7.78 (s) | 7.47 (s) | 7.80 (s) |
| 5 | 8.22 (dd, J = 8.8, 2.4 Hz) | 8.08 (d, J = 8.0 Hz) | 7.96 (brs) | 8.21 (m) | 8.10 (d, J = 8.0 Hz) | 8.03 (d, J = 7.0 Hz) | 7.64 (d, J = 7.6 Hz) |
| 6 | 7.76 (m) | 7.65 (dd, J = 8.0, 1.6 Hz) | - | 7.73 (m) | 7.55 (dd, J = 8.0, 1.2 Hz) | 7.55 (brd, J = 7.0 Hz) | 7.48 (d, J = 7.6 Hz) |
| 7 | 7.76 (m) | - | 7.58 (brd, J = 8.0 Hz) | 7.73 (m) | |||
| 8 | 8.28 (dd, J = 8.8, 2.4 Hz) | 7.98 (d, J = 1.6 Hz) | 8.09 (d, J = 8.0 Hz) | 8.21 (m) | 8.01 (d, J = 1.2 Hz) | 7.94 (brs) | |
| 11 | 2.37 (s) | 2.51 (s) | 2.49 (s) | 2.32 (s) | 2.50 (s) | 2.43 (s) | 2.35 (s) |
| 1′ | 3.93 (dd, J = 18.0, 10.0 Hz) α | 3.70 (d, J = 8.0 Hz) | 5.77 (d, J = 4.0 Hz) | 7.87 (d, J = 10.4 Hz) | 7.93 (d, J = 10.8 Hz) | 7.50 (s) | 7.92 (d, J = 10.4 Hz) |
| 3.54 (dd, J = 18.0, 8.0 Hz) ꞵ | |||||||
| 2′ | 5.39 (br t, J = 8.0 Hz) | 4.89 (t, J = 8.0 Hz) | 4.45 (d, J = 4.0 Hz) | 5.94 (d, J = 10.4 Hz) | 5.93 (d, J = 10.8 Hz) | 5.94 (d, J = 10.4 Hz) | |
| 4′ | 5.13 (s) α | 1.32 (s) | 1.33 (s) | 1.50 (s) | 1.53 (s) | 1.60 (s) | 1.54 (s) |
| 4.96 (s) ꞵ | |||||||
| 5′ | 1.80 (s) | 1.27 (s) | 1.29 (s) | 1.50 (s) | 1.53 (s) | 1.60 (s) | 1.54 (s) |
| OH−8 | 12.93 (s) | ||||||
| 1 a | 2 b | 3 c | 4 a | 5 a | 6 d | 7 a | |
|---|---|---|---|---|---|---|---|
| Position | δC (ppm) | ||||||
| 1 | 130.7 | 114.4 | 117.0 | 130.2 | 113.7 | 110.7 | 113.4 |
| 2 | 125.8 | 145.7 | 144.4 | 132.5 | 149.0 | 151.5 | 149.0 |
| 3 | 164.3 | 153.5 | 155.3 | 157.1 | 144.8 | 148.8 | 145.2 |
| 4 | 128.1 | 131.4 | 130.8 | 120.7 | 121.8 | 132.0 | 122.1 |
| 4a | 128.6 | 128.9 | 129.9 | 126.6 | 121.8 | 120.1 | 122.1 |
| 5 | 126.7 | 126.6 | 126.5 | 127.0 | 127.2 | 127.9 | 118.9 |
| 6 | 133.5 | 134.3 | 144.4 | 133.6 | 134.6 | 136.0 | 136.9 |
| 7 | 133.9 | 144.6 | 134.0 | 133.4 | 144.3 | 146.0 | 133.7 |
| 8 | 127.1 | 126.7 | 126.5 | 126.5 | 126.8 | 128.3 | 160.4 |
| 8a | 133.8 | 133.6 | 132.0 | 127.2 | 132.6 | 134.8 | 114.8 |
| 9 | 182.3 | 181.7 | 183.4 | 182.9 | 182.9 | 185.2 | 188.2 |
| 9a | 127.2 | 123.4 | 120.0 | 132.9 | 129.7 | 134.0 | 129.2 |
| 10 | 184.5 | 182.6 | 183.3 | 185.7 | 184.6 | 184.2 | 184.1 |
| 10a | 127.2 | 131.8 | 133.5 | 134.9 | 132.7 | 133.5 | 132.8 |
| 11 | 15.8 | 20.8 | 20.4 | 16.5 | 21.8 | 21.9 | 16.0 |
| 1′ | 36.1 | 32.2 | 73.3 | 120.9 | 120.9 | 104.1 | 120.8 |
| 2′ | 87.7 | 92.0 | 96.2 | 133.8 | 133.5 | 170.0 | 133.7 |
| 3′ | 143.4 | 70.7 | 70.7 | 76.6 | 78.0 | 70.2 | 78.2 |
| 4′ | 112.4 | 24.7 | 23.6 | 28.0 | 27.9 | 29.2 | 28.0 |
| 5′ | 17.1 | 25.0 | 24.1 | 28.0 | 27.9 | 29.2 | 28.0 |
| Compounds | Superoxide Anion | p Significance | Elastase Release | p Significance | ||
|---|---|---|---|---|---|---|
| IC50 (µg/mL) b | Inhibition% a | IC50 (µg/mL) b | Inhibition% a | |||
| 1 | 0.92 ± 0.22 | 97.92 ± 4.14 | *** | 0.71 ± 0.22 | 111.76 ± 2.97 | *** |
| 2 | 1.71 ± 0.15 | 103.01 ± 0.74 | *** | 2.40 ± 0.36 | 113.50 ± 5.04 | *** |
| 4 | 5.52 ± 1.59 | 61.53 ± 5.76 | *** | 3.25 ± 0.80 | 87.18 ± 2.92 | *** |
| 5 | 0.15 ± 0.01 | 108.59 ± 1.66 | *** | 0.20 ± 0.02 | 112.25 ± 4.99 | *** |
| 8 | 3.55 ± 0.48 | 99.28 ± 0.29 | *** | 3.88 ± 0.48 | 106.73 ± 3.10 | *** |
| 9 | 1.58 ± 0.42 | 80.72 ± 3.25 | *** | >10 | 45.45 ± 6.31 | ** |
| 11 | 5.29 ± 0.70 | 74.47 ± 2.80 | *** | >10 | 39.23 ± 6.61 | ** |
| 12 | >10 | 15.10 ± 5.84 | >10 | 31.44 ± 4.62 | ** | |
| 13 | >10 | 27.80 ± 4.16 | ** | >10 | 30.22 ± 4.05 | ** |
| 14 | >10 | 45.51 ± 6.33 | ** | >10 | 29.88 ± 4.62 | ** |
| 15 | 2.30 ± 0.58 | 97.18 ± 0.65 | *** | 5.12 ± 0.63 | 77.38 ± 2.92 | *** |
| 18 | >10 | 41.26 ± 6.15 | *** | >10 | 18.03 ± 6.74 | * |
| 19 | 4.96 ± 0.30 | 92.26 ± 2.51 | *** | 5.68 ± 1.73 | 67.08 ± 6.09 | *** |
| 20 | 3.66 ± 0.76 | 90.28 ± 6.56 | *** | 3.94 ± 0.77 | 91.40 ± 2.14 | *** |
| 21 | >10 | 43.09 ± 6.56 | ** | >10 | 13.88 ± 3.52 | * |
| 22 | >10 | 33.16 ± 5.19 | *** | >10 | 40.34 ± 5.97 | ** |
| 23 | >10 | 14.81 ± 6.93 | >10 | 6.63 ± 1.27 | ** | |
| 25 | >10 | 13.25 ± 5.20 | * | >10 | 8.29 ± 6.57 | |
| 26 | 1.46 ± 0.29 | 100.83 ± 0.83 | *** | 1.50 ± 0.25 | 113.90 ± 0.69 | *** |
| 27 | >10 | 2.57 ± 2.45 | >10 | −1.17 ± 2.02 | ||
| 28 | >10 | 13.05 ± 1.94 | ** | >10 | 9.17 ± 4.61 | |
| 29 + 30 | >10 | 5.56 ± 0.49 | *** | >10 | 21.55 ± 3.17 | ** |
| 31 + 32 | >10 | 8.07 ± 3.06 | >10 | 10.23 ± 2.80 | * | |
| 33 + 34 | >10 | 14.71 ± 2.44 | ** | >10 | −1.47 ± 2.84 | |
| 35 | 0.90 ± 0.23 | 80.63 ± 1.22 | *** | 5.15 ± 1.10 | 70.08 ± 2.36 | *** |
| 37 + 38 | 0.41 ± 0.05 | 105.16 ± 1.41 | *** | 1.81 ± 0.66 | 96.90 ± 5.09 | *** |
| 39 + 40 | >10 | 4.90 ± 4.15 | >10 | 2.68 ± 3.00 | ||
| 41 | >10 | 16.75 ± 4.02 | * | >10 | 21.21 ± 4.22 | ** |
| LY294002 | 0.75 ± 0.18 | 96.91 ± 5.99 | *** | 1.26 ± 0.48 | 88.81 ± 1.59 | *** |
| Ligands | Binding Affinity (kcal/mol) |
|---|---|
| 1 | −6.9 |
| 5 | −7.2 |
| GW475151 | −5.8 |
Publisher’s Note: MDPI stays neutral with regard to jurisdictional claims in published maps and institutional affiliations. |
© 2022 by the authors. Licensee MDPI, Basel, Switzerland. This article is an open access article distributed under the terms and conditions of the Creative Commons Attribution (CC BY) license (https://creativecommons.org/licenses/by/4.0/).
Share and Cite
Hung, H.-Y.; Cheng, K.-C.; Kuo, P.-C.; Chen, I.-T.; Li, Y.-C.; Hwang, T.-L.; Lam, S.-H.; Wu, T.-S. Chemical Constituents of Hedyotis diffusa and Their Anti-Inflammatory Bioactivities. Antioxidants 2022, 11, 335. https://doi.org/10.3390/antiox11020335
Hung H-Y, Cheng K-C, Kuo P-C, Chen I-T, Li Y-C, Hwang T-L, Lam S-H, Wu T-S. Chemical Constituents of Hedyotis diffusa and Their Anti-Inflammatory Bioactivities. Antioxidants. 2022; 11(2):335. https://doi.org/10.3390/antiox11020335
Chicago/Turabian StyleHung, Hsin-Yi, Kun-Ching Cheng, Ping-Chung Kuo, I-Tsen Chen, Yue-Chiun Li, Tsong-Long Hwang, Sio-Hong Lam, and Tian-Shung Wu. 2022. "Chemical Constituents of Hedyotis diffusa and Their Anti-Inflammatory Bioactivities" Antioxidants 11, no. 2: 335. https://doi.org/10.3390/antiox11020335
APA StyleHung, H.-Y., Cheng, K.-C., Kuo, P.-C., Chen, I.-T., Li, Y.-C., Hwang, T.-L., Lam, S.-H., & Wu, T.-S. (2022). Chemical Constituents of Hedyotis diffusa and Their Anti-Inflammatory Bioactivities. Antioxidants, 11(2), 335. https://doi.org/10.3390/antiox11020335

