Hybrid Dual-Hop RF/FSO Terrestrial-Deep Space Communication System under Solar Scintillation during Superior Solar Conjunction
Abstract
:1. Introduction
2. System and Theoretical Model
2.1. Amplitude Fluctuations Variance Model
2.2. Hybrid RF/FSO System Model
2.3. Hybrid PPM–BPSK–SIM Modulation Scheme
3. Performance Analysis
3.1. Outage Probability
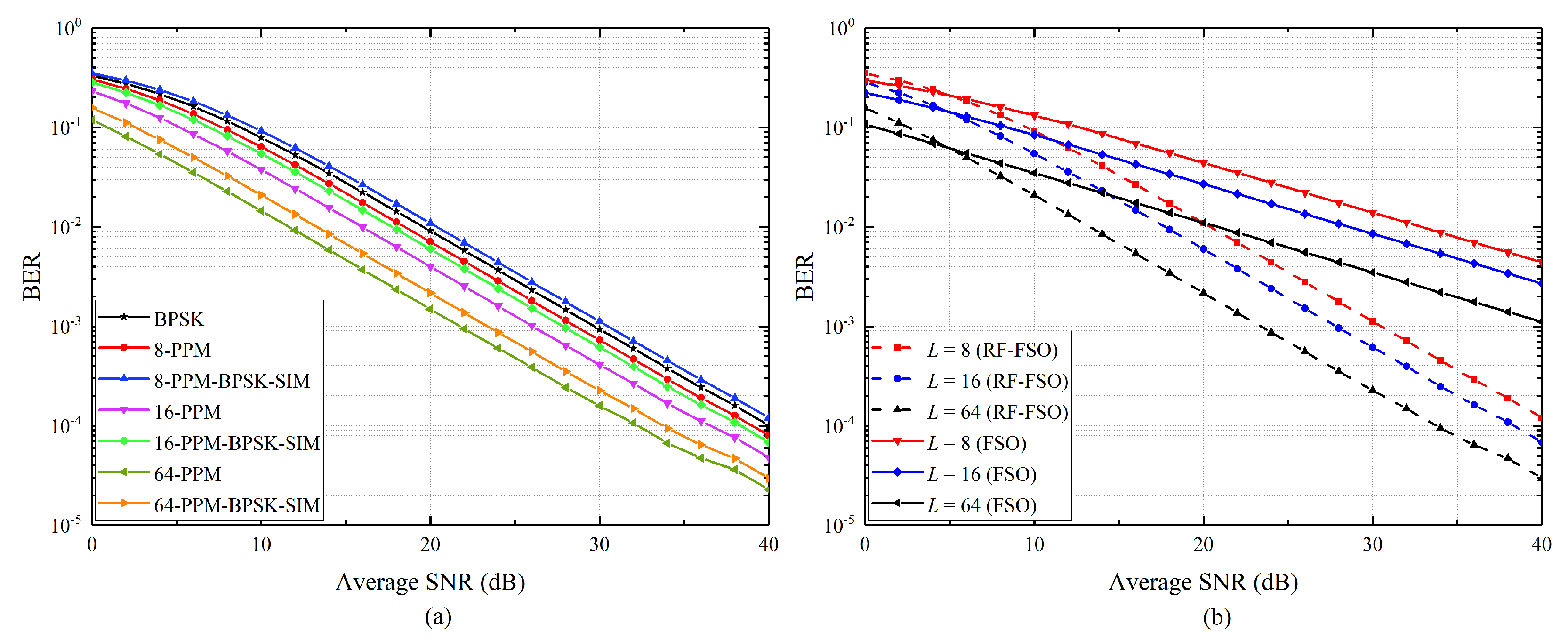
3.2. Average Bit Error Rate
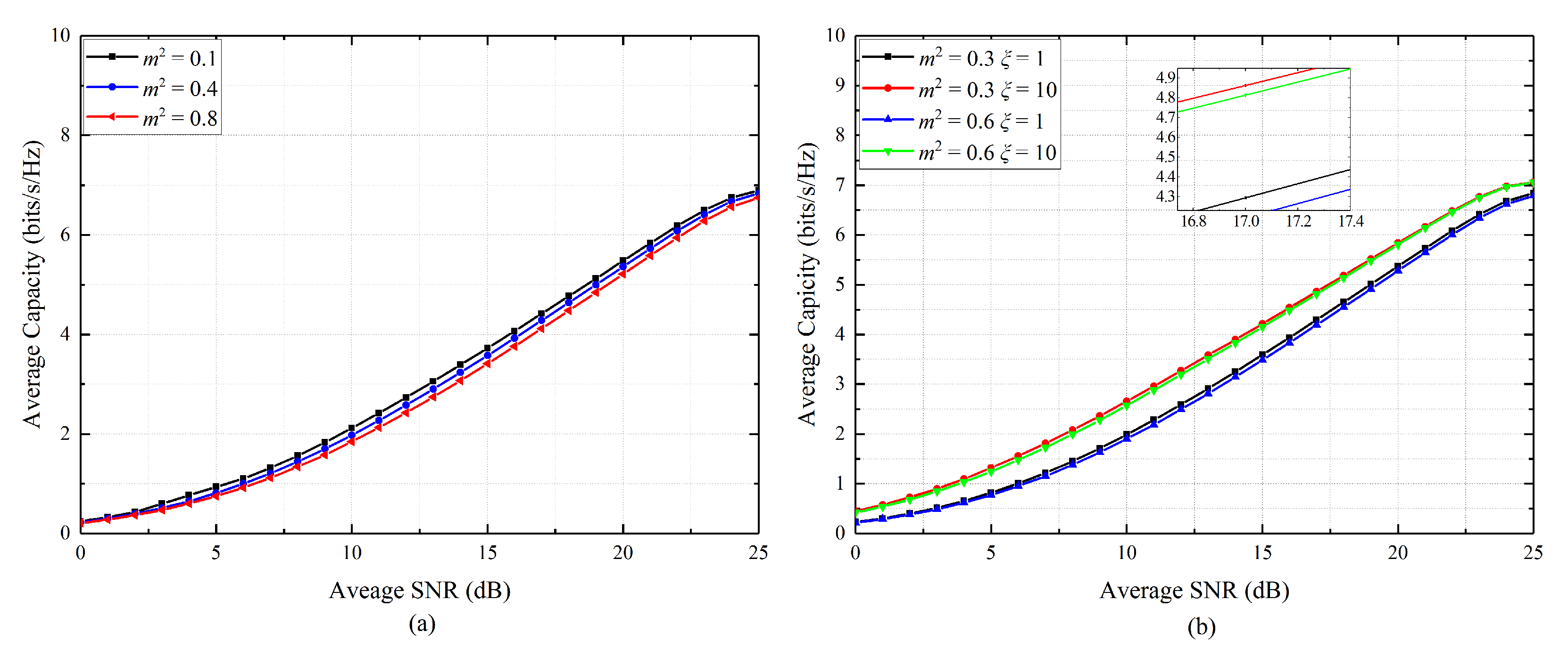
3.3. Average Channel Capacity
4. Simulation and Discussion
5. Conclusions
Author Contributions
Funding
Institutional Review Board Statement
Informed Consent Statement
Data Availability Statement
Conflicts of Interest
Appendix A
References
- Kaushal, H.; Kaddoum, G. Optical Communication in Space: Challenges and Mitigation Techniques. IEEE Commun. Surv. Tutor. 2017, 19, 57–96. [Google Scholar] [CrossRef] [Green Version]
- Hemmati, H.; Biswas, A.; Djordjevic, I.B. Deep-Space Optical Communications: Future Perspectives and Applications. Proc. IEEE 2011, 99, 2020–2039. [Google Scholar] [CrossRef]
- Xu, G.; Song, Z. Effects of Solar Scintillation on Deep Space Communications: Challenges and Prediction Techniques. IEEE Wirel. Commun. 2019, 26, 10–16. [Google Scholar] [CrossRef]
- Mosavi, N.; Sequeira, H.B.; Copeland, D.J.; Menyuk, C.R. Solar scintillation study during planetary conjunction. In Proceedings of the 2016 IEEE Aerospace Conference, Big Sky, MT, USA, 5–12 March 2016; pp. 1–7. [Google Scholar] [CrossRef]
- Efimov, A.I.; Lukanina, L.A.; Samoznaev, L.N.; Rudash, V.K.; Chashei, I.V.; Bird, M.K.; Pätzold, M.; MEX-VEX-ROS Radio Science Team. Two-Way Frequency Fluctuations Observed During Coronal Radio Sounding Experiments. Sol. Phys. 2014, 289, 1715–1729. [Google Scholar] [CrossRef]
- Li, Q.; Yin, L.; Lu, J. Performance Study of A Deep Space Communications System with Low-Density Parity-Check Coding under Solar Scintillation. Int. J. Commun. 2012, 6, 1–9. [Google Scholar]
- Xu, G.; Song, Z. Amplitude fluctuations for optical waves propagation through non-Kolmogorov coronal solar wind turbulence channels. Opt. Express 2018, 26, 8566–8580. [Google Scholar] [CrossRef]
- Xu, G. Error performance of deep space optical communication with M-ary pulse position modulation over coronal turbulence channels. Opt. Express 2019, 27, 13344–13356. [Google Scholar] [CrossRef]
- Eunju, L.; Park, J.; Han, D.; Yoon, G. Performance Analysis of the Asymmetric Dual-Hop Relay Transmission with Mixed RF/FSO Links. IEEE Photon. Technol. Lett. 2011, 23, 1642–1644. [Google Scholar] [CrossRef]
- Bhatnagar, S.A.; Bhatnagar, M.R. Performance of an Amplify-and-Forward Dual-Hop Asymmetric RF-FSO Communication System. J. Opt. Commun. Netw. 2015, 7, 124–135. [Google Scholar] [CrossRef]
- Ansari, I.S.; Yilmaz, F.; Alouini, M. Impact of Pointing Errors on the Performance of Mixed RF/FSO Dual-Hop Transmission Systems. IEEE Wirel. Commun. Lett. 2013, 2, 351–354. [Google Scholar] [CrossRef] [Green Version]
- Matricciani, E. Deep-space communications with a 2-hop downlink with high link-availability. Int. J. Satell. Commun. Netw. 2005, 23, 203–228. [Google Scholar] [CrossRef]
- Matricciani, E. An optimum design of deep-space downlinks affected by tropospheric attenuation. Int. J. Satell. Commun. Netw. 2009, 27, 312–329. [Google Scholar] [CrossRef]
- Vilnrotter, V.; Hoppe, D.; Moision, B.; Charles, J. Optical communications performance of the hybrid 34-meter microwave antennas. In Proceedings of the 2010 IEEE Aerospace Conference, Big Sky, MT, USA, 6–13 March 2010; pp. 1–13. [Google Scholar] [CrossRef]
- Cesarone, R.J.; Abraham, D.S.; Shambayati, S.; Rush, J. Deep-space optical communications. In Proceedings of the ICSOS, Santa Monica, CA, USA, 11–13 May 2011; pp. 410–423. [Google Scholar] [CrossRef]
- Xu, G.; Zheng, Z.; Wang, W. Dual-hop deep space-terrestrial FSO/RF communication under solar scintillation: Performance analysis and challenges. China Commun. 2020, 17, 27–37. [Google Scholar] [CrossRef]
- Liu, H.; Jiang, T.; Hao, Y. Research on improving deep space communication using hybrid RF-FSO system. J. Commun. 2020, 41, 148–155. [Google Scholar] [CrossRef]
- Ho, C.; Wheelon, A. Amplitude Scintillation due to Atmospheric Turbulence for the Deep Space Network Ka-Band Downlink. IPN Prog. Rep. 2004, 42, 158. [Google Scholar]
- Efimov, A.; Armand, N.; Lukanina, L.; Samoznaev, L.; Chashei, I.; Bird, M.; Plettemeier, D. Radial dependence of the level of amplitude fluctuations of spacecraft radio signals probing circumsolar plasma. J. Commun. Technol. Electron. 2008, 53, 1186–1194. [Google Scholar] [CrossRef]
- Xu, G.; Song, Z. Solar Scintillation Effects on the Deep Space Communication Performance for Radio Wave Propagation Through Non-Kolmogorov Turbulence. IEEE Antennas Wirel. Propag. Lett. 2018, 17, 1505–1509. [Google Scholar] [CrossRef]
- Gajić, A.; Radovanović, J.; Vuković, N.; Milanović, V.; Boiko, D.L. Theoretical approach to quantum cascade micro-laser broadband multimode emission in strong magnetic fields. Phys. Lett. A 2021, 387, 127007. [Google Scholar] [CrossRef]
- Garlinska, M.; Pregowska, A.; Masztalerz, K.; Osial, M. From mirrors to free-space optical communication—Historical aspects in data transmission. Future Internet 2020, 12, 179. [Google Scholar] [CrossRef]
- Lionis, A.; Peppas, K.; Nistazakis, H.E.; Tsigopoulos, A.D.; Cohn, K. Experimental performance analysis of an optical communication channel over maritime environment. Electronics 2020, 9, 1109. [Google Scholar] [CrossRef]
- Wheelon, A.D. Electromagnetic Scintillation. Vol. 1: Geometrical Optics; Cambridge University Press: Cambridge, UK, 2001. [Google Scholar] [CrossRef]
- Thejappa, G.; Macdowall, R. Effects of Scattering on Radio Emission from the Quiet Sun at Low Frequencies. Astrophys. J. 2008, 676, 1338–1345. [Google Scholar] [CrossRef]
- Calves, G.; Pogrebenko, S.; Cimo, G.; Duev, D.; Bocanegra-Bahamón, T.; Wagner, J.; Kallunki, J.; Vicente, P.; Kronschnabl, G.; Haas, R.; et al. Observations and analysis of phase scintillation of spacecraft signal on the interplanetary plasma. Astron. Astrophys. 2014, 564, A4. [Google Scholar] [CrossRef] [Green Version]
- Ho, C.; Morabito, D.; Woo, R. Solar corona effects on angle of arrival fluctuations for microwave telecommunication links during superior solar conjunction. Radio Sci. 2008, 43, 1–13. [Google Scholar] [CrossRef]
- Wing, S.; Johnson, J.; Chaston, C.; Echim, M.; Escoubet, C.; Lavraud, B.; Lemon, C.; Nykyri, K.; Otto, A.; Raeder, J.; et al. Review of Solar Wind Entry into and Transport Within the Plasma Sheet. Space Sci. Rev. 2014, 184, 33–86. [Google Scholar] [CrossRef]
- Wheelon, A.D. Electromagnetic Scintillation. Vol. 2: Weak Scattering; Cambridge University Press: Cambridge, UK, 2003. [Google Scholar] [CrossRef]
- Gradshteyn, I.; Ryzhik, I. Table of Integrals, Series and Products; American Mathematical Society: Providence, RI, USA, 2014; Volume 36. [Google Scholar] [CrossRef]
- Al-Habash, M.; Andrews, L.; Philips, R. Mathematical model for the irradiance PDF of a laser beam propagating through turbulent media. Opt. Eng. 2001, 40, 1554–1562. [Google Scholar] [CrossRef]
- Lee, L.; Jokipii, J. Strong scintillations in astrophysics. III—The fluctuations in intensity. Astrophys. J. 1975, 202, 439–453. [Google Scholar] [CrossRef]
- Liu, H.; Liao, R.; Wei, Z.; Hou, Z.; Qiao, Y. Performance Improvement for Mixed RF–FSO Communication System by Adopting Hybrid Subcarrier Intensity Modulation. Appl. Sci. 2019, 9, 3724. [Google Scholar] [CrossRef] [Green Version]
- Liu, H.; Liao, R.; Wei, Z.; Hou, Z.; Qiao, Y. BER Analysis of a Hybrid Modulation Scheme Based on PPM and MSK Subcarrier Intensity Modulation. IEEE Photon. J. 2015, 7, 1–10. [Google Scholar] [CrossRef]
- Elganimi, T. Performance Comparison between OOK, PPM and PAM Modulation Schemes for Free Space Optical (FSO) Communication Systems: Analytical Study. Int. J. Comput. Appl. 2013, 79, 22–27. [Google Scholar] [CrossRef]
- Faridzadeh, M.; Gholami, A.; Rajbhandari, S. Hybrid pulse position modulation and binary phase shift keying subcarrier intensity modulation for free space optics in a weak and saturated turbulence channel. J. Opt. Soc. Am. A 2012, 29, 1680–1685. [Google Scholar] [CrossRef] [Green Version]
- Si, C.; Zhang, Y.; Wang, Y.; Wang, J.; Jia, J. Average capacity for non-Kolmogorov turbulent slant optical links with beam wander corrected and pointing errors. Optik 2012, 123, 1–5. [Google Scholar] [CrossRef]
- Ansari, I.; Al-ahmadi, S.; Yilmaz, F.; Alouini, M.S. A New Formula for the BER of Binary Modulations with Dual-Branch Selection over Generalized-K Composite Fading Channels. IEEE Trans. Wirel. Commun. 2011, 59, 2654–2658. [Google Scholar] [CrossRef] [Green Version]
- Raible, D.E.; Romanofsky, R.R.; Budinger, J.M.; Nappier, J.; Hylton, A.; Swank, A.J.; Nerone, A.L. On the physical realizability of the hybrid RF and optical communications platforms for deep space applications. In Proceedings of the 32nd ICSSC, San Diego, CA, USA, 4–7 August 2014; p. 4482. [Google Scholar] [CrossRef]
- Miridakis, N.; Matthaiou, M.; Karagiannidis, G. Multiuser relaying over mixed RF/FSO links. IEEE Trans. Wirel. Commun. 2014, 62, 1634–1645. [Google Scholar] [CrossRef] [Green Version]
- Xu, G.; Zeng, M. Solar scintillation effect for optical waves propagating through Gamma–Gamma coronal turbulence channels. IEEE Photon. J. 2019, 11, 1–15. [Google Scholar] [CrossRef]
- Ivanov, H.; Leitgeb, E.; Plank, T.; Kraus, D. Evaluation of FSO-technology as a candidate for reliable long-distance communication links for deep space applications. In Proceedings of the PIERS-Spring, Rome, Italy, 17–20 June 2019; pp. 3441–3448. [Google Scholar] [CrossRef]
- Hormsup, K.; Imtawil, V.; Suthisopapan, P. Rate-compatible shortened LDPC codes for deep space fading channel. J. Commun. 2019, 14, 574–579. [Google Scholar] [CrossRef]
- Li, B.; Liu, Y.; Tong, S.; Zhang, L.; Yao, H. BER analysis of a deep space optical communication system based on SNSPD over double generalized Gamma channel. IEEE Photonics J. 2018, 10, 1–7. [Google Scholar] [CrossRef]
- Wang, Y.; Xu, H.; Li, D.; Wang, R.; Jin, C.; Yin, X.; Gao, S.; Mu, Q.; Xuan, L.; Cao, Z. Performance analysis of an adaptive optics system for free-space optics communication through atmospheric turbulence. Sci. Rep. 2018, 8, 1124. [Google Scholar] [CrossRef]
- Peppas, K.P.; Datsikas, C.K. Average symbol error probability of general-order rectangular quadrature amplitude modulation of optical wireless communication systems over atmospheric turbulence channels. J. Opt. Commun. Netw. 2010, 2, 102–110. [Google Scholar] [CrossRef]
- Popoola, W.O.; Ghassemlooy, Z. BPSK subcarrier intensity modulated free-space optical communications in atmospheric turbulence. J. Lightw. Technol. 2009, 27, 967–973. [Google Scholar] [CrossRef]
- Park, J.; Lee, E.; Yoon, G. Average bit-error rate of the Alamouti scheme in Gamma–Gamma fading channels. IEEE Photon. Technol. Lett. 2010, 23, 269–271. [Google Scholar] [CrossRef]










Publisher’s Note: MDPI stays neutral with regard to jurisdictional claims in published maps and institutional affiliations. |
© 2022 by the authors. Licensee MDPI, Basel, Switzerland. This article is an open access article distributed under the terms and conditions of the Creative Commons Attribution (CC BY) license (https://creativecommons.org/licenses/by/4.0/).
Share and Cite
Jin, M.; Liu, W.; Hao, Y.; Wu, R.; Wei, Z.; Deng, D.; Liu, H. Hybrid Dual-Hop RF/FSO Terrestrial-Deep Space Communication System under Solar Scintillation during Superior Solar Conjunction. Appl. Sci. 2022, 12, 619. https://doi.org/10.3390/app12020619
Jin M, Liu W, Hao Y, Wu R, Wei Z, Deng D, Liu H. Hybrid Dual-Hop RF/FSO Terrestrial-Deep Space Communication System under Solar Scintillation during Superior Solar Conjunction. Applied Sciences. 2022; 12(2):619. https://doi.org/10.3390/app12020619
Chicago/Turabian StyleJin, Meng, Wenyi Liu, Yuan Hao, Ruihuan Wu, Zhongchao Wei, Dongmei Deng, and Hongzhan Liu. 2022. "Hybrid Dual-Hop RF/FSO Terrestrial-Deep Space Communication System under Solar Scintillation during Superior Solar Conjunction" Applied Sciences 12, no. 2: 619. https://doi.org/10.3390/app12020619
APA StyleJin, M., Liu, W., Hao, Y., Wu, R., Wei, Z., Deng, D., & Liu, H. (2022). Hybrid Dual-Hop RF/FSO Terrestrial-Deep Space Communication System under Solar Scintillation during Superior Solar Conjunction. Applied Sciences, 12(2), 619. https://doi.org/10.3390/app12020619

