Numerical Investigation of Stable Stratification Effects on Wind Resource Assessment in Complex Terrain
Abstract
1. Introduction
2. Summary of the Numerical Simulation Methods
3. CFD Simulation for the Isolated Hill Scenario
3.1. Effects of the Grid Resolution on the Numerical Results for the Steep Isolated Hill Scenario
3.2. Effects of the Inflow Profiles on the Numerical Results for the Steep Isolated Hill Scenario
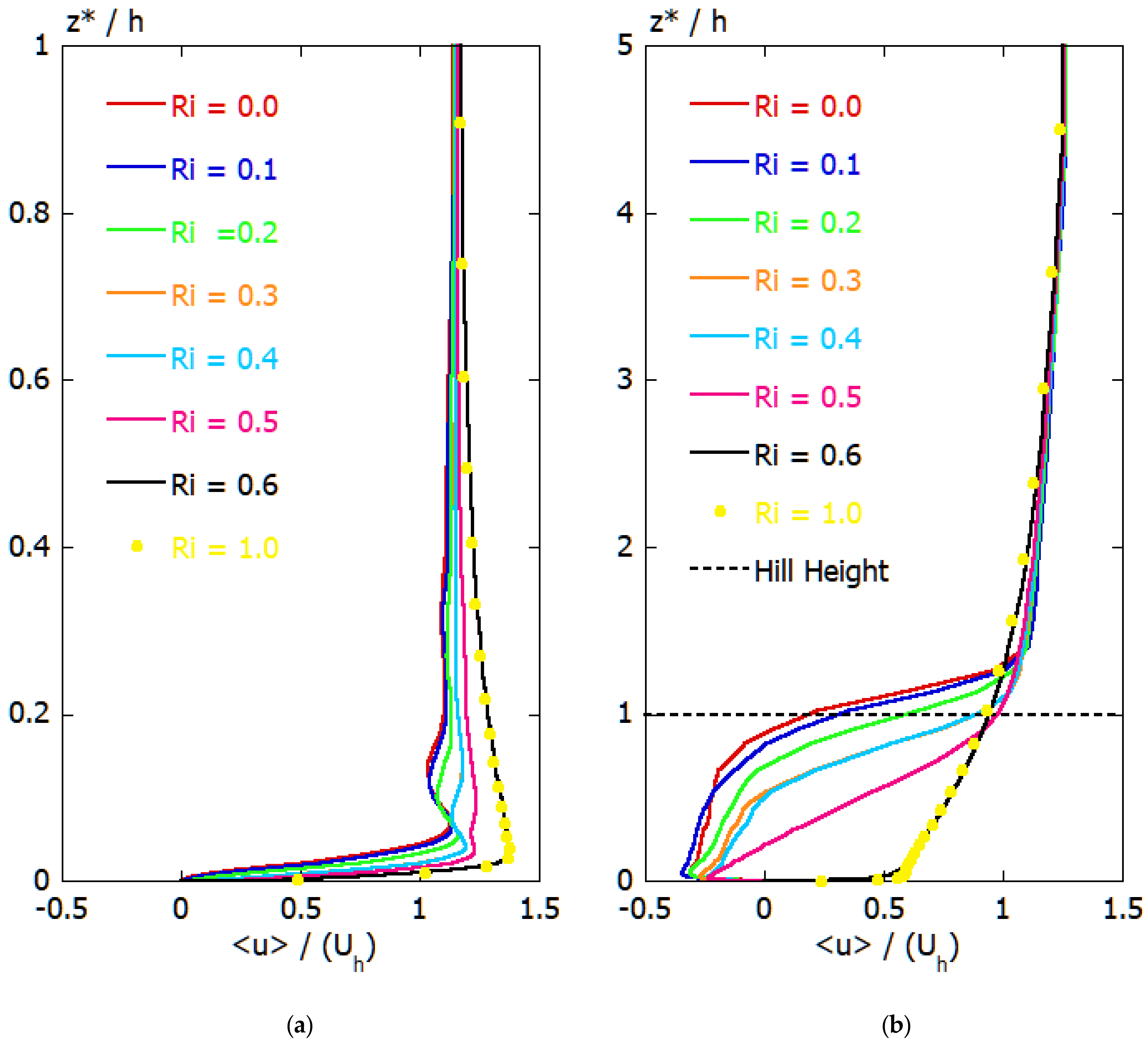
3.3. Effect of Atmospheric Stability on the Numerical Results for the Steep Isolated Hill Scenario
3.4. Effect of the Inflow Profile on the Numerical Results for the Gentle Isolated Hill Scenario
3.5. Effect of Atmospheric Stability on the Numerical Results for the Gentle Isolated Hill Scenario
3.6. Effect of Continuously Changing Atmospheric Stability on the Numerical Results for the Gentle Isolated Hill Scenario
4. CFD Simulation for Complex Terrain
5. Conclusions
Author Contributions
Funding
Acknowledgments
Conflicts of Interest
Appendix A. Effect of Continuously Changing Atmospheric Stability on the Numerical Results for the Steep Isolated Hill Scenario

Appendix B. Effect of Atmospheric Stability on the Behavior of Wind Turbine Wakes

References
- Stull, R.B. An Introduction to Boundary Layer Meteorology; Kluwer Academic Publishers: Dordrecht, The Netherlands, 1998. [Google Scholar]
 - Porté-Agel, F.; Bastankhah, M.; Shamsoddin, S. Wind-Turbine and Wind-Farm Flows: A Review. Bound. Layer Meteorol. 2020, 174, 1–59. [Google Scholar] [CrossRef] [PubMed]
 - Dörenkämper, M.; Witha, B.; Steinfeld, G.; Heinemann, D.; Kühn, M. The impact of stable atmospheric boundary layers on wind-turbine wakes within offshore wind farms. J. Wind. Eng. Ind. Aerodyn. 2015, 144, 146–153. [Google Scholar] [CrossRef]
 - Abkar, M.; Porté-Agel, F. The Effect of Free-Atmosphere Stratification on Boundary-Layer Flow and Power Output from Very Large Wind Farms. Energies 2013, 6, 2338–2361. [Google Scholar] [CrossRef]
 - Lu, H.; Porté-Agel, F. Large-eddy simulation of a very large wind farm in a stable atmospheric boundary layer. Phys. Fluids 2011, 23, 065101. [Google Scholar] [CrossRef]
 - Snyder, W.H.; Hunt, J.C.R. Turbulent diffusion from a point source in stratified and neutral flows around a three-dimensional hill—II. Laboratory measurements of surface concentrations. Atmos. Environ. 1969, 18, 1969–2002. [Google Scholar] [CrossRef]
 - Hunt, J.C.R. Turbulent Diffusion from Sources in Complex Flows. Annu. Rev. Fluid Mech. 1985, 17, 447–485. [Google Scholar] [CrossRef]
 - Uchida, T. Three-Dimensional Numerical Simulation of Stably Stratified Flows over a Two-Dimensional Hill. Open J. Fluid Dyn. 2017, 7, 579–595. [Google Scholar] [CrossRef][Green Version]
 - Uchida, T.; Araki, K. Reproduction of Local Strong Wind Area Induced in the Downstream of Small-Scale Terrain by Computational Fluid Dynamic (CFD) Approach. Model. Simul. Eng. 2019, 2019, 7378315. [Google Scholar] [CrossRef]
 - Alamian, R.; Shafaghat, R.; Amiri, H.A.; Shadloo, M.S. Experimental assessment of a 100 W prototype horizontal axis tidal turbine by towing tank tests. Renew. Energy 2020, 155, 172–180. [Google Scholar] [CrossRef]
 - Ebrahimpour, M.; Shafaghat, R.; Alamian, R.; Shadloo, M.S. Numerical Investigation of the Savonius Vertical Axis Wind Turbine and Evaluation of the Effect of the Overlap Parameter in Both Horizontal and Vertical Directions on Its Performance. Symmetry 2019, 11, 821. [Google Scholar] [CrossRef]
 - Uchida, T.; Kawashima, Y. New Assessment Scales for Evaluating the Degree of Risk of Wind Turbine Blade Damage Caused by Terrain-Induced Turbulence. Energies 2019, 12, 2624. [Google Scholar] [CrossRef]
 - Uchida, T.; Takakuwa, S. A Large-Eddy Simulation-Based Assessment of the Risk of Wind Turbine Failures Due to Terrain-Induced Turbulence over a Wind Farm in Complex Terrain. Energies 2019, 12, 1925. [Google Scholar] [CrossRef]
 - Uchida, T. LES Investigation of Terrain-Induced Turbulence in Complex Terrain and Economic Effects of Wind Turbine Control. Energies 2018, 11, 1530. [Google Scholar] [CrossRef]
 - Uchida, T. Computational Fluid Dynamics (CFD) Investigation of Wind Turbine Nacelle Separation Accident over Complex Terrain in Japan. Energies 2018, 11, 1485. [Google Scholar] [CrossRef]
 - Smagorinsky, J. General circulation experiments with the primitive equations: I. Basic experiments. Mon. Weather Rev. 1963, 91, 99. [Google Scholar] [CrossRef]
 - Kim, J.; Moin, P. Application of a fractional-step method to incompressible Navier-Stokes equations. J. Comput. Phys. 1985, 59, 308–323. [Google Scholar] [CrossRef]
 - Kajishima, T. Upstream-Shifted Interpolation Method for Numerical Simulation of Incompressible Flows. Trans. Jpn. Soc. Mech. Eng. Ser. B 1994, 60, 3319–3326. [Google Scholar] [CrossRef]
 - Kawamura, T.; Takami, H.; Kuwahara, K. Computation of high Reynolds number flow around a circular cylinder with surface roughness. Fluid Dyn. Res. 1986, 1, 145–162. [Google Scholar] [CrossRef]
 - Uchida, T.; Li, G. Comparison of RANS and LES in the Prediction of Airflow Field over Steep Complex Terrain. Open J. Fluid Dyn. 2018, 8, 286–307. [Google Scholar] [CrossRef]
 - Uchida, T.; Sugitani, K. Numerical and Experimental Study of Topographic Speed-Up Effects in Complex Terrain. Energies 2020, 13, 3896. [Google Scholar] [CrossRef]
 - Uchida, T.; Ohya, Y. Micro-siting technique for wind turbine generators by using large-eddy simulation. J. Wind. Eng. Ind. Aerodyn. 2008, 96, 2121–2138. [Google Scholar] [CrossRef]
 - Uchida, T.; Taniyama, Y.; Fukatani, Y.; Nakano, M.; Bai, Z.; Yoshida, T.; Inui, M. A New Wind Turbine CFD Modeling Method Based on a Porous Disk Approach for Practical Wind Farm Design. Energies 2020, 13, 3197. [Google Scholar] [CrossRef]
 

































Publisher’s Note: MDPI stays neutral with regard to jurisdictional claims in published maps and institutional affiliations.  | 
© 2020 by the authors. Licensee MDPI, Basel, Switzerland. This article is an open access article distributed under the terms and conditions of the Creative Commons Attribution (CC BY) license (http://creativecommons.org/licenses/by/4.0/).
Share and Cite
Uchida, T.; Takakuwa, S. Numerical Investigation of Stable Stratification Effects on Wind Resource Assessment in Complex Terrain. Energies 2020, 13, 6638. https://doi.org/10.3390/en13246638
Uchida T, Takakuwa S. Numerical Investigation of Stable Stratification Effects on Wind Resource Assessment in Complex Terrain. Energies. 2020; 13(24):6638. https://doi.org/10.3390/en13246638
Chicago/Turabian StyleUchida, Takanori, and Susumu Takakuwa. 2020. "Numerical Investigation of Stable Stratification Effects on Wind Resource Assessment in Complex Terrain" Energies 13, no. 24: 6638. https://doi.org/10.3390/en13246638
APA StyleUchida, T., & Takakuwa, S. (2020). Numerical Investigation of Stable Stratification Effects on Wind Resource Assessment in Complex Terrain. Energies, 13(24), 6638. https://doi.org/10.3390/en13246638
        
