Hydrologic Assessment of TRMM and GPM-Based Precipitation Products in Transboundary River Catchment (Chenab River, Pakistan)
Abstract
1. Introduction
2. Study Area
3. Data Description and Processing
3.1. Digital Elevation Data
3.2. Hydro-Climatic Data
3.3. Land Use and Soil Type Data
4. Methods
4.1. Hydrologic Simulation Using SWAT Model
4.2. Sensitivity/Uncertainty Analysis
Global Sensitivity Analysis (GSA)
4.3. Calibration and Validation
4.4. Performance Indices
5. Results
5.1. Calibration and Validation of the SWAT Model
5.2. Runoff Simulation on Daily and Monthly Timescale
5.3. Taylor Diagrams
6. Summary, Conclusions and Recommendations
6.1. Summary
6.2. Conclusions
6.3. Recommendations
Author Contributions
Funding
Acknowledgments
Conflicts of Interest
Appendix A
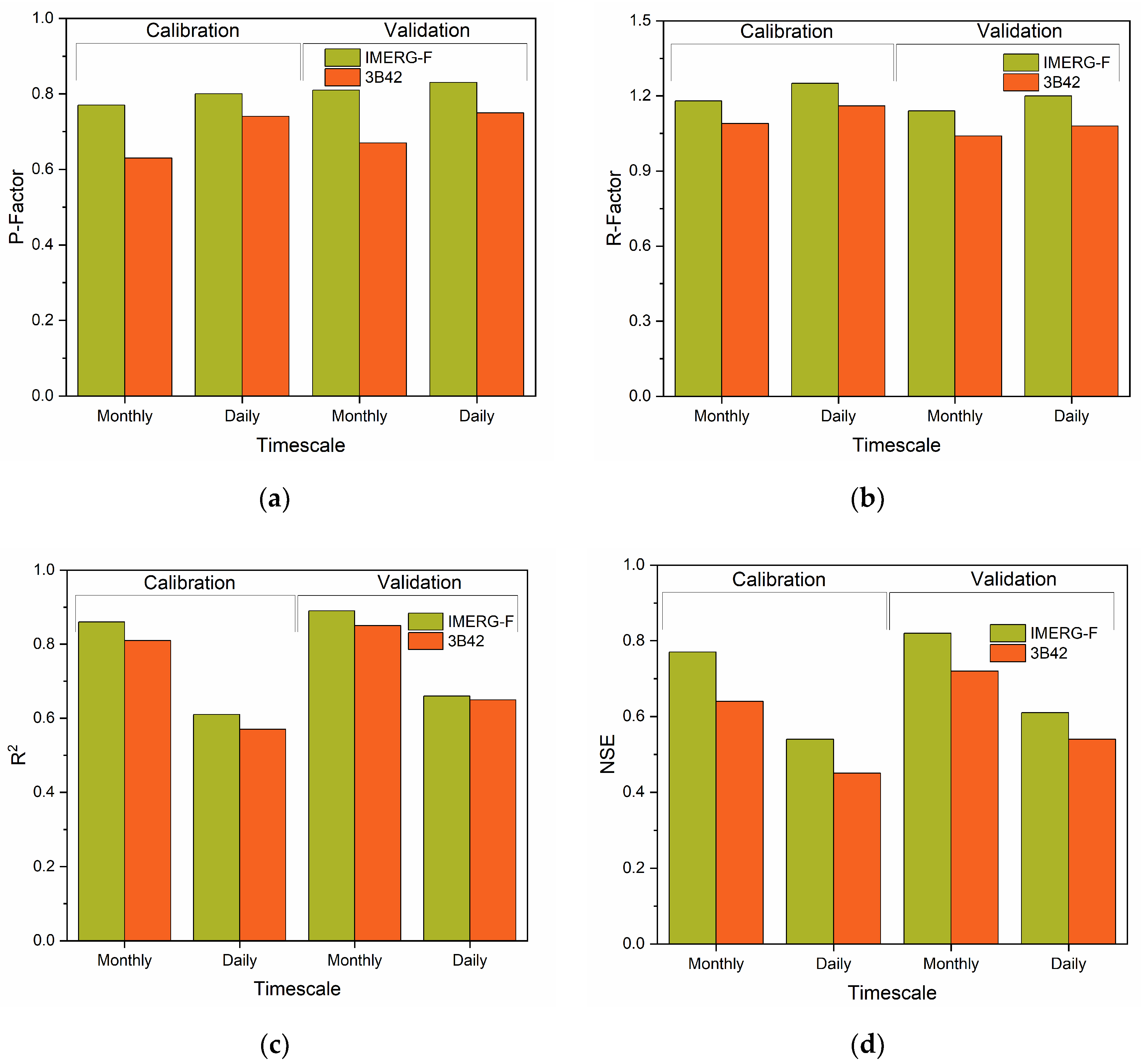
| Satellite Precipitation Product | Calibration/Validation | Timescale | P-factor | R-factor | R2 | NSE | PBIAS |
|---|---|---|---|---|---|---|---|
| IMERG-F | Calibration | Monthly | 0.77 | 1.18 | 0.86 | 0.77 | 22.8 |
| Validation | 0.81 | 1.14 | 0.89 | 0.82 | 21.5 | ||
| Calibration | Daily | 0.80 | 1.25 | 0.61 | 0.54 | 22.8 | |
| Validation | 0.83 | 1.20 | 0.66 | 0.61 | 21.5 | ||
| 3B42 | Calibration | Monthly | 0.63 | 1.09 | 0.81 | 0.64 | 30.9 |
| Validation | 0.67 | 1.04 | 0.85 | 0.72 | 31.1 | ||
| Calibration | Daily | 0.74 | 1.16 | 0.57 | 0.45 | 30.9 | |
| Validation | 0.75 | 1.08 | 0.65 | 0.54 | 31.1 |
| Statistics | Satellite Precipitation Product | Monthly | Daily | ||
|---|---|---|---|---|---|
| Calibration | Validation | Calibration | Validation | ||
| R | IMERG-F | 0.93 | 0.94 | 0.78 | 0.81 |
| 3B42 | 0.90 | 0.92 | 0.76 | 0.81 | |
| RMS error | IMERG-F | 357.88 | 295.71 | 601.61 | 506.22 |
| 3B42 | 445.11 | 373.81 | 655.54 | 545.90 | |
| Standard Deviation | IMERG-F | 722.13 | 681.06 | 834.12 | 772.86 |
| 3B42 | 727.80 | 690.71 | 811.47 | 765.67 | |
References
- Huffman, G.J.; Adler, R.F.; Bolvin, D.T.; Gu, G.; Nelkin, E.J.; Bowman, K.P.; Hong, Y.; Stocker, E.F.; Wolff, D.B. The TRMM Multisatellite Precipitation Analysis (TMPA): Quasi-Global, multiyear, combined-sensor precipitation estimates at fine scales. J. Hydrometeorol. 2007, 8, 38–55. [Google Scholar] [CrossRef]
- Hou, A.Y.; Kakar, R.K.; Neeck, S.; Azarbarzin, A.A.; Kummerow, C.D.; Kojima, M.; Oki, R.; Nakamura, K.; Iguchi, T. The Global precipitation measurement mission. Bull. Am. Meteorol. Soc. 2014, 95, 701–722. [Google Scholar] [CrossRef]
- Saddique, N.; Usman, M.; Bernhofer, C. Simulating the impact of climate change on the hydrological regimes of a sparsely gauged mountainous basin, Northern Pakistan. Water (Switzerland) 2019, 11, 2141. [Google Scholar] [CrossRef]
- Miyamoto, M.; Ono, M.; Okazumi, T.; Nabesaka, S.; Iwami, Y. Applicability of a Flood Forecasting Method utilizing Global Satellite Information to an Insufficiently-Gauged River Basin: A Case of a River Basin in the Philippines. In Proceedings of the 11th International Conference on Hydroinformatics HIC 2014, New York City, NY, USA, 17–21 August 2014. [Google Scholar]
- Boongaling, C.G.K.; Faustino-Eslava, D.V.; Lansigan, F.P. Modeling land use change impacts on hydrology and the use of landscape metrics as tools for watershed management: The case of an ungauged catchment in the Philippines. Land Use Policy 2018, 72, 116–128. [Google Scholar] [CrossRef]
- Jodar-Abellan, A.; Valdes-Abellan, J.; Pla, C.; Gomariz-Castillo, F. Impact of land use changes on flash flood prediction using a sub-daily SWAT model in five Mediterranean ungauged watersheds (SE Spain). Sci. Total Environ. 2019, 657, 1578–1591. [Google Scholar] [CrossRef]
- Dash, P. Simulation of Hydrologic Processes through Calibration of SWAT Model with MODIS Evapotranspiration Data for an Ungauged Basin in Western Himalaya, India. In Geospatial Applications for Natural Resources Management; CRC Press: Boca Raton, FL, USA, 2018; pp. 223–241. [Google Scholar]
- Wu, Y.; Zhang, Z.; Huang, Y.; Jin, Q.; Chen, X.; Chang, J. Evaluation of the GPM IMERG v5 and TRMM 3B42 v7 precipitation products in the Yangtze River basin, China. Water (Switzerland) 2019, 11, 1459. [Google Scholar] [CrossRef]
- Yuan, F.; Zhang, L.; Soe, K.M.W.; Ren, L.; Zhao, C.; Zhu, Y.; Jiang, S.; Liu, Y. Applications of TRMM- and GPM-era multiple- satellite precipitation products for flood simulations at sub-daily scales in a sparsely gauged watershed in Myanmar. Remote Sens. 2019, 11, 140. [Google Scholar] [CrossRef]
- Nguyen, T.; Masih, I.; Mohamed, Y.; Van Der Zaag, P. Validating Rainfall-Runoff Modelling Using Satellite-Based and Reanalysis Precipitation Products in the Sre Pok Catchment, the Mekong River Basin. Geosciences 2018, 8, 164. [Google Scholar] [CrossRef]
- Qureshi, A.S. Water Management in the Indus Basin in Pakistan: Challenges and Opportunities. Mt. Res. Dev. 2011, 31, 252–260. [Google Scholar] [CrossRef]
- Rees, H.G.; Collins, D.N. Regional differences in response of flow in glacier-fed Himalayan rivers to climatic warming. Hydrol. Process. 2006, 20, 2157–2169. [Google Scholar] [CrossRef]
- Riaz, M.; Aziz, A.; Hussain, S. Flood Forecasting of an ungauged trans-boundary chenab river basin using distributed hydrological model Integrated Flood Analysis System (IFAS). Pak. J. Meteorol. 2017, 13, 51–62. [Google Scholar]
- FFC. Annual Flood Report For the Year 2012; Federal Flood Commision, Govt. of Pakistan: Islamabad, Pakistan, 2013.
- Tarnavsky, E.; Mulligan, M.; Ouessar, M.; Faye, A.; Black, E. Dynamic Hydrological Modeling in Drylands with TRMM Based Rainfall. Remote Sens. 2013, 5, 6691. [Google Scholar] [CrossRef]
- Yoshimoto, S.; Amarnath, G. Applications of Satellite-Based Rainfall Estimates in Flood Inundation Modeling—A Case Study in Mundeni Aru River Basin, Sri Lanka. Remote Sens. 2017, 9, 998. [Google Scholar] [CrossRef]
- Tuo, Y.; Duan, Z.; Disse, M.; Chiogna, G. Evaluation of precipitation input for SWAT modeling in Alpine catchment: A case study in the Adige river basin (Italy). Sci. Total Environ. 2016, 573, 66–82. [Google Scholar] [CrossRef]
- Qi, W.; Zhang, C.; Fu, G.; Sweetapple, C.; Zhou, H. Evaluation of global fine-resolution precipitation products and their uncertainty quantification in ensemble discharge simulations. Hydrol. Earth Syst. Sci. 2016, 20, 903–920. [Google Scholar] [CrossRef]
- Xue, X.; Hong, Y.; Limaye, A.S.; Gourley, J.J.; Huffman, G.J.; Khan, S.I.; Dorji, C.; Chen, S. Statistical and hydrological evaluation of TRMM-based Multi-satellite Precipitation Analysis over the Wangchu Basin of Bhutan: Are the latest satellite precipitation products 3B42V7 ready for use in ungauged basins? J. Hydrol. 2013, 499, 91–99. [Google Scholar] [CrossRef]
- Saber, M.; Yilmaz, K. Evaluation and Bias Correction of Satellite-Based Rainfall Estimates for Modelling Flash Floods over the Mediterranean region: Application to Karpuz River Basin, Turkey. Water (Switzerland) 2018, 10, 657. [Google Scholar] [CrossRef]
- Gebremichael, M.; Hossain, F. Satellite Rainfall Applications for Surface Hydrology; Gebremichael, M., Hossain, F., Eds.; Springer: Dordrecht, The Netherlands, 2010; ISBN 978-90-481-2914-0. [Google Scholar]
- Tobin, K.J.; Bennett, M.E. Temporal analysis of Soil and Water Assessment Tool (SWAT) performance based on remotely sensed precipitation products. Hydrol. Process. 2013, 27, 505–514. [Google Scholar] [CrossRef]
- Wang, Z.; Zhong, R.; Lai, C.; Chen, J. Evaluation of the GPM IMERG satellite-based precipitation products and the hydrological utility. Atmos. Res. 2017, 196, 151–163. [Google Scholar] [CrossRef]
- Jiang, S.; Ren, L.; Xu, C.Y.; Yong, B.; Yuan, F.; Liu, Y.; Yang, X.; Zeng, X. Statistical and hydrological evaluation of the latest Integrated Multi-satellitE Retrievals for GPM (IMERG) over a midlatitude humid basin in South China. Atmos. Res. 2018, 214, 418–429. [Google Scholar] [CrossRef]
- Huffman, G.J.; Bolvin, D.T.; Braithwaite, D.; Hsu, K.-L.; Joyce, R.J.; Kidd, C.; Nelkin, E.J.; Sorooshian, S.; Stocker, E.F.; Tan, J.; et al. Integrated multi-satellite retrievals for the Global Precipitation Measurement (GPM) Mission (IMERG). In Satellite Precipitation Measurement; Springer: Cham, Germany, 2020; pp. 343–353. [Google Scholar] [CrossRef]
- Prakash, S.; Mitra, A.K.; AghaKouchak, A.; Liu, Z.; Norouzi, H.; Pai, D.S. A preliminary assessment of GPM-based multi-satellite precipitation estimates over a monsoon dominated region. J. Hydrol. 2018, 556, 865–876. [Google Scholar] [CrossRef]
- Khodadoust Siuki, S.; Saghafian, B.; Moazami, S. Comprehensive evaluation of 3-hourly TRMM and half-hourly GPM-IMERG satellite precipitation products. Int. J. Remote Sens. 2017, 38, 558–571. [Google Scholar] [CrossRef]
- Kim, K.; Park, J.; Baik, J.; Choi, M. Evaluation of topographical and seasonal feature using GPM IMERG and TRMM 3B42 over Far-East Asia. Atmos. Res. 2017, 187, 95–105. [Google Scholar] [CrossRef]
- Tang, G.; Ma, Y.; Long, D.; Zhong, L.; Hong, Y. Evaluation of GPM Day-1 IMERG and TMPA Version-7 legacy products over Mainland China at multiple spatiotemporal scales. J. Hydrol. 2016, 533, 152–167. [Google Scholar] [CrossRef]
- Gebregiorgis, A.S.; Kirstetter, P.; Hong, Y.E.; Gourley, J.J.; Huffman, G.J.; Petersen, W.A.; Xue, X.; Schwaller, M.R. To What Extent is the Day 1 GPM IMERG Satellite precipitation estimate improved as compared to TRMM TMPA-RT? J. Geophys. Res. Atmos. 2018, 123, 1694–1707. [Google Scholar] [CrossRef]
- Anjum, M.N.; Ding, Y.; Shangguan, D.; Ahmad, I.; Ijaz, M.W.; Farid, H.U.; Yagoub, Y.E.; Zaman, M.; Adnan, M. Performance evaluation of latest integrated multi-satellite retrievals for Global Precipitation Measurement (IMERG) over the northern highlands of Pakistan. Atmos. Res. 2018, 205, 134–146. [Google Scholar] [CrossRef]
- Rozante, J.; Vila, D.; Barboza Chiquetto, J.; Fernandes, A.; Souza Alvim, D. Evaluation of TRMM/GPM blended daily products over Brazil. Remote Sens. 2018, 10, 882. [Google Scholar] [CrossRef]
- Tan, M.L.; Santo, H. Comparison of GPM IMERG, TMPA 3B42 and PERSIANN-CDR satellite precipitation products over Malaysia. Atmos. Res. 2018, 202, 63–76. [Google Scholar] [CrossRef]
- Prakash, S.; Mitra, A.K.; Pai, D.S.; AghaKouchak, A. From TRMM to GPM: How well can heavy rainfall be detected from space? Adv. Water Resour. 2016, 88, 1–7. [Google Scholar] [CrossRef]
- Sharifi, E.; Steinacker, R.; Saghafian, B. Assessment of GPM-IMERG and other precipitation products against gauge data under different topographic and climatic conditions in Iran: Preliminary results. Remote Sens. 2016, 8, 135. [Google Scholar] [CrossRef]
- He, Z.; Yang, L.; Tian, F.; Ni, G.; Hou, A.; Lu, H. Intercomparisons of Rainfall Estimates from TRMM and GPM Multisatellite products over the upper Mekong River Basin. J. Hydrometeorol. 2017, 18, 413–430. [Google Scholar] [CrossRef]
- Zubieta, R.; Getirana, A.; Espinoza, J.C.; Lavado-Casimiro, W.; Aragon, L. Hydrological modeling of the Peruvian–Ecuadorian Amazon Basin using GPM-IMERG satellite-based precipitation dataset. Hydrol. Earth Syst. Sci. 2017, 21, 3543–3555. [Google Scholar] [CrossRef]
- Yuan, F.; Wang, B.; Shi, C.; Cui, W.; Zhao, C.; Liu, Y.; Ren, L.; Zhang, L.; Zhu, Y.; Chen, T.; et al. Evaluation of hydrological utility of IMERG Final run V05 and TMPA 3B42V7 satellite precipitation products in the Yellow River source region, China. J. Hydrol. 2018, 567, 696–711. [Google Scholar] [CrossRef]
- Arnold, J.G.; Fohrer, N. SWAT2000: Current capabilities and research opportunities in applied watershed modelling. Hydrol. Process. 2005, 19, 563–572. [Google Scholar] [CrossRef]
- Arnold, J.G.; Srinivasan, R.; Muttiah, R.S.; Williams, J.R. Large area hydrologic modeling and assessment part I: Model development. J. Am. Water Resour. Assoc. 1998, 34, 73–89. [Google Scholar] [CrossRef]
- Nerantzaki, S.D.; Giannakis, G.V.; Efstathiou, D.; Nikolaidis, N.P.; Sibetheros, I.A.; Karatzas, G.P.; Zacharias, I. Modeling suspended sediment transport and assessing the impacts of climate change in a karstic Mediterranean watershed. Sci. Total Environ. 2015, 538, 288–297. [Google Scholar] [CrossRef]
- Schmalz, B.; Kuemmerlen, M.; Kiesel, J.; Cai, Q.; Jähnig, S.C.; Fohrer, N. Impacts of land use changes on hydrological components and macroinvertebrate distributions in the Poyang lake area. Ecohydrology 2015, 8, 1119–1136. [Google Scholar] [CrossRef]
- Song, X.; Duan, Z.; Kono, Y.; Wang, M. Integration of remotely sensed C factor into SWAT for modelling sediment yield. Hydrol. Process. 2011, 25, 3387–3398. [Google Scholar] [CrossRef]
- Guse, B.; Pfannerstill, M.; Strauch, M.; Reusser, D.E.; Lüdtke, S.; Volk, M.; Gupta, H.; Fohrer, N. On characterizing the temporal dominance patterns of model parameters and processes. Hydrol. Process. 2016, 30, 2255–2270. [Google Scholar] [CrossRef]
- Chen, W.; Chau, K.W. Intelligent manipulation and calibration of parameters for hydrological models. Int. J. Environ. Pollut. 2006, 28, 432–447. [Google Scholar] [CrossRef]
- Woznicki, S.A.; Nejadhashemi, A.P.; Abouali, M.; Herman, M.R.; Esfahanian, E.; Hamaamin, Y.A.; Zhang, Z. Ecohydrological modeling for large-scale environmental impact assessment. Sci. Total Environ. 2016, 543, 274–286. [Google Scholar] [CrossRef] [PubMed]
- Rahman, K.; Maringanti, C.; Beniston, M.; Widmer, F.; Abbaspour, K.; Lehmann, A. Streamflow modeling in a highly managed mountainous glacier watershed using SWAT: The upper rhone river watershed case in Switzerland. Water Resour. Manag. 2013, 27, 323–339. [Google Scholar] [CrossRef]
- Guo, H.; Hu, Q.; Jiang, T. Annual and seasonal streamflow responses to climate and land-cover changes in the Poyang Lake basin, China. J. Hydrol. 2008, 355, 106–122. [Google Scholar] [CrossRef]
- Ayana, E.K.; Worqlul, A.W.; Steenhuis, T.S. Evaluation of stream water quality data generated from MODIS images in modeling total suspended solid emission to a freshwater lake. Sci. Total Environ. 2015, 523, 170–177. [Google Scholar] [CrossRef]
- Abbaspour, K.C. SWAT-CUP 2012: SWAT Calibration and Uncertainty Programs - A User Manual 1012. Eawag–Swiss Fed. Inst. Aquat. Sci. Technol. 2015. Available online: https://swat.tamu.edu/media/114860/usermanual_swatcup.pdf (accessed on 12 May 2020).
- Zheng, Y.; Keller, A.A. Uncertainty assessment in watershed-scale water quality modeling and management: 1. Framework and application of generalized likelihood uncertainty estimation (GLUE) approach. Water Resour. Res. 2007, 43, 1–13. [Google Scholar] [CrossRef]
- Yang, J.; Reichert, P.; Abbaspour, K.C.; Xia, J.; Yang, H. Comparing uncertainty analysis techniques for a SWAT application to the Chaohe Basin in China. J. Hydrol. 2008, 358, 1–23. [Google Scholar] [CrossRef]
- Abbaspour, K.C.; Johnson, C.A.; Van Genuchten, M.T. Estimating Uncertain Flow and Transport Parameters Using a Sequential Uncertainty Fitting Procedure. Vadose Zone J. 2004, 3, 1340–1352. [Google Scholar] [CrossRef]
- Abbaspour, K.C.; Yang, J.; Maximov, I.; Siber, R.; Bogner, K.; Mieleitner, J.; Zobrist, J.; Srinivasan, R. Modelling hydrology and water quality in the pre-alpine/alpine Thur watershed using SWAT. J. Hydrol. 2007, 333, 413–430. [Google Scholar] [CrossRef]
- Beven, K.; Binley, A. The future of distributed models: Model calibration and uncertainty prediction. Hydrol. Process. 1992, 6, 279–298. [Google Scholar] [CrossRef]
- Van Griensven, A.; Meixner, T. Methods to quantify and identify the sources of uncertainty for river basin water quality models. Water Sci. Technol. 2006, 53, 51–59. [Google Scholar] [CrossRef]
- Kuczera, G.; Parent, E. Monte Carlo assessment of parameter uncertainty in conceptual catchment models: The Metropolis algorithm. J. Hydrol. 1998, 211, 69–85. [Google Scholar] [CrossRef]
- Rostamian, R.; Jaleh, A.; Afyuni, M.; Mousavi, S.F.; Heidarpour, M.; Jalalian, A.; Abbaspour, K.C. Application of a SWAT model for estimating runoff and sediment in two mountainous basins in central Iran. In Proceedings of the Hydrological Sciences Journal; Taylor & Francis Group: Abingdon, UK, 2008; Volume 53, pp. 977–988. [Google Scholar]
- Setegn, S.G.; Srinivasan, R.; Melesse, A.M.; Dargahi, B. SWAT model application and prediction uncertainty analysis in the Lake Tana Basin, Ethiopia. Hydrol. Process. 2009, 24, 357–367. [Google Scholar] [CrossRef]
- Shahzad, A.; Gabriel, H.F.; Haider, S.; Mubeen, A.; Siddiqui, M.J. Development of a flood forecasting system using IFAS: A case study of scarcely gauged Jhelum and Chenab river basins. Arab. J. Geosci. 2018, 11, 383. [Google Scholar] [CrossRef]
- CWC Central Water Commission. Available online: http://cwc.gov.in/ntbo/water-year-books (accessed on 14 May 2020).
- Awan, S.A. Pakistan: Flood Management-River Chenab from Marala to Khanki 2003. Available online: https://www.floodmanagement.info/publications/casestudies/cs_pakistan_chenab_sum.pdf (accessed on 14 May 2020).
- Singh, P.; Ramasastri, K.S.; Kumar, N. Topographical Influence on precipitation distribution in different ranges of Western Himalayas. Nord. Hydrol. 1995, 26, 259–284. [Google Scholar] [CrossRef]
- Singh, P.; Jain, S.K.; Kumar, N. Estimation of Snow and Glacier-Melt contribution to the Chenab River, Western Himalaya. Mt. Res. Dev. 1997, 17, 49–56. [Google Scholar] [CrossRef]
- Singh, D.; Gupta, R.D.; Jain, S.K. Assessment of impact of climate change on water resources in a hilly river basin. Arab. J. Geosci. 2015, 8, 10625–10646. [Google Scholar] [CrossRef]
- Saha, S.; Moorthi, S.; Pan, H.-L.; Wu, X.; Wang, J.; Nadiga, S.; Tripp, P.; Kistler, R.; Woollen, J.; Behringer, D.; et al. The NCEP Climate Forecast System Reanalysis. Bull. Am. Meteorol. Soc. 2010, 91, 1015–1058. [Google Scholar] [CrossRef]
- Wang, W.; Xie, P.; Yoo, S.H.; Xue, Y.; Kumar, A.; Wu, X. An assessment of the surface climate in the NCEP climate forecast system reanalysis. Clim. Dyn. 2011, 37, 1601–1620. [Google Scholar] [CrossRef]
- Singh, S.K.; Srivastava, P.K.; Gupta, M.; Thakur, J.K.; Mukherjee, S. Appraisal of land use/land cover of mangrove forest ecosystem using support vector machine. Environ. Earth Sci. 2014, 71, 2245–2255. [Google Scholar] [CrossRef]
- Srivastava, P.K.; Han, D.; Rico-Ramirez, M.A.; O’Neill, P.; Islam, T.; Gupta, M. Assessment of SMOS soil moisture retrieval parameters using tau-omega algorithms for soil moisture deficit estimation. J. Hydrol. 2014, 519, 574–587. [Google Scholar] [CrossRef]
- Swain, J.B.; Patra, K.C. Streamflow estimation in ungauged catchments using regionalization techniques. J. Hydrol. 2017, 554, 420–433. [Google Scholar] [CrossRef]
- Li, D.; Christakos, G.; Ding, X.; Wu, J. Adequacy of TRMM satellite rainfall data in driving the SWAT modeling of Tiaoxi catchment (Taihu lake basin, China). J. Hydrol. 2018, 556, 1139–1152. [Google Scholar] [CrossRef]
- Arnold, J.G.; Moriasi, D.N.; Gassman, P.W.; Abbaspour, K.C.; White, M.J.; Srinivasan, R.; Santhi, C.; Harmel, R.D.; Griensven, A.V.; Van Liew, M.W.; et al. SWAT: Model Use, calibration, and validation. Trans. ASABE 2012, 55, 1491–1508. [Google Scholar] [CrossRef]
- Neitsch, S.L.; Arnold, J.G.; Kiniry, J.R.; Williams, J.R. Soil and Water Assessment Tool Theoretical Documentation Version 2009; Texas Water Resources Institute: Temple, TX, USA, 2011. [Google Scholar]
- Abbaspour, K.C.; Rouholahnejad, E.; Vaghefi, S.; Srinivasan, R.; Yang, H.; Kløve, B. A continental-scale hydrology and water quality model for Europe: Calibration and uncertainty of a high-resolution large-scale SWAT model. J. Hydrol. 2015, 524, 733–752. [Google Scholar] [CrossRef]
- Nash, J.E.; Sutcliffe, J.V. River flow forecasting through conceptual models part I - A discussion of principles. J. Hydrol. 1970, 10, 282–290. [Google Scholar] [CrossRef]
- Moriasi, D.N.; Arnold, J.G.; Van Liew, M.W.; Bingner, R.L.; Harmel, R.D.; Veith, T.L. Model Evaluation Guidelines for Systematic Quantification of Accuracy in Watershed Simulations. Trans. ASABE 2007, 50, 885–900. [Google Scholar] [CrossRef]
- Santhi, C.; Arnold, J.G.; Williams, J.R.; Dugas, W.A.; Srinivasan, R.; Hauck, L.M. Validation of The swat model on a Large Rwer Basin with point and nonpoint sources. J. Am. Water Resour. Assoc. 2001, 37, 1169–1188. [Google Scholar] [CrossRef]
- Gupta, H.V.; Sorooshian, S.; Yapo, P.O. Status of Automatic Calibration for Hydrologic Models: Comparison with Multilevel Expert Calibration. J. Hydrol. Eng. 1999, 4, 135–143. [Google Scholar] [CrossRef]
- Van Liew, M.W.; Arnold, J.G.; Bosch, D.D. Problems and Potential of Autocalibrating a Hydrologic Model. Trans. ASAE 2005, 48, 1025–1040. [Google Scholar] [CrossRef]
- Eckhardt, K.; Fohrer, N.; Frede, H.-G. Automatic model calibration. Hydrol. Process. 2005, 19, 651–658. [Google Scholar] [CrossRef]
- Willmott, C.J.; Robeson, S.M.; Matsuura, K. A refined index of model performance. Int. J. Climatol. 2012, 32, 2088–2094. [Google Scholar] [CrossRef]
- Taylor, K.E. Summarizing multiple aspects of model performance in a single diagram. J. Geophys. Res. Atmos. 2001, 106, 7183–7192. [Google Scholar] [CrossRef]














| Land Use Class | Class Description | Area (km2) | % Area |
|---|---|---|---|
| GRAS | Grassland | 5389.3 | 20.55 |
| SHRB | Shrubland | 4119.72 | 15.71 |
| CRIR | Irrigated cropland and pasture | 3995.3 | 15.24 |
| ICES | Snow or ice | 3193.61 | 12.18 |
| BSVG | Barren or sparsely vegetated | 2698.42 | 10.29 |
| TUWO | Wooded tundra | 2099.03 | 8 |
| MIGS | Mixed grassland/shrubland | 1516.36 | 5.78 |
| CRGR | Cropland/grassland mosaic | 1070.04 | 4.08 |
| CRDY | Dryland cropland and pasture | 1041.24 | 3.97 |
| CRWO | Cropland/woodland mosaic | 441.65 | 1.68 |
| FEN | Evergreen needleleaf forest | 247.9 | 0.95 |
| SAVA | Savanna | 164.11 | 0.63 |
| FOMI | Mixed forest | 131.91 | 0.5 |
| FODB | Deciduous broadleaf forest | 50.51 | 0.19 |
| WATB | Water bodies | 39.24 | 0.15 |
| WEWO | Wooded wetland | 22.61 | 0.09 |
| FEB | Evergreen broadleaf forest | 2.95 | 0.01 |
| Soil Class | Soil Texture | Associated Soil | Area (km2) | % Area |
|---|---|---|---|---|
| I-B-U-3712 | Loam | Lithic | 10,718.13 | 40.87 |
| Be72-3c-3672 | Clay | Orthic luvisol | 5253.41 | 20.03 |
| GLACIER-6998 | UWB | glacier | 4799.72 | 18.3 |
| Be78-2c-3679 | Loam | Haplic phaeozem | 3279.61 | 12.51 |
| Lo44-1b-3799 | Sandy Loam | Chromic luvisol | 1188.51 | 4.53 |
| Jc42-2/3a-3736 | Clay Loam | Eutric fluvisols | 461.04 | 1.76 |
| Be71-2-3a-3668 | Clay Loam | Gleyic cambisol | 418.43 | 1.6 |
| Be79-2a-3680 | Loam | Eutric gleysol | 105.8 | 0.4 |
| Parameter Name | Definition | t-Stat | p-Value |
|---|---|---|---|
| r__CN2.mgt | SCS curve number | −10.751 | 0.000 |
| v__ALPHA_BF.gw | Base flow factor | −6.063 | 0.000 |
| v__GWQMN.gw | Threshold depth of water in the shallow aquifer for return flow to occur (mm H2O) | −1.089 | 0.276 |
| v__SUB_SMTMP(..).sno | Snowmelt base temperature | −0.776 | 0.438 |
| v__GW_DELAY.gw | Groundwater delay | −0.567 | 0.571 |
| v__GW_REVAP.gw | Groundwater revap coefficient | −0.558 | 0.577 |
| v__SUB_SMFMX(..).sno | Maximum melt rate for snow during year (mm H2O/°C/day) | −0.279 | 0.780 |
| v__SUB_SMFMN(..).sno | Annual minimum melt rate for snow | −0.231 | 0.817 |
| v__EPCO.hru | Plant uptake compensation factor | −0.158 | 0.875 |
| r__SOL_AWC(..).sol | Available water capacity of soil layer | 0.000 | 1.000 |
| v__SUB_SFTMP(..).sno | Snowfall temperature | 0.242 | 0.809 |
| v__REVAPMN.gw | Threshold depth of water in the shallow aquifer for “revap” to occur (mm H2O) | 0.658 | 0.510 |
| v__RCHRG_DP.gw | Deep aquifer percolation fraction | 0.799 | 0.424 |
| v__SUB_TIMP(..).sno | Snow temperature lag factor | 1.093 | 0.275 |
| v__ESCO.hru | Soil evaporation compensation factor | 2.426 | 0.015 |
| v__CH_N2.rte | Manning’s “n” value for the channel | 13.114 | 0.000 |
| v__CH_K2.rte | Effective hydraulic conductivity of channel | 27.547 | 0.000 |
| Sr. | Parameters | Initial Parameters Ranges | Optimized Parameters Ranges | ||
|---|---|---|---|---|---|
| Lower Limit | Upper Limit | Lower Limit | Upper Limit | ||
| 1 | v__ALPHA_BF.gw | 0 | 1 | 0 | 0.65 |
| 2 | v__GW_DELAY.gw | 0 | 500 | 145.20 | 435.79 |
| 3 | v__REVAPMN.gw | 0 | 500 | 218.19 | 654.80 |
| 4 | v__GW_REVAP.gw | 0.02 | 0.2 | 0.02 | 0.11 |
| 5 | v__SUB_SMTMP().sno | −5 | 5 | −5 | 0.18 |
| 6 | v__SUB_SFTMP().sno | −5 | 5 | −4.34 | 1.89 |
| 7 | r__CN2.mgt | −0.25 | 0.25 | 0.24 | 0.25 |
| 8 | v__CH_K2.rte | 0.001 | 200 | 55.08 | 165.32 |
| 9 | v__CH_N2.rte | −0.01 | 0.3 | 0.107 | 0.3 |
| 10 | v__ESCO.hru | 0 | 1 | 0.474 | 1.42 |
| Sr. | Parameters | Fitted Parameter Values | |||
|---|---|---|---|---|---|
| IMERG-F | 3B42 | ||||
| Daily | Monthly | Daily | Monthly | ||
| 1 | v__ALPHA_BF.gw | 0.26 | 0.22 | 0.21 | 0.52 |
| 2 | v__GW_DELAY.gw | 184.43 | 334.96 | 314.04 | 320.43 |
| 3 | v__REVAPMN.gw | 425.58 | 585.38 | 599.35 | 475.36 |
| 4 | v__GW_REVAP.gw | 0.02 | 0.02 | 0.02 | 0.04 |
| 5 | v__SUB_SMTMP().sno | −3.22 | −1.46 | −4.82 | −1.07 |
| 6 | v__SUB_SFTMP().sno | −1.07 | −2.08 | −2.00 | 0.13 |
| 7 | r__CN2.mgt | 0.25 | 0.24 | 0.25 | 0.23 |
| 8 | v__CH_K2.rte | 131.48 | 103.48 | 115.82 | 160.14 |
| 9 | v__CH_N2.rte | 0.25 | 0.17 | 0.29 | 0.21 |
| 10 | v__ESCO.hru | 1.32 | 1.05 | 1.38 | 1.32 |
© 2020 by the authors. Licensee MDPI, Basel, Switzerland. This article is an open access article distributed under the terms and conditions of the Creative Commons Attribution (CC BY) license (http://creativecommons.org/licenses/by/4.0/).
Share and Cite
Ahmed, E.; Al Janabi, F.; Zhang, J.; Yang, W.; Saddique, N.; Krebs, P. Hydrologic Assessment of TRMM and GPM-Based Precipitation Products in Transboundary River Catchment (Chenab River, Pakistan). Water 2020, 12, 1902. https://doi.org/10.3390/w12071902
Ahmed E, Al Janabi F, Zhang J, Yang W, Saddique N, Krebs P. Hydrologic Assessment of TRMM and GPM-Based Precipitation Products in Transboundary River Catchment (Chenab River, Pakistan). Water. 2020; 12(7):1902. https://doi.org/10.3390/w12071902
Chicago/Turabian StyleAhmed, Ehtesham, Firas Al Janabi, Jin Zhang, Wenyu Yang, Naeem Saddique, and Peter Krebs. 2020. "Hydrologic Assessment of TRMM and GPM-Based Precipitation Products in Transboundary River Catchment (Chenab River, Pakistan)" Water 12, no. 7: 1902. https://doi.org/10.3390/w12071902
APA StyleAhmed, E., Al Janabi, F., Zhang, J., Yang, W., Saddique, N., & Krebs, P. (2020). Hydrologic Assessment of TRMM and GPM-Based Precipitation Products in Transboundary River Catchment (Chenab River, Pakistan). Water, 12(7), 1902. https://doi.org/10.3390/w12071902

