Next Article in Journal
Development of a Spatial Methodology for Minimum Temperature Estimation for Early Frost Management in Agricultural Areas of Central Macedonia
Previous Article in Journal
Spatiotemporal Analysis of Forest Fires in Cyprus Using Earth Observation and Climate Data
 
 
Font Type:
Arial Georgia Verdana
Font Size:
Aa Aa Aa
Line Spacing:
Column Width:
Background:
Proceeding Paper

Hail Measurement Characteristics in Central Macedonia: Relation to Radar-Derived Storm Parameters †

Hellenic National Agricultural Insurance Organization (ELGA), Meteorological Applications Center, Airport Makedonia, 57001 Thessaloniki, Greece
*
Author to whom correspondence should be addressed.
Presented at the 17th International Conference on Meteorology, Climatology, and Atmospheric Physics—COMECAP 2025, Nicosia, Cyprus, 29 September–1 October 2025.
Environ. Earth Sci. Proc. 2025, 35(1), 57; https://doi.org/10.3390/eesp2025035057
Published: 29 September 2025

Abstract

The aim of this research is to examine the relationship between hailstorm and hail intensity and describe their spatial distribution over the cultivation area of Central Macedonia, as captured by weather radar and hailpad data during six hail suppression seasons in 2019–2024. Storm radar characteristics can, to some extent, predict the hail size recorded, with an apparent discrimination on radar parameters among different observed hail sizes. Multicell hailstorms are the most common hailstorm types observed, and they mostly impact the west and northwest part, while supercells, although rare, are the most destructive to the eastern part of the area.

1. Introduction

Thunderstorm activity is quite common in Northern Greece during the warm season of the year and is associated with intense rainfall, strong surface winds, and/or hail on ground. In the agricultural plain of Central Macedonia, in Northern Greece, the Greek National Hail Suppression Program (GNHSP) has been run since 1984 by the Hellenic Agricultural Insurance Organization (ELGA), aiming to reduce the size of hailstones on the ground and therefore minimizing damage to cultivated areas. Storm cells are detected by a C-band (5 cm) weather radar, while there is a hailpad network operating over the area.
Hailstorms and their nature strongly depend on the number, type and distribution of the cells from which they are built. Their organization, to a certain degree, influences the hazards they produce to cultivations. There are four types of convective storms: single-cell, multicell, supercell and squall lines [1]. The use of weather radar data provides many capabilities for the detection of storm cells, their categorization into the types, the extraction of storms parameters relating to their characteristics and additionally the localization of hail events. On the other hand, hailpad network offers a valuable tool to record the specific hailpads corresponding to each hailstorm and hail characteristics. The combination of weather radar data and hailpad data is crucial for determining the spatial distribution of hail, the size of the hailstones and the area affected by hail in combination with the radar characteristics of hailstorms. Radar-based storm studies have been conducted by several researchers over the area of northern Greece such as [2,3,4,5]. These works refer to convective cells, hailstorm and supercell characteristics, related to synoptic situations, dynamic and thermodynamic environments. Hailpad data has also been studied [6,7], but studies on the combination of radar and hailpad data are limited.
The purpose of this study is, firstly, to analyze hail parameters data according to storm intensity data derived from weather radar. Next, an effort is made to examine spatially the influence of different storm types to hail recorded characteristics. This research is necessary to capture the relationship between storm and hail intensity, as well as their spatial distribution over the cultivation area of Central Macedonia.

2. Materials and Methods

Figure 1a shows the plain of Central Macedonia, which is one of the two GNHSP protection areas. Over the same region, a network of 157 hailpad stations is in operation, and each hailpad carries an ID number and a position defined by the coordinate longitude and latitude of its location, while it corresponds to a mean area of 17.5 km2. A hailday is a day for which at least one hailpad was hit, and only storms that produced hailfall over the area are analyzed. The period of study covers the six years between 2019 and 2024, from 20 March to 30 September (in 2020, the project started on 15 April) which is ELGA’s hail suppression season. In the end, 114 hail days and 663 hailpads were examined. For these days, radar data are obtained from the C-band (5 cm) weather radar covering the project area of Central Macedonia located at Filyro Mountain near Thessaloniki. Radar images have a 750 × 750 m resolution and approximately 3.5 min temporal resolution. The TITAN algorithm [8] was used to identify storm cells, tracks and storm characteristics (Figure 1b).
For each hailstorm, the following radar characteristics are extracted: maximum reflectivity (maxRef, dBZ), maximum echo top height (maxTop, km), and maximum Vertically Integrated Liquid (maxVIL, kg/m2) of the storm. Based on these maximum radar characteristics, every hailstorm is classified into the three categories: single-cell, multicell and supercell. During the six years’ study period, 746 storms which presented seeding criteria affected the protection area, and most of them underwent seeding. Only 188 of them (25%) are characterized as hailstorms according to the recorded hail on the hailpad network. It is necessary to note that the seeding effect on the examined hailstorm dataset has not been considered in the present analysis.
For the hailpad dataset, the Image-Pro® Plus Version 5.1 [9] software is used for the digital analysis of the hit hailpads providing directly and indirectly extracted parameters. The minimum and maximum diameter of each dent and the number of dents are directly extracted by the software, while the kinetic energy (J/m2) of each hailstone dent is estimated. Next, the kinetic energy for each hailpad is calculated as the sum of the kinetic energies of each dent over a hailpad. Further on, the storm’s total kinetic energy is extracted by adding the kinetic energies of each hit hailpad corresponding to the specific storm. Cumulative kinetic energy of a hailpad is finally extracted by adding the kinetic energies of the hailpad for the times it has been hit in a specific period or for a specific storm type.
Every hit hailpad on a specific hailday corresponds to only one hailstorm. Hailstones are classified into three hail size categories: pea (0.5–1.2 cm), grape (1.2–2 cm) and walnut (2–3 cm). The largest hailstone on a hailpad determines the category the hailpad is classified in, namely pea-size hailpad, grape-size hailpad or walnut-size hailpad. The hailpad with the largest classification category of all hailpads attributed to a storm determines the corresponding classification of the hailstorm (pea hailstorm, grape hailstorm, walnut hailstorm). By merging radar with hailpad data, a dataset of 188 storms was produced where every hailstorm recorded was assigned its radar characteristics, the number of hit hailpads, the maximum hail recorded size, the kinetic energy of each hailpad and the total storm kinetic energy.

3. Results

At first, radar parameters were studied in relation to the three hail size categories in order to make comparisons and, at the same time, identify thresholds that differentiate the three hail sizes.
For each hailstorm as categorized above (pea, grape, walnut), the maximum values of reflectivity, top height and VIL are examined in the form of boxplots (Figure 2). Although there is considerable overlap between the distributions, an increase in their median is observed among all types of hailstorms. The range of values for walnut hailstorms is considerably narrower in comparison with the rest, with a median for maxRef of 67 dBZ versus 62 and 59 dBZ for grape hailstorms and pea hailstorms, a median for maxTop of 12.5, versus 11 and 9.5 km, respectively, and maxVIL values over 90 kg/m2 for grape and walnut hailstorms, versus 50 kg/m2 for pea hailstorms.
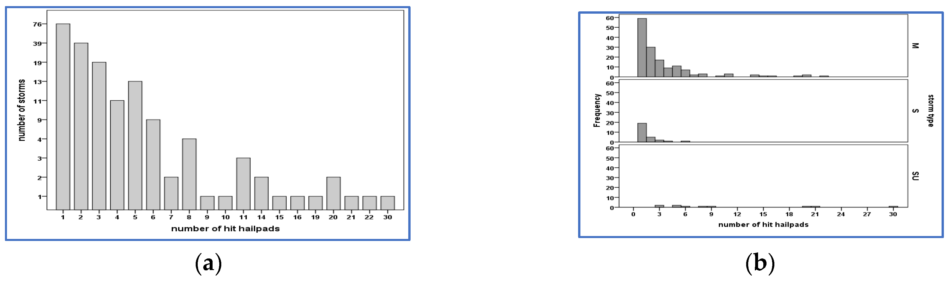
A next step is to analyze the hailpad data in relation to the frequency with which they are hit per storm type and the distribution of the corresponding hailfall characteristics in space. Analysis of the number of hit hailpads per hailstorm showed that for 40% of the total number of 188 hailstorms, one (1) hit hailpad was recorded (Figure 3a). Also, in 89% of the hailstorms, one to six hailpads were impacted. Storms with the number of hit hailpads over 10 were rare, but did occur in 7%. On 19 April 2021, the maximum number of hit hailpads per hailday was recorded (35 hailpads) due to numerous multicell hailstorms, while on 10 July 2019, the maximum number of hit hailpads per hailstorm was recorded (30 hailpads) due to an extremely severe cyclic supercellular hailstorm [10].
Regarding the hailstorm type classification, it seems that the highest percentage of the hailstorms (150 out of 188 hailstorms or 80%) is classified to the multicell type. Only 28 of them (15%) were characterized as single-cell storms, 9 (4.8%) as supercells and 1 (0.2%) as squall line type of storms. The latter, for analysis purposes, was merged with the supercell storm category. Figure 3b presents the distribution of the number of hit hailpads per storm type. For the single-cell storms, the number of hit hailpads is low, since 68% of the storms studied produced hail on the ground on only one hailpad. Also, the maximum number of hailpads affected by a single-cell storm is six and rarely does it occur. Multicell storms frequently (71%) affect 1–3 hailpads, which corresponds to a limited affected area of maximum 53 km2, while of the rest, 8% affects an area of 180 to 385 km2. Of the 10 supercell storms that occurred, 30% affected an area over 350 km2 confirming the high spatial and intensity impact supercell storms have on the cultivation areas.
An attempt is then made to distinguish hail characteristics based on storm type. Spatial distributions of hailpad parameters (hailstone size, frequency of hailfalls and kinetic energy) for the three storm categories are examined (Figure 4). In Figure 4a,d,g, pea size recorded hail on a hailpad is depicted with a dot, grape size with a triangle and walnut size with a circle. The three marks are overlaid on hailpads that were hit more than once and recorded multiple hail sizes. All three sizes are found only for multicell and supercell storms, while for single-cell storms only the two smaller sizes exist. The frequency with which every hailpad was hit, ranging from one to eleven times, has been classified into five classes. All five classes are found only for multicells, while the other two storm categories contain only the first two classes. Finally, the cumulative kinetic energy of every hailpad for each of the three storm types, ranging from 0.02 to 34.04 Joules, has been classified also into five classes. All five classes are found for multicells and supercells, while for single-cell storms only the two lower classes appear in the dataset. The representation of the classes in Figure 4, both for frequency (count) and cumulative kinetic energy, is made by a dot that increases in size as the class number increases.
As multicells are the most common storm types observed, their impact over the area is obviously the most extended. Every hailpad has been hit at least once by a multicell storm during the six-year study period, while the impact of single-cell storms over the project area is quite more localized. Supercells on the other hand, although very rare, exhibit a quite extended spatial distribution. Cumulative total kinetic energy per storm type, as shown in Figure 4c,f,i, has been proven to be the most representative parameter of storm severity, after accounting for storm type frequency.
Another feature revealed by the spatial distribution of hail parameters is the existence of preferred areas of hail occurrence by storm type. Single-cell hailstorms practically affect a medium-width zone in the central part of the area oriented from southwest to northeast. Multicellular hailstorms present, as a preferred area of occurrence and severity, the west and northwest part of the area, while for supercellular hailstorms the area of greatest severity is shifted to the eastern part of the project area. The lowest southeastern small part of the project was most frequently affected by supercell storms rather than by the other storm types. Only supercells produced all three hail sizes in the specific area. For multicells, the increased amount of cumulative total kinetic energy is mainly attributed to cases with pea size hail, but of high density as measured by the hailpads.
Τhe geographical characteristics of the project area are one of the main factors, affecting the spatial variation of hail parameters per storm type as previously described. The project area is a plain surrounded by mountains except for its east–southeast part which borders the sea. The placement of single-cell hailstorms in the main plain of the protected area indicates airmass short-lived thunderstorms. The multicellular ones are located closer to the mountain ranges to the west and north of the region, suggesting orographic lifting as one of the main causes of their creation, while they are strengthened by their accelerated descent to the plain due to turbulence and warmer environment. Finally, the influence of the sea, by enriching the area with moist and warm air due to the afternoon sea breeze, appears to be a mechanism for strengthening the long-lived supercells in the easternmost part of the area. The increased presence of supercells relatively to the other storm types in the small, most southeastern part of the project area could be attributed to right-moving supercells originating from the western mountain ranges.

4. Conclusions

According to the present research, storm intensity characteristics as recorded by weather radar can, quite satisfactorily, predict the hail size on the ground. An apparent discrimination between radar parameters such as maximum radar reflectivity, maximum echo height and maximum VIL of a storm relative to hail size has been found.
During the six hail suppression seasons of the period 2019–2024, most of the recorded hailstorms have produced hail to a very limited extent with the observed hail size being classified into three classes—pea (small), grape (medium) and walnut (large)—according to the maximum hail diameter of a hailpad. Multicells are the most common storm type observed (80% of the total number of hailstorms); they produce all three hail sizes and their impact is the most extended over the protection area, with the west and northwest part being the most severely affected. Single-cell storms (15%) produce only small and medium hail size and their impact is quite localized in the center of the area. Supercells (5%) produce all three hail sizes, have the maximum observed relative frequency of the bigger hail sizes among all storm types and exhibit a quite extended spatial distribution with the eastern part of the project area being the most severely affected. However, this outcome should be considered tentative due to the limited dataset.
The spatial distribution of hail parameters per storm type can be linked to the storm development mechanisms. The main influencing factor is the geomorphology of the project area, a plain surrounded by mountains with its east–southeast boundary next to the sea. Single-cells can be identified as airmass short-lived thunderstorms, and multicells as mainly orographic developments strengthened by their accelerated descent to the plain. Supercells are proved to be long-lived right-moving storms strengthening in the easternmost part of the area due to convergence of the moist and warm sea breeze air with the westerly airflow.

Author Contributions

Conceptualization, E.C.; methodology, E.C., S.D. and S.S.; software, A.M.; validation, S.S. and S.D.; formal analysis, S.S.; investigation, S.S.; resources, D.D.; data curation, S.S. and A.M.; writing-original draft preparation S.S. and S.D.; writing-review and editing, E.C.; visualization, A.M.; supervision, E.C. All authors have read and agreed to the published version of the manuscript.

Funding

This research received no external funding.

Institutional Review Board Statement

Not applicable.

Informed Consent Statement

Not applicable.

Data Availability Statement

The data presented in this study are available upon request from the corresponding author.

Conflicts of Interest

The authors declare no conflict of interest.

References

  1. Browning, K.A. The structure and mechanisms of hailstorms. Meteor. Monogr. 1977, 38, 1–43. [Google Scholar]
  2. Foris, D.V.; Karacostas, T.S.; Flocas, A.A.; Makrogiannhis, T.I. Hailstorm in the region of Central Macedonia, Greece: A kinematic study. Meteorol. Z. 2006, 15, 317–326. [Google Scholar] [CrossRef]
  3. Bampzelis, D.; Karacostas, T. Diurnal distribution of storm characteristics in Central Macedonia during the warm season of the year using a C-band weather radar. In Perspectives on Atmospheric Sciences, 1st ed.; Karacostas, T., Bais, A., Nastos, P., Eds.; Springer International Publishing: Cham, Switzerland, 2017; Volume 1, pp. 317–322. [Google Scholar]
  4. Chatzi, E. Storm characteristics over Central Macedonia and Thessaly and their relation to atmospheric parameters. In Perspectives on Atmospheric Sciences, 1st ed.; Karacostas, T., Bais, A., Nastos, P., Eds.; Springer International Publishing: Cham, Switzerland, 2017; Volume 1, pp. 239–246. [Google Scholar]
  5. Sioutas, M.; Chatzi, E.; Tegoulias, I. The severe weather outbreak in northern Greece on 10 July 2019: Atmospheric environment and storm characteristics. In Proceedings of the 15th COMECAP, Ioannina, Greece, 26–29 September 2021. [Google Scholar]
  6. Sioutas, M. Hailfall measurements by the Greek National Hail Suppression Project. In Proceedings of the 2nd Yugoslav Conference on Weather Modification, Mavrovo, Yugoslavia, 2–4 April 1991. [Google Scholar]
  7. Tsitouridis, K. The Greek hailpad network 2008 to 2019: Analysis of the hailpad data-the Equivalent Hail Diameter. Int. J. Eng. Sci. Invent. 2021, 10, 18–32. [Google Scholar]
  8. Dixon, M.; Wiener, G. TITAN: Thunderstorm Identification, Tracking, Analysis and Nowcasting—A radar-based methodology. J. Atmos Ocean Technol. 1993, 10, 785–797. [Google Scholar] [CrossRef]
  9. mediaCybernetics. Image-Pro® Plus. Version 5.1. Available online: https://www.mediacy.com/ (accessed on 22 June 2025).
  10. Sioutas, M.; Chatzi, E. A Cyclic Supercellular Thunderstorm in Northern Greece. In Proceedings of the 12th COMECAP, Heraklion, Greece, 27–31 May 2014. [Google Scholar]
Figure 1. (a) Protection and hailpad network area in Central Macedonia, Greece; (b) composite CAPPI (Constant Altitude Plan Position Indicator) at 17:05 UTC on 18 August 2024.
Figure 1. (a) Protection and hailpad network area in Central Macedonia, Greece; (b) composite CAPPI (Constant Altitude Plan Position Indicator) at 17:05 UTC on 18 August 2024.
Eesp 35 00057 g001
Figure 2. Box plots of (a) maximum reflectivity; (b) maximum top height; (c) maximum VIL values for the three hail size categories. Circles correspond to outliers and asterisks to extreme values.
Figure 2. Box plots of (a) maximum reflectivity; (b) maximum top height; (c) maximum VIL values for the three hail size categories. Circles correspond to outliers and asterisks to extreme values.
Eesp 35 00057 g002
Figure 3. Distribution of number of hit hailpads (a) per hailstorm any type; (b) per multicell, single-cell and supercell hailstorm.
Figure 3. Distribution of number of hit hailpads (a) per hailstorm any type; (b) per multicell, single-cell and supercell hailstorm.
Eesp 35 00057 g003
Figure 4. Maps of the spatial distribution of the hail size, frequency of hit hailpads and cumulative kinetic energy for the single-cell (ac), multicell (df) and supercell (gi) storm type.
Figure 4. Maps of the spatial distribution of the hail size, frequency of hit hailpads and cumulative kinetic energy for the single-cell (ac), multicell (df) and supercell (gi) storm type.
Eesp 35 00057 g004
Disclaimer/Publisher’s Note: The statements, opinions and data contained in all publications are solely those of the individual author(s) and contributor(s) and not of MDPI and/or the editor(s). MDPI and/or the editor(s) disclaim responsibility for any injury to people or property resulting from any ideas, methods, instructions or products referred to in the content.

Share and Cite

MDPI and ACS Style

Chatzi, E.; Stolaki, S.; Dimoutsi, S.; Mylothropoulou, A.; Delliou, D. Hail Measurement Characteristics in Central Macedonia: Relation to Radar-Derived Storm Parameters. Environ. Earth Sci. Proc. 2025, 35, 57. https://doi.org/10.3390/eesp2025035057

AMA Style

Chatzi E, Stolaki S, Dimoutsi S, Mylothropoulou A, Delliou D. Hail Measurement Characteristics in Central Macedonia: Relation to Radar-Derived Storm Parameters. Environmental and Earth Sciences Proceedings. 2025; 35(1):57. https://doi.org/10.3390/eesp2025035057

Chicago/Turabian Style

Chatzi, Eleni, Stavroula Stolaki, Soultana Dimoutsi, Aikaterini Mylothropoulou, and Dimitra Delliou. 2025. "Hail Measurement Characteristics in Central Macedonia: Relation to Radar-Derived Storm Parameters" Environmental and Earth Sciences Proceedings 35, no. 1: 57. https://doi.org/10.3390/eesp2025035057

APA Style

Chatzi, E., Stolaki, S., Dimoutsi, S., Mylothropoulou, A., & Delliou, D. (2025). Hail Measurement Characteristics in Central Macedonia: Relation to Radar-Derived Storm Parameters. Environmental and Earth Sciences Proceedings, 35(1), 57. https://doi.org/10.3390/eesp2025035057

Article Metrics

Back to TopTop