Next Article in Journal
Development of Cryogenic Structural Steels for Magnetic Confinement Fusion
Previous Article in Journal
Technology and Development of Hydrogen–Helium Cryogenics Created by Hong Chaosheng
 
 
Font Type:
Arial Georgia Verdana
Font Size:
Aa Aa Aa
Line Spacing:
Column Width:
Background:
Article

Research on the Cold Inertance Tube and Active Warm Displacer in an 8 K Pulse Tube Cryocooler

1
Shanghai Institute of Technical Physics, Chinese Academy of Sciences, Shanghai 200083, China
2
University of Chinese Academy of Sciences, Beijing 100049, China
*
Author to whom correspondence should be addressed.
Submission received: 3 June 2025 / Revised: 4 September 2025 / Accepted: 22 September 2025 / Published: 23 September 2025
(This article belongs to the Special Issue Progress in Cryocoolers)

Abstract

As an important component of the Stirling-type pulse tube cryocooler (SPTC), an efficient phase shifter can significantly improve the cooling capacity. This paper combines the advantages of the cold inertance tube and reservoir (ITR) and the active warm displacer (AWD) in an 8 K Stirling-type pulse tube cryocooler. Through numerical simulation methods, the influence of structural parameters of the cold ITR and operating parameters of AWD on acoustic power and impedance was studied. The results indicate that the length and diameter of the inertance tube, as well as the displacement and phase of the AWD, will affect the distribution of PV power inside the middle heat exchanger. The impedance distribution inside the pulse tubes of the higher-temperature section and the lower-temperature section changes in opposite directions. Through experiment, the effectiveness of the cold ITR and the adjustment function of the AWD were verified. A cooling capacity of 74 mW at 8 K can be obtained with the electric power of 177.5 W and a precooling capacity of 9.1 W/70 K. The AWD has a significant adjustment effect on T1 and T2, reaching the lowest no-load temperature at 2.13 mm and 48°, respectively, with a minimum no-load temperature of 5.13 K.

1. Introduction

Long life low-temperature cryocooler technology, as an important technology, is widely used in aerospace, quantum, superconductivity, medical, and other fields [1,2]. In response to the development of space infrared detection technology, space applications have put forward a demand for larger cooling capacity and small mechanical cryocoolers [3,4]. Especially with the proposal and development of terahertz detection, cryocooler requires lower cooling temperature. The temperature range of 8 K, as an important application, has gradually attracted attention [5,6]. Stirling-type pulse tube cryocooler (SPTC) are the preferred solution for space exploration due to their advantages of high efficiency, compactness, and high reliability [7,8]. How to obtain the lowest temperature below 8 K through multi-stage SPTC and promote its application has become a difficult issue and focus of research [9].
In order to achieve lower temperature and higher efficiency in multi-stage SPTC, research on phase adjustment shifter is needed. The phase adjustment component is the key to the operation and optimization of the SPTC. According to the enthalpy flow phase modulation theory proposed by Radebaugh, the phase adjustment component can adjust the phase relationship between the pressure wave and the mass flow inside the cold finger, thereby improving the efficiency of the cryocooler [10]. At present, the inertance tube and reservoir (ITR) are mainly used for phase adjustment in space applications [11,12]. But for multi-stage SPTC, their phase adjustment ability is significantly reduced at low temperatures due to low frequency and high viscosity [13].
Therefore, in multi-stage SPTC, the lower-temperature section often adopts the cold ITR as a phase shifter. A low-temperature environment can reduce the viscosity coefficient of ITR and increase its phase adjustment range. In 2008, NGAS developed a three-stage SPTC for cooling silicon-based infrared detectors. The SPTC adopts cold ITR on the third stage and reaches a minimum temperature of 6.372 K, which can achieve 251.3 mW@10.085 K at 371 W input power. Ultimately applied to the James Webb Space Telescope [14]. This proves the phase adjustment ability and application reliability of the cold ITR. Subsequently, Zhejiang University [15,16], the Technical Institute of Physics and Chemistry CAS [17,18], and Shanghai Institute of Technical Physics of the Chinese Academy of Sciences [19] all conducted experimental prototype research using cooled ITR, achieving good cooling effects.
In order to further improve the efficiency of SPTC, a method of piston phase shifter named displacer has been proposed. Compared with the ITR, the displacer can improve the phase adjustment ability and research a wider range of phase angles. In 1988, Matsubara et al. first proposed using a piston in room temperature to replace ITR [20]. Subsequently, many SPTCs with displacers were developed and reported. In 2007, Zhu Shaowei first proposed the passive displacer with work recovery [21]. The acoustic power in hot end can be recovered, which can significantly reduce the acoustic power loss and improve the efficiency of single-stage SPTC. In 2023, Pang Xiaomin used passive displacer in two-stage SPTC and a cooling power of 1.8 W at 20 K was obtained with 220 W acoustic power input [22]. When the cooling temperature further decreases, the design difficulty of passive displacers becomes greater, so active warm displacers (AWDs) have been proposed. Air Liquide has proposed a response plan to complete the X-IFU on ATHENA mission. A two-stage SPTC with AWD was reported in 2014, which can achieve 0.3 W and 5 W cooling capacity at 15 K and 100 K, under a total electric power of 300 W [23]. This also indirectly confirms that the use of AWD in SPTC has great application prospects and potential.
At present, the AWD has shown better cooling performance in liquid hydrogen temperature, while the cold ITR has shown good results in liquid helium temperature. This paper combines the advantages of both and applies them to the multi-stage SPTC working at 8 K, with the AWD used for the higher-temperature section and the cold ITR used for the lower-temperature section. On this basis, the influence of the size of the cold ITR and the operating parameters of the AWD on the internal PV power and impedance of the SPTC was discussed through numerical simulation and verified through experiments. This article has certain guiding significance for the selection and optimization of phase shifters in low temperature.

2. Structure of the Developed SPTC

As shown in Figure 1, a gas-coupled structure with precooling is adopted for the cold finger in 8 K cryocooler. After passing through the middle heat exchanger, a portion of the working fluid gas in the cold finger enters Regenerator 2, while the other portion enters Pulse tube 1. The cold finger adopts a fully coaxial configuration to enhance system compactness. Pulse tube 1 employs an active warm displacer (AWD) as the phase shifter, which not only improves phase adjustment capability in the higher-temperature section but also facilitates investigation of gas distribution issues in the gas-coupled structure through active control. Pulse tube 2 utilizes a cold inertance tube and reservoir (ITR) as the phase shifter to minimize thermal conduction losses. The cold ITR is directly coupled with the middle heat exchanger, operating at approximately 25 K (T1). The mid of the higher-temperature cold finger incorporates precooling though a precooling heat exchanger, which in this study is cooled to approximately 70 K (Tpre) by a laboratory-developed single-stage and single-drive Stirling cryocooler, demonstrating superior cooling capacity in the liquid nitrogen temperature range [24].
After the initial research of the low-temperature regenerator by the research group [25], the filling materials inside each section of the 8 K cold finger regenerator have also been determined. The principle of selection is to improve the heat transfer capacity between the working fluid gas and the materials inside the regenerator and reduce the losses of heat exchange. Regenerator 11 is filled with stainless steel wire mesh with a mesh size of 350# and a wire diameter of 0.023 mm, while Regenerator 12 is filled with spherical magnetic material Er3Ni with an average particle size of 0.1 mm. Regenerator 2 is filled with spherical magnetic material HoCu2 with an average particle size of 0.08 mm inside.
All the heat exchangers including hot end, precooling, and middle and cold end, adopt a slit structure. The structural parameters of the main components of the cold finger, including the regenerator and pulse tube, have also been preliminarily determined, and the detailed dimensions are shown in Table 1. The cold finger has sufficient cooling capacity at 8 K, so this paper will not calculate and explain the structural parameters of the cold finger.

3. Simulation Analysis

In order to analyze the specific effects of the active and passive phase shifter, commercial one-dimensional numerical simulation software was used to calculate and analyze the 8 K gas-coupled pulse tube cryocooler. A one-dimensional whole machine model has been established. The numerical model obtains the axial distribution equation of pressure and volume flow by the momentum equation; the continuity equation; the axial distribution equation of temperature by the energy equation and the total-power equation. Based on finite-difference methods, one-dimensional computational software is used to discretize and iteratively calculate the differential equation to obtain the results. By specifying the inlet pressure boundary and temperature at the hot end and cold end boundary, the performance of the cryocooler can be simulated. The numerical model has been verified experimentally and has proven to have good consistency [26]. The modeling method for the important component AWD is similar to that of a driving piston, using constrained piston and cylinder components placed at the hot end of the pulse tube to achieve active phase adjustment by changing the amplitude and phase of the piston.
The equipment providing precooling has been simplified in the model. The single-stage Stirling cryocooler operating in the liquid nitrogen temperature has been simplified as a point heat source that can provide cooling capacity in the model. Due to the presence of the cold ITR, the average pressure inside the cold finger will significantly reduce as the operating temperature decreases. Therefore, in the calculation and analysis, the average pressure of the cold finger in the low-temperature working state (i.e., when the temperatures of each cold end are 70 K, 25 K, 8 K) is set to 1.65 MPa. The working frequency is 24 Hz. The piston diameter of the compressor is 38 mm, and the maximum sweep volume is 18 cc. The piston diameter of the AWD is 18 mm, and the maximum scavenging volume is 6 cc. The cooling capacity obtained by the cold finger at T1 temperature in the middle heat exchanger is Q1, and the cooling capacity obtained at T2 temperature in the cold head is Q2.

3.1. Cold ITR

The lower-temperature section adopts the cold ITR as a phase shifter, and its structural parameters have a significant impact on the performance of the cryocooler. In order to obtain a wider range of impedance phase and amplitude, the 8 K cold finger adopts a combination of dual segment inertance tubes in series. This paper takes the diameter of inertance tube 2 (IT2: near the reservoir) and the length of inertance tube 1 (IT1: near the PT2) as examples to analyze their effects on the flow and impedance of the cold finger of the cryocooler.
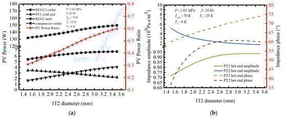
Figure 2 shows the influence of the diameter of IT2, and Figure 2a shows the effect on the distribution of PV power inside the cold finger. The PV power ratio represents the ratio of the inlet of REG2 to the outlet of REG12. As the diameter of the IT increases, the PV power at the outlet of the compressor gradually increases. In the simulation, the displacement of the main compressor is kept constant, so increasing the diameter of the inertance tube is beneficial for improving the PV power conversion rate of the compressor. The inlet PV power of REG2 and the outlet PV power of REG12 both increase with the increase in the IT2 diameter, and the PV power ratio increases. At the same time, the cold end PV power of PT1 continues to decrease. When the IT2 diameter increases to 3.5 mm, the cold end PV power of PT1 is only 2.24 W. This indicates that increasing the IT2 diameter will cause the PV power to shift towards the lower-temperature section, resulting in an increase in Q2 and a decrease in Q1.
Figure 2b shows the influence of the IT2 diameter on the hot end impedance of the pulse tube. The impedance amplitude of PT1 continues to increase with the increase in diameter, while the impedance amplitude of PT2 decreases. An increase in impedance amplitude will reduce the mass flow inside the regenerator, thereby reducing heat transfer losses. However, an excessively large impedance amplitude will decrease the PV power at the cold end of the pulse tube, thereby reducing the cooling capacity. In addition, the impedance phase of the PT hot end is also affected. As the diameter of the IT2 increases, the impedance phase of the PT2 continues to increase and eventually becomes flat, while the impedance phase of the PT1 shows a linear increase trend.
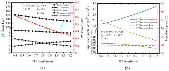
Figure 3 shows the influence of the length of IT1, and Figure 3a shows the effect on the distribution of PV power inside the cold finger. As the length of the IT increases, the PV power at the outlet of the compressor gradually decreases. At the same time, the inlet PV power of REG2 and the outlet PV power of REG12 both decreases, and the PV power ratio gradually decreases. The cold end PV power of PT1 increases with the length, which means that the increase in the length of IT1 will bias the PV power towards the higher-temperature section, resulting in an increase in Q1 and a decrease in Q2. In addition, due to the need for the inertance tube to be coiled on the reservoir and thermally connected to the middle heat exchanger, a long coiling length can increase heat loss, which is not beneficial to increasing cooling capacity.
Figure 3b shows the influence of the IT1 length on the hot end impedance of the pulse tube. As the length increases, the impedance amplitude of the PT1 gradually decreases, while the impedance amplitude of the PT2 continues to increase, with the largest change amplitude. The IT1 length will significantly affect the cooling efficiency of the 8 K cold end. However, the length has little effect on the impedance phase of PT2 hot end, while the impedance phase of PT1 hot end increases linearly.
The calculation results indicate that the size of the cold ITR always has an opposite effect on the distribution of PV power and the impedance amplitude and phase of PT1 and PT2, indicating that it has a certain regulatory effect on Q1 and Q2. It is necessary to comprehensively consider the impact on the first and second stage pulse tubes and select the optimal size of the inertance tube. In this work, IT 1 length of 0.8 m and IT 2 diameter of 2.5 mm were selected for experimental verification.

3.2. AWD

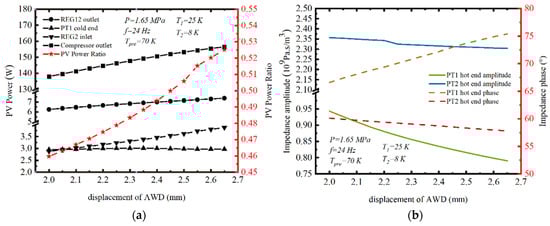
A similar analysis method is used to study the influence of AWD operating parameters, mainly including displacement and phase of the piston. Figure 4 shows the influence of the displacement of AWD, and Figure 4a shows the effect on the distribution of PV power inside the cold finger. In the calculation, the displacement of the compressor piston remains unchanged. The input PV power of the compressor increases with the increase in the displacement of AWD. The useful PV power at the outlet of REG12 also increases, but the part entering PT1 remains unchanged basically, resulting in an increase in the PV power ratio. From Figure 4b, it can be seen that increasing the displacement will reduce the hot end impedance amplitude of PT1 and PT2, which is beneficial for increasing the mass flow. But it will cause a significant shift in the impedance phase of PT1 hot end, which may result in large fluctuations in T1 and affect the cooling effect of the lower-temperature section.
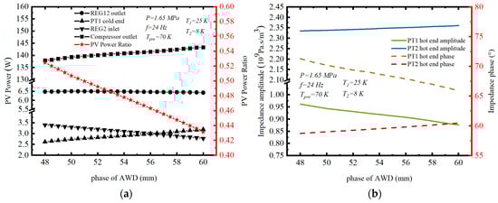
Figure 5 shows the influence of piston motion phase on PV power and impedance. Similar to the influence of displacement, as the phase increases, the PV power of the compressor increases. However, the trend of adjusting the distribution of PV power and impedance phase is opposite. The decrease in the proportion of PV power leads to a decrease in the cooling capacity of the lower-temperature section. The impedance phase of the PT1 decreases, while the impedance phase of the PT2 increases. The significant shift in the impedance phase at the PT1 hot end can also result in a large change in T1.

4. Experimental Verification and Discussion

4.1. Experiment Setup

The physical image of the cold finger in this study is shown in Figure 6. The cold finger gradually cools from room temperature to 70 K, 25 K, and 8 K through three regenerators. The precooling heat exchanger is precooled through a single-stage Stirling cryocooler, and the middle heat exchanger is a gas-coupling structure that achieves cooling effect through gas distribution combined with active and passive phase shifter technology. The cold finger connects the main compressor and AWD and controls their displacement output through a signal controller. The input electrical power is read by a power meter. Cernox temperature sensors are used to measure the temperature at the cold head and middle heat exchanger, and the temperature of precooling heat exchanger is measured by a PT100. The cooling capacity is measured using the thermal equilibrium method with a ceramic heating element.

4.2. Experiment Discussion

Preliminary experimental results show that a cooling capacity of 74 mW at 8 K can be obtained with the electric power of 177.5 W and a precooling capacity of 9.1 W/70 K. The temperature difference between the cold ITR and the middle heat exchanger temperature (T1) is 3.64 K [27].
Due to the influence of experimental conditions, considering the convenience of the experiment and the control variables, only the influence of the operating parameters of AWD was verified. Figure 7 shows the comparison between simulated and experimental values of the influence of AWD displacement. Ensure that the precooling temperature remains constant. The calculation results show that the displacement of AWD can optimize the no-load temperature of the cold finger within a certain range. When the displacement reaches a certain value (calculated around 2.05 mm), both T1 and T2 will sharply increase, which is consistent with the analysis results in Figure 4. In the experiment, both T1 and T2 decreased first and then increased with the displacement of AWD, but the displacement that reached the optimal value was different. When the displacement is 2.13 mm, T2 obtains the lowest value of 5.16 K. The lowest value of T1, 18.48 K, is obtained when the displacement is 1.89 mm. Indicating that the displacement of AWD has a certain regulatory effect.
Figure 8 shows a comparison between simulated and experimental values of the influence of AWD phase. The calculation results show that the optimal phase for the middle heat exchanger and the cold end to reach the lowest temperature is not the same. And the temperature of T2 increases rapidly with the increase in phase, which is consistent with the decrease in the PV power ratio in the simulation analysis at this time. In the experiment, when the phase difference increased from 44° to 52°, T2 first decreased and then increased, while T1 continued to decrease. Perhaps due to the small range of phase difference variation in the experiment, there was no inflection point in T1. Although T1 continues to decrease, the phase distribution of the internal impedance of REG2 gradually deviates from the optimal value. When the phase of AWD exceeds 48°, T2 gradually increases. The deviation in the optimal phase between simulation and experimental results mainly comes from the impedance distribution changes caused by the differences between the actual structure and theoretical calculations.
The results of this study were compared with similar works both domestically and internationally, as shown in Table 2. The pulse tube in this article utilizes the advantages of both active and passive phase adjustment structures. Relatively speaking, it has the characteristics of a novel and compact structure and can achieve higher efficiency at 8 K.

5. Conclusions

This paper introduces an 8 K Stirling-type pulse tube cryocooler that uses both active and passive phase shifters. The cold finger adopts a gas-coupled structure with precooling and can achieve a cooling capacity of 74 mW with the electric power of 177.5 W under a precooling capacity of 9.1 W/70 K. Based on this, this paper studies the adjustment function of the phase shifter of the 8 K cryocooler. The cold finger adopts the AWD at the higher-temperature section and the cold ITR at the lower-temperature section. The influence on both PV power distribution and impedance was studied through simulation calculation methods. The results indicate that the length and diameter of the inertance tube as well as the displacement and phase of the AWD will affect the distribution of PV power inside the middle heat exchanger. The impedance distribution inside the pulse tubes of the higher-temperature section and the lower-temperature section changes in opposite directions.
The effectiveness of the cold ITR and the adjustment function of the AWD were verified through experiments. The experimental results show that the cooling effect of the cold ITR is good. The AWD has a significant adjustment effect on T1 and T2, reaching the lowest no-load temperature at 2.13 mm and 48°, respectively, with a minimum no-load temperature of 5.13 K.

Author Contributions

Conceptualization, W.Y. (Wang Yin) and S.L.; methodology, W.Y. (Wang Yin); software, W.W.; validation, W.Y. (Wang Yin), W.Y. (Weiye Yang) and W.W.; formal analysis, W.Y. (Wang Yin); investigation, W.W.; resources, Y.W. and S.L.; data curation, W.Y. (Weiye Yang); writing—original draft preparation, W.Y. (Wang Yin); writing—review and editing, S.L.; visualization, Z.J.; supervision, Z.J.; project administration, Y.W. and S.L. All authors have read and agreed to the published version of the manuscript.

Funding

This work is supported by the National Natural Science Foundation Projects (52576028), the Hundred Talents Program of the Chinese Academy of Sciences, the Strategic Priority Research Program of Chinese Academy of Sciences (XDB35000000, XDB35040102), and the Generic Technology Pre research Project of the 14th Five-Year Plan (JZX7Y20220414101701).

Data Availability Statement

The original contributions presented in this study are included in the article material. Further inquiries can be directed to the corresponding author.

Conflicts of Interest

The authors declare no conflicts of interest.

Correction Statement

This article has been republished with a minor correction to the Data Availability Statement. This change does not affect the scientific content of the article.

References

  1. Ross, R.G., Jr. Cryocoolers for Space Applications. In Proceedings of the Cryogenic Engineering Conference, Tucson, AZ, USA, 28 June 2015. [Google Scholar]
  2. Xu, H.; Han, H.; Xiao, Y.; Xiong, J.; Ding, C.; Shu, Z.; Li, Y.; Liu, X.; You, L.; Wang, Z.; et al. Impact of distributed Bragg reflectors on the intrinsic detection efficiency of superconducting nanowire single-photon detectors. Superconductivity 2025, 13, 100152. [Google Scholar] [CrossRef]
  3. Duband, L.; Duval, J.; Luchier, N.; Prouve, T. SPICA sub-Kelvin cryogenic chains. Cryogenics 2012, 52, 145–151. [Google Scholar] [CrossRef]
  4. Zu, H.; Dai, W.; de Waele, A. Development of dilution refrigerators—A review. Cryogenics 2022, 121, 103390. [Google Scholar] [CrossRef]
  5. Koch, M.; Mittleman, D.M.; Ornik, J.; Castro-Camus, E. Terahertz time-domain spectroscopy. Nat. Rev. Methods Primers 2023, 3, 49. [Google Scholar] [CrossRef]
  6. Lewis, R.A. A review of terahertz detectors. J. Phys. D Appl. Phys. 2019, 52, 433001. [Google Scholar] [CrossRef]
  7. Han, Y.; Zhang, A. Cryogenic technology for infrared detection in space. Sci. Rep. 2022, 12, 2349. [Google Scholar] [CrossRef]
  8. Liu, S.; Jiang, Z.; Ding, L.; Zhu, H.; Huang, Q.; Wu, Y. Impact of operating parameters on 80 K pulse tube cryocoolers for space applications. Int. J. Refrig. 2019, 99, 226–233. [Google Scholar] [CrossRef]
  9. Fang, C.; Liu, X.; Li, L.; Zhou, Y.; Pan, C. Progress on An 8 K gas-coupled three-stage Stirling pulse tube cryocooler. Cryogenics 2025, 146, 104018. [Google Scholar] [CrossRef]
  10. Radebaugh, R. Development of the pulse tube refrigerator as an efficient and reliable cryocooler. Proc. Inst. Refrig. 2000, 96, 11–31. [Google Scholar]
  11. Chan, C.K.; Nguyen, T.; Jaco, C.; Tomlinson, B.J.; Davis, T. High Capacity Two-Stage Pulse Tube Cooler; Springer: Greer, SC, USA, 2003. [Google Scholar] [CrossRef]
  12. Jaco, C.; Nguyen, T.; Colbert, R.; Pietrzak, T.; Chan, C.K.; Tward, E. High Capacity Staged Pulse Tube Cooler. AIP Conf. Proc. 2004, 710, 1263–1268. [Google Scholar] [CrossRef]
  13. Zhi, X.; Li, G.; Teng, Y.; Wang, K.; Qiu, L. Study on the regenerative performance of pressed stainless-steel wire screens used in a pulse tube refrigerator working around 20 K. Appl. Therm. Eng. 2023, 224, 120043. [Google Scholar] [CrossRef]
  14. Jaco, C.; Nguyen, T.; Colbert, R.; Raab, J. 10K EM Pulse Tube Cooler. AIP Conf. Proc. 2008, 985, 659–664. [Google Scholar] [CrossRef]
  15. Qiu, L.M.; Cao, Q.; Zhi, X.Q.; Han, L.; Gan, Z.H.; Yu, Y.B.; Liu, Y.; Zhang, X.J.; Pfotenhauer, J.M. Operating characteristics of a three-stage Stirling pulse tube cryocooler operating around 5 K. Cryogenics 2012, 52, 382–388. [Google Scholar] [CrossRef]
  16. Zhi, X.Q.; Han, L.; Dietrich, M.; Gan, Z.H.; Qiu, L.M.; Thummes, G. A three-stage Stirling pulse tube cryocooler reached 4.26 K with He-4 working fluid. Cryogenics 2013, 58, 93–96. [Google Scholar] [CrossRef]
  17. Quan, J.; Liu, Y.J.; Xun, Y.Q.; Ma, Y.X.; Liang, J.T. Optimization of an 8K Level High Frequency Pulse Tube Cryocooler. IOP Conf. Ser. Mater. Sci. Eng. 2019, 502, 012024. [Google Scholar] [CrossRef]
  18. Liubiao, C.; Xianlin, W.; Jue, W.; Xuming, L.; Changzhao, P.; Hai, J.; Wei, C.; Yuan, Z.; Junjie, W. Study on a high frequency pulse tube cryocooler capable of achieving temperatures below 4 K by helium-4. Cryogenics 2018, 94, 103–109. [Google Scholar]
  19. Wen, F.; Liu, S.; Wu, W.; Song, J.; Li, N.; Jiang, Z.; Wu, Y. Frequency response characteristics of a thermally coupled three-stage Stirling-type pulse tube cryocooler capable of achieving 110 mW@7 K. Int. J. Refrig. 2023, 145, 208–216. [Google Scholar] [CrossRef]
  20. Matsubara, Y.; Miyake, A. Alternative methods of the orifice pulse tube refrigerator. In Proceedings of the International Cryocooler Conference 05, Monterey, CA, USA, 18–19 August 1988; pp. 127–135. [Google Scholar]
  21. Zhu, S.; Nogawa, M.; Inoue, T. Numerical simulation of a step-piston type series two-stage pulse tube refrigerator. Cryogenics 2007, 47, 483–489. [Google Scholar] [CrossRef]
  22. Pang, X.; Wang, H.; Wang, X.; Dai, W.; Ma, S. Investigation on a two-stage pulse tube cooler at liquid hydrogen temperature using independent displacer phase shifter. Int. J. Refrig. 2023, 156, 40–45. [Google Scholar] [CrossRef]
  23. Chassaing, C.; Butterworth, J.; Aigouy, G.; Duval, J.M.; Charles, I.; Rijks, T.; Mullie, J.; Linder, M. 15 K Pulse Tube Cooler for Space Missions. Int. Cryocooler Conf. 2014, 18, 27–32. [Google Scholar]
  24. Yin, W.; Hui, H.; Wu, W.; Chu, J.; Mu, S.; Liu, S.; Jiang, Z.; Wu, Y. Research on Performance Improvement and Parameter Optimization of Liquid Hydrogen Temperature Thermal-coupled Stirling/Pulse Tube Miniature Composite Cryocooler. J. Eng. Thermophys. 2024, 45, 3269–3277. [Google Scholar]
  25. Wu, W.; Cui, X.; Liu, S.; Jiang, Z.; Song, J.; Wu, Y. Cooling performance improvement of a two-stage pulse tube cryocooler with er-plated screen as regenerator material. Int. J. Refrig. 2021, 131, 615–622. [Google Scholar] [CrossRef]
  26. Yin, W.; Liu, S.; Song, J.; Wu, W.; Hui, H.; Jiang, Z.; Li, N.; Zhu, H. Optimization of the Swept Volume Ratio between the Compressor and the Active Displacer in an Efficient 20 K Thermal-Coupled Two-Stage Pulse Tube Cryocooler. J. Therm. Sci. 2023, 32, 2155–2165. [Google Scholar] [CrossRef]
  27. Wu, W.; Cui, X.; Yin, W.; Hui, H.; Jiang, Z.; Wu, Y.; Liu, S. Experimental study of a gas-coupled pulse tube cold finger with both active piston and cold inertance tube as phase shifters for 8 K applications. J. Refrig. 2025, 170, 249–254. [Google Scholar] [CrossRef]
Figure 1. Schematic of the 8 K cold finger of the SPTC.
Figure 1. Schematic of the 8 K cold finger of the SPTC.
Cryo 01 00012 g001
Figure 2. The influence of the diameter of inertance tube 2: (a) the influence on PV power distribution; (b) the influence on impedance.
Figure 2. The influence of the diameter of inertance tube 2: (a) the influence on PV power distribution; (b) the influence on impedance.
Cryo 01 00012 g002
Figure 3. The influence of the length of inertance tube 1: (a) the influence on PV power distribution; (b) the influence on impedance.
Figure 3. The influence of the length of inertance tube 1: (a) the influence on PV power distribution; (b) the influence on impedance.
Cryo 01 00012 g003
Figure 4. The influence of the displacement of AWD: (a) the influence on PV power distribution; (b) the influence on impedance.
Figure 4. The influence of the displacement of AWD: (a) the influence on PV power distribution; (b) the influence on impedance.
Cryo 01 00012 g004
Figure 5. The influence of the phase of AWD: (a) the influence on PV power distribution; (b) the influence on impedance.
Figure 5. The influence of the phase of AWD: (a) the influence on PV power distribution; (b) the influence on impedance.
Cryo 01 00012 g005
Figure 6. The physical image of the cold finger.
Figure 6. The physical image of the cold finger.
Cryo 01 00012 g006
Figure 7. The influence of AWD displacement in simulation and experiment.
Figure 7. The influence of AWD displacement in simulation and experiment.
Cryo 01 00012 g007
Figure 8. The influence of AWD phase in simulation and experiment.
Figure 8. The influence of AWD phase in simulation and experiment.
Cryo 01 00012 g008
Table 1. The specific structural parameters of the cold finger.
Table 1. The specific structural parameters of the cold finger.
Component (Cold Finger)Dimension
Regenerator 11 (REG 11)Outside diameter30 mm
Length48 mm
Regenerator 12 (REG 12)Outside diameter30 mm
Length45 mm
Regenerator 2 (REG 2)Outside diameter19.7 mm
Length39 mm
Pulse tube 1 (PT 1)Inside diameter11.5 mm
Length123.1 mm
Pulse tube 2 (PT 2)Inside diameter8.3 mm
Length48.4 mm
Table 2. Comparison of structure and performance of multi-stage SPTC.
Table 2. Comparison of structure and performance of multi-stage SPTC.
OrganizationStructural StylePhase AdjustmentInput PowerCooling Capacity
LM-ATCGas-coupled/450 W0.2 W@10 K + 8.4 W@85 K
NGASGas-coupled and Thermal-CoupledITR371 W251.3 mW@10.085 K
Zhejiang UniversityThermal-CoupledITR950 W25 mW@6 K
Technical Institute of Physics and Chemistry CASThermal-CoupledITR300 W22 mW@8 K
This workGas-coupled and Thermal-CoupledITR + AWD349.5 W74 mW@8 K
Disclaimer/Publisher’s Note: The statements, opinions and data contained in all publications are solely those of the individual author(s) and contributor(s) and not of MDPI and/or the editor(s). MDPI and/or the editor(s) disclaim responsibility for any injury to people or property resulting from any ideas, methods, instructions or products referred to in the content.

Share and Cite

MDPI and ACS Style

Yin, W.; Wu, W.; Yang, W.; Liu, S.; Jiang, Z.; Wu, Y. Research on the Cold Inertance Tube and Active Warm Displacer in an 8 K Pulse Tube Cryocooler. Cryo 2025, 1, 12. https://doi.org/10.3390/cryo1040012

AMA Style

Yin W, Wu W, Yang W, Liu S, Jiang Z, Wu Y. Research on the Cold Inertance Tube and Active Warm Displacer in an 8 K Pulse Tube Cryocooler. Cryo. 2025; 1(4):12. https://doi.org/10.3390/cryo1040012

Chicago/Turabian Style

Yin, Wang, Wenting Wu, Weiye Yang, Shaoshuai Liu, Zhenhua Jiang, and Yinong Wu. 2025. "Research on the Cold Inertance Tube and Active Warm Displacer in an 8 K Pulse Tube Cryocooler" Cryo 1, no. 4: 12. https://doi.org/10.3390/cryo1040012

APA Style

Yin, W., Wu, W., Yang, W., Liu, S., Jiang, Z., & Wu, Y. (2025). Research on the Cold Inertance Tube and Active Warm Displacer in an 8 K Pulse Tube Cryocooler. Cryo, 1(4), 12. https://doi.org/10.3390/cryo1040012

Article Metrics

Back to TopTop