Next Article in Journal
Nonlinear Regression Expansion Model for Fissured Highly Expansive Soils
Previous Article in Journal
Emerging Digitalization in Property/Facility Management: A State-of-the-Art Review and Future Directions
 
 
Font Type:
Arial Georgia Verdana
Font Size:
Aa Aa Aa
Line Spacing:
Column Width:
Background:
Systematic Review

The Role of Internet of Things in Managing Carbon Emissions in the Construction Industry: A Systematic Review

by
Hayford Pittri
1,
Samuel Aklashie
2,
Godawatte Arachchige Gimhan Rathnagee Godawatte
1,
Kezia Nana Yaa Serwaa Sackey
2,
Kofi Agyekum
2 and
Frank Ato Ghansah
3,*
1
Institute of Sustainable Built Environment, School of Energy, Geoscience, Infrastructure and Society, Heriot-Watt University, Edinburgh EH14 4AS, UK
2
Department of Construction Technology and Management, Kwame Nkrumah University of Science and Technology, Kumasi 00233, Ghana
3
School of Construction, Property and Surveying, College of Technology and Environment, London South Bank University, London SE1 0AA, UK
*
Author to whom correspondence should be addressed.
Intell. Infrastruct. Constr. 2025, 1(3), 8; https://doi.org/10.3390/iic1030008
Submission received: 7 August 2025 / Revised: 19 September 2025 / Accepted: 23 September 2025 / Published: 26 September 2025

Abstract

Given the construction industry’s significant contribution of approximately 39% of global CO2 emissions, implementing effective carbon reduction strategies is becoming increasingly critical. In this context, Internet of Things (IoT) technologies present promising solutions for monitoring and reducing emissions. However, there is a lack of comprehensive understanding regarding specific IoT applications, implementation barriers, and opportunities for carbon reduction in construction practices. This study investigates the role of IoT in reducing carbon emissions in the construction industry. Following PRISMA guidelines, this study analyzed bibliometric data from Scopus and Web of Science databases using VOSviewer for science mapping visualization. Content analysis was conducted on 17 carefully selected articles to identify key research topics and applications. The analysis identified four mainstream application areas: (1) IoT-based smart monitoring systems for carbon emissions, (2) energy efficiency and management applications, (3) sustainable construction implementation frameworks, and (4) smart cities and other built environment applications. Key findings highlight growing research interest in IoT applications for sustainable construction, with China, the United States, and the United Kingdom leading collaborative efforts. Despite demonstrated carbon reduction potential, significant implementation barriers exist, including technical limitations, organizational resistance, skill gaps, and economic constraints. Key opportunities include Artificial Intelligence (AI) integration, Building information modeling (BIM)-IoT synergies, energy prosumer models, and standardization frameworks. This study provides the first focused review of IoT applications specifically targeting carbon reduction in construction, highlighting a critical technology-practice gap where organizational factors frequently outweigh technological barriers. A proposed socio-technical integration framework in this study bridges technical and organizational elements to overcome adoption barriers.

1. Introduction

Global warming driven by an increase in greenhouse gas emissions is one of the most pressing present issues humanity faces. While the consequences witnessed recently are disturbing, there is even the potential for severe catastrophic impacts in the future [1]. The construction industry (CI) has long been known for its remarkable contributions to economic growth globally, yet there is a recent contradiction between its positive impact and carbon emissions [2]. For instance, while the CI accounts for 15% of the global GDP, it contributes a significant share of about 39% of carbon dioxide (CO2) emissions globally [3,4]. As of 2004, buildings accounted for 8.6 billion t-CO2-e, and it is predicted that it could reach up to 15.6 billion t-CO2-e by 2030 if serious actions are not taken [5]. The construction industry’s significant carbon footprint has prompted increasing research attention and policy responses globally. In response to these environmental concerns, international bodies like the Intergovernmental Panel on Climate Change (IPCC) have established ambitious targets, including achieving net-zero carbon emissions by the early 2050s [6].
From the literature, several key factors contributing to excessive CO2 emissions in the CI have been identified. These include energy-intensive construction processes, poor waste management, high material demand coupled with inefficient usage, and lack of real-time monitoring [7,8,9]. As the global population rises at a fast pace with increasing economic growth, a high demand is placed on buildings and infrastructure. The high consumption of materials by the CI has been attributed largely to ineffective materials management. China for instance used 335 million tonnes of steel in 2018 (48.8% of the world’s total), which amounted to 46.5% of its total steel consumption market [10]. According to Gasue et al. [11], while there is a high demand for raw materials for construction products, construction practices tend to produce a lot of construction and demolishing (C&D) waste. The CI already consumes over 30% of the earth’s raw materials and 25% of water resources. It also generates up to 3 billion tonnes of C&D waste each year [8]. Surprisingly, waste generated from construction practices possesses high recycling and reuse potential; however, only 40% is reused, recycled, or sent to energy facilities [12]. A plethora of negative consequences on the environment, economy, public health, and social life are the result of poor management of C&D. In addition, construction practices are characterized by high energy use during the overall lifecycle of buildings. According to Fufa and Venås [13], fossil fuel consumption by heavy machinery operations, equipment, and on-site processes holds a major share of carbon emissions by the CI.
While there is the need for efficiency in energy consumption, ineffective energy monitoring, outdated machinery, and suboptimal scheduling present significant challenges, protracting carbon footprints. According to Hasselsteen et al. [14], a significant amount of energy used on-site is wasted due to the absence of real-time monitoring. The operational and maintenance phases of buildings also have significant influences on energy consumption and associated carbon emissions.
Traditional approaches have largely relied on conventional analytical methods for estimating emissions; however, these methods often provide static and retrospective data that limit their utility for proactive decision-making. In response, recent research has shifted towards real-time monitoring and management of emissions across construction processes, enabling timely interventions that can significantly reduce carbon releases. Such a transition highlights the importance of accurate and reliable data as a cornerstone in achieving low-carbon objectives within the industry [3]. Within this context, carbon tracking and management has emerged as a critical mechanism for advancing sustainability in construction supply chains. Effective monitoring provides actionable insights that not only facilitate compliance with regulatory frameworks but also drive innovation in design, material selection, and project delivery [3,5]. Although scholars consistently emphasize the value of emissions tracking in supporting reduction efforts, comprehensive research into the integration of modern digital technologies—particularly the Internet of Things (IoT)—remains limited. IoT’s ability to generate real-time, granular, and verifiable data presents a unique opportunity to transform carbon management from a reactive to a predictive and optimized practice, filling a critical gap in current construction sustainability discourse [3,14].
Building operational energy is a major contributor to global CO2 emissions [15], but emissions across planning, on-site activities, and building operations can be mitigated through digital transformation, with IoT offering powerful opportunities for real-time monitoring and optimization [16,17]. IoT, being a network of things or objects with unique identification (UID) or internet protocols, is able to understand, send, and receive data regarding the object’s environment through other connected devices. According to Mannino et al. [16], IoT is “an ecosystem that contains smart objects equipped with sensors, networking, and processing technologies integrating and working together to provide an environment in which smart services are taken to the end-users.” Previous research has begun exploring IoT applications in construction, with Villa et al. [17] highlighting energy usage optimization through predictive maintenance and automatic fault detection. While Gbadamosi et al. [18] conducted a systematic review of general IoT applications in smart construction (including offsite manufacturing, safety management, and logistics), the study did not address carbon emission reduction strategies. The study identified potential areas like energy management and waste minimization but lacked focused analysis on how these technologies could be implemented specifically for decarbonization of the CI. Similarly, Atassi and Alhosban [19] described IoT’s capabilities for real-time energy monitoring and automatic process control, but without explicit connection to carbon reduction objectives. Despite IoT’s potential for construction decarbonization, significant knowledge gaps remain [14,20,21]. Research is fragmented across isolated applications without establishing measurable carbon impacts [17,22]. No comprehensive review specifically addresses IoT’s role in construction carbon reduction. Construction stakeholders lack evidence-based implementation frameworks [9], and IoT’s real-world effectiveness remains unverified [3,8]. Against this backdrop, this research aims to provide the first systematic literature analysis on the role of IoT in reducing carbon emissions in the CI. These specific objectives will be addressed in achieving the aim of the study:
  • To investigate the current state of application of IoT technologies in reducing carbon emissions within the construction industry.
  • To examine the role of IoT in reducing carbon emissions in the construction industry.
  • To explore the challenges and limitations associated with the integration of IoT technologies for carbon reduction in construction practices.
  • To identify opportunities for effective application of IoT technologies in reducing carbon emissions in the construction industry.
The significance of this study lies in its timely contribution to the urgent global agenda of decarbonizing the CI. While the construction sector is indispensable for economic growth and infrastructure development, its disproportionate share of global carbon emissions necessitates immediate and innovative responses. By systematically reviewing and synthesizing evidence on IoT applications, barriers, and opportunities, this research provides a focused understanding of how digital transformation can advance sustainable practices. The study goes beyond fragmented analyses by explicitly connecting IoT’s technical capacities—such as real-time monitoring, predictive analytics, and resource optimization—with measurable pathways for carbon reduction. This approach bridges the gap between technological potential and practical implementation, thereby offering actionable insights for policymakers, practitioners, and researchers seeking to align construction practices with international carbon neutrality targets.
The remainder of the paper is structured as follows. Section 2 outlines the research methodology, detailing the systematic literature review (SLR) approach, search strategy, and analysis procedures employed to ensure rigor and transparency of the study. Section 3 presents the findings and discussion, highlighting the current state of IoT applications for carbon reduction, the challenges and limitations encountered in practice, and the opportunities for enhancing adoption. Section 4 identifies limitations of the present review and sets out directions for future research, particularly in relation to emerging digital technologies and long-term impact assessments. Finally, Section 5 concludes the paper by synthesizing the key insights and drawing implications for industry and academia, with emphasis on the socio-technical integration framework proposed to advance IoT-enabled carbon reduction in construction.

2. Research Methodology

2.1. Search Strategy

A systematic literature review (SLR) is defined as a “means of identifying, evaluating, and interpreting all the available research relevant to a particular research question, topic area, or phenomenon of interest” [23] (p. 3). This study adopted the SLR method because it offers a rigorous, transparent, and replicable approach to synthesizing existing knowledge, minimizing bias and enhancing reliability of findings [24]. In order to comprehensively report the findings of the review, the study adopted the guiding principles of the Preferred Reporting Items for Systematic Reviews and Meta-Analyses (PRISMA) [25]. The effectiveness of this approach has been demonstrated in construction management in exploring topics like blockchain for construction sustainability and IoT for lifecycle management and green buildings [24].

2.2. Search and Retrieval of Articles

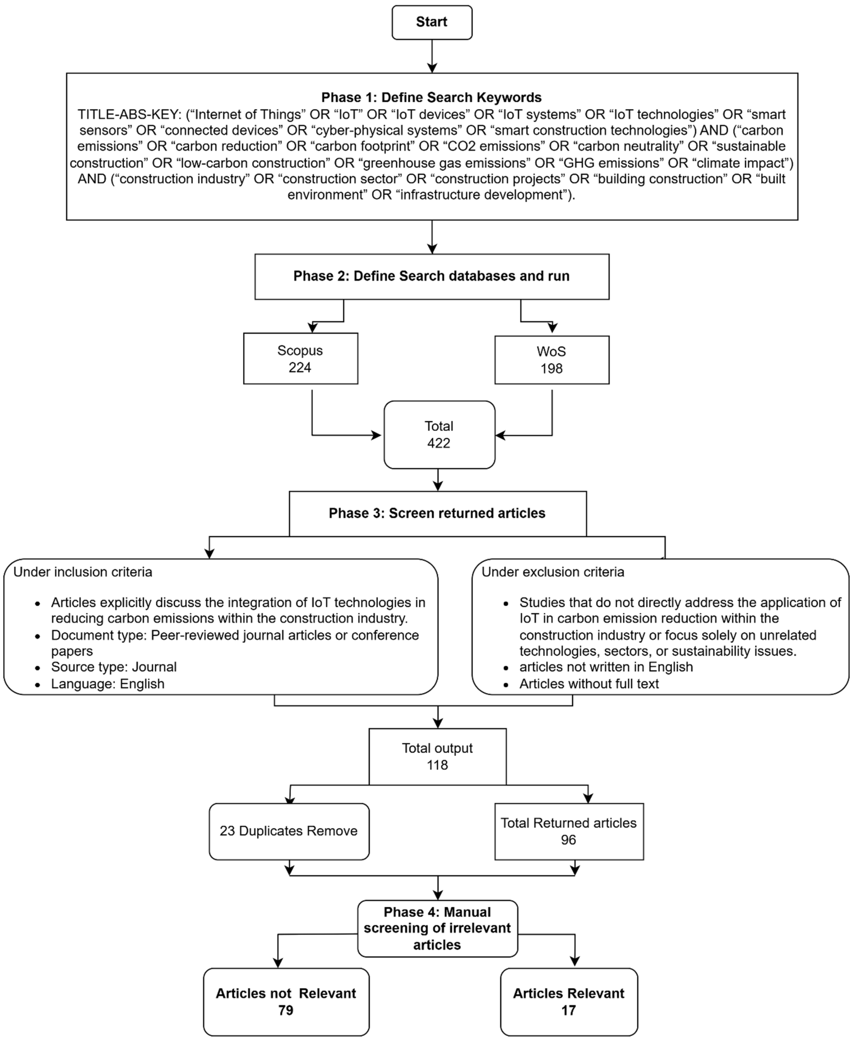
The Scopus and Web of Science databases were used to retrieve relevant articles for the study. These two databases are known as credible and effective search engines for SLR. Scopus for instance as compared to other databases like PubMed and Google Scholar is able to produce higher search accuracy. The keywords utilized include: TITLE-ABS-KEY: (“Internet of Things” OR “IoT” OR “IoT devices” OR “IoT systems” OR “IoT technologies” OR “smart sensors” OR “connected devices” OR “cyber-physical systems” OR” smart construction technologies”) AND (“carbon emissions” OR “carbon reduction” OR “carbon footprint” OR “CO2 emissions” OR “carbon neutrality” OR “sustainable construction” OR “low-carbon construction” OR “greenhouse gas emissions” OR “GHG emissions” OR “climate impact”) AND (“construction industry” OR “construction sector” OR “construction projects” OR “building construction” OR “built environment” OR “infrastructure development”). The term “smart construction technologies” is used in this study as an umbrella concept, with IoT positioned as a core component that enables real-time data exchange and integration across other digital systems. The search was conducted on 24 November 2024 and without restrictions to the year of publications. 224 Articles were retrieved from Scopus and 198 from WoS. After the papers were subjected to the predetermined criteria (peer-reviewed articles in English focusing specifically on IoT applications for carbon reduction in construction, with full-text availability; articles that only mentioned IoT tangentially or did not address the CI specifically were excluded), the Scopus articles were reduced to 74 and the WoS to 44 after applying the inclusion and exclusion criteria. A total of 23 duplicates were then removed, resulting in 96 articles for bibliometric analysis. For in-depth content analysis, these were further screened based on relevance, and methodological rigor, yielding a final selection of 17 papers that constituted the core body of literature for detailed review. Figure 1 illustrates the entire process.

2.3. Analysis

A science mapping analysis was conducted in order to obtain comprehensive insight into the publication and knowledge in the field. Among the many science mapping tools, such as CoPalRed, VOSviewer, BibExcel, CiteSpace, Gephi, and IN-SPIRE, VOSviewer (version 1.6.19) was utilized because of its graphic-enhanced features and ability to handle large datasets. The bibliometric data was analyzed in the initial stage to determine the frequency of publication based on year, location, authors, and keywords. In order to gain comprehensive insight into the topic, a systematic content analysis was conducted on the 17 selected papers. This process involved coding each paper’s objectives, methodologies, and key findings; identifying recurring themes and IoT applications for carbon reduction; extracting implementation challenges; and synthesizing opportunities across studies. A standardized extraction template ensured consistent analysis focused on addressing the study objectives. The findings were then thematically synthesized to identify patterns and develop the conceptual framework presented in this review.

3. Findings and Discussion

3.1. The Current State of the Application of IoT Technologies in Reducing Carbon Emissions Within the Construction Industry

3.1.1. Mapping of the Co-Occurrence of Keywords

The co-occurrence network of keywords was generated using VOSviewer software (version 1.6.19) to illustrate relationships between research topics in IoT applications for carbon reduction in construction. Using the fractional counting method, 24 keywords with a minimum of 3 occurrences were extracted from all databases used for this SLR.
Table 1 reinforces the keyword co-occurrence analysis by quantitatively highlighting the dominance of “Internet of Things,” which recorded the highest frequency (20) and strongest link strength, as it is the central theme of the study. Other highly connected terms such as “sustainable construction” (9), “construction industry” (8), and “greenhouse gases” (5) emphasize the strong orientation of IoT research toward sustainability imperatives. Notably, keywords like “energy efficiency,” “prefabricated construction,” “real-time monitoring,” and “cyber-physical systems” reveal the technological pathways through which IoT is operationalized. The presence of “smart cities” further indicates the scaling of IoT applications from building-level interventions to urban sustainability agendas.
Figure 2 displays the network visualization with keywords represented by circles. The size indicates occurrence frequency. The distance between nodes indicates relationship strength, with closer proximity and thicker connecting lines representing stronger connections. Four primary clusters were identified through the visualization: a green cluster centered on “internet of things” connecting to technological implementations including “sensors,” “automation,” and “energy management”; a red cluster encompassing “construction industry,” “carbon,” “greenhouse gases,” and “emission control”; a yellow cluster featuring “sustainable construction” linking technology with environmental outcomes; and the blue cluster captured themes around “smart cities,” “construction projects,” “technology,” and “sustainable development.” This cluster (blue) illustrates how IoT-enabled carbon management is increasingly being situated within city-scale sustainability agendas, where buildings, infrastructure, and urban systems are integrated into broader smart city frameworks. Its presence indicates a growing recognition of the interconnections between project-level IoT applications and urban-scale decarbonization strategies, positioning IoT not only as a construction tool but also as a critical enabler of sustainable urban development. Keywords like “energy efficiency,” “monitoring,” and “smart cities” bridge technological and environmental clusters, suggesting pathways for carbon reduction implementation.

3.1.2. Mapping of Co-Authorship

Knowledge exchange, innovations, and joint funding applications can be facilitated by the collaboration of researchers and institutions [26]. It is therefore necessary to visualize the network analysis of all the authors of articles, which assists in the identification of key collaborations in the research on IoT technologies for carbon reduction in the CI. Similarly, VOSviewer was used to conduct a network visualization of co-authorship, and the outcome is displayed in Figure 3. This visualization included the mappings of the lead authors and their collaborators. The type of analysis was set to “co-authorship,” and the unit of analysis was set to “authors,” while the counting method selected was “fractional counting.” The minimum number of documents per author was set to 2 to filter authors that met the threshold. This generated 50 authors, with 9 meeting the set thresholds; the largest set of connected items was, however, 7.
What is particularly notable in Figure 3 is the presence of two distinct color clusters (red and green) showing different collaborative groups in this research domain. The visualization reveals an interconnected network of researchers, with Liu Guiwen and Mao Chao having published three documents each (160 citations), forming central nodes in the network. The network visualization shows strong collaborative relationships between Mao Chao, Liu Guiwen, Chen Rundong, and Yang Hao (red cluster) and Fu Yan, Hong Jingke, and Xu Pengpeng (green cluster). The thickness of the connecting lines indicates the strength of collaboration, with particularly strong connections between Mao Chao and other researchers. This pattern of collaboration reveals that while there is strong collaboration, there remains an opportunity for greater cross-cluster collaboration to advance the field of IoT applications for sustainable construction and carbon reduction strategies.
The co-authorship analysis presented in Table 2 illustrates the concentration of scholarly contributions among a small set of leading authors who are not only among the most prolific but also the most highly cited in the field. The relatively modest total link strengths suggest that while collaborations exist, they remain limited in scope, with co-authorship networks appearing somewhat fragmented rather than deeply interconnected. This indicates an opportunity for stronger cross-institutional and cross-regional collaborations to accelerate knowledge exchange and broaden the impact of IoT-enabled carbon reduction research.

3.1.3. Mapping of Collaborations by Country

To identify countries active in IoT research for carbon reduction in construction, a collaboration network was generated using VOSviewer. The analysis was configured with “co-authorship” as the analysis type, “countries” as the unit of analysis, and “fractional counting” as the counting method. The minimum number of documents of a country was set to 2, while the minimum number of citations of a country had a default setting of 1. All 13 countries identified met the minimum document threshold; the largest set of connected items was, however, 5. Figure 4 reveals a limited international collaboration landscape, with only a single collaborative network showing interconnections between five countries. These sparse links suggest research on IoT for construction carbon reduction remains largely conducted within national boundaries rather than through robust international partnerships.
China emerges as the dominant contributor with 7 publications and 174 citations (see Table 3), as evidenced by its larger node size in the visualization. The United States and United Kingdom follow with 2 publications each, while other countries, including Nigeria, Belgium, India, Singapore, South Africa, Australia, Rwanda, Saudi Arabia, Denmark, and the United Arab Emirates, have contributed 1 publication each. The visualization shows that geographical proximity or existing academic relationships influence collaboration patterns. The network reveals connections between China and the United Kingdom, the United States and Australia, and Belgium serving as a bridge between the United States and China. Nigeria (90 citations), India (70 citations), and Singapore (70 citations) demonstrate significant research impact despite having fewer publications. This shows the need for establishing more global research partnerships in this emerging field, which could accelerate innovation and knowledge exchange in IoT applications for sustainable construction practices.

3.1.4. Distribution of Publications by Year

Figure 5 shows the number of publications for every year related to IoT applications for carbon reduction in the CI. The chart reveals that research in this domain is relatively recent, with the earliest publication appearing in 2018. The distribution shows minimal activity in 2018 and 2019, with only one publication in each year. Mao et al. [27] introduced a real-time carbon emissions monitoring tool for prefabricated construction, while Wang and Moriarty [28] explored energy savings from smart cities. A notable increase occurred in 2020, with three publications. Liu et al. [29,30] authored a paper on the subject of cyber-physical systems for greenhouse gas monitoring and real-time tracking of carbon emissions in prefabricated construction, while Arowoiya et al. [31] assessed IoT elements for sustainable construction. The trend towards growth continued in 2021 with four publications, with their subjects on IoT-based air sensor sensors [32], the evaluation of IoT applications [33], IoT-enabled tools [22], and IoT sensor networks [34]. Only one publication in 2022 [35], but 2023, however, had six publications (35% of total papers), such as IoT adoption modeling papers [36], energy monitoring system papers [37,38], and digital twin papers [39]. The most recent by Kineber [40] reveals sustained interest in the benefits of IoT implementation. Generally, the trend of publications increases, with 65% of all the publications being seen in the last three years (2022–2024), indicating rising awareness of IoT potential in construction sustainability.

3.2. Content Analysis

The content analysis synthesized findings from the reviewed studies to identify recurring themes, application domains, and research gaps relating to IoT-enabled carbon reduction in construction. Table 4 presents a summary of the 17 papers used for the content analysis which helped in answering the study’s objectives 2–4.

3.2.1. The Role of IoT in Reducing Carbon Emissions in the Construction Industry

The keyword analysis presented in Figure 2 reveals strong interconnections among terms such as “Internet of Things,” “sustainable construction,” “construction industry,” and “greenhouse gases.” These relationships demonstrate that IoT research in construction is embedded within wider discourses on sustainability and carbon reduction, rather than being pursued in isolation. The analysis also highlights frequent co-occurrence between IoT and complementary digital technologies—including cyber-physical systems, sensors, and energy management platforms—that collectively enable real-time monitoring, optimization, and the reduction in emissions while sustaining operational performance. Four thematic clusters emerge from this analysis: (i) IoT as the technological foundation for carbon reduction, providing the infrastructure for data acquisition, connectivity, and analytics; (ii) sustainable construction practices that incorporate digital technologies to achieve emissions reduction goals; (iii) energy efficiency and optimization, reflecting IoT’s role in resource and energy management; and (iv) smart city initiatives, where IoT applications extend beyond project-level deployment to support urban-scale sustainability. Crucially, the subsequent subheadings in Section 3.2.1, presenting the role of IoT in reducing carbon emissions in the CI, were informed not only by these bibliometric clusters but also by the content analysis of the reviewed studies. This dual approach ensures that the organizational structure reflects both the thematic patterns identified through keyword mapping and the substantive evidence synthesized from the literature. A summary of the role of IoT in reducing carbon emissions in the CI is summarized in Table 5.
IoT as a Smart Monitoring System for Carbon Emissions
IoT-driven monitoring systems have revolutionized carbon management in construction by replacing traditional estimation approaches with precise, data-driven quantification methods [22,34]. These systems operate through a sophisticated multilayered architecture: sensing, network, platform, and application levels, that seamlessly gathers, transmits, processes, and visualizes emissions data in real-time [27,38]. Maqbool et al. [41] emphasized that these systems establish a cyber sustainable ecosystem in which intelligent machines communicate with one another via a wireless network to manage construction data, providing the technological foundation for comprehensive emissions monitoring. The role of IoT in emissions quantification is demonstrated through diverse implementations. Wang and Moriarty [28] developed integrated platforms with edge computing gateways that collect over 43 million data points on energy consumption across 60 projects, enabling precise carbon monitoring at unprecedented scale. Liu et al. [30] created cyber-physical systems using acceleration sensors on tower cranes, barometric sensors on construction elevators, and GPS modules on transfer vehicles to detect operational status and calculate emissions for tower cranes. They offer virtual models of carbon flows where managers are able to determine specific sources of emissions to intervene. IoT systems are at the center of predictive carbon management through the use of Artificial intelligence (AI). Ahmed et al. [37] outlined the way that Principal Component Analysis and Artificial Neural Networks can be utilized to predict consumption patterns and automate response mechanisms. This enables inefficiencies to be identified prior to their occurrence. Kineber [40] also elucidated that IoT provides real-time monitoring of workers, machines, and environmental conditions that enable intervention when inefficiencies are identified. IoT monitoring bridges the gap between theoretical sustainability goals and reality.
Luo et al. [32] illustrated this function through the application of IoT environmental sensor networks, which indicated that 61.2% of the time was appropriate for natural ventilation in the studied building. The study revealed substantial energy-saving potential that remains unachieved. Oke and Arowoiya [33] found the most significant application in construction to be building information modeling with integrated IoT sensors for real-time environmental monitoring. The study in alignment with the literature, opined that IoT translates sustainability goals into quantifiable metrics. IoT monitoring also converts visionary goals into tangible, verifiable outcomes that contributes to carbon savings across the building lifecycles.
Energy Efficiency and Management Applications
IoT technologies revolutionized the operation of energy within the CI from static scheduling to demand-driven dynamic measures that maximize resources with wasted zero carbon emissions [21]. Applications reflect a strong association between IoT installation and carbon emission minimization. Applications also demonstrate maximum continuous building performance optimization and low human engagement [33]. Tawazun House project demonstrates how usage recognition software, power tags, and microcontrollers achieved a staggering 105% energy offset by monitoring usage in real time and automatic behavior change [37]. This smart system managed major appliances and utilized algorithms to manage energy use based on pre-defined levels, thus demonstrating the potential of the IoTs towards automation of energy management. Wang and Moriarty [28] build upon this concept by integrating smart grid technologies with load shifting capabilities, shifting energy demand during periods of low availability of renewable resources. That was achieved by ambient conditions monitoring and forecasts of energy prices. IoTs enable efficient energy management in a systematic way, i.e., “Avoid, Minimize, and then Generate” framework [35]. The framework systematically reduces carbon footprints by initially avoiding redundant energy consumption, reducing consumption which cannot be avoided, and generating green energy. IoT sensors provide valuable real-time feedback during all stages while initiating autonomous adjustments to optimize performance. Madsen et al. [34] depicted how they achieve up to 40% energy savings when compared to typical infrastructure through optimizing processes. Application of machine learning to IoT streams brings energy management into new directions dominated by higher predictability. Arsiwala et al. [39] demonstrated how adaptive neural network techniques treat data created by IoT to predict peak consumption and proactively respond. This approach replaces reactive carbon management with proactive regulation, particularly in conjunction with dynamic renewable power generation systems that integrate generation, storage, and consumption based on actual-time feedback [37]. Singh et al. [22] additionally expanded this function by demonstrating the way IoT-based systems can optimally schedule high-energy building construction activities during times of renewable power availability. IoT facilitates the development of intelligent energy prosumer models wherein the building generates as well as consumes energy. Ahmed et al. [37] in their study confirmed that 105% offset in energy was achieved with an IoT setup in real time. IoT platforms facilitate real-time consumption levels, which automatically maximize the activity for efficiency to the extent possible and make the buildings active carbon reduction producers.
Sustainable Construction Implementation
IoT technologies play distinct roles in implementing sustainable construction practices, creating pathways for translating environmental objectives into tangible building outcomes. As a digital backbone for sustainable workflows, IoT enables continuous material tracking throughout supply chains, reducing waste and optimizing resource utilization. Maqbool et al. [41] demonstrate how IoT establishes a cyber sustainable ecosystem in which intelligent machines communicate with one another via a wireless network to manage construction data, fundamentally altering how sustainability data is captured and utilized. In prefabricated construction, IoT serves as a quality assurance mechanism. Liu et al. [29] elaborate on how IoT-based prefabrication construction achieves sustainability outcomes. The study compared real-time actual emissions of different scenarios of production with each other, with centralized monitoring of energy to attain energy efficiency, as well as reliability. This application takes production decisions to carbon implications directly, allowing data-driven decisions regarding sustainability in production. IoT serves as a platform for digital fabrication integration and physical construction. Kineber [40] found that research on BIM-IoT integration is aiming at construction intelligence where IoT sensors translate digital sustainability requirements into physical verification systems. This creates closed-loop feedback loops between design intent and construction reality with sustainability aspects integrated suitably. Arowoiya et al. [31] identified several IoT elements that facilitate such applications, with Wi-Fi (mean score 4.05), wireless sensor networks (3.90), and visualization technologies (3.90) emerging as the most prevalent. Ahmed et al. [37] demonstrated that IoT systems achieve the “Avoid, Minimize, and then Generate” principle by monitoring high power usage, optimizing high-use, and green power generation scheduling. This approach reimagines sustainability not merely as design intent but rather actual achievement.
Smart Cities and Other Built Environment Applications
IoT carbon reduction solutions extend from individual buildings to city-wide systems, creating multi-scalar strategies for sustainability in the built environment. Rather than viewing buildings solely as isolated carbon emitters, IoT repositions them as active nodes in smart city networks, thereby amplifying their collective potential for emissions reduction. For example, buildings equipped with IoT capabilities can participate in distributed energy resource systems that not only meet their own needs but also generate surplus clean energy to offset city-level emissions [37]. This aligns with the observation that cities account for roughly 75% of global energy consumption and energy-related Greenhouse Gas (GHG) emissions, underscoring their critical role in sustainability transitions [28]. From an urban planning perspective, predictive modelling of carbon emissions at the block level offers an additional pathway to minimize urban emissions and mitigate heat island effects, showing how IoT data can inform systemic interventions rather than isolated efficiency gains.
The scope of IoT-enabled sustainability further extends to urban infrastructure, particularly transport, which remains a major source of emissions. Sensors embedded in transport systems enable dynamic traffic management, smart parking, and the optimization of public transit networks [28]. For instance, Seoul’s development of a personal travel assistant demonstrates how IoT can empower users to choose routes based on time, cost, or greenhouse gas emissions, embedding carbon considerations into everyday mobility choices. At the district level, IoT facilitates resource optimization through waste heat mapping and district heating applications, offering far greater carbon savings than fragmented building-level initiatives [28]. Beyond energy and transport, IoT-based systems are increasingly integrated into urban water management, where real-time monitoring of distribution networks reduces both energy demand and operational inefficiencies [40]. The Padova Smart City project in Italy illustrates this integrated paradigm, where IoT-enabled services span waste management, building automation, pollution monitoring, traffic control, and smart grids [33]. Such initiatives demonstrate that IoT’s transformative role lies not merely in isolated applications but in creating interconnected ecosystems that enable coordinated, cross-sectoral responses to urban carbon reduction.

3.2.2. Challenges and Limitations Associated with the Integration of IoT Technologies for Carbon Reduction in Construction Practices

The integration of IoT technologies for carbon reduction in construction faces multifaceted challenges that significantly impede widespread implementation despite their demonstrated potential. These challenges are discussed in this section and summarized in Table 6.
Technical Challenges
Interoperability and standardization issues pose significant technical challenges. Kineber [40] identified the lack of interoperability and standardization among various IoT platforms, making deployment more complex, especially where there are numerous systems and vendors. Wang and Moriarty [28] argued that heterogeneity of wireless nodes, concurrent operations, diversity of data in terms of type, and data fusion are significant barriers to combining multiple IoT systems. Installation of equipment on construction sites has unique physical process-related issues. Liu et al. [29] suggested that sensor deployment is hampered by the lack of convenient fastening tools to achieve fixation consistently, warning that the amount of data generated may be greater than the server can process. Physical building structure features can also interfere with wireless communication signals, and hence, advanced network designs are required to ensure successful communication [22,34]. Methodology and data integrity issues have been identified to have serious implications for the efficacies of carbon-emission-reduction strategies. The majority of methodologies oversimplify carbon computation through the utilization of uniform emission factors irrespective of regional differences, compromising accuracy. Liu et al. [30], however, admitted that their formula for vehicle emissions can be optimized, for the difference in fuel consumption between the accelerating and the static state is not taken into account.
Organizational and Human Factors
Lack of skills and inadequate knowledge pose major impediments to the effective implementation. Maqbool et al. [41] elucidated that the lack of skills to leverage IoT devices are notable problems. The study, in agreement with several studies, further emphasized that the lack of experts who know how to use these devices in an efficient manner cooperates with implementation difficulties that technological advancement alone cannot overcome [40]. Arowoiya et al. [31] also explained that a lack of knowledge limits the application of sophisticated low-carbon-reduction technologies. Also, organizational resistance to technological change is noted as a major impediment to the implementation of technology. According to Maqbool et al. [41], construction professionals are lagging in applying innovation, even though technology is changing continuously.
Economic and Infrastructure Barriers
Financial considerations create significant implementation barriers, particularly for smaller firms. The substantial upfront investment in sensors, connectivity infrastructure, and analytical capabilities requires capital that is difficult to justify without clear return on investment calculations [37]. Most construction companies find it challenging to embrace IoT due to the high cost of equipment procurement and ongoing maintenance [41]. Infrastructure limitations also constrain deployment options significantly. Poor network connectivity and limitations in computation capability limit deployment within the CI [36]. Kineber [40] elucidated that expensive power supply, security vulnerability, and limited needs in emerging economies limit IoT utilization, leading to imbalanced global implementation context. Privacy and security of information have become growing challenges. Wang and Moriarty [28] argued that the growing automation of transport control, traffic management, and grid power systems heightens organizational exposure to malicious cyberattacks. These problems lower stakeholder acceptance and can contribute to compliance issues regarding regulation, which will hinder adoption.

3.2.3. Opportunities for Effective Application of IoT Technologies in Reducing Carbon Emissions in the Construction Industry

Notwithstanding the challenges that impede widespread adoption, the CI presents numerous promising opportunities for leveraging IoT technologies to reduce carbon emissions throughout project lifecycles. These opportunities are presented in this section and summarized in Table 7.
Advanced Analytics and AI Integration
The integration of machine learning and IoT offers a significant carbon emissions control. Ahmed et al. [37] explained the combination of Principal Component Analysis and Artificial Neural Networks to predict consumption patterns and automate the response mechanisms, suggesting that AI and IoT convergence is empowering innovations in carbon emission reduction. Predictive analytics, through its application, allows preemptive carbon control by forecasting emissions that have not yet been generated [31]. Wang and Moriarty [28] revealed that smart grids, powered by IoT, allow load shifting of energy from times with less renewable energy supply through integrating weather forecasting and smart apps with the prediction of power prices for better scheduling of household appliances.
These insights illustrate how the convergence of IoT and AI transforms carbon management from reactive monitoring to proactive optimization. By enabling predictive control, such systems not only enhance accuracy in carbon estimation but also provide the capability to anticipate and mitigate emissions before they occur. This predictive functionality is particularly valuable in construction, where dynamic site conditions and fluctuating energy demands create significant uncertainties. Moreover, the integration of IoT-enabled smart grids with advanced analytics fosters resilient energy systems that balance supply and demand, supporting both embodied and operational carbon reduction while aligning construction practices with net-zero emission goals.
Visualization and Integration with Building Information Modeling
Visualization technologies enhance stakeholders’ engagement with emission data significantly. Wang and Moriarty [28] and Xu et al. [3] emphasized how 3D visualization of carbon emission data can present detailed environmental impacts to decision-makers in a manner that makes environmental intelligence better accessible to construction teams. The integration of BIM and IoT provides strong synergies for carbon control. Kineber [40] referred to BIM as a consequential IoT application domain, elucidating that IoT-BIM integration addresses the issue of inefficiency and uncontrolled progress, cost, and quality problems in building construction projects. It facilitates carbon footprint optimization from the design stage to operation [3].
These findings underscore how visualization and BIM–IoT integration bridge the gap between complex carbon data and practical decision-making. By translating raw emissions data into accessible visual formats, stakeholders are empowered to evaluate environmental performance and implement targeted interventions with greater confidence. Importantly, the closed-loop feedback enabled through BIM–IoT systems ensures that sustainability objectives established at the design stage are continuously validated during construction and operation. This integration not only optimizes carbon footprints but also enhances transparency, collaboration, and accountability across project teams, positioning digital visualization tools as a catalyst for advancing embodied carbon reduction in construction [3].
Energy Prosumer Models and Prefabrication
The revolution towards energy prosumer paradigms, in which buildings are not only consumers but also energy producers, is revolutionary. Wang and Moriarty [28] noted how building rooftops are becoming prosumers with the integration of solar panels. Ahmed et al. [37] also demonstrated, through the case study of Tawazun House, how an automated IoT system achieves a 105% offset of energy. Such systems monitor consumption rates in real time and adjust operations automatically to maximize efficiency. IoT-sensing prefabricated construction has immense carbon-saving potential with greater manufacturing efficiency and less material loss. Liu et al. [30] highlighted how prefabrication site monitoring systems can maximize cost, quality, schedule, and carbon reduction by comparing actual-time emissions for different scenarios.
These developments illustrate how IoT-enabled prosumer models and prefabrication systems fundamentally reshape carbon management in construction. By transforming buildings into both producers and consumers of energy, IoT facilitates dynamic energy balancing that reduces reliance on external grids while contributing surplus clean energy back to the system. Prefabrication enhanced with IoT monitoring not only minimizes waste and material loss but also enables precise assessment of carbon implications under varying scenarios, leading to more sustainable production choices. Together, these innovations position IoT as a key enabler of low-carbon, resource-efficient construction pathways that align with circular economy and net-zero objectives.
Policy Frameworks and Standardization
Policy frameworks and economic incentives present strategic opportunities for accelerating adoption. Wang and Moriarty [28] developed their system following national carbon reduction policies, indicating that regulatory frameworks are significant drivers of IoT adoption. It was emphasized that technology alone is insufficient and that regulatory frameworks and carbon pricing mechanisms are necessary to drive adoption. Standardization offers critical opportunities for enhancing implementation effectiveness. Adhering to building carbon emission measurement systems such as those outlined in the major green building certification systems would ensure consistent carbon accounting across diverse construction activities [3]. Industry-wide standards for IoT-based carbon monitoring would enhance data comparability across projects, enabling benchmarking and best practice identification. Educational initiatives can address critical knowledge gaps, particularly in developing regions. IoT applications can be improved through workshops, training, seminars, and conferences for construction professionals [33]. Dosumu and Uwayo [36] recommended strengthening awareness through the meetings of professional bodies, construction workshops, seminars, webinars, and module deliveries in higher institutions.
Emerging Technology Applications
Green IoT represents an emerging opportunity area focusing on technologies that are themselves environmentally sustainable. Kineber [40] provided insight into how different enabling technologies could be organized effectively to realize Green IoT. Also, the development of localized solutions adapted to specific regional challenges offers significant potential. Luo et al. [32] and Ahmed et al. [37] emphasized that tailored approaches considering local infrastructure, climate conditions, and construction practices could enhance adoption rates and effectiveness. As regulatory frameworks increasingly prioritize carbon reduction, standardized IoT implementation frameworks specifically designed for carbon management could provide practical guidance for industry stakeholders [3]. These opportunities collectively position IoT technologies to transform carbon management in construction from an administrative burden into a strategic advantage, enabling firms to simultaneously reduce costs, meet regulatory requirements, and enhance environmental performance.

3.3. Socio-Technical Integration Framework for IoT-Enabled Carbon Reduction in Construction

The Socio-Technical Integration Framework for IoT-Enabled Carbon Reduction in Construction presented in Figure 6 represents a comprehensive approach to implementing sustainable technologies in the CI. This framework bridges the critical technology-practice gap identified in the SLR. The framework positions multiple implementation layers—device, building, project, and urban levels—as a vertical axis influencing all components. Each layer connects to specific technical components, organizational elements, application areas, and external factors, demonstrating their interconnected nature. Technical components include the four-layer IoT architecture (sensing, network, platform, and application) forming the technological foundation. However, the framework recognizes technology alone is insufficient, incorporating organizational elements (skills development, management support, implementation processes, and organizational culture) as equally important for success. The bidirectional relationship emphasizes that technological solutions must be paired with organizational readiness.
Four key application areas emerge from the content analysis: smart monitoring systems, energy efficiency management, sustainable implementation, and smart cities integration. These applications show how technical and organizational elements converge to deliver carbon reduction solutions. They operate within external factors including regulations, financial incentives, industry collaboration, and education—elements identified as critical enablers or barriers. The sequential implementation pathways: measure, analyze, optimize, and transform, provide a roadmap for organizations to progress from basic monitoring to transformative applications. Connected arrows illustrate that implementation involves feedback loops and iterative improvement rather than linear progression. The framework offers researchers and practitioners a holistic understanding of IoT-enabled carbon reduction in construction. It emphasizes that successful implementation requires addressing both technical capabilities and organizational readiness within appropriate regulatory contexts, providing a structured approach to overcoming barriers that have limited IoT adoption for sustainable construction.
In practical terms, the framework can be implemented by embedding IoT sensors across construction sites to capture real-time data on material use, energy consumption, and emissions, which are then integrated with BIM or digital twin platforms for predictive analysis. Blockchain systems can be incorporated to ensure transparent, verifiable tracking of carbon data across supply chains. Validation of the framework can be achieved through pilot projects such as the Tawazun House, which demonstrated automated IoT systems achieving a 105% energy offset [37], and Padova Smart City, where IoT supported integrated services including waste management, pollution monitoring, and smart grids [33]. Longitudinal studies could further assess carbon reduction across building lifecycles, while cross-sectoral collaborations would test interoperability and scalability across firms and regions. These steps provide a pathway for moving from conceptual design to real-world application and empirical testing.

4. Limitations and Future Research Directions

While this systematic review employed rigorous selection criteria to ensure a high-quality analysis, several limitations warrant acknowledgment. First, the dynamic and rapidly evolving nature of IoT technologies means that cutting-edge innovations, pilot projects, and industry applications may not be fully captured in the academic literature reviewed. This time-lag between technological advancement and scholarly reporting may underrepresent the most recent developments in practice. Second, the review was limited to peer-reviewed journal articles, potentially excluding valuable insights from industry reports, policy documents, and technical standards that often drive early adoption. Third, the review synthesized findings from 17 core studies, which, while methodologically robust, limits the statistical generalizability of conclusions across diverse geographic, regulatory, and market contexts. Additionally, language restrictions and reliance on two major databases (Scopus and Web of Science) may have excluded relevant regional or non-English publications, particularly from emerging economies where IoT experimentation is growing.
Future research should therefore pursue several directions. First, longitudinal and large-scale empirical studies are needed to evaluate the sustained impacts of IoT-enabled systems on embodied and operational carbon reduction across entire building lifecycles. Such studies would provide evidence on whether early adoption benefits translate into long-term decarbonization. Second, interdisciplinary research exploring IoT integration with other emerging technologies, including AI, blockchain, BIM, and digital twins, can provide holistic solutions for verifiable carbon tracking and predictive management. Third, comparative cross-country analyses should be undertaken to understand how regulatory frameworks, cultural factors, and infrastructural capacities influence IoT adoption and effectiveness, thereby identifying context-specific best practices. Fourth, future studies should give stronger attention to standardization and policy frameworks, developing robust IoT implementation protocols that ensure interoperability, data security, and comparability across projects. Participatory research that engages industry practitioners, policymakers, and communities will be essential in co-developing practical strategies that address skill gaps, organizational resistance, and cost barriers. By addressing these gaps, future scholarship can move beyond proof-of-concept studies to support scalable, equitable, and industry-wide IoT adoption for construction decarbonization. Finally, it should be noted that while the proposed socio-technical integration framework offers a conceptual pathway for IoT-enabled carbon reduction, it has not yet been empirically validated. Future research should therefore focus on testing the framework through pilot projects and case studies to assess its practical applicability and effectiveness.

5. Conclusions and Implications

This systematic review investigated the role of IoT technologies in reducing carbon emissions in the CI, which contributes approximately 39% of global CO2 emissions. Through rigorous bibliometric and content analysis of 17 selected articles, the study identified four key application areas where IoT technologies demonstrate significant carbon reduction potential: smart monitoring systems, energy efficiency applications, sustainable implementation frameworks, and smart built environment integration. The findings reveal that IoT serves as a technological bridge between carbon management objectives and practical implementation in construction. As smart monitoring systems, IoT enables real-time emissions quantification through multilayered architectures that transform environmental management from reactive to proactive approaches. In energy management, IoT creates dynamic demand-driven systems that have demonstrated up to 105% energy offset through real-time monitoring and algorithmic control. For sustainable implementation, IoT functions as a digital backbone for sustainable workflows, quality assurance mechanism, and integration layer between design and construction. Within smart city contexts, IoT enables buildings to function as nodes in broader sustainability networks. The research reveals a significant technology-practice gap, where organizational factors frequently outweigh technological barriers in implementation. The co-occurrence analysis confirmed the technological interconnectedness between IoT applications and sustainability objectives, while highlighting collaboration patterns dominated by China, the United States, and the United Kingdom.
For industry practitioners, this research provides evidence-based guidance for leveraging IoT in carbon reduction strategies, emphasizing that successful implementation requires not only technological investment but also organisational alignment, skills development, and strategic integration with business objectives. The findings suggest that IoT adoption should be framed as part of a broader digital transformation agenda rather than a stand-alone technological upgrade. This entails fostering cross-disciplinary collaboration between project managers, engineers, IT specialists, and sustainability officers to ensure that IoT applications are embedded into existing workflows and supply chain processes. Furthermore, the study highlights the importance of capacity-building initiatives, where firms actively invest in training programmes to upskill employees in IoT operation, data analytics, and cybersecurity, thereby addressing one of the key barriers to adoption.
At the policy level, the study underscores the need for governments and regulatory bodies to establish supportive frameworks that incentivise IoT-driven sustainability practices. This includes developing standards for interoperability, offering financial incentives or tax credits for green digital innovation, and integrating IoT-enabled carbon tracking into regulatory compliance mechanisms. By doing so, policymakers can create a more enabling environment that accelerates industry-wide decarbonisation.
For researchers, the study provides a platform for future investigations into the socio-technical dynamics of IoT adoption. It highlights the need to explore not only the technological aspects but also behavioural, cultural, and organisational factors that influence implementation success. Additionally, the study calls for more empirical case studies that document real-world applications, challenges, and outcomes of IoT adoption across different contexts and project scales. Collectively, these implications reinforce the notion that IoT is not simply a technological solution but a transformative enabler whose potential is maximised when embedded within holistic strategies for sustainable construction.

Author Contributions

Conceptualization, H.P.; methodology, S.A.; validation, G.A.G.R.G.; formal analysis, G.A.G.R.G. and K.A.; investigation, F.A.G.; resources, H.P. and S.A.; data curation, H.P.; writing—original draft preparation, H.P.; writing—review and editing, K.N.Y.S.S.; supervision, K.A. All authors have read and agreed to the published version of the manuscript.

Funding

This research received no external funding.

Data Availability Statement

The data presented in this study are available on request from the corresponding author.

Conflicts of Interest

The authors declare no conflicts of interest.

Abbreviations

The following abbreviations are used in this manuscript:
BIMBuilding Information Modeling
C&DConstruction and Demolition
CIConstruction Industry
CO2Carbon Dioxide
GHGGreenhouse Gas
IPCCIntergovernmental Panel on Climate Change
IoTInternet of Things
PRISMAPreferred Reporting Items for Systematic Reviews and Meta-Analyses
SLRSystematic Literature Review
UIDUnique Identifier
WoSWeb of Science

References

  1. Wang, J.; Azam, W. Natural resource scarcity, fossil fuel energy consumption, and total greenhouse gas emissions in top emitting countries. Geosci. Front. 2024, 15, 101757. [Google Scholar] [CrossRef]
  2. Li, D.; Huang, G.; Zhu, S.; Chen, L.; Wang, J. How to peak carbon emissions of provincial construction industry? Scenario analysis of Jiangsu Province. Renew. Sustain. Energy Rev. 2021, 144, 110953. [Google Scholar] [CrossRef]
  3. Xu, J.; Zhang, Q.; Teng, Y.; Pan, W. Integrating IoT and BIM for tracking and visualising embodied carbon of prefabricated buildings. Build. Environ. 2023, 242, 110492. [Google Scholar] [CrossRef]
  4. Agyekum, K.; Kukah, A.S.; Amudjie, J. The impact of COVID-19 on the construction industry in Ghana: The case of some selected firms. J. Eng. Des. Technol. 2022, 20, 222–244. [Google Scholar] [CrossRef]
  5. Sizirici, B.; Fseha, Y.; Cho, C.S.; Yildiz, I.; Byon, Y.J. A review of carbon footprint reduction in construction industry, from design to operation. Materials 2021, 14, 6094. [Google Scholar] [CrossRef]
  6. Moghaddasi, H.; Culp, C.; Vanegas, J.; Ehsani, M. Net zero energy buildings: Variations, clarifications, and requirements in response to the Paris Agreement. Energies 2021, 14, 3760. [Google Scholar] [CrossRef]
  7. Ahmad, D.M.; Gáspár, L.; Maya, R.A. Optimizing sustainability in bridge projects: A framework integrating risk analysis and BIM with LCSA according to ISO standards. Appl. Sci. 2025, 15, 383. [Google Scholar] [CrossRef]
  8. Elghaish, F.; Hosseini, M.R.; Kocaturk, T.; Arashpour, M.; Ledari, M.B. Digitalised circular construction supply chain: An integrated BIM-Blockchain solution. Autom. Constr. 2023, 148, 104746. [Google Scholar] [CrossRef]
  9. Weigert, M.; Melnyk, O.; Winkler, L.; Raab, J. Carbon emissions of construction processes on urban construction sites. Sustainability 2022, 14, 12947. [Google Scholar] [CrossRef]
  10. Chen, W.; Yang, S.; Zhang, X.; Jordan, N.D.; Huang, J. Embodied energy and carbon emissions of building materials in China. Build. Environ. 2022, 207, 108434. [Google Scholar] [CrossRef]
  11. Gasue, R.; Aklashie, S.; Dompey, A.M.A.; Agyekum, K.; Opoku, D. Implementing materials passports in the construction industry: Empirical evidence from Ghana. Int. J. Build. Pathol. Adapt. 2024. ahead-of-print. [Google Scholar] [CrossRef]
  12. Purchase, C.K.; Al Zulayq, D.M.; O’Brien, B.T.; Kowalewski, M.J.; Berenjian, A.; Tarighaleslami, A.H.; Seifan, M. Circular economy of construction and demolition waste: A literature review on lessons, challenges, and benefits. Materials 2021, 15, 76. [Google Scholar] [CrossRef]
  13. Fufa, S.M.; Venås, C. Environmental impact assessment of on-site and off-site construction logistics activities–A case study analysis from Norway. IOP Conf. Ser. Earth Environ. Sci. 2023, 1196, 012048. [Google Scholar] [CrossRef]
  14. Hasselsteen, L.; Lindhard, S.M.; Kanafani, K. Resource management at modern construction sites: Bridging the gap between scientific knowledge and industry practice and needs. J. Environ. Manag. 2024, 366, 121835. [Google Scholar] [CrossRef] [PubMed]
  15. Santamouris, M.; Vasilakopoulou, K. Present and future energy consumption of buildings: Challenges and opportunities towards decarbonisation. e-Prime Adv. Electr. Eng. Electron. Energy 2021, 1, 100002. [Google Scholar] [CrossRef]
  16. Mannino, A.; Dejaco, M.C.; Re Cecconi, F. Building information modelling and internet of things integration for facility management—Literature review and future needs. Appl. Sci. 2021, 11, 3062. [Google Scholar] [CrossRef]
  17. Villa, V.; Naticchia, B.; Bruno, G.; Aliev, K.; Piantanida, P.; Antonelli, D. IoT open-source architecture for the maintenance of building facilities. Appl. Sci. 2021, 11, 5374. [Google Scholar] [CrossRef]
  18. Gbadamosi, A.Q.; Oyedele, L.; Mahamadu, A.M.; Kusimo, H.; Olawale, O. The role of internet of things in delivering smart construction. In Proceedings of the CIB World Building Congress, Hong Kong, China, 17–21 July 2019. [Google Scholar]
  19. Atassi, R.; Alhosban, F. Predictive maintenance in IoT: Early fault detection and failure prediction in industrial equipment. J. Intell. Syst. Internet Things 2023, 9, 45–58. [Google Scholar] [CrossRef]
  20. Rane, N. Integrating leading-edge artificial intelligence (AI), internet of things (IoT), and big data technologies for smart and sustainable architecture, engineering and construction (AEC) industry: Challenges and future directions. Eng. Constr. Archit. Manag. 2023, 30, 1234–1250. [Google Scholar] [CrossRef]
  21. Ghosh, A.; Edwards, D.J.; Hosseini, M.R. Patterns and trends in Internet of Things (IoT) research: Future applications in the construction industry. Eng. Constr. Archit. Manag. 2021, 28, 457–481. [Google Scholar] [CrossRef]
  22. Singh, R.; Gehlot, A.; Akram, S.V.; Gupta, L.R.; Jena, M.K.; Prakash, C.; Singh, S.; Kumar, R. Cloud manufacturing, internet of things-assisted manufacturing and 3D printing technology: Reliable tools for sustainable construction. Sustainability 2021, 13, 7327. [Google Scholar] [CrossRef]
  23. Mhatre, P.; Panchal, R.; Singh, A.; Bibyan, S. A systematic literature review on the circular economy initiatives in the European Union. Sustain. Prod. Consum. 2021, 26, 187–202. [Google Scholar] [CrossRef]
  24. Baghalzadeh Shishehgarkhaneh, M.; Keivani, A.; Moehler, R.C.; Jelodari, N.; Roshdi Laleh, S. Internet of Things (IoT), Building Information Modeling (BIM), and Digital Twin (DT) in construction industry: A review, bibliometric, and network analysis. Buildings 2022, 12, 1503. [Google Scholar] [CrossRef]
  25. Page, M.J.; McKenzie, J.E.; Bossuyt, P.M.; Boutron, I.; Hoffmann, T.C.; Mulrow, C.D.; Shamseer, L.; Tetzlaff, J.M.; Akl, E.A.; Brennan, S.E.; et al. The PRISMA 2020 statement: An updated guideline for reporting systematic reviews. BMJ 2021, 372, n71. [Google Scholar] [CrossRef]
  26. Wuni, I.Y.; Shen, G.Q.; Osei-Kyei, R. Scientometric review of global research trends on green buildings in construction journals from 1992 to 2018. Energy Build. 2019, 190, 69–85. [Google Scholar] [CrossRef]
  27. Mao, C.; Tao, X.; Yang, H.; Chen, R.; Liu, G. Real-time carbon emissions monitoring tool for prefabricated construction: An IoT-based system framework. In Proceedings of the International Conference on Construction and Real Estate Management, Charleston, SC, USA, 9–10 August 2018; pp. 121–127. [Google Scholar] [CrossRef]
  28. Wang, S.J.; Moriarty, P. Energy savings from Smart Cities: A critical analysis. Energy Procedia 2019, 158, 3271–3276. [Google Scholar] [CrossRef]
  29. Liu, G.; Chen, R.; Xu, P.; Fu, Y.; Mao, C.; Hong, J. Real-time carbon emission monitoring in prefabricated construction. Autom. Constr. 2020, 110, 102945. [Google Scholar] [CrossRef]
  30. Liu, G.; Yang, H.; Fu, Y.; Mao, C.; Xu, P.; Hong, J.; Li, R. Cyber-physical system-based real-time monitoring and visualization of greenhouse gas emissions of prefabricated construction. J. Clean. Prod. 2020, 246, 119059. [Google Scholar] [CrossRef]
  31. Arowoiya, V.A.; Oke, A.E.; Aigbavboa, C.O.; Aliu, J. An appraisal of the adoption of Internet of Things (IoT) elements for sustainable construction. J. Eng. Des. Technol. 2020, 18, 1193–1208. [Google Scholar] [CrossRef]
  32. Luo, M.; Hong, Y.; Pantelic, J. Determining building natural ventilation potential via IoT-based air quality sensors. Front. Environ. Sci. 2021, 9, 634570. [Google Scholar] [CrossRef]
  33. Oke, A.E.; Arowoiya, V.A. Evaluation of Internet of Things (IoT) application areas for sustainable construction. Smart Sustain. Built Environ. 2021, 10, 387–402. [Google Scholar] [CrossRef]
  34. Madsen, S.S.; Santos, A.Q.; Jørgensen, B.N. A QR code based framework for auto-configuration of IoT sensor networks in buildings. Energy Inform. 2021, 4, 46. [Google Scholar] [CrossRef]
  35. Kazmi, Z.A.; Sodangi, M. Modeling the constraints to the utilization of the Internet of Things in managing supply chains of off-site construction: An approach toward sustainable construction. Buildings 2022, 12, 388. [Google Scholar] [CrossRef]
  36. Dosumu, O.S.; Uwayo, S.M. Modelling the adoption of Internet of Things (IoT) for sustainable construction in a developing economy. Built Environ. Proj. Asset Manag. 2023, 13, 394–411. [Google Scholar] [CrossRef]
  37. Ahmed, Z.A.A.; Islam, M.S.B.; Dudhe, R.; More, B.; Baig, M.A. IoT and AI-based energy monitoring and control system for NZEB. In Proceedings of the 2023 Advances in Science and Engineering Technology International Conferences (ASET), Dubai, United Arab Emirates, 20–23 February 2023; pp. 1–6. [Google Scholar] [CrossRef]
  38. Zhao, W.; Wang, C.; Zhang, Y. Development and application of real-time monitoring system for energy consumption and carbon emission in construction group based on Internet of Things. In Proceedings of the 2023 International Conference on Computer Science and Automation Technology (CSAT), Shanghai, China, 6–8 October 2023; pp. 294–297. [Google Scholar] [CrossRef]
  39. Arsiwala, A.; Elghaish, F.; Zoher, M. Digital twin with machine learning for predictive monitoring of CO2 equivalent from existing buildings. Energy Build. 2023, 284, 112851. [Google Scholar] [CrossRef]
  40. Kineber, A.F. Identifying the Internet of Things (IoT) implementation benefits for sustainable construction projects. HBRC J. 2024, 20, 700–766. [Google Scholar] [CrossRef]
  41. Maqbool, R.; Saiba, M.R.; Ashfaq, S. Emerging Industry 4.0 and Internet of Things (IoT) technologies in the Ghanaian construction industry: Sustainability, implementation challenges, and benefits. Environ. Sci. Pollut. Res. 2023, 30, 37076–37091. [Google Scholar] [CrossRef]
Figure 1. PRISMA-based SLR flow diagram. Source: Figure created by authors.
Figure 1. PRISMA-based SLR flow diagram. Source: Figure created by authors.
Iic 01 00008 g001
Figure 2. Network of Co-occurrence of Keywords. Source: Figure created by authors.
Figure 2. Network of Co-occurrence of Keywords. Source: Figure created by authors.
Iic 01 00008 g002
Figure 3. Network of co-authorships. Source: Figure created by authors.
Figure 3. Network of co-authorships. Source: Figure created by authors.
Iic 01 00008 g003
Figure 4. Network of Collaborations by Country. Source: Figure created by authors.
Figure 4. Network of Collaborations by Country. Source: Figure created by authors.
Iic 01 00008 g004
Figure 5. Distribution of publications by year. Source: Figure created by authors.
Figure 5. Distribution of publications by year. Source: Figure created by authors.
Iic 01 00008 g005
Figure 6. Socio-Technical Integration Framework for IoT-Enabled Carbon Reduction in Construction. Source: Figure created by authors.
Figure 6. Socio-Technical Integration Framework for IoT-Enabled Carbon Reduction in Construction. Source: Figure created by authors.
Iic 01 00008 g006
Table 1. Keyword Co-occurrence in IoT and Carbon Reduction Research.
Table 1. Keyword Co-occurrence in IoT and Carbon Reduction Research.
S/NKeywordOccurrencesTotal Link Strength
1internet of things2020
2sustainable construction98
3construction industry88
4greenhouse gases55
5sustainable development44
6technology44
7sustainability44
8Automation33
9carbon33
10construction equipment33
11construction projects33
12cyber physical system33
13embedded systems33
14emission control33
15energy efficiency33
16energy management33
17energy utilization33
18information technology33
19monitoring33
20prefabricated construction33
21project management33
22real-time monitoring32
23sensors33
24smart cities33
Source: Table created by authors.
Table 2. Leading Authors and Their Co-authorship Network in IoT and Carbon Reduction Research.
Table 2. Leading Authors and Their Co-authorship Network in IoT and Carbon Reduction Research.
S/NAuthorNo. of DocumentsNo. of CitationsTotal Link Strength
1liu, guiwen31603
2mao, chao31603
3xu, pengpeng21432
4hong, jingke21432
5fu, yan21432
6chen, rundong2912
7yang, hao2862
Source: Table created by authors.
Table 3. Country Contributions and Collaboration Strength in IoT and Carbon Reduction Research.
Table 3. Country Contributions and Collaboration Strength in IoT and Carbon Reduction Research.
S/NCountryNo. of DocumentsNo. of CitationsTotal Links Strength
1china71742
2united states2142
3united kingdom201
4belgium1141
5australia101
6nigeria2901
7singapore1701
8india1701
9south africa1381
10saudi arabia1160
11denmark1110
12rwanda190
13united arab emirates120
Source: Table created by authors.
Table 4. Documents for content analysis.
Table 4. Documents for content analysis.
ItemReferenceNo. of Citations in ScopusJournal/Conference
1[37]2Advances in Science and Engineering Technology International Conferences
2[31]38Journal of Engineering, Design and Technology
3[39]106Energy and Buildings
4[36]9Built Environment Project and Asset Management
5[35]16Buildings
6[40]7HBRC Journal
7[3]7Building and Environment
8[29]69Automation in Construction
9[30]74Journal of Cleaner Production
10[32]14Frontiers in Environmental Science
11[34]11Energy Informatics
12[27]17International Conference on Construction and Real Estate Management
13[41]86Environmental Science and Pollution Research
14[33]52Smart and Sustainable Built Environment
15[22]70Sustainability
16[28]48Energy Procedia
17[38]0International Conference on Computer Science and Automation Technology
Source: Table created by authors.
Table 5. Role of IoT in reducing carbon emissions in the construction industry.
Table 5. Role of IoT in reducing carbon emissions in the construction industry.
S/NApplication AreaDescriptionExample/Specific RolesKey Sources
1IoT as Smart Monitoring System for Carbon EmissionsReal-time monitoring and quantification of emissions using multi-layered IoT architectures (sensing, network, platform, application). Enables predictive carbon management via AI and machine learning.Acceleration and barometric sensors on construction equipment; adaptive neural networks with 93% accuracy in carbon estimation.[3,22,30,32,33,34,37,40,41]
2Energy Efficiency and ManagementDynamic demand-driven energy optimization, replacing static scheduling. IoT sensors automate consumption, integrate renewable energy, and optimize demand response.Tawazun House achieved 105% energy offset with IoT-based monitoring; IoT as smart grid integration for load shifting.[3,21,22,28,33,34,35,37,39,41]
3Sustainable Construction ImplementationIoT as a digital backbone for sustainable workflows, enabling material/resource tracking, prefabrication efficiency, and integration with BIM.IoT-based prefabrication monitoring compared real-time emissions under different production scenarios; BIM-IoT integration for sustainability verification and material passport.[3,29,31,37,40,41]
4Smart Cities and Other Built Environment ApplicationsScaling IoT applications from project to city level, enabling carbon savings via distributed energy resources, smart grids, transport systems, and integrated services.Padova Smart City project integrating waste, pollution, traffic, and energy systems; Seoul’s IoT-enabled smart transport.[28,33,37]
Source: Table created by authors.
Table 6. Challenges associated with the integration of IoT technologies for carbon reduction in construction practices.
Table 6. Challenges associated with the integration of IoT technologies for carbon reduction in construction practices.
S/NCategoryChallenge/BarrierDescription/Why It MattersKey Sources
1Technical
Barriers
Interoperability & lack of standards across heterogeneous devices and platformsThis prevents seamless data fusion needed for reliable, project wide emissions accounting and control.[22,28,34,40]
Sensor deployment & fastening on dynamic construction sitesSensor dropouts undermine continuous monitoring and lead to incomplete emissions baselines.[27,28,29,30]
Data quality, calibration & emission factor uncertaintyPoorly calibrated sensors and generic factors distort real-time carbon estimates and decisions.[29,30,39]
Network reliability & coverage (site obstructions, radio-frequency interference)Packet loss causes blind spots; weak links stall automated responses to high emission events.[22,34]
Cybersecurity & privacy risks in connected assets and gridsSecurity constraints limit data sharing/automation that enable carbon optimization.[22,28]
2Organizational/Human Barriers Skills gaps in IoT, data engineering and analyticsWithout analytics capability, firms can’t convert data streams into abatement actions.[31,33,36]
Resistance to change and low digital readinessOrganizational resistance delays adoption of high-impact use cases (e.g., automated shutdowns, load shifting).[31,36]
3Economic/Infrastructure BarriersHigh upfront and lifecycle costs (sensors, gateways, cloud, maintenance)Projects defer scalable monitoring/controls that yield measurable abatement.[22,36,37]
Connectivity and power constraints (esp. in developing contexts)Intermittent power/backhaul disrupts real-time visibility and automated control loops.[33,40]
Regulatory compliance, data governance and procurement hurdlesThis slows deployment of cross project platforms that enable benchmarking and scaled reductions.[22,28]
Sources: Table created by authors.
Table 7. Opportunities for effective application of IoT technologies in reducing carbon emissions in the construction industry.
Table 7. Opportunities for effective application of IoT technologies in reducing carbon emissions in the construction industry.
S/NOpportunityDescriptionKey Sources
1Advanced analytics & AI on IoT streamsIoT generates vast amounts of real-time data on energy use, material flows, and emissions. Leveraging advanced analytics and AI enables predictive modelling, anomaly detection, and optimization, transforming raw data into actionable insights that drive proactive carbon reduction[3,37,39]
2BIM-IoT integration & visualizationIntegrating IoT data with BIM platforms allows dynamic visualization of carbon performance across project lifecycles. This enhances transparency for stakeholders, supports informed decision-making, and enables continuous optimization of embodied and operational carbon[3,33,34,40]
3Energy prosumer models & smart gridsIoT-enabled prosumer models allow buildings not only to consume but also to produce and share renewable energy through smart grids. This decentralized energy exchange reduces reliance on fossil fuels and creates opportunities for city-scale carbon reduction[22,28,37]
4Prefabrication with IoT monitoringIoT in prefabrication facilities supports precise tracking of materials, energy, and waste, ensuring efficiency gains and minimized embodied carbon. This also aligns with circular economy practices by reducing offcuts and optimizing logistics[3,27,29,30]
5Standardization & policy alignmentEstablishing common standards and aligning IoT deployment with sustainability policies creates opportunities for scalable, interoperable solutions. This fosters industry-wide adoption and ensures that IoT contributes meaningfully to regulatory carbon reduction targets.[3,22,28]
6Green IoT & localized deployment patternsGreen IoT refers to energy-efficient IoT systems that minimize the carbon footprint of the devices themselves. Coupled with context-specific deployment (e.g., local climate or energy profiles), this ensures that IoT adoption is both environmentally sustainable and sensitive to regional needs.[34,40]
7Workforce upskilling & awarenessA digitally literate workforce can maximize IoT’s potential by effectively deploying, managing, and interpreting data systems. Upskilling and raising awareness among practitioners creates opportunities to overcome resistance, enhance adoption, and embed carbon reduction into everyday construction practices[31,33,36]
Source: Table created by authors.
Disclaimer/Publisher’s Note: The statements, opinions and data contained in all publications are solely those of the individual author(s) and contributor(s) and not of MDPI and/or the editor(s). MDPI and/or the editor(s) disclaim responsibility for any injury to people or property resulting from any ideas, methods, instructions or products referred to in the content.

Share and Cite

MDPI and ACS Style

Pittri, H.; Aklashie, S.; Godawatte, G.A.G.R.; Sackey, K.N.Y.S.; Agyekum, K.; Ghansah, F.A. The Role of Internet of Things in Managing Carbon Emissions in the Construction Industry: A Systematic Review. Intell. Infrastruct. Constr. 2025, 1, 8. https://doi.org/10.3390/iic1030008

AMA Style

Pittri H, Aklashie S, Godawatte GAGR, Sackey KNYS, Agyekum K, Ghansah FA. The Role of Internet of Things in Managing Carbon Emissions in the Construction Industry: A Systematic Review. Intelligent Infrastructure and Construction. 2025; 1(3):8. https://doi.org/10.3390/iic1030008

Chicago/Turabian Style

Pittri, Hayford, Samuel Aklashie, Godawatte Arachchige Gimhan Rathnagee Godawatte, Kezia Nana Yaa Serwaa Sackey, Kofi Agyekum, and Frank Ato Ghansah. 2025. "The Role of Internet of Things in Managing Carbon Emissions in the Construction Industry: A Systematic Review" Intelligent Infrastructure and Construction 1, no. 3: 8. https://doi.org/10.3390/iic1030008

APA Style

Pittri, H., Aklashie, S., Godawatte, G. A. G. R., Sackey, K. N. Y. S., Agyekum, K., & Ghansah, F. A. (2025). The Role of Internet of Things in Managing Carbon Emissions in the Construction Industry: A Systematic Review. Intelligent Infrastructure and Construction, 1(3), 8. https://doi.org/10.3390/iic1030008

Article Metrics

Back to TopTop