Next Article in Journal
Understanding Energy Poverty in China: Measurement, Impacts, and Policy Interventions
Previous Article in Journal
An Evaluation of the Rural Tourism Industry’s Competitiveness in the Yangtze River Economic Belt Based on the “Diamond Model”—Exampled by Wenjiang District, Huangpi District, and Jiangning District
 
 
Font Type:
Arial Georgia Verdana
Font Size:
Aa Aa Aa
Line Spacing:
Column Width:
Background:
Article

Economic and Geographical Impact of Development Poles: Industrial and Commercial Transformations of the Forestry Sector in Gabon

by
Junior Maganga Maganga
1,*,
Xiangping Jia
1 and
Pamphile Nguema Ndoutoumou
2
1
Agricultural Information Institute, Chinese Academy of Agricultural Sciences, Beijing 100081, China
2
Institute of Agronomic and Forestry Research, Libreville BP 2246, Gabon
*
Author to whom correspondence should be addressed.
Reg. Sci. Environ. Econ. 2025, 2(1), 6; https://doi.org/10.3390/rsee2010006
Submission received: 8 January 2025 / Revised: 4 February 2025 / Accepted: 7 February 2025 / Published: 14 February 2025

Abstract

This paper explores the effects of the cessation of forest commodity exports and the implementation of an industrialization strategy in Gabon, drawing on traditional theories of regional growth. The creation of the Nkok Special Economic Zone (SEZ) in 2012, accompanied by its strategic location and significant infrastructure investments, illustrates the application of Rosenstein-Rodan’s “Big Push” and Douglass-North’s “export base” theories. These initiatives also led to a polarization process consistent with the work of Perroux and other theorists of unbalanced regional growth. The study assesses the impact of this SEZ on regions external to the SEZ and the macroenvironment during the period 2014–2022. It highlights the industrial and commercial mechanisms that promote agglomeration economies, technological diffusion, the creation of economic connections, and the structuring into “core-periphery” zones, in accordance with the concepts of Hirschman. The results show a strong positive correlation between industrial income, exports (excluding raw materials), and industrial production. However, the ban on the export of wood raw materials led to a negative relationship between industrial income and exports of these products. Furthermore, the local processing of forest products has promoted industrial diversification, generated new products, and gradually increased added value. The process of economic and geographical polarization is described as a transitional phase of imbalances whose long-term implications require in-depth studies, particularly in the context of countries in the South and underdeveloped environments.

1. Introduction

Traditional regional development theories seek to understand why some regions experience economic growth while others stagnate or decline (Perroux (1955) [1], Myrdal (1957) [2], Hirschman (1958) [3]). They provide different perspectives on regional development and have influenced the creation of development strategies in various countries, tailored to specific geographic and economic contexts. However, these theories have strengths and weaknesses, depending on the economic and social particularities of the regions concerned, particularly in underdeveloped and developing regions, such as in sub-Saharan Africa (Myrdal (1957) [2], Milton (1974) [4], Misra, 1978 [5]). Inspired by the success of growth poles in Asia and South America in the 1970s and 1980s, African states and their partners adopted growth poles as industrialization strategies. After a pilot project in Madagascar in 2005, several centers were launched between 2008 and 2012 in Tanzania, Mozambique, Burkina Faso, Gabon, and Nigeria, then extended to other African countries. However, support for this approach is not unanimous, with many small business, farmer, and civil society organizations criticizing these strategies. In sub-Saharan Africa, it remains difficult to adapt these theoretical models and measure their positive or negative effects, despite the traditional and modern theoretical contributions of regional development theorists who have influenced the evolution of theories in contexts of underdevelopment (Milton, 1974 [4], Misra, 1978 [5]). These regional development theories and approaches are generally little known and little exploited by actors in the centers of underdeveloped regions of the continent. Traditional theories of regional development, for example, remain for the most part forgotten, not only by political actors but also by researchers on the continent.
Concerning the decision-making processes for the choice of optimal models, Thombs, Ryan P. (2022) [6] proposed a tool for large panels after having carried out numerous estimates, then obtained an optimal model to use and suggested the use of this type of process. Other research concerns the many studies that have shown the positive effects of development hubs, including SEZs. The paper by Frick, Rodríguez-Pose, and Wong (2019) [7] examines, through an empirical approach, the factors that influence the economic dynamism of special economic zones (SEZs) in emerging countries, filling a notable gap in the quantitative research. Using innovative methodologies in monitoring data such as performance indicators to measure SEZ performance, the study highlights several key findings. Larger SEZs generally have better growth prospects due to economies of scale and broader infrastructure. Location matters, meaning that both geographic and economic contexts play a significant role in the success of SEZs. Areas close to major cities and markets, as well as in already industrialized areas, perform better. Cheap labor remains an attractive feature, but proximity to demand centers is equally crucial. Another study, Lotta Moberg’s (2015) [8] paper, “The Political Economy of Special Economic Zones”, examines the effectiveness of special economic zones (SEZs) in stimulating economic development through a robust political economy framework. This framework focuses on two major challenges: the knowledge problem (insufficient information for effective economic planning) and negative incentives (risk of rent-seeking behavior by firms and government officials). The paper by Tangtipongkul et al. (2021) [9] focuses on local economic development (LED) strategies designed to maximize opportunities and mitigate challenges presented by special economic zones (SEZs) along the Southern Economic Corridor of the Greater Mekong Subregion (GMS). Using Kanchanaburi and Trat provinces in Thailand as case studies, the research highlights how infrastructure development, trade facilitation, and local economic activities interact with regional and international economic dynamics. Key findings focus on economic opportunities and integration by stipulating that SEZs in these provinces have played a critical role in enhancing cross-border trade, attracting investment, and improving local infrastructure. Furthermore, the study reveals challenges and strategic approaches and highlights the importance of addressing economic leakages, such as the outflow of profits to non-local stakeholders. The use of frameworks such as the BCG matrix helps to prioritize economic variables according to their current and future importance, allowing for targeted interventions. In view of these few advances in governance and informed initiatives in the development poles of some Asian countries, most developing countries present greater challenges on these issues. Still, however, the absence of sufficient data and research in sub-Saharan Africa, particularly in Gabon, makes governance and strategic planning difficult.
Current research on special economic zones (SEZs) tends to give limited importance to the traditional theory of unbalanced regional growth, despite its key role in understanding regional disparities. Although econometric approaches are commonly used, there is a growing need to develop specific tools and methods to improve the planning, governance, and resilience of SEZs, particularly in developing countries. This research mainly focuses on emerging countries, leaving aside the unique issues of underdeveloped regions, which have been well highlighted by theorists such as Milton Santos and R.P. Misra.
This study aims to make three major contributions. The first is a solid theoretical basis that mobilizes the traditional theory of regional growth to analyze the unbalanced growth of the forestry sector in Gabon. This theoretical framework aims to dispel doubts expressed by various development actors, including governments, civil society organizations, and agricultural, forestry, and fisheries producers and processors in sub-Saharan Africa, on the effectiveness of SEZs as an industrialization strategy in the region. The second is based on a methodological innovation. An innovative decision-making process is used to identify an optimal econometric model, adapted to the particularities of small panels and the biases of traditional methods. This methodology, which integrates non-parametric approaches, allows a detailed assessment of the static and dynamic effects of growth poles. It also offers a framework adapted to the modeling, monitoring, and evaluation of unbalanced regional growth, while strengthening the capacities of governments and regions in the South to develop effective structural policies related to the use of SEZs. Thirdly, the study aims to focus on understanding imbalances by proposing an approach that analyzes spatio-temporal imbalances in the SEZs of the Gabonese forestry sector. This analysis aims to open new perspectives for future research on the mechanisms of unbalanced growth in the countries of the South, contributing to enriching the scientific debate and regional development strategies in the countries of the South, particularly in Africa.
Thus, in the context of this study, a return to the fundamentals of the old theoretical framework seems necessary, especially since several of these theories were developed and applied in a context of underdevelopment in certain European regions, in South America, and in West and East Asia, including those presenting notable advances in Asia. In the case of sub-Saharan Africa, in the context of this study, particular attention is paid to the special economic zone (SEZ) of Nkok, in Gabon, considered by certain political actors and development support organizations as a model of industrial transformation in Africa. This study makes it possible to show the positive effects of polarization (economies of agglomeration, diffusion, capital accumulation, and inter-industrial connections). More specifically, it attempts to show the effects of polarization in the forestry sector of Gabon using an innovative quantitative approach (short partial dynamic panel with correction of estimation bias). The objective is to show the industrial and commercial impact of the Nkok Special Economic Zone (SEZ) in Gabon, using spatial and temporal data from the local timber industry. Indeed, by using panel data estimation methods with relatively short N and T, the objective is to establish an overall industrial and commercial assessment of the timber industry since the creation of the special economic zone in 2009. Based on the recording of industrial and commercial performances from 2014 to 2022, the study also highlights the relationships between the variables of interest according to geographical areas. Even moreso, the study aims to show how the Nkok Special Economic Zone generates the polarization effects identified and analyzed in the last part of the study.

2. Theoretical Foundations of Polarization and Associated Phenomena

Between the 1950s and 1970s, regional economic theories developed in response to global economic challenges, giving rise to the concept of regional convergence. Inspired by general economic theories, balanced growth approaches, put forward by economists such as Rosenstein-Rodan (1943) [10,11] and Nurkse (1961) [12], rely on the free movement of capital, labor, and technology to harmonize regional economies.
During this period, the foundations of regional development were established, highlighting the importance of localized strategies and collaboration between public and private actors. Scholars such as Isard (1956) [13] explored the links between location choices, market structures, and urbanization.
Growth theories seek to explain the mechanisms for reducing regional disparities and promoting homogeneous economic development. However, their implementation varies according to local specificities, such as infrastructure, access to resources, and education. This study presents several key theories of balanced growth in order to analyze the factors of polarization of economic and geographical spaces.

2.1. The Big Push Theory and “Export Base” Theory

The theories of balanced regional growth used as a support for the theoretical and practical analysis of this study are based on “Big Push” theory and export base theory. “Big Push” theory, developed by Rosenstein-Rodan (1943) [10,11], emphasizes the need for massive investments in infrastructure and industry to stimulate economic growth, particularly in underdeveloped regions. It emphasizes the importance of strategic coordination to trigger a self-sustaining development cycle, where initial investments improve productivity and living conditions. Rosenstein-Rodan emphasizes the central role of industrialization and capital accumulation in lifting developing countries out of poverty. He argues that isolated investments have limited impact and that a simultaneous and large-scale approach across various industrial sectors is necessary to create interconnected markets. This theory also emphasizes the advantages of economies of scale and the importance of government intervention to plan and support industrialization, while aiming for an equitable distribution of the benefits of development. Export base theory, introduced by Douglass North (1990) [14], criticizes closed economic models that neglect the role of foreign trade in economic growth. It postulates that regional development depends on the expansion of exports, because external demand stimulates local growth. By specializing in their comparative advantages, regions promote a progressive balance of factors of production (capital and labor) as well as price structures (profits and wages), thus reducing interregional disparities. This dynamic also encourages innovation and competitiveness, as regions seek to improve their productivity and adapt to market fluctuations.

2.2. The Theory of Growth Poles

The theory of growth poles, developed by the French economist François Perroux in 1955 [1], explains that economic growth does not occur uniformly, but through development poles that exert a variable influence on the entire economy. These poles are made up of driving units, which attract and energize other economic units around them.
Perroux distinguishes three types of economic spaces: flat, force field, and homogeneous. He identifies two key forces in the diffusion of growth: the centripetal force, which attracts economic units towards the pole, promoting agglomeration and trade, and the centrifugal force, which diffuses the effects of the pole towards peripheral units and other territorial entities (administration, research, training) ((Perroux, 1955) [1], (Jandir, 2005) [15]).

2.3. The Theory of Cumulative Circular Causation and Hirschman’s Theories of Unbalanced Growth

In 1957, Myrdal introduced the theory of the dual geographic economy in his work “Economic Theory and Underdeveloped Regions”, explaining the effects of developed regions on underdeveloped regions through the mechanisms of “sprawl effects” and “backflow effects”. He emphasizes that regional development exacerbates disparities, with interactions between regions amplifying inequalities. Myrdal (1957) [2] proposes targeted interventions to leverage the advantages of developed regions while supporting the progress of underdeveloped areas. It recommends an asymmetric development strategy at the start, with investment in regions with high potential, but calls for policies aimed at reducing disparities once a certain development threshold is reached. He said this approach would create a more balanced economic landscape, promoting sustainable growth that would benefit all regions in the long term. In 1958, Hirschman proposed a theory of unbalanced growth. According to him, economic growth cannot occur everywhere at the same time but is concentrated around growth poles. He distinguished two effects: “trickling-down” contagion effects and polarization effects. Initially, polarization effects predominate, increasing regional disparities, but in the long run, contagion effects reduce these gaps. Hirschman (1958) [3] also highlighted the importance of investments with contagion effects and linkages between industries to maximize profits.

3. Literature Review

The theory of regional balanced and unbalanced growth, developed by many authors such as François Perroux and Douglass North, remains a major reference for analyzing the economic dynamics of developing countries, particularly in Africa, Asia, and Latin America. Contemporary research explores themes such as special economic zones (SEZs), regional infrastructure, and territorial development policies, while emphasizing structural transformation and industrialization. This work mainly focuses on the use of SEZs as regional development tools, investment in infrastructure to reduce regional disparities, and the role of public policies in these processes.

3.1. Special Economic Zones (SEZs) and Regional Development

The impacts of SEZs, particularly in sub-Saharan Africa, are attracting growing interest. Many studies analyze their effects on economic polarization and regional imbalances. While SEZs often contribute to rapid economic growth at the local level, they can also accentuate disparities between regions. For example, Farole and Akinci (2011) [16] showed that SEZs in Africa and Asia create growth poles, but sometimes leave peripheral regions behind, reinforcing regional inequalities.

3.2. Infrastructure and Regional Connectivity

Investments in infrastructure, such as transport corridors, play a key role in reducing regional disparities. The work of Badiane and Makombe (2015) [17] highlights the importance of well-designed corridors in West and East Africa. These infrastructures promote better regional integration and balance economic growth between urban centers and rural areas, thus contributing to a more equitable distribution of economic benefits.

3.3. Role of Public Policies

Public policies focused on economic decentralization and strengthening local institutional capacities are also crucial for reducing regional disparities. Rodríguez-Pose and Wilkie (2019) [18] have demonstrated that these approaches, applied in particular in Latin America, rely on the principles of balanced growth to develop inclusive strategies and strengthen the role of local governments in regional economic management.

3.4. Structural Transformation and Industrialization

Finally, structural transformation and industrialization represent essential levers for balanced regional growth. UNIDO research (2020) [19] highlights the importance of agri-food industries in creating inclusive value chains. These dynamics allow for a fair distribution of economic benefits between the different regions of developing countries, thus promoting more harmonious economic development.
These studies show that the application of the theory of regional balanced growth in the countries of the South requires taking into account local specificities and combining regional development policies with targeted investments to promote inclusive and sustainable growth.

3.5. Contextual Frameworks of the Economic and Geographical Spaces Studied

1. 
Presentation of the Nkok Special Economic Zone
In 2009, the Gabonese government decided to put in place a strategic plan whose main objective was to diversify the Gabonese economy (production and export). It is with this in mind that the government created special economic zones (SEZs) in order to promote the local processing of raw materials, attract foreign direct investment (FDI), and develop public and private partnerships (PPP).
2. 
Creation of the Nkok Special Economic Zone
The Nkok Special Economic Zone (SEZ) is a “Free Zone”, which is located 27 km from Libreville, the capital of Gabon. It was created by decree 461/PR/MPITPHTAT (Journal O. RP. G, 2011) [20] of October 10, 2012, and was built on an area of 1390 hectares. It is divided into three zones: industrial, commercial, and residential. In its year of creation, the Gabonese government wanted a center of excellence for its industrialization strategy and made infrastructural investments with an international private partner by creating a public and private capital company (60% of assets for the private multinational firm and 40% of the capital for the Gabonese government). The company was to carry out the missions assigned to it for a period of 45 years. In addition to this, the government created a tax regime to attract direct investment.
3. 
Attractive Tax Regime for Multinational Firms
The tax regime of the Nkok SEZ was established based on law No. 10/2011, of July 18, 2011, which defines certain provisions for firms established in the zone, including the following:
  • “Investors, companies affiliated to the Nkok SEZ and their subcontractors are exempt from obtaining the necessary permits and authorizations for the constructions and installations that they carry out in application of their investment program if the latter has been expressly approved by the planning and management body and endorsed by the administrative authority.”
  • “The products manufactured and services provided by companies admitted to the Nkok SEZ regime are intended, for at least 75%, for export.”
  • “The products manufactured and services provided by admitted companies may be sold on the national market, up to a maximum of 25% of their total production and/or services.”
  • “The exemption from withholding tax, valid when at the end of twenty-five years following the first sale of the company, concerns in particular the 10% withholding on payments for the benefit of non-resident service providers and permanent establishments established in Gabon and belonging to a capital company whose head office is abroad” (Journal O. RP. G, 2011) [20].
The developed tax regime makes it possible to provide the Nkok SEZ with a good level of attractiveness for domestic firms and multinational firms (MNCs). This attractiveness allows it, in accordance with the theories of balance and imbalance of regional growth, to generate polarization effects (diffusion, localization, connection, and training in the different polarized and homogeneous economic spaces).
The establishment of the Nkok Special Economic Zone has created two distinct economic and geographical spaces across the country, namely the special economic zone, which is “In Free Zone” space, benefiting from a privileged regime (tax, administrative, logistics and infrastructure, industrial developments, etc.), and the “Out Free Zone” space, which constitutes the territories in which the forestry sector operates across the country.

3.6. Commercial and Industrial Performances in the Forestry Sector of Gabon

1. 
Production Volume and Industrial Income in Polarized Spaces
In Gabon, the period 2014 to 2022 corresponds to a strong expansion of industrial income (Figure 1) from the forestry sector, which varies depending on the geographical space considered. The macroenvironment revenue values represent the sum of revenues from the “In Free Zone” space and the “Out Free Zone” space.
In the Free Zone space, industrial revenue started in 2014 with a value of USD 4 million. This is the year in which the Nkok Special Economic Zone begins to generate revenue. Then, there was strong annual growth, until reaching approximately USD 202 million in 2022. Although the “In Free Zone” space was created in 2012, representing the first special economic zone (SEZ) of the country, it constitutes, from the point of view of Perroux’s theory, a “homogeneous” space capable of generating a field of force that extends over several administered territories. The force field created by the Nkok SEZ ended up creating economic and geographical changes that were nothing other than the polarization process in its initial phase. These modifications concern industrial and geographical dynamism and the creation of a “heterogeneous” region in relation to the Nkok SEZ (homogeneous space). The dynamics of these two types of spaces show accelerations in the growth of industrial revenues in the “Out Free Zone” space. It is entirely natural that in this geographical space, industrial revenues (USD 256 million in 2014 to USD 816 million in 2022) are higher than in the homogeneous space (In Free Zone) created in 2012.
The dynamics of industrial production in volume in the three geographic spaces from 2014 to 2022 (Figure 2) makes it possible to highlight the different flows of industrial production and consumption goods in cubic meters (m3). In the homogeneous space (In Free Zone), the period from 2014 to 2022 is marked by an increase of almost one hundred (100) in industrial production goods, going from 6798.346 m3 in 2014 to 608,000 m3 in 2022. During the same period, the growth of production in the heterogeneous space (In Free Zone), did not occur at the same pace, although industrial production in the homogeneous space still represents approximately a quarter (1/4) of the industrial production in the heterogeneous space in 2022.
Thus, the flows of consumer goods necessary for the industrial and non-industrial processing activity of the special economic zone (SEZ) of Nkok come from the periphery, which is located in the heterogeneous economic and geographical space (Out Free Zone). The peripheral zone is made up of forestry sites, particularly community forests. Numerous “driving” industries with forest resource extraction capacities make it possible to intensify industrial production in heterogeneous space while supplying homogeneous space.
During the creation phase of the Nkok Special Economic Zone, numerous investments were made to facilitate the movement of production and consumption goods between polarized spaces within the country. However, most of the infrastructure is concentrated in homogeneous space. The creation of two new ports, the construction of the special economic zone around the railway line to the new ports, and the location of the SEZ 27 km from the capital Libreville, which is the most populated city in the country, give the Nkok SEZ a strong “push” capacity. Indeed, the “Big Push” theorized by Rosenstein-Rodan (1943) [7] and applied to the Nkok SEZ makes it possible to stimulate not only the effects of polarization, but also the dynamics of exports (Figure 3) in terms of the volume (m3) generated by homogeneous and heterogeneous economic spaces.
2. 
Export Volumes and Export Revenues in Polarized Spaces
In the homogeneous space (In Free Zone), during the period from 2014 to 2022, the volume of exports of production goods in cubic meters (m3) multiplied practically by a hundred (100), in parallel with industrial production. Industrial production (Ind_P_Tm3) in the Nkok Special Economic Zone is essentially export-oriented (Figure 3). Its industrial potential generates not only “Big Push” effects but also polarization effects in all economic and geographical spaces of the polarized region of the interior of the country (in homogeneous and heterogeneous spaces).
Still, the strategy of Myrdal (1957) [2], which proposes “targeted interventions to take advantage of the advantages of developed regions” thanks to investments made in the homogeneous space, at the location close to the population basin of the capital and the strategic infrastructures located there, makes it possible to bring together the conditions for a “Big Push”. The “asymmetric development” initially proposed by Myrdal (1957) [2], with “investment in regions with high potential” as achieved for the Nkok Special Economic Zone (In Free Zone), manifested itself during the period from 2014 to 2022 throughout the economic and geographical space considered in this study. However, particular attention should be paid to strategic monitoring and studies of temporal and spatial dynamics, in order to prevent the undesired effects presented by certain unbalanced growth theories, in particular the “peripheral center” effects of Hirschman (1958) [3] and those presented by Myrdal (1957) [2]. As for the growth dynamics of export revenues (Figure 4), in the homogeneous space, it underwent dazzling growth over the period 2014–2022, which made it possible to achieve the export revenues of the heterogeneous space, although the descriptive analysis of the overall context of the forestry sector in Gabon reveals numerous effects resulting from theories of balanced and unbalanced regional development. In-depth study of these effects through econometric modeling and analyses of trends in growth dynamics in different geographic spaces makes it possible to provide a quantitative empirical dimension in order to obtain more complete insight and achieve the objectives of the study.
The second part of the study, devoted to the methodology of the quantitative empirical study, is divided into three parts. The first part presents the data sources by identifying the variables of interest. The second part describes the relationships between deterministic macroeconomic variables and the choice of variables to study. Finally, the last part is devoted to the presentation of stochastic models, as well as a description of the process of managing estimation biases and a description of the optimal model chosen.

4. Methodology

4.1. Homogeneous Space in the Study Environment

François Perroux (1955), an influential French economist of the 20th century, introduced several important concepts in the field of economics, including that of the “homogeneous economic space”.
He defined “homogeneous economic space” as follows: a homogeneous economic space is a geographical or economic space where economic agents (individuals, firms, institutions) operate under relatively similar conditions in terms of infrastructure, resources, economic rules, and behaviors. This space is characterized by the absence of major disparities in factors of production and living conditions.
Main Characteristics:
1. 
Unity of Economic Structures:
The homogeneous economic space is distinguished by a relative uniformity of economic structures, such as infrastructure, markets, and communication networks, which allow for effective coordination between economic agents.
2. 
Equality of Opportunities:
Economic agents in this space have access to comparable resources and opportunities to participate in economic activities.
3. 
Absence of Major Disparities:
Regional differences in economic development, wealth, and social conditions are small or minimized.
4. 
Geographic and Institutional Continuity:
A homogeneous economic space assumes a certain geographic and institutional coherence. This may include uniform or harmonized policies that promote integration.
5. 
Balanced Internal Economic Flows:
Exchanges of goods, services, and capital within this space are not hindered by significant structural, cultural, or institutional barriers.
However, Perroux was never able to practically delimit and characterize a perfectly homogeneous economic space and make it perfectly observable. François Perroux used it more as an ideal concept, often in opposition to the polarized (heterogeneous) economic space, where economic imbalances are marked. This concept is used in particular to analyze inequalities in economic development at different scales (regional, national, or global).
In the case of this study, the geographically delimited, agglomerated, and localized SEZ, with advantageous regulatory, administrative, infrastructural, political, and technological frameworks, allows companies located inside to benefit from the same effects in terms of agglomeration economy, reduction of production costs, innovation, and other production factors related to agglomeration effects, unlike companies located outside the SEZ, which do not benefit from the same advantages and are dispersed in different economic and geographical spaces. The heterogeneous space presents economic and geographical disparities compared to the advantages of the SEZ.

4.2. Data Sources

The software used to carry out the estimates and descriptive statistics is Stata 18, R 4.2.2, and Excel Professional Office 2019. To carry out this study, four macroeconomic variables were selected to establish the industrial balance sheet (Table 1). The variables are described as follows:
The data series used for the homogeneous space (in a free zone) were obtained from secondary documentary sources of the Ministry of Economy of Gabon (scoreboard of the economy of Gabon from 2014 to 2022). The dashboards contain annual statistics on the economic performance of the wood sector in general and the Nkok Special Economic Zone (in a free zone) in particular.
The data series used for the “Macroenvironment” space were obtained from the FAOSTAT database, which contains aggregate macroeconomic variables of the forest sectors of different countries in the world, particularly Gabon. Concerning the data of the “Outside Free Zones” space, they were obtained by deduction by subtracting the data of the “In Free Zone” from those of the “Macroenvironment” space.
The database contains information on the production and trade of round wood, primary wood products, and paper worldwide. It covers the main types of primary forest products, such as round wood, sawn wood, wood-based panels, pulp, paper, and cardboard, according to the classifications of the Common Forestry Sector. It provides details on several aspects, including the exploitation of round wood (production), differentiated between coniferous and non-coniferous timber as well as by assortments, but also the production and trade of industrial round wood, sawn timber, wood panels, charcoal, pulp, paper, cardboard, and other related products.
More detailed information, including definitions of the different wood products, is available at:
Source 1:
Sources 2 and 3:
2.
3.
EY and Mays Mouissi Consulting (2023) (link: https://www.mays-mouissi.com/?utm).
The data series used for the homogeneous space (In free Zone) were obtained from secondary documentary sources from the Ministry of the Economy of Gabon (dashboard of the economy of Gabon from 2014 to 2022). The dashboards contain annual statistics on the economic performances of the timber sector in general and the Nkok Special Economic Zone (In Free Zone) in particular. The data series used for the “Macroenvironment” space were obtained from the FAOSTAT database, which contains the aggregated macroeconomic variables of the forestry sectors of different countries of the world, particularly Gabon. Concerning the data from the “Out Free Zones” space, they were obtained by deduction by subtracting the data of the “In Free Zone” space from those of the “Macroenvironment” space. Econometric panel modeling with N = 2 and T = 9 could be carried out for the “Out Free Zones” and “In Free Zone” spaces, while for the “Macroenvironment” space, an N = 3 and T = 9 panel modeling was carried out by combining the three types of geographical spaces.
Thus, the study makes it possible to use three models in three types of geographical spaces, which are as follows:
  • The first model makes it possible to carry out static and dynamic panel estimates with N = 2 and T = 9. The results of these estimations make it possible to study the effects of the “In Free Zone” space on the “Macroenvironment” space.
  • The second model makes it possible to carry out static and dynamic panel estimates with N = 2 and T = 9. The results of these estimations make it possible to study the effects of the “Out Free Zones” space on the “Macroenvironment” space.
  • The third model makes it possible to carry out static and dynamic panel estimates with N = 3 and T = 9. The results of these estimations make it possible to study the simultaneous effects of “In Free Zone” and “Out Free Zones” spaces on the “Macroenvironment” space.

4.3. Deterministic Macroeconomic Functions

From the main aggregates used in this study, an assessment of the deterministic equations can be developed in order to understand the stochastic models and to establish a forestry and industrial assessment.
  • The total industrial income by value is obtained by subtracting the total income from the non-industrial income, that is to say:
P _ T U S D = I n d _ P _ T U S D + N o _ I n d _ P _ T U S D
In Equation (1), total income (P_TUSD) is equal to industrial income (Ind_P_TUSD) added to non-industrial production (No_Ind_P_TUSD).
I n d _ P _ T U S D = P _ T U S D N o _ I n d _ P _ T U S D
Equation (2) makes it possible to obtain the value of total industrial income (USD millions) corresponding to the first variable of interest for the stochastic model.
  • Regarding production in volume, we obtain:
P _ T m 3 = I n d _ P _ T m 3 + N o _ I n d _ P _ T m 3
In Equation (3), total forest production (P_Tm3) is equal to industrial production (Ind_P_Tm3) added to non-industrial production (No_Ind_P_Tm3).
Equation (4) allows us to obtain the total industrial production in volume (m3). This is the second variable of interest for the stochastic model.
I n d _ P _ T m 3 = P _ T m 3 N o _ I n d _ P _ T m 3

4.4. Stochastic Modeling

Equation (5) is the general model, with k predictors allowing estimates to be made in panel data econometrics. This equation, requiring transformations for practical applications, leads us to Equation (6), which is a detailed version of Equation (5) with specific predictors: x1, x2, and x3. This equation thus makes it possible to name the variables used for the final stochastic model (7). Equation (7) is a logarithmic transformation model, used for the analysis of log-linear regressions in the study. The general equations are:
y i t = k = 1 K K k β k i x k i t + ω i t
y i t = β 0 + β 1 x 1 ( i t ) + β 2 x 2 ( i t ) + β 3 x 3 ( i t ) + ω ( i t )
  L o g I n d _ P _ T U S D     i t = β 0 + β 1   L o g E x p _ T U S D     i t + β 2 L o g E x p _ T m 3 i t + β 3 L o g I n d _ P _ T m 3 i t + ω ( i t )
The equations used for classical modeling in econometrics of panel data, which are also the most widespread, are classical or traditional models, namely fixed effect (FE) models, random effects (RE) models, and OLS models. However, these models can present estimation biases when the temporal dimension of the series is short (Nickell (1981) [21]). In addition, when the cross-sectional dimension is short, the estimates are carried out using parametric models, which are based on stricter assumptions and require a fairly large number N of cross-sectional units, unlike non-parametric modeling, which is less powerful but more robust than parametric models. As part of this study, an estimation bias management process is proposed in order to produce good-quality estimates, but also to show researchers our decision-making process, which shows the biases generated by classic models and how to correct them using more adapted models, in particular certain generalized moment models (Dhaene and Jochmans, 2016) [22] and other more recent ones, such as the corrected bias method of moments estimators (Breitung, Kripfganz and Hayakawa, 2022) [23].

4.5. Managing the Problem of Estimation Bias

The models used in this study use very short (N = 2) and relatively short (T = 9) panels. As said previously, these approaches generate estimation biases with traditional estimation methods, namely fixed effects (FE), random effects (RE), and OLS models. However, more recent estimation methods capable of eliminating estimation biases linked to the small sizes of the temporal and individual dimensions are also used to provide solutions, namely:
  • Low sample N estimation methods, which are non-parametric and robust estimation methods but have low power compared to parametric estimation methods, help to correct the biases linked to the size N.
  • Estimation methods to resolve biases linked to the weakness of the temporal dimension were presented for the first time by Nickell (1981) [21], and since then, methods such as GMM methods have made it possible to solve these problems. As part of this study, new estimation methods to resolve estimation biases will be used, such as Arellano-Brover and Blundell-Bond’s, the one-step system GMM, and FE-bias-corrected estimation.
  • Finally, the use of numerous estimates to understand and apprehend estimation biases is of great use for this study. However, a decision-making process for choosing the optimal model must be used for the study of each geographical space in order to obtain guidelines for public and private policies at the scale of the sector and at the macroeconomic level.
As part of the search for the optimal model, the equations used in panel data, including individual and temporal dimensions, will allow us, in this study, to carry out partial static and dynamic estimates using the dependent variables as lagged variables.
Although the decision-making process for choosing the optimal model is presented, it is necessary to describe the final optimal model chosen for estimations in the three types of spaces (In Free Zone, Out Free Zone, and Macroenvironment). The decision-making process is divided into four stages, namely:
  • Step 1: Estimates of Assumed Parametric Models
This is the estimation step of classic models, namely fixed effect (FE) models, random effects (RE) models, and OLS models. This preliminary modeling step makes it possible to make an initial assessment of the estimates, to obtain the appropriate parametric specification, to isolate the residuals of the appropriate models in parametric conditions, and to verify their validity through the tests of steps 2 and 3.
  • Step 2: Specification Testing
This includes the “Hausman (Sigmaure) and Breusch and Pagan Lagrangian multiplier test for random effects”. This is the step that first makes it possible to obtain the appropriate supposedly parametric model among the classic models (RE, FE, and OLS). Then, it is used to isolate residuals from the classical model, assumed to be optimal in parametric conditions, in order to verify the validity of the latter in Step 3.
  • Step 3: Model Validity Testing
After isolation of the residuals, of the models assumed to be optimal in parametric conditions, three validity tests are carried out. These are:
  • Normality tests (Jarque–Bera normality test);
  • Homoscedasticity tests (Breusch–Pagan/Cook–Weisberg test for heteroskedasticity (White));
  • Autocorrelation tests (Wooldridge test for autocorrelation).
  • Step 4: Model Estimates for Correction of Estimation Biases in Robust Form
This involves carrying out estimates from GMM models and bias-corrected (BC) moments, as well as associated validity tests such as the “Sargan test of overid_chi2” and “Hansen test of overid _chi2” tests, for the validation of the instrumental variables of the GMM models. Then, we use the “Arellano-Bond” test for the autocorrelation of the residuals at the first order and second order.
  • Step 5: Description of the Decision-Making Process and Choice of the Optimal Model
The description of the decision-making process is carried out using a diagram, which describes the steps and shows how we arrive at the optimal model to be estimated, which is a non-parametric and dynamic model. As part of this study, it is necessary to describe and present the “bias-corrected estimation of linear dynamic panel data models”, which are the most appropriate for this study.

4.6. Correct Estimation of Biased Linear Dynamic Panel Data Model

The “bias-corrected estimation of linear dynamic panel data models” method is a new estimation method making it possible to correct estimation biases known as Nickell biases (1981) [21]. It is a bias-corrected (BC) method of moments estimator, developed by Breitung, Kripfganz, and Hayakawa (2022) [23] for linear dynamic panel data models with unobserved group-specific effects. In the latter, all independent variables are strictly exogenous with respect to the idiosyncratic error component. The fixed effects (FE) version of the estimator is equivalent to the fitted profile likelihood estimator of Dhaene and Jochmans (2016) [22]. It is practical for models with a single shift of the dependent variable, using the bias-corrected iterative estimator of Bun and Carree (2005) [24].
In the presence of unobserved group-specific heterogeneity, traditional fixed effects (FE) and random effects (RE) estimators for linear panel data models with a lagged dependent variable are biased in most cases when the temporal horizon (T) is short (Nickell, 1981) [21]. Existing solutions include the generalized method for moment estimators, abbreviated as GMM (Kripfganz, 2016, 2019) [25,26]. GMM estimators can flexibly adapt to predetermined or endogenous repressors using appropriate instrumental variables.
The bias-corrected (BC) estimator, presented by Breitung, Kripfganz, and Hayakawa (2021) [23], has finite sample properties and makes it possible to correct estimation biases linked to the weakness of the size of the temporal dimension (T) of the model. The BC estimator also allows correction directly at the source by adjusting the respective moment conditions. The low variance of the estimators of classic models such as the fixed effect (FE) and random effect (RE) models is preserved.
Higher-order autoregressive models can be supported with this tool. The BC estimator is a method of moments estimator with a known asymptotic distribution. Therefore, standard errors can be easily calculated. Standard errors can be adjusted to be robust to cross-sectional dependence. The bias-corrected (BC) estimator also uses an error correction vector, of which there are several. As part of this study, the standard error correction vector (vcetype) is used. The vcetype specifies the type of standard error reported, which includes types derived from asymptotic (conventional) theory and which are robust to certain types of misspecifications. The standard error correction vector (vcetype) in its robust version (denoted by “vce (robust)”) is more suitable for carrying out non-parametric estimates, that is to say with samples of reduced size N.

General Form of Linear Dynamic Panel Data Model

The general form of the “bias-corrected estimation of linear dynamic panel data models” model is as follows:
y i t = j = 1 p P j λ j y i , t j + X i t β + α i + u i t ,                   i = 1 ,   2 ,   , N ,     t = 1,2 , T
The basic model assumptions are as follows:
  • The minimum individual and temporal dimensions are N = 2 and T = 2, and they can extend to infinity (Breitung, Kripfganz, and Hayakawa, 2022) [23].
i = 1,2, …, N,   t = 1,2, …, T
  • The autoregressive (higher-order) model has P lags of the dependent variable and only minimal regularity conditions on the initial observations.
  • Strictly exogenous xit repressors with respect to the idiosyncratic error term are:
E [xit uit] = 0 for all t and s
  • For fixed effects that are specific and random to unobserved groups,
E   [ x it   α i ]     0 ,   or   random effects   E   [ x it α i ]   =   0 ;
  • The serially uncorrelated idiosyncratic errors are as follows:
E   [ u i t u i s ] = 0   for   all   tets   and   E   [ u i t 2 ] = σ i 2 .
For simplicity, let p = 1 and define θ = ( λ 1 , β′)′. The fixed effect bias-corrected (FE-BC) estimator that has just been identified solves
θ ^ = a r g m i n i = 1 N m i θ ( i = 1 N m i θ )
with the moment of the function, which is calculated as follows:
m i θ = 1 T t = 1 T [ y i ,     t 1 y ¯ 1 ,     i X i t X i ¯   T T 1     b (   λ 1 )   ( e i t e i ¯ ) 0 ] e i t
X i ¯ = 1 T t = 1 T X i t and   b   λ 1 1 T 2 t = 0 T 2 X i t s = 0 t X i t   λ 1 s
with
E   [ m i ( θ ) ] = 0
(Breitung, Kripfganz and Hayakawa, 2022) [23].

5. Results and Discussions

1. 
Descriptive Statistics
The growth dynamic within the homogeneous space (Figure 5) is very strong (the slopes have very strong increasing trends) for all variables of interest. The average export revenues (USD 306.161 million) are higher than the average industrial revenue (USD 229.271 million) (Table 2).
The variability between geographical spaces (between) for the variables exports and industrial production in volume (m3) are higher than the internal variabilities. For those of the variables income from exports and industrial income (Ind_P_TUSD and Exp_TUSD), the internal variabilities (within the homogeneous space) are higher than the variabilities between spaces. For production and consumer goods, exports (2,245,464 m3 in volume) are higher than the average industrial production (1,801,760 m3). In the heterogeneous economic and geographical space (Figure 6), average income from exports and industrial income maintains the same trends as in the homogeneous space, with slightly reduced differences (Table 3).
As for industrial production and exports in volume, the differences are very small (with 2,067,567 m3 for industrial production and 2,667,292 m3 for exports). The growth dynamics within the heterogeneous space for the export and production volume variables are very weak (the slopes have weak increasing trends for these two variables of interest).
At the macroenvironment level, which contains the series from 1970 to 2022, increasing trends for export income and industrial income are shown (Table 4 and Figure 7).
For the production and export volume variables, the trends are not clearly identified. The estimates made in Table 5 allow for preliminary observations and analysis of commercial and industrial dynamics according to the spaces in a parametric situation. Table 5.
2. 
Classic Estimations
Classic models make it possible to make an initial assessment of the relationships between the industrial income variable and the explanatory variables of interest.
Indeed, in the three types of economic and geographical spaces (homogeneous, heterogeneous, and macroenvironment), all the independent variables are significantly correlated with the dependent variable (Ind_P_TUSD), and the export volume variable (Exp_Tm3) is always negatively correlated with the dependent variable.
3. 
Classic Specification and Validity Test (OLS, RE, and FE)
  • Classic Specification Test
The specification tests (Table 6) indicate that for the homogeneous economic and geographical space, the random effect (RE) model is preferable for carrying out the estimates, which automatically leads to carrying out the “Breusch and Pagan Lagrangian multiplier test for random effects”, which indicates that the OLS model is more appropriate. Therefore, to carry out estimates within the homogeneous space in parametric conditions, the random effect model is the most appropriate. In heterogeneous economic spaces and the macroenvironment, the Hausman specification test indicates that the fixed effect model is the most appropriate for carrying out estimations in parametric conditions.
  • Heteroskedasticity Test
The heteroskedasticity tests (Table 7) indicate that all the residuals are homoscedastic in the three types of economic and geographical spaces, whereas in the parametric condition, there would be no validity problem linked to homoscedasticity.
  • Normality Test
The Jarque–Bera normality test (Table 8) indicates that in the three spaces, the residuals do not follow a normal law. This normality problem linked to the low sample size of the temporal and individual dimensions indicates that the conditions of validity in a parametric situation are not respected. Thus, the classic models (RE, FE, and OLS) cannot be used to make estimates in the three types of spaces (homogeneous, heterogeneous, and macroenvironment).
  • Wooldridge Autocorrelations Test
Concerning the autocorrelation tests (Table 9), p-values indicate that there is a first-order autocorrelation when estimates are made with the classic models (RE, FE, and OLS), that is to say when the estimates are carried out in parametric conditions.
Ultimately, there are only homoscedasticity tests that respect the validity conditions for the three spaces, unlike normality and autocorrelation tests, which invalidate the use of classic models (RE, FE, and OLS) under parametric conditions. This leads us to use estimation methods to correct the estimation biases obtained by parametric methods. Regarding the decision-making process and the choice of the optimal model (Figure 8), we note that the “one-step system GMM_Robust” and “FE-bias-corrected estimation (robust)” models provide the best results. Regarding the “one-step system GMM_Robust” model, the “Sargan test of overid_chi2” tests are not significant in the three spaces.
4. 
Decision-Making Processes and Choice of the Optimal Model
Figure 8 presents the decision diagram, which illustrates the decision-making process used to make the choice of the optimal model for estimation in each economic and geographic space.
Although the “Hansen test of overid_chi2” tests are significant, we cannot conclude that the instruments are valid in any of the panels. Thus, the “FE-bias-corrected estimation (robust)” model will be retained as the optimal model for estimations in the three spaces (homogeneous, heterogeneous, and macroenvironment). However, the “Arellano–Brover/Blundell–Bond” and “one-step system GMM” models make it possible to enrich the analysis and appreciation of the relationships between the dependent variable and the independent variables from static and dynamic angles.
5. 
Estimates With Error Corrected
The selected model “FE-bias-corrected estimation (robust)” presents a better estimation guarantee. The biases observed in classic models have been corrected and the estimates are carried out in non-parametric conditions, correcting normality problems. The residuals are all homoscedastic in the three economic and geographical spaces (homogeneous, heterogeneous, and macroenvironment) observed during the validity tests in parametric conditions. Autocorrelation problems and those linked to the weakness of the temporal dimension have been corrected. Thus, estimates can be made in the three types of spaces (Table 10, Table 11 and Table 12).

5.1. Effects of the Nkok Special Economic Zone on the Macroenvironment

In the homogeneous space, the first-order (p-value = 0.2667) and second-order (p-value = 0.3004) post-estimation autocorrelation tests show the absence of autocorrelations. The dynamic component of the model reveals that the lagged autoregressive dependent variable has a slope of 40%. In other words, an increase in the industrial income of one unit in a given year (n) leads to a 40% increase in this income the following year (n + 1).
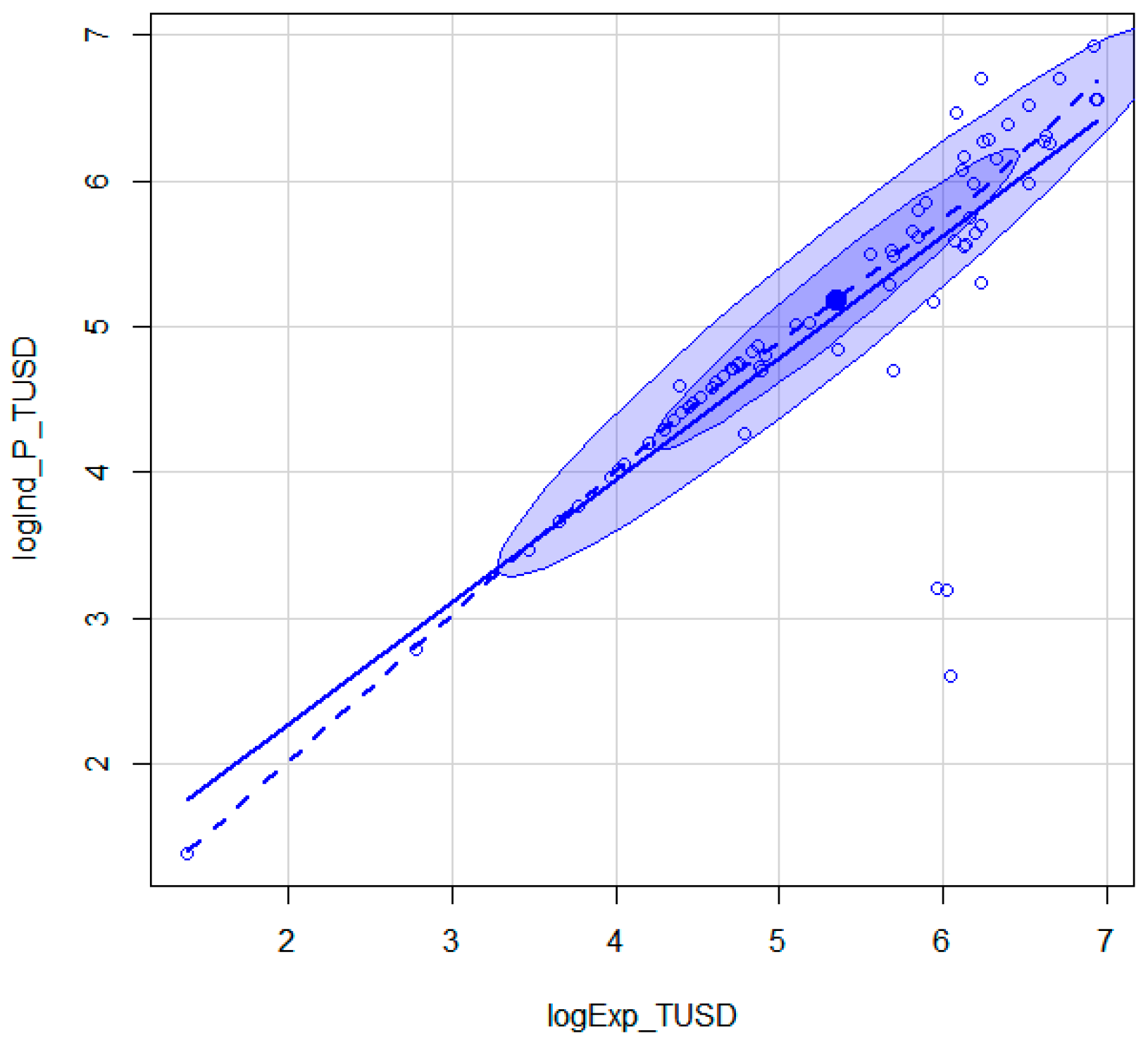
From a static point of view, export revenues have a significantly positive relationship with the dependent variable, unlike industrial export volumes, which are negatively correlated with it (LogInd_P_TUSD). Indeed, an increase in export revenues of 83% (Table 10 and Figure 9) leads to a 100% increase in industrial revenues. However, an increase in industrial income of 100% causes a 224% drop in industrial export volumes (m3) in the homogeneous space (in the free zone). These observed industrial and commercial relations are in line with the theories of balanced and unbalanced regional growth.
Export income is explained by Douglass-North’s (1990) export base theory, which states that: “The economic progress of a given region depends on the expansion of its export activities, since increasing external demand will catalyze the growth of this region”. The potential beneficial effects in the short, medium, and long term concern not only the growth of export income, but also that of industrial income. The benefits include the gradual balancing of production factors (capital and labor), the transformation of price structures allowing economies of scale to be achieved, significant reductions in production and consumer goods costs, and improvements in wages.
Table 10. Optimal estimates of the effect of homogeneous space (In Free Zone).
Table 10. Optimal estimates of the effect of homogeneous space (In Free Zone).
(1)(2)(3)(4)
Variables Alejano Brover
Brendel Bond
GMM One-Step SystemOne-Step System GMM (Robust)FE-Bias-Corrected Estimation (Robust)
LogInd_P_TUSD
Δ*LogInd_P_TUSD0.35 ***0.37 ***0.37 ***0.40 ***
(0.06)(0.08)(0.03)(0.05)
LogExp_TUSD0.79 ***0.74 ***0.74 ***0.83 ***
(0.09)(0.11)(0.27)(0.21)
LogExp_Tm3−2.18 ***−1.91 ***−1.91−2.24 *
(0.37)(0.48)(1.40)(1.17)
LogInd_P_Tm32.16 ***1.96 ***1.962.06
(0.38)(0.51)(1.47)(1.32)
Constant−0.16−1.07−1.071.52
(1.14)(1.12)(2.12)(2.70)
Sargan test of overid-chi2 80.80 (0.013)80.80 (0.013)
Hansen test of overid-chi2 0.00 (1.000)
Autocorrelation order 1
Autocorrelation order 2
−1.1106 (0.2667)
1.0356 (0.3004)
(N/T)60/260/260/260/2
Ward Chi2 (4) 330.668196.39302.07
p-value 0.00000.0000.000
Standard error in parentheses. *** p < 0.01, * p < 0.1. For the Sargan test of overid_chi2 and Hansen test of overid _chi2, p-values are in parentheses and chi-square statistics are outside the parentheses. The assumption of the Arellano–Bond test for the autocorrelation of the residuals in first-order and second-difference is “H0: no autocorrelation of order 1 or 2”. The p-values are in parentheses, and Z statistics are outside parentheses.
Concerning the effects of the drop in industrial exports in volume of homogeneous space on the macroenvironment, they could be explained by the decision of the Gabonese government to prohibit the export of woody forest resources without having first undergone a first transformation industrial at a minimum. In addition, it could be explained by the process of structural transformation of the forestry sector driven by the homogeneous economic space, which generates “Big Push” effects as theorized by Rosenstein-Rodan (1943) [10,11].
Three simultaneous factors could explain this result:
1. 
Slowdown in export volume growth (2019–2022)
During the period 2019–2022, the growth dynamics of export volumes slowed down, while those of export revenues remained high (Figure 5). This is illustrated by the red slope that remains steep.
2. 
Transition to higher value-added products
SEZ companies tend to reduce their consumption of raw materials (in cubic meters). Indeed, as they progress from one level of processing to another (from primary to secondary and tertiary processing), they use less raw materials while producing higher quality items. This process leads to an increase in the “sales price/cubic meter of raw materials” ratio, as higher quality products require fewer resources but generate higher revenues. This explains the increase in export and industrial revenues, while export volumes in cubic meters decrease simultaneously.
3. 
Decrease in the supply of wood raw materials
Another explanation is the decline in industrial production linked to the extraction of wood raw materials in forest areas. As a result, the SEZ is sometimes less supplied with raw materials, which encourages some companies to diversify their production. They favor higher value-added products requiring less wood materials, but offering higher sales prices (for example, the manufacture of cardboard, veneer sheets, or paper pulp instead of simple sawn timber). This change improves the price/material ratio but reduces the consumption of wood materials.
However, these static relationships describe the situation for the period 2014–2022. In the long term, the use of raw materials could increase significantly, unless the third and fourth transformations are entirely carried out locally.

5.2. Effects of the Region Outside the Nkok SEZ on the Macroenvironment

In the heterogeneous space, the first-order (p-value = 0.2667) and second-order (p-value = 0.3004) post-estimation autocorrelation tests show, as in the homogeneous space, the absence of autocorrelations. The dynamic autoregressive dependent variable of the model has a slope of 36%, lower than that observed in the homogeneous space.
From a static point of view, export revenues have a significantly positive relationship with the dependent variable, unlike industrial exports in volume, which are negatively correlated with exports in value. Indeed, a 102% increase in export revenues (Table 11 and Figure 9) leads to a 100% increase in industrial revenues, driven by the heterogeneous space at the macroenvironmental level. On the other hand, a 100% increase in industrial revenues causes a 355% decrease in industrial export volumes, still under the effect of the heterogeneous space.
Regarding industrial production in volume, a 100% increase in industrial revenues translates into a 377% increase in industrial production in volume, driven by the heterogeneous space.
The significant increase in production volume driven by heterogeneous space finds its explanation in unbalanced regional growth theories, in particular the “peripheral center” theory of Hirschman (1958) [3] and the explanations of Perroux (1955) [1] on the transformation of industrial relations between the center and the periphery. The homogeneous space strongly specializes in industrial transformation, with strategic competitive advantages compared to the heterogeneous space, in particular the agglomeration economies and infrastructures, which force many firms to locate in the peripheral regions of the heterogeneous space, in order to extract woody forest resources and supply them in the homogeneous spaces. This reorganization of the Gabonese forest industrial matrix is demonstrated by the relationships observed from estimates in heterogeneous space, showing an accelerated polarization process.
Table 11. Optimal estimates of the effect of heterogeneous space (Out Free Zone).
Table 11. Optimal estimates of the effect of heterogeneous space (Out Free Zone).
(1)(2)(3)(4)
VariablesAlejano Brover
Brendel Bond
GMM One-Step SystemOne-Step System
GMM (Robust)
FE-Bias-Corrected Estimation (Robust)
LogInd_P_TUSD
Δ*LogInd_P_TUSD0.39 ***0.43 ***0.43 ***0.36 ***
(0.05)(0.07)(0.09)(0.02)
LogExp_TUSD0.99 ***0.92 ***0.92 ***1.02 ***
(0.11)(0.14)(0.12)(0.02)
LogExp_Tm3−3.19 ***−2.65 ***−2.65 ***−3.55 ***
(0.42)(0.56)(0.86)(0.09)
LogInd_P_Tm33.40 ***2.80 ***2.80 ***3.77 ***
(0.42)(0.56)(0.93)(0.11)
Constant−4.51 **−3.62−3.62 ***−4.77 ***
(2.23)(3.06)(1.14)(0.33)
Sargan test of overid-chi2 83.05 (0.009)83.05 (0.009)
Hansen test of overid-chi2 0.00 (1.000)
Autocorrelation order 1
Autocorrelation order 2
−1.0636 (0.2875)
1.0356 (0.3030)
(N/T)60/260/260/260/2
Ward Chi2 (4) 453.999885.6010.04
p-value 0.00000.0000.040
Standard error in parentheses. *** p < 0.01, ** p < 0.05. For the Sargan test of overid_chi2 and Hansen test of overid _chi2, p-values are in parentheses and chi-square statistics are outside the parentheses. The assumption of the Arellano-Bond test for the autocorrelation of the residuals in first-order and second-order difference is: “H0: no autocorrelation of order 1 or 2”. The p-values are in parentheses, and Z statistics are outside parentheses.
As in the homogeneous space (i.e., within the SEZ), declines in export volumes are also observed in the heterogeneous space. These decreases can be explained by several factors:
1. 
Ban on exporting unprocessed raw materials
The ban on exporting raw wood materials without initial processing encourages companies in forest areas to reduce their exploitation. Some carry out initial processing before exporting, while others market their raw materials locally to processing companies. This dynamic contributes to an overall increase in export revenues while simultaneously reducing the exported volumes of raw wood materials.
2. 
Marketing of high value-added products
Companies favor products characterized by a higher “price/material per cubic metre” ratio. This strategy reduces exported volumes while simultaneously increasing industrial revenues and export revenues.
3. 
Product diversification and local processing
Product diversification, combined with local processing (primary, secondary, and tertiary processing), allows for the production of higher quality and more profitable products. This process significantly reduces the consumption of wood materials in the processing industry, which explains the increases in industrial and export revenues, despite a decrease in wood export volumes (in cubic meters).

5.3. Effects of Industrial Income on Macroenvironmental Variables

Finally, concerning the macroenvironment (Table 12 and Appendix A), the hypotheses of non-autocorrelations are also verified as for homogeneous and heterogeneous spaces. From a static point of view, the relationships between variables are the same as in the homogeneous space. The dynamic behavior of the autoregressive dependent variable is also the same when compared to that of the homogeneous or heterogeneous space.
Table 12. Optimal estimates in the macroenvironment.
Table 12. Optimal estimates in the macroenvironment.
(1)(2)(3)(4)
VariablesAlejano Brover
Brendel Bond
GMM One-Step SystemOne-Step System
GMM (Robust)
FE-Bias-Corrected Estimation (Robust)
LogInd_P_TUSD
Δ*LogInd_P_TUSD0.37 ***0.44 ***0.44 ***0.412 ***
(0.06)(0.08)(0.07)(0.064)
LogExp_TUSD0.81 ***0.68 ***0.68 ***0.824 ***
(0.08)(0.11)(0.26)(0.216)
LogExp_Tm3−2.12 ***−1.39 ***−1.39−2.244 **
(0.34)(0.44)(1.39)(1.134)
LogInd_P_Tm32.05 ***1.38 ***1.382.065
(0.35)(0.46)(1.47)(1.285)
Constant0.21−0.40−0.401.579
(1.10)(1.08)(2.06)(2.752)
Sargan test of overid-chi2 92.58 (0.009)92.58 (0.009)
Hansen test of overid-chi2 0.00 (1.000)
Autocorrelation order 1
Autocorrelation order 2
−1.1420 (0.2534)
1.0467 (0.2952)
(N/T)60/260/260/260/2
Ward Chi2 (4) 366.669920.87 176.21
p-value 0.00000.0000.000
Standard error in parentheses. *** p < 0.01, ** p < 0.05. For the Sargan test of overid_chi2 and Hansen test of overid _chi2, p-values are in parentheses and chi-square statistics are outside the parentheses. The assumption of the Arellano–Bond test for the autocorrelation of the residuals in first-order and second-order difference is: “H0: no autocorrelation of order 1 or 2”. The p-values are in parentheses, and Z statistics are outside parentheses.
It is fair to note that from a static point of view, the slope variations are different but similar to those of homogeneous space. Thus, over the period from 2014 to 2022, the dynamics of the macroenvironment tended to be more sensitive to the industrial dynamics of the homogeneous space compared to those of the heterogeneous space. The analysis of industrial and commercial relations based on Granger causality tests (Table 13 and Figure 9) makes it possible to understand the mechanisms generated by the process of polarization of the economic and geographical spaces of the timber forestry sector in Gabon.

6. Causality Tests

The industrial and commercial relationships between the dependent variable and the independent variables show, in Granger causality tests (Table 13 and Figure 9), that the growth dynamics of export revenues associated with investments and the strategic location of the homogeneous space brings together the conditions to generate polarization effects (agglomeration, diffusion and connections, creation of central regions and peripheral regions).
Figure 9. Causal diagram that illustrates industrial and commercial relationships in the polarized economic and geographic spaces of Gabon’s forestry sector.
Figure 9. Causal diagram that illustrates industrial and commercial relationships in the polarized economic and geographic spaces of Gabon’s forestry sector.
Rsee 02 00006 g009
The conditions met also generate a process of transformation of the industrial matrix by differentiating and specializing activities according to the space considered. The homogeneous region, more oriented towards exports, represents a real strong driving industry for downstream and upstream activities, while the heterogeneous region brings together secondary and primary driving activities (less strong than those of the homogeneous region), providing raw materials to the homogeneous space, which has more of an industrialization and export function.

7. Limitations of the Study and Prospects for Future Research

This study assessed the impact of the Nkok SEZ on the forest sector by using industrial and commercial variables, while highlighting the effects of the “Big Push” and the theory of the “export base” over the period 2014–2022. However, it has some limitations.
The first limit is due to the short time series used (2014–2022), due to the recent creation of the SEZ in 2012. This limits the analysis of long-term effects and limits the achievement of more comprehensive results. Similar studies would require longer data sets (ideally close to 30 years). The use of ARDL (auto-regressive distributed lag) models could allow for simultaneous analysis of short- and long-term effects.
The second limitation is the inclusion of other special economic zones in the analysis. The presence of multiple SEZs would provide more cross-sectional data and enrich conclusions. Modelling in a developing country with multiple SEZs would allow the use of parametric models to identify new factors that highlight the benefits of the SEZ. An approach based on expanded panels would make the analysis more comprehensive and help to develop policies that are more applicable to the realities of the Global South.
In terms of future study prospects, it is essential to conduct further research on the effects of special economic zones (SEZ) on economic development and regional disparities, with a particular focus on the countries of the South, particularly those in sub-Saharan Africa. These studies should analyze existing imbalances, assess the impact of the SEZ, compare internal and external disparities, and propose decision support tools to better manage polarization dynamics. Models of regional imbalances developed in future research should highlight the processes of economic and spatial polarization in underdeveloped regions. In addition, this work should identify the mechanisms underlying economic and geographical polarization, examine the disparities they create, and develop strategies to reduce these imbalances while promoting harmonious and equitable development.

7.1. Political Implications

Between 2014 and 2022, the creation, massive investment, and evolution of the Nkok SEZ led to an unbalanced regional growth mechanism by dividing the macroenvironment into two types of spaces. A homogeneous space (Nkok SEZ) and a heterogeneous space. The presence of the SEZ helped to strengthen the positive interactions between industrial income and the independent variables of the model, including income, exports, and industrial production. However, the correlation between industrial income and the volume of exports of wood forest products remains negative.
The reduction in volumes exported in these two types of spaces during this period can be explained by several factors, such as the transition to higher value-added products, the decrease in the supply of wood raw materials, and the ban on exporting unprocessed resources, as well as product diversification and the rise of local processing processes.
Commercial and industrial dynamics indicate that the increase in export revenues promotes the growth of industrial production and the increase in revenues. On the other hand, the progressive rise in industrial income leads to a reduction in exports of raw materials, a direct consequence of the development of processing capacities and the emergence of new processed wood products, such as innovative furniture or the valorization of veneer sheets into secondary processing products.
The conclusions drawn from the evolution of the Nkok SEZ between 2014 and 2022 highlight essential economic dynamics for the development of public policies.
1. 
Strengthening industrial and export strategies
The positive impact of the Nkok SEZ on industrial income, exports, and production highlights the need to encourage the establishment of specialized economic zones (SEZs) as levers for development. Public policies should therefore promote targeted investments and the establishment of infrastructure facilitating the local processing of raw materials in order to increase the added value of exports.
2. 
Regulation and optimization of the supply of raw materials
The reduction in export volumes due to the limitation of wood resources and export bans on unprocessed raw materials calls for more sustainable and planned management of forest resources. Public decision makers must strengthen regulatory frameworks for forest exploitation and management in order to guarantee a stable supply for local industry while preserving ecosystems.
3. 
Promotion of local processing and diversification of products
The growth of processing processes and the diversification of wood forest products (furniture, wood-based products, secondary processing) indicate that public policies must further encourage local industrialization. This involves tax incentives, support measures for processing companies, and the promotion of innovation in the wood sector.
4. 
Territorial rebalancing of industrial development
The structuring of the economic space into homogeneous and heterogeneous zones reveals uneven development, with a concentration of investments in the Nkok SEZ. Public policies should therefore aim for a more balanced development of the territory by encouraging the development of other regional industrial hubs in order to distribute economic and social benefits throughout the country.
5. 
Support for value chains and attractiveness of investments
Finally, the correlation between the increase in industrial income and local processing calls for policies aimed at structuring and strengthening industrial value chains. By facilitating access to financing, improving worker training, and developing suitable infrastructure, public authorities can attract more investments and strengthen the competitiveness of the forestry sector.
Finally, these results provide valuable guidance for the implementation of effective public policies aimed at strengthening industrialization, maximizing local added value, and ensuring sustainable and inclusive economic development.

7.2. Problems and Strategic Recommendations for Preventive Action

The study made it possible to demonstrate, thanks to a quantitative approach to Gabon’s forestry sector, that growth poles, in particular special economic zones (SEZs), can generate numerous beneficial regional effects in developing countries by concentrating investments and infrastructure in specific areas, to the detriment of other regions. However, unbalanced regional growth can create economic and social disparities driven by development poles in many regions. Here are recommendations and policies to minimize these disparities while promoting the benefits of regional unbalanced growth:
1. 
Develop a network of hubs in several regions of the same country
Problem: In developing countries, clusters (mainly special economic zones) are often located in already developed areas such as peri-urban areas, leaving rural or remote regions on the margins.
Recommendations:
  • Create a network of SEZs spread across several strategic regions, including rural or less developed areas.
  • Develop SEZs focused on local resources (e.g., agro-industry in agricultural regions).
  • Connect SEZs through transport infrastructure to promote regional economic integration.
Example: India has set up SEZs in less developed areas like Uttar Pradesh to boost regional development (Aggarwal, A., 2006; Jenkins, R., Kennedy, L., & Mukhopadhyay, P., 2014) [27,28].
2. 
Strengthen infrastructure in peripheral regions
Problem: Areas outside SEZs often lack basic infrastructure, which hinders their development.
Recommendations:
  • Use revenues generated by SEZs to finance infrastructure in surrounding regions.
  • Build roads, electricity networks, and sanitation facilities connecting rural areas to SEZs.
  • Promote integrated development programs to connect urban and rural areas.
3. 
Integrate local SMEs into SEZ value chains
Problem: SEZs often favor large foreign companies to the detriment of local SMEs.
Recommendations:
  • Encourage businesses located in SEZs to source from local suppliers.
  • Provide incentives for SMEs to participate in the value chains of industries present in SEZs.
  • Train and finance local businesses so that they can meet the required quality standards.
Example: In Ethiopia, the Hawassa industrial park promotes local employment and the integration of local suppliers ((Farole, T., & Akinci, G., 2011) [16], Zeng, D. Z. (2016) [29]).
4. 
Redistribute the fiscal and financial benefits of SEZs
Problem: SEZs benefit from tax privileges, which reduces the income redistributed to the rest of the country.
Recommendations:
  • Establish a mechanism for redistributing income generated by SEZs to less developed regions.
  • Create regional development funds funded by part of the taxes or profits generated by the SEZs.
  • Establish quotas or investment obligations in local infrastructure.
5. 
Train local populations to expand employment opportunities
Problem: Jobs created in SEZs often benefit skilled workers from other regions or countries.
Recommendations:
  • Establish vocational training centers near SEZs to train the local workforce.
  • Include specific training programs for women and young people, who are often excluded from opportunities.
  • Establish local hiring quotas in SEZs.
Example: Bangladesh trains thousands of local workers in the textile sector around its SEZs. (Ge, W., 1999; Farole, T., 2011; Yu, T. F., 2008) [30,31,32].
6. 
Encourage co-development policies
Problem: SEZs often function as economic enclaves, unconnected to the rest of the national economy.
Recommendations:
  • Develop links between SEZs and regional economies (e.g., local agriculture to supply food industries).
  • Create economic corridors connecting SEZs to peripheral regions to stimulate economic activity along these corridors.
  • Promote co-development projects where several regions benefit from the same investment.
7. 
Improve governance and transparency in SEZ policies
Problem: Resources and investments in SEZs are sometimes poorly managed, worsening disparities.
Recommendations:
  • Ensure equitable regional planning to distribute resources and investments.
  • Strengthen transparency in the awarding of contracts, management of funds, and assessment of the impacts of SEZs.
  • Establish regional institutions to monitor the impact of SEZs on local communities.
8. 
Develop inclusive and sustainable SEZs
Problem: SEZs can create environmental and social imbalances.
Recommendations:
  • Integrate ecological practices in SEZs to protect the local environment.
  • Implement social responsibility programs to support surrounding communities.
  • Ensure public consultation with local populations before the implementation of new projects.
Example: The SEZs of Kigali (Rwanda) integrate principles of sustainability and inclusive development ((Farole, T., & Akinci, G., 2011) [16], Zeng, D. Z. (2016) [29]).
9. 
Encourage public–private partnerships (PPP)
Problem: Limited public resources often prevent investments in peripheral regions.
Recommendations:
  • Involve the private sector in the development of infrastructure outside SEZs.
  • Promote PPPs to finance educational, health, or economic projects in underdeveloped areas.
10. 
Regularly evaluate and adjust SEZ policies
Problem: The lack of monitoring prevents the negative effects of SEZs from being corrected with regard to regional disparities.
Recommendations:
  • Establish monitoring indicators to measure the economic, social, and environmental impacts of SEZs.
  • Readjust policies based on results to better meet regional needs.
  • Involve local stakeholders in planning and evaluation processes.
To resolve regional disparities, the clusters, particularly the SEZs of developing countries, must be integrated into a balanced national development strategy. This means distributing resources equitably, strengthening peripheral regions, and ensuring that the benefits of the hubs flow across the country. An inclusive and sustainable approach is essential for clusters to become engines of equitable development.

8. Conclusions

Ultimately, the decision to stop exports of forestry raw materials and the development of a strategy for the industrialization of this sector in Gabon made it possible to apply a certain number of traditional theories of regional growth. The Nkok Special Economic Zone, created in 2012, as well as its strategic location and the construction of infrastructure to boost exports, are the materialization of the application of the traditional theories of regional growth of Rosenstein-Rodan (1943) [10,11] via the “Big Push” theory and Douglass-North (1990) [14] through the “export base” theory. These infrastructural and industrial investments made it possible to trigger a process of polarization already studied by numerous authors of theories of unbalanced regional growth, the main architect of which is Perroux (1955) [1].
The review of these theories made it possible to understand and explain the results, which constitutes the empirical part of the study, whose objectives were, firstly, to initially measure the impact of the homogeneous region (special economic zone) on the heterogeneous region and the macroenvironment, and secondly, to explain the mechanisms around industrial and commercial activities, as well as the relationships between economic and geographical spaces engaged in an accelerated polarization process (agglomeration economies, diffusion of technologies, creation of connections, and reorganization of the space in “central-peripheral” regions), as theorized by Hirschman (1958) [3].
During the period 2014–2022, the homogeneous space of the entire polarized region led to development of the heterogeneous space and the macroenvironment space by developing strong positive relationships between industrial income and the independent variables of the model, which are income, exports, and industrial production. The exception is the relationship between industrial income and exports by volume of woody forest products, which is negative because of the ban on the export of raw materials and their domestic transformations. The mechanisms surrounding commercial and industrial activities have shown that income from exports leads to an increase in industrial production volume and its revenues, while the gradual increase in industrial income leads to a drop in exports of raw materials due to the gradual increase in product transformations and the creation of new processed woody forest products (new types of furniture, transformation of veneer sheets into new products secondary processing, etc.).
The polarization process generated should be considered as a phase of economic and geographical imbalances whose long-term issues should be studied and determined further by researchers with regard to the question of the poles of southern countries in underdeveloped environments.

Author Contributions

Conceptualization, J.M.M.; methodology, J.M.M. and X.J.; software, J.M.M.; validation, J.M.M., X.J., and P.N.N.; formal analysis, J.M.M., X.J., and P.N.N.; resources, J.M.M., X.J., and P.N.N.; writing—Original Draft, J.M.M.; writing—review and editing, J.M.M., X.J., and P.N.N.; visualization, J.M.M. All authors have read and agreed to the published version of the manuscript.

Funding

This research received no external funding.

Data Availability Statement

The authors used publicly available datasets to write this manuscript. These datasets are accessible here: (https://www.fao.org/faostat/en/#data/FO and http://www.dgepf.ga/23-publications/25-table-de-bord-de-l-economie/169-table-de-bord-de-l-economie//). Accessed on 20 November 2024.

Conflicts of Interest

The authors declare no conflicts of interest.

Appendix A. Point Clouds in the Macroenvironment

Figure A1. Regression of industrial income.
Figure A1. Regression of industrial income.
Rsee 02 00006 g0a1
Figure A2. Regression of industrial forestry production.
Figure A2. Regression of industrial forestry production.
Rsee 02 00006 g0a2
Figure A3. Regression of forestry exports.
Figure A3. Regression of forestry exports.
Rsee 02 00006 g0a3

References

  1. Perroux, F. Note on the notion of “growth pole”. Appl. Econ. 1955, 8, 307–320. [Google Scholar]
  2. Myrdal, G. Economic Theory and Underdeveloped Areas; Duckworth: London, UK, 1957. [Google Scholar]
  3. Hirschmann, A.O. Economic Development Strategy; Yale University Press: New Haven, CT, USA, 1958. [Google Scholar]
  4. Milton, S. Underdevelopment and poles of economic and social growth. Tiers-Monde 1974, 15, 271–286. [Google Scholar]
  5. Misra, R.P. Regional Planning and National Development, ISBN 10: 0706905555/ISBN 13: 9780706905557, Goodreads ed.; Vikas Publishing: New Delhi, India, 1978; ISBN 10. [Google Scholar]
  6. Thombs, R.P. A Guide to Analyzing Large N, Large T Panel Data. Socius Sociol. Res. A Dyn. World 2022, 8, 1–15. [Google Scholar] [CrossRef]
  7. Frick, S.A.; Rodriquez-Pose, A.; Wong, M.D. Towards economically dynamic special economic zones in emerging countries. Econ. Geogr. 2019, 95, 30–64. [Google Scholar] [CrossRef]
  8. Moberg, L. The political economy of political economic zones. J. Institutional Econ. 2015, 11, 167–190. [Google Scholar] [CrossRef]
  9. Tangtipongkul, K.; Srisuchart, S.; Nuchmon, N.; Vinayavekhin, S. Local economic development to support opportunities and impacts from special economic zones along the greater Mekong subregion southern economic corridor: Case studies in Kanchanaburi and trat provinces. Thammasat Rev. 2021, 24, 79–110. [Google Scholar]
  10. Rosenstein-Rodan, P. The Problem of Industrialization of Eastern and South-Eastern Europe. Econ. J. 1943, 53, 202–211. [Google Scholar]
  11. Rosenstein-Rodan, P. The International Development of Economically Disadvantaged Regions. Int. Aff. 1944, 20, 157–165. [Google Scholar] [CrossRef]
  12. Nurkse, R. Causes and Effects of Capital Movements, Equilibrium and Growth in the World Economy; Economic Essays by Ragnar Nurkse: Cambridge, UK, 1961; pp. 1–21. [Google Scholar]
  13. Isard, W. Location and Spatial Economy: General Theories Related to Industrial Location, Market Areas, Land Use, Trade and Urban Structure; MIT Press: Cambridge, UK, 1956. [Google Scholar]
  14. North, D.C. Institutions, Institutional Change and Economic Performance; Cambridge University Press: Cambridge, MA, USA, 1990; pp. 107–140. [Google Scholar]
  15. Jandir, F.L. Notes on growth poles and territorial strategies in Quebec. Canad. J. Reg. Sci. 2005, 28, 243–260. [Google Scholar]
  16. Farole, T.; Akinci, G. Special Economic Zones: Progress, Emerging Challenges, and Future Directions; The World Bank: Washington, DC, USA, 2011. [Google Scholar]
  17. Badiane, O.; Makombe, T. Beyond a Middle-Income Africa: Transforming African Economies for Sustained Growth with Rising Employment and Incomes; IFPRI: Washington, DC, USA, 2015. [Google Scholar]
  18. Rodríguez-Pose, A.; Wilkie, C. Institutions and the Diverging Economic Performance of Subnational Regions in Africa; Regional Studies: London, UK, 2019. [Google Scholar]
  19. UNIDO. Industrial Development Report 2020: Industrializing in the Digital Age; United Nations Industrial Development Organization: Vienna, Austria, 2020. [Google Scholar]
  20. Official Journal of the Gabonese Republic. Decree No. 461/PR/MPITPTHTAT of 10 October 2012 Establishing and Organizing the NKOK Privileged Regime Economic Zone. Available online: https://docslib.org/download/5094415/official-journal-of-the-gabonese-republic (accessed on 4 February 2025).
  21. Nickell, S. Deviations in dynamic models with fixed effects. Econometrics 1981, 49, 1417–1426. [Google Scholar] [CrossRef]
  22. Dhaene, G.; Jochmans, K. Likelihood reasoning in autoregression with fixed effects. Econom. Theory 2016, 32, 1178–1215. [Google Scholar] [CrossRef]
  23. Breitung, J.; Kripfganz, S.; Hayakawa, K. Bias-corrected method-of-moments estimators for dynamic panel data models. Economet. Stat. 2022, 23, 72–91. [Google Scholar] [CrossRef]
  24. Bun, M.J.G.; Carree, M.A. Bias correction estimation in dynamic panel data model. J. Bus. Econ. Stat. 2005, 23, 200–210. [Google Scholar] [CrossRef]
  25. Kripfganz, S. Quasi-maximum likelihood estimation of linear dynamic short-T panel data models. Stata J. 2016, 16, 1013–1038. [Google Scholar] [CrossRef]
  26. Kripfganz, S. A general method for moment estimation of linear dynamic panel data model. Minutes of London STATA Conference 2019: Application of Employment Equation. Econ. Res. Rev. 2019, 58, 277–297. [Google Scholar]
  27. Aggarwal, A. Special Economic Zones: Revisiting the Policy Debate. Econ. Political Wkly. 2006, 41, 4533–4536. [Google Scholar]
  28. Jenkins, R.; Kennedy, L.; Mukhopadhyay, P. Power, Policy and Protest: The Politics of India’s Special Economic Zones; Oxford University Press: Oxford, UK, 2014. [Google Scholar]
  29. Zeng, D.Z. Building Engines for Growth and Competitiveness in China: Experience with Special Economic Zones and Industrial Clusters; The World Bank: Washington, DC, USA, 2010. [Google Scholar]
  30. Ge, W. Special Economic Zones and the Economic Transition in China. World Dev. 1999, 27, 1267–1285. [Google Scholar] [CrossRef]
  31. Farole, T. Special Economic Zones in Africa: Comparing Performance and Learning from Global Experiences; The World Bank: Washington, DC, USA, 2011. [Google Scholar]
  32. Yu, T.F. A New Path for Capitalist Development: The Special Economic Zones in the People’s Republic of China. Asian Surv. 2008, 28, 339–354. [Google Scholar]
Figure 1. The dynamics of industrial income growth in millions of dollars (USD) according to economic and geographic spaces. Source: Authors, based on the Gabon Economy Dashboard and the FAOSTAT database.
Figure 1. The dynamics of industrial income growth in millions of dollars (USD) according to economic and geographic spaces. Source: Authors, based on the Gabon Economy Dashboard and the FAOSTAT database.
Rsee 02 00006 g001
Figure 2. The growth dynamics of industrial production in volume (m3) according to economic and geographical spaces. Source: Authors, based on the Gabon Economy Dashboard and the FAOSTAT database.
Figure 2. The growth dynamics of industrial production in volume (m3) according to economic and geographical spaces. Source: Authors, based on the Gabon Economy Dashboard and the FAOSTAT database.
Rsee 02 00006 g002
Figure 3. The growth dynamics of total exports by volume (m3) according to geographic economic spaces. Source: Authors, based on the Gabon Economy Dashboard and the FAOSTAT database.
Figure 3. The growth dynamics of total exports by volume (m3) according to geographic economic spaces. Source: Authors, based on the Gabon Economy Dashboard and the FAOSTAT database.
Rsee 02 00006 g003
Figure 4. The growth dynamics of export revenues in millions of dollars (USD) according to geographic economic spaces. Source: Authors, based on the Gabon Economy Dashboard and the FAOSTAT database.
Figure 4. The growth dynamics of export revenues in millions of dollars (USD) according to geographic economic spaces. Source: Authors, based on the Gabon Economy Dashboard and the FAOSTAT database.
Rsee 02 00006 g004
Figure 5. The growth dynamics of variables in homogeneous economic and geographical spaces (In Free Zone of Nkok) and the macroenvironment.
Figure 5. The growth dynamics of variables in homogeneous economic and geographical spaces (In Free Zone of Nkok) and the macroenvironment.
Rsee 02 00006 g005
Figure 6. The growth dynamics of variables in heterogeneous economic and geographical spaces (Out Free Zone of Nkok) and the macroenvironment.
Figure 6. The growth dynamics of variables in heterogeneous economic and geographical spaces (Out Free Zone of Nkok) and the macroenvironment.
Rsee 02 00006 g006
Figure 7. The growth dynamics of the variables in the three types of economic and geographical spaces combined (homogeneous, heterogeneous, and the macroenvironment).
Figure 7. The growth dynamics of the variables in the three types of economic and geographical spaces combined (homogeneous, heterogeneous, and the macroenvironment).
Rsee 02 00006 g007
Figure 8. Decision diagram illustrating the decision-making process used to make the choice of the optimal model for estimation in each economic and geographical space. Source: Authors.
Figure 8. Decision diagram illustrating the decision-making process used to make the choice of the optimal model for estimation in each economic and geographical space. Source: Authors.
Rsee 02 00006 g008
Table 1. Description of variables.
Table 1. Description of variables.
VariableStand PointsUnitsDescribe
Ind_P_TUSD
(Industrial Income)
Dependent variableMillions of dollars (USD)Total industrial production by value (USD millions), represents the total sum of industrial revenues of companies in the woody forestry sector on the territory of Gabon. Noted: Ind_P_TUSD.
Exp_TUSD
(Export Income)
Independent variableMillions of dollars (USD)Total exports in millions of USD dollars, represents the export income of Gabon’s woody forest products. Noted: Exp_TUSD.
Exp_Tm3
(Forestry Exports)
Independent variableCubic meter (m3)Total exports in m3, which represents the national volume of exports of wood forest products from Gabon. Noted: Exp_Tm3.
Ind_P_Tm3
(Industrial Forestry Production)
Independent variableCubic meter (m3)Total industrial production in m3, represents the total sum of industrial production (processed and unprocessed) of companies in the woody forestry sector in Gabon. Noted: Ind_P_Tm3.
Table 2. Descriptive statistics of free zone (homogeneous space).
Table 2. Descriptive statistics of free zone (homogeneous space).
VariablesParametersMeanSTD. Dev.MinMax
Ind_P_TUSDAmount to229.271225.134441018
between 108.20998.454251.485
inside 218.476−8.810995.785
Exp_TUSDAmount to306.161274.36441036.298
between 123.591156.749331.5338
inside 267.2506.8281010.926
Exp_Tm3Amount to2,245,4641,260,3655807.9984,570,000
between 1,640,283262,484.92,582,196
inside 953,855.2798,267.84,233,268
Ind_P_Tm3Amount to1,801,760885,762.36798.3463,500,000
between 1,262,967274,927.72,061,033
inside 618,238875,726.63,240,727
Table 3. Descriptive statistics outside the free zone (heterogeneous space).
Table 3. Descriptive statistics outside the free zone (heterogeneous space).
VariablesParametersMeanSTD. Dev.MinMax
Ind_P_TUSDAmount to281.171238.65413.4041018
between 144.606251.485455.9899
inside 227.33443.9011047.686
Exp_TUSDAmount to351.803264.56132.21036.298
between 987.367331.533471.1686
inside 259.87252.4691056.568
Exp_Tm3Amount to2,667,292977,331.61,135,0004,570,000
between 414,5202,582,1963,168,416
inside 954,900.11,220,0964,655,096
Ind_P_Tm3Amount to2,067,567619,458.51,135,0003,500,000
between 31,828.282,061,0332,106,045
inside 619,252.21,141,5343,506,534
Table 4. Descriptive macroenvironment statistics.
Table 4. Descriptive macroenvironment statistics.
VariablesParametersMeanSTD. Dev.MinMax
Ind_P_TUSDAmount to258.01232.25541018
between 179.38498.454455.989
inside 213.53619.9281024.525
Exp_TUSDAmount to327.078262.21641036.298
between 157.536156.7495471.168
inside 249.68527.7441031.842
Exp_Tm3Amount to2,362,4571,219,3935807.9984,570,000
between 1,536,725262,484.93,168,416
inside 894,348.8915,261.74,350,262
Ind_P_Tm3Amount to1,840,331837,329.96798.3463,500,000
between 1,044,445274,927.72,106,045
inside 583,181.9914,2983,279,298
Table 5. Classic estimations based on economic and geographic spaces (OLS, RE, and FE).
Table 5. Classic estimations based on economic and geographic spaces (OLS, RE, and FE).
(1)(2)(3)
Variables (In Free Zone)OLSRandom EffectFixed Effect
LogInd_P_TUSD
LogExp_TUSD0.99 ***0.99 ***1.12 ***
(0.12)(0.12)(0.16)
LogExp_Tm3−2.11 ***−2.11 ***−2.55 ***
(0.60)(0.60)(0.71)
LogInd_P_Tm32.24 ***2.24 ***2.49 ***
(0.62)(0.62)(0.65)
Constant−1.80−1.800.37
(1.11)(1.11)(2.14)
(N/T)2/622/622/62
Statistics51.87155.6045.69
Test > f 0.00000.00000.0000
Corr (u_i, X or Xb) 00.1475
On R-squared0.72850.72850.7285
(1)(2)(3)
Variables (Out Free Zone)OLSRandom EffectFixed Effect
LogInd_P_TUSD
LogExp_TUSD1.27 ***1.27 ***1.33 ***
(0.17)(0.17)(0.15)
LogExp_Tm3−3.01 ***−3.01 ***−4.12 ***
(0.77)(0.77)(0.74)
LogInd_P_Tm33.17 ***3.17 ***4.38 ***
(0.78)(0.78)(0.76)
Constant−3.51−3.51−4.96
(4.27)(4.27)(3.81)
(N/T)2/622/622/62
Statistics39.21117.6446.42
Test > f 0.00000.00000.0000
Corr (u_i, X or Xb) 00.0434
On R-squared0.66980.66980.6484
(1)(2)(3)
Variables (Macroenvironment)OLSRandom EffectFixed Effect
LogInd_P_TUSD
LogExp_TUSD0.98 ***0.98 ***1.12 ***
(0.12)(0.12)(0.15)
LogExp_Tm3−1.47 **−1.47 ***−2.59 ***
(0.56)(0.56)(0.67)
LogInd_P_Tm31.58 ***1.58 ***2.52 ***
(0.58)(0.58)(0.62)
Constant−1.37−1.370.45
(1.12)(1.12)(2.05)
(N/T)3/713/713/71
Statistics56.15168.4649.96
Test > f 0.00000.00000.0000
Corr (u_i, X or Xb) 00.1861
On R-squared0.71550.71550.6686
Standard error in parentheses. *** p < 0.01, ** p < 0.05.
Table 6. Classic specification test.
Table 6. Classic specification test.
Housman Test (Sigmaure)
SpacesStatisticsp-ValueRemark
In Free Zone1.40.237Random effect is appropriate
Out Free Zone13.020.0003Fixed effect is appropriate
Macroenvironment100.0067Fixed effect is appropriate
Breusch and Pagan Lagrangian multiply test
In Free Zone0.001.00Pooled model as adaptive pool model is suitable
For the Hausman test (Sigmaure) test (white), hypothesis H0, random effect, is appropriate. For the Breusch and Pagan Lagrangian multiplier, hypothesis H0, pooled model, is appropriate.
Table 7. Heterogeneity test.
Table 7. Heterogeneity test.
Breusch–Pagan/Book–Weisberg Heterogeneity Test (White)
SpacesStatisticsp-ValueRemark
In Free Zone2.030.1538Constant variance (homoscedastic residuals)
Out Free Zone2.390.1538Constant variance (homoscedastic residuals)
Macroenvironment1.050.3066Constant variance (homoscedastic residuals)
For the Breusch–Pagan/Cook–Weisberg test (white), hypothesis H0, the residual homoscedastic, is appropriate.
Table 8. Normality test.
Table 8. Normality test.
Jarque–Bera Normality Test
SpacesStatisticsp-ValueRemark
In Free Zone1208.60 × 10−27Residue does not follow normal distribution
Out Free Zone70.45.20 × 10−16Residue does not follow normal distribution
Macroenvironment921.10 × 10−20Residue does not follow normal distribution
For the Jarque–Bera normality test, the hypothesis H0, the residuals, follow a normal distribution.
Table 9. Autocorrelation test.
Table 9. Autocorrelation test.
Wooldridge Autocorrelation Test
SpacesStatisticsp-ValueRemark
In Free Zone353.9660.0338First-order autocorrelation
Out Free Zone2613.4940.0125First-order autocorrelation
Macroenvironment271.7940.0037First-order autocorrelation
For the Wooldridge test for autocorrelation, for the hypothesis H0, there is no first-order autocorrelation.
Table 13. Dumitrescu and Hurlin (2012) Granger non-causal test results.
Table 13. Dumitrescu and Hurlin (2012) Granger non-causal test results.
Granger Causality Tests
CausalityZ-Barp-ValueZ-Bar Tildep-ValueRemarks
Ind_P_TUSD- Exp_TUSD17,5410.136013,4500.0794Exp_TUSD does Granger-cause
Ind_P_TUSD for at least one panel
Exp_TUSD-Ind_P_TUSD15,8070.64790.46360.1140
Ind_P_TUSD-Exp_Tm30.96190.33610.85380.3932Ind_P_TUSD does Granger-cause
Exp_Tm3 for at least one panel
Exp_Tm3-Ind_P_TUSD25,4850.010823,2730.0199
Ind_P_TUSD-Ind_P_Tm30.82590.40890.72750.4669Ind_P_TUSD does Granger-cause
Ind_P_Tm3 for at least one panel
Ind_P_Tm3-Ind_P_TUSD48,1210.000044,2960.0000
For the Granger causality tests, the hypothesis “H0: variable X1 does not Granger-cause variable X2 for at least one panel” is tested.
Disclaimer/Publisher’s Note: The statements, opinions and data contained in all publications are solely those of the individual author(s) and contributor(s) and not of MDPI and/or the editor(s). MDPI and/or the editor(s) disclaim responsibility for any injury to people or property resulting from any ideas, methods, instructions or products referred to in the content.

Share and Cite

MDPI and ACS Style

Maganga, J.M.; Jia, X.; Ndoutoumou, P.N. Economic and Geographical Impact of Development Poles: Industrial and Commercial Transformations of the Forestry Sector in Gabon. Reg. Sci. Environ. Econ. 2025, 2, 6. https://doi.org/10.3390/rsee2010006

AMA Style

Maganga JM, Jia X, Ndoutoumou PN. Economic and Geographical Impact of Development Poles: Industrial and Commercial Transformations of the Forestry Sector in Gabon. Regional Science and Environmental Economics. 2025; 2(1):6. https://doi.org/10.3390/rsee2010006

Chicago/Turabian Style

Maganga, Junior Maganga, Xiangping Jia, and Pamphile Nguema Ndoutoumou. 2025. "Economic and Geographical Impact of Development Poles: Industrial and Commercial Transformations of the Forestry Sector in Gabon" Regional Science and Environmental Economics 2, no. 1: 6. https://doi.org/10.3390/rsee2010006

APA Style

Maganga, J. M., Jia, X., & Ndoutoumou, P. N. (2025). Economic and Geographical Impact of Development Poles: Industrial and Commercial Transformations of the Forestry Sector in Gabon. Regional Science and Environmental Economics, 2(1), 6. https://doi.org/10.3390/rsee2010006

Article Metrics

Back to TopTop