3,6-Dimethoxythieno[3,2-b]thiophene-Based Bifunctional Electrodes for High-Performance Electrochromic Supercapacitors Prepared by One-Step Electrodeposition
Abstract
1. Introduction
2. Experiment
2.1. Materials
2.2. Measurement and Characterization
2.3. Fabricating the Polymer Electrodes
3. Results and Discussion
3.1. Electrochemical Polymerization of Monomers
3.2. Morphology of Polymers
3.3. Structure, Thermal Analysis, and Mechanical Bending of Polymers
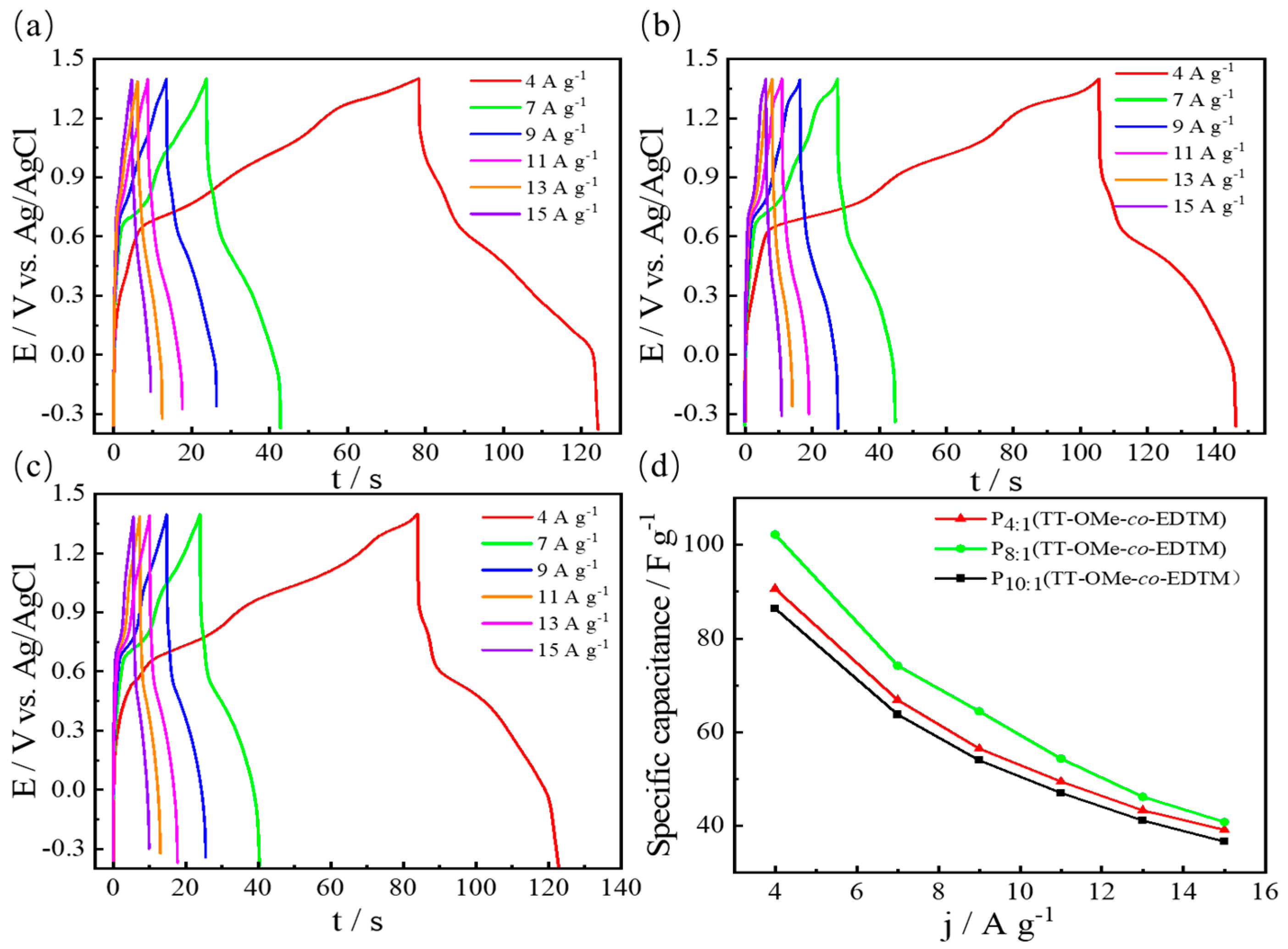
3.4. Electrochemical Performance of Polymer Electrodes
4. Conclusions
Supplementary Materials
Author Contributions
Funding
Data Availability Statement
Conflicts of Interest
References
- Yi, M.; Lu, B.; Zhang, X.; Tan, Y.; Zhu, Z.; Pan, Z.; Zhang, J. Ionic liquid-assisted synthesis of nickel cobalt phosphide embedded in N, P codoped-carbon with hollow and folded structures for efficient hydrogen evolution reaction and supercapacitor. Appl. Catal. B Environ. 2021, 283, 119635. [Google Scholar] [CrossRef]
- Poonam; Sharma, K.; Arora, A.; Tripathi, S.K. Review of supercapacitors: Materials and devices. J. Energy Storage 2019, 21, 801–825. [Google Scholar] [CrossRef]
- Zhu, X.; Yu, S.; Xu, K.; Zhang, Y.; Zhang, L.; Lou, G.; Wu, Y.; Zhu, E.; Chen, H.; Shen, Z.; et al. Sustainable activated carbons from dead ginkgo leaves for supercapacitor electrode active materials. Chem. Eng. Sci. 2018, 181, 36–45. [Google Scholar] [CrossRef]
- Mao, T.; Chen, H.; Li, J.; Liu, F.; Wang, X.; Wang, S. Hydroxypolybenzimidazole Electrolyte with Excellent Stability for High Power Density All-Solid-State Supercapacitors. ACS Appl. Energy Mater. 2020, 3, 5163–5172. [Google Scholar] [CrossRef]
- Dong, W.; Xie, M.; Zhao, S.; Qin, Q.; Huang, F. Materials design and preparation for high energy density and high power density electrochemical supercapacitors. Mater. Sci. Eng. R Rep. 2023, 152, 100713. [Google Scholar] [CrossRef]
- Xu, L.; Zhang, Y.; Zhou, W.; Jiang, F.; Zhang, H.; Jiang, Q.; Jia, Y.; Wang, R.; Liang, A.; Xu, J.; et al. Fused Heterocyclic Molecule-Functionalized N-Doped Reduced Graphene Oxide by Non-Covalent Bonds for High-Performance Supercapacitors. ACS Appl. Mater. Interfaces 2020, 12, 45202–45213. [Google Scholar] [CrossRef]
- Shao, M.; Lv, X.; Zhou, C.; Ouyang, M.; Zhu, X.; Xu, H.; Feng, Z.; Wright, D.S.; Zhang, C. A colorless to multicolored triphenylamine-based polymer for the visualization of high-performance electrochromic supercapacitor. Sol. Energy Mater. Sol. Cells 2023, 251, 112134. [Google Scholar] [CrossRef]
- Yun, T.G.; Kim, D.; Kim, Y.H.; Park, M.; Hyun, S.; Han, S.M. Photoresponsive Smart Coloration Electrochromic Supercapacitor. Adv. Mater. 2017, 29, 1606728. [Google Scholar] [CrossRef] [PubMed]
- Lv, X.; Li, J.; Zhang, L.; Ouyang, M.; Tameev, A.; Nekrasov, A.; Kim, G.; Zhang, C. High-performance electrochromic supercapacitor based on quinacridone dye with good specific capacitance, fast switching time and robust stability. Chem. Eng. J. 2022, 431, 133733. [Google Scholar] [CrossRef]
- Chen, J.; Wang, Z.; Chen, Z.; Cong, S.; Zhao, Z. Fabry–Perot Cavity-Type Electrochromic Supercapacitors with Exceptionally Versatile Color Tunability. Nano Lett. 2020, 20, 1915–1922. [Google Scholar] [CrossRef]
- Cai, G.; Darmawan, P.; Cui, M.; Wang, J.; Chen, J.; Magdassi, S.; Lee, P.S. Highly Stable Transparent Conductive Silver Grid/PEDOT:PSS Electrodes for Integrated Bifunctional Flexible Electrochromic Supercapacitors. Adv. Energy Mater. 2016, 6, 1501882. [Google Scholar] [CrossRef]
- Luo, Z.; Liu, L.; Yang, X.; Luo, X.; Bi, P.; Fu, Z.; Pang, A.; Li, W.; Yi, Y. Revealing the Charge Storage Mechanism of Nickel Oxide Electrochromic Supercapacitors. ACS Appl. Mater. Interfaces 2020, 12, 39098–39107. [Google Scholar] [CrossRef]
- Xue, J.; Xu, H.; Wang, S.; Hao, T.; Yang, Y.; Zhang, X.; Song, Y.; Li, Y.; Zhao, J. Design and synthesis of 2D rGO/NiO heterostructure composites for high-performance electrochromic energy storage. Appl. Surf. Sci. 2021, 565, 150512. [Google Scholar] [CrossRef]
- Mohanadas, D.; Sulaiman, Y. Recent advances in development of electroactive composite materials for electrochromic and supercapacitor applications. J. Power Sources 2022, 523, 231029. [Google Scholar] [CrossRef]
- Xu, K.; Zhang, Q.; Hao, Z.; Tang, Y.; Wang, H.; Liu, J.; Yan, H. Integrated electrochromic supercapacitors with visual energy levels boosted by coating onto carbon nanotube conductive networks. Sol. Energy Mater. Sol. Cells 2020, 206, 110330. [Google Scholar] [CrossRef]
- Li, H.; Cao, J.; Liu, F.; Zhou, W.; Chen, X.; Deng, Y.; Wu, Z.; Lu, B.; Mo, D.; Xu, J.; et al. Stable Three-Dimensional PEDOT Network Construction for Electrochromic-Supercapacitor Dual Functional Application. ACS Appl. Energy Mater. 2022, 5, 12315–12323. [Google Scholar] [CrossRef]
- Feng, T.; Liu, L.; Mao, S.; Xue, H.; Zhao, J.; Bai, Y.; Zhao, W. Polyoxometalate/poly(3,4-ethylenedioxythiophene) nanocomposites enabling visualization of energy storage status in multicolor electrochromic supercapacitors. Appl. Surf. Sci. 2023, 641, 158450. [Google Scholar] [CrossRef]
- Kim, S.Y.; Yun, T.Y.; Yu, K.S.; Moon, H.C. Reliable, High-Performance Electrochromic Supercapacitors Based on Metal-Doped Nickel Oxide. ACS Appl. Mater. Interfaces 2020, 12, 51978–51986. [Google Scholar] [CrossRef]
- Guo, Q.; Zhao, X.; Li, Z.; Wang, D.; Nie, G. A novel solid-state electrochromic supercapacitor with high energy storage capacity and cycle stability based on poly(5-formylindole)/WO3 honeycombed porous nanocomposites. Chem. Eng. J. 2020, 384, 123370. [Google Scholar] [CrossRef]
- Nguyen, T.V.; Le, Q.V.; Peng, S.; Dai, Z.; Ahn, S.H.; Kim, S.Y. Exploring Conducting Polymers as a Promising Alternative for Electrochromic Devices. Adv. Mater. Technol. 2023, 8, 2300474. [Google Scholar] [CrossRef]
- Wang, Y.; Ding, Y.; Guo, X.; Yu, G. Conductive polymers for stretchable supercapacitors. Nano Res. 2019, 12, 1978–1987. [Google Scholar] [CrossRef]
- Kim, J.; Lee, J.; You, J.; Park, M.-S.; Hossain, M.S.A.; Yamauchi, Y.; Kim, J.H. Conductive polymers for next-generation energy storage systems: Recent progress and new functions. Mater. Horiz. 2016, 3, 517–535. [Google Scholar] [CrossRef]
- Camurlu, P.; Gültekin, C.; Gürbulak, V. Optoelectronic Properties and Electrochromic Device Application of Novel Pyrazole Based Conducting Polymers. J. Macromol. Sci. Part A 2013, 50, 588–595. [Google Scholar] [CrossRef]
- Li, M.; Jiang, F.; Yang, J.; Wang, Y.; Zhao, F.; Xu, X.; Liu, M.; Yan, J.; Xu, J. Electrochemical Preparation and Regulation of Flexible Polypyrrole Film toward Enhanced Thermoelectric Performance. ACS Appl. Energy Mater. 2021, 4, 12982–12988. [Google Scholar] [CrossRef]
- Cheng, T.-M.; Yen, S.-C.; Hsu, C.-S.; Wang, W.-T.; Yougbaré, S.; Lin, L.-Y.; Wu, Y.-F. Novel synthesis of polyaniline, manganese oxide and nickel sulfide lavandula-like composites as efficient active material of supercapacitor. J. Energy Storage 2023, 66, 107390. [Google Scholar] [CrossRef]
- Yang, X.; Liu, A.; Zhao, Y.; Lu, H.; Zhang, Y.; Wei, W.; Li, Y.; Liu, S. Three-Dimensional Macroporous Polypyrrole-Derived Graphene Electrode Prepared by the Hydrogen Bubble Dynamic Template for Supercapacitors and Metal-Free Catalysts. ACS Appl. Mater. Interfaces 2015, 7, 23731–23740. [Google Scholar] [CrossRef] [PubMed]
- Zhou, W.; Xu, J. Progress in Conjugated Polyindoles: Synthesis, Polymerization Mechanisms, Properties, and Applications. Polym. Rev. 2017, 57, 248–275. [Google Scholar] [CrossRef]
- Zhou, Q.; Zhu, D.; Ma, X.; Xu, J.; Zhou, W.; Zhao, F. High-performance capacitive behavior of layered reduced graphene oxide and polyindole nanocomposite materials. RSC Adv. 2016, 6, 29840–29847. [Google Scholar] [CrossRef]
- Hsiao, A.-E.; Tuan, C.-S.; Lu, L.-H.; Liao, W.-S.; Teng, W.-J. Preparation of poly (hydroxymethyl EDOT)/nano-silver composite films by oxidative polymerization with low-baking temperature, low resistance and good adhesion on PET substrate. Synth. Met. 2010, 160, 2319–2322. [Google Scholar] [CrossRef]
- da Silva, A.C.; Augusto, T.; Andrade, L.H.; Córdoba de Torresi, S.I. One pot biocatalytic synthesis of a biodegradable electroactive macromonomer based on 3,4-ethylenedioxytiophene and poly(l-lactic acid). Mater. Sci. Eng. C 2018, 83, 35–43. [Google Scholar] [CrossRef]
- Cinar, M.E.; Ozturk, T. Thienothiophenes, Dithienothiophenes, and Thienoacenes: Syntheses, Oligomers, Polymers, and Properties. Chem. Rev. 2015, 115, 3036–3140. [Google Scholar] [CrossRef]
- Liu, J.; Tang, D.; Hou, W.; Ding, D.; Yao, S.; Liu, Y.; Chen, Y.; Chi, W.; Zhang, Z.; Ouyang, M.; et al. Conductive polymer electrode materials with excellent mechanical and electrochemical properties for flexible supercapacitor. J. Energy Storage 2023, 74, 109329. [Google Scholar] [CrossRef]
- Turbiez, M.; Hergué, N.; Leriche, P.; Frère, P. Rigid oligomers based on the combination of 3,6-dimethoxythieno[3,2-b]thiophene and 3,4-ethylenedioxythiophene. Tetrahedron Lett. 2009, 50, 7148–7151. [Google Scholar] [CrossRef]
- Alunni, S.; Linda, P.; Marino, G.; Santini, S.; Savelli, G. The mechanism of the Vilsmeier–Haack reaction. Part II. A kinetic study of the formylation of thiophen derivatives with dimethylformamide and phosphorus oxychloride or carbonyl chloride in 1,2-dichloroethane. J. Chem. Soc. Perkin Trans. 1972, 2, 2070–2073. [Google Scholar] [CrossRef]
- Matharu, A.; Huddleston, P.; Jeeva, S.; Wood, M.; Chambers-Asman, D. An efficient direct method for the azo-coupling of methoxythiophenes. Dye. Pigment. 2008, 78, 89–92. [Google Scholar] [CrossRef]
- Wang, R.; Lin, K.; Jiang, F.; Zhou, W.; Wang, Z.; Wu, Y.; Ding, Y.; Hou, J.; Nie, G.; Xu, J.; et al. Fluoro-substituted conjugated polyindole for desirable electrochemical charge storage materials. Electrochim. Acta 2019, 320, 134641. [Google Scholar] [CrossRef]
- Guo, Y.; Li, W.; Yu, H.; Perepichka, D.F.; Meng, H. Flexible Asymmetric Supercapacitors via Spray Coating of a New Electrochromic Donor–Acceptor Polymer. Adv. Energy Mater. 2017, 7, 1601623. [Google Scholar] [CrossRef]
- Song, R.Y.; Park, J.H.; Sivakkumar, S.R.; Kim, S.H.; Ko, J.M.; Park, D.-Y.; Jo, S.M.; Kim, D.Y. Supercapacitive properties of polyaniline/Nafion/hydrous RuO2 composite electrodes. J. Power Sources 2007, 166, 297–301. [Google Scholar] [CrossRef]
- Antiohos, D.; Folkes, G.; Sherrell, P.; Ashraf, S.; Wallace, G.G.; Aitchison, P.; Harris, A.T.; Chen, J.; Minett, A.I. Compositional effects of PEDOT-PSS/single walled carbon nanotube films on supercapacitor device performance. J. Mater. Chem. 2011, 21, 15987–15994. [Google Scholar] [CrossRef]
- Zhou, W.; Xu, J. High-operating-voltage all-solid-state symmetrical supercapacitors based on poly(3,4-ethylenedioxythiophene)/poly(styrenesulfonate) films treated by organic solvents. Electrochim. Acta 2016, 222, 1895–1902. [Google Scholar] [CrossRef]
- Nie, G.; Bai, Z.; Yu, W.; Chen, J. Electrochemiluminescence Biosensor Based on Conducting Poly(5-formylindole) for Sensitive Detection of Ramos Cells. Biomacromolecules 2013, 14, 834–840. [Google Scholar] [CrossRef] [PubMed]
- Wang, R.; Li, J.; Gao, L.; Yu, J. One-step electropolymerized thieno[3,2-b]thiophene-based bifunctional electrode with controlled color conversion for electrochromic energy storage application. Chem. Eng. J. 2022, 445, 136731. [Google Scholar] [CrossRef]
- Visy, C.; Lukkari, J.; Kankare, J. Study of the role of the deprotonation step in the electrochemical polymerization of thiophene-type monomers. Synth. Met. 1994, 66, 61–65. [Google Scholar] [CrossRef]
- Sadki, S.; Schottland, P.; Brodie, N.; Sabouraud, G. The mechanisms of pyrrole electropolymerization. Chem. Soc. Rev. 2000, 29, 283–293. [Google Scholar] [CrossRef]
- Liu, T.-A.; Prabhakar, C.; Yu, J.-Y.; Chen, C.-H.; Huang, H.-H.; Yang, J.-S. Star-Shaped Oligothiophenes Containing an Isotruxene Core: Synthesis, Electronic Properties, Electropolymerization, and Film Morphology. Macromolecules 2012, 45, 4529–4539. [Google Scholar] [CrossRef]
- Khumujam, D.D.; Kshetri, T.; Singh, T.I.; Kim, N.H.; Lee, J.H. Fibrous asymmetric supercapacitor based on wet spun MXene/PAN Fiber-derived multichannel porous MXene/CF negatrode and NiCo2S4 electrodeposited MXene/CF positrode. Chem. Eng. J. 2022, 449, 137732. [Google Scholar] [CrossRef]
- Zhang, S.; Chen, S.; Zhao, Y.; Kang, J.; Chen, J.; Yan, B.; Gu, Y.; Yang, F.; Cao, Y. All-Solid-State Electrochromic Device Based on Nanocellulose/PANI/PEDOT Ternary Hybrid System for High Optical Contrast and Excellent Cycling Stability. J. Electrochem. Soc. 2019, 166, H77. [Google Scholar] [CrossRef]
- Lee, H.; Kumbhar, V.S.; Lee, J.; Choi, Y.; Lee, K. Highly reversible crystal transformation of anodized porous V2O5 nanostructures for wide potential window high-performance supercapacitors. Electrochim. Acta 2020, 334, 135618. [Google Scholar] [CrossRef]
- Beaujuge, P.M.; Reynolds, J.R. Color Control in π-Conjugated Organic Polymers for Use in Electrochromic Devices. Chem. Rev. 2010, 110, 268–320. [Google Scholar] [CrossRef] [PubMed]
- Kandpal, S.; Bansal, L.; Ghanghass, A.; Ghosh, T.; Rani, C.; Sahu, B.; Rath, D.K.; Bhatia, R.; Sameera, I.; Kumar, R. Bifunctional solid state electrochromic device using WO3/WS2 nanoflakes for charge storage and dual-band color modulation. J. Mater. Chem. C 2023, 11, 12590–12598. [Google Scholar] [CrossRef]
- Yao, W.; Liu, P.; Liu, C.; Xu, J.; Lin, K.; Kang, H.; Li, M.; Lan, X.; Jiang, F. Flexible conjugated polyfurans for bifunctional electrochromic energy storage application. Chem. Eng. J. 2022, 428, 131125. [Google Scholar] [CrossRef]
- Du, C.; Li, H.; Zhang, G.; Wan, R.; Zhang, W.; Xu, X.; Zheng, L.; Deng, X.; Xu, J.; Lu, B.; et al. Design of robust fluorinated interpenetrating poly(thieno[3,2-b]thiophene) network for highly stable flexible electrochromic-supercapacitor devices. Chem. Eng. J. 2024, 495, 153692. [Google Scholar] [CrossRef]
- Zhang, X.; Zeng, X.; Yang, M.; Qi, Y. Investigation of a Branchlike MoO3/Polypyrrole Hybrid with Enhanced Electrochemical Performance Used as an Electrode in Supercapacitors. ACS Appl. Mater. Interfaces 2014, 6, 1125–1130. [Google Scholar] [CrossRef]
- Wang, J.; Xu, Y.; Chen, X.; Du, X. Electrochemical supercapacitor electrode material based on poly(3,4-ethylenedioxythiophene)/polypyrrole composite. J. Power Sources 2007, 163, 1120–1125. [Google Scholar] [CrossRef]
- Song, H.-K.; Lee, E.J.; Oh, S.M. Electrochromism of 2,2‘-Azinobis(3-ethylbenzothiazoline-6-sulfonate) Incorporated into Conducting Polymer as a Dopant. Chem. Mater. 2005, 17, 2232–2233. [Google Scholar] [CrossRef]
- Helseth, L.E. The nonlinearities in the galvanostatic charging curves of supercapacitors provide insights into charging mechanisms. J. Energy Storage 2022, 55, 105440. [Google Scholar] [CrossRef]
- Li, T.; Zhu, W.; Shen, R.; Wang, H.-Y.; Chen, W.; Hao, S.-J.; Li, Y.; Gu, Z.-G.; Li, Z. Three-dimensional conductive porous organic polymers based on tetrahedral polythiophene for high-performance supercapacitors. New J. Chem. 2018, 42, 6247–6255. [Google Scholar] [CrossRef]
- Collier, G.S.; Pelse, I.; Österholm, A.M.; Reynolds, J.R. Electrochromic Polymers Processed from Environmentally Benign Solvents. Chem. Mater. 2018, 30, 5161–5168. [Google Scholar] [CrossRef]
- Zhang, L.; Li, M.; Wang, C.; Wang, Y.; Shen, Y. Electropolymerization and properties of 3,4-ethylenedioxythiophene backbone polymer with tetrathiafulvalene as pendant. J. Appl. Polym. Sci. 2013, 127, 3356–3364. [Google Scholar] [CrossRef]









Disclaimer/Publisher’s Note: The statements, opinions and data contained in all publications are solely those of the individual author(s) and contributor(s) and not of MDPI and/or the editor(s). MDPI and/or the editor(s) disclaim responsibility for any injury to people or property resulting from any ideas, methods, instructions or products referred to in the content. |
© 2024 by the authors. Licensee MDPI, Basel, Switzerland. This article is an open access article distributed under the terms and conditions of the Creative Commons Attribution (CC BY) license (https://creativecommons.org/licenses/by/4.0/).
Share and Cite
Yu, Z.; Wang, R.; Tang, H.; Zheng, D.; Yu, J. 3,6-Dimethoxythieno[3,2-b]thiophene-Based Bifunctional Electrodes for High-Performance Electrochromic Supercapacitors Prepared by One-Step Electrodeposition. Polymers 2024, 16, 2313. https://doi.org/10.3390/polym16162313
Yu Z, Wang R, Tang H, Zheng D, Yu J. 3,6-Dimethoxythieno[3,2-b]thiophene-Based Bifunctional Electrodes for High-Performance Electrochromic Supercapacitors Prepared by One-Step Electrodeposition. Polymers. 2024; 16(16):2313. https://doi.org/10.3390/polym16162313
Chicago/Turabian StyleYu, Zhixuan, Rui Wang, Huayu Tang, Ding Zheng, and Junsheng Yu. 2024. "3,6-Dimethoxythieno[3,2-b]thiophene-Based Bifunctional Electrodes for High-Performance Electrochromic Supercapacitors Prepared by One-Step Electrodeposition" Polymers 16, no. 16: 2313. https://doi.org/10.3390/polym16162313
APA StyleYu, Z., Wang, R., Tang, H., Zheng, D., & Yu, J. (2024). 3,6-Dimethoxythieno[3,2-b]thiophene-Based Bifunctional Electrodes for High-Performance Electrochromic Supercapacitors Prepared by One-Step Electrodeposition. Polymers, 16(16), 2313. https://doi.org/10.3390/polym16162313

